Next Article in Journal
Seasonal Predictions of Shoreline Change, Informed by Climate Indices
Next Article in Special Issue
Carbon Sources Supporting Macro-Invertebrate Communities in Restored Mangrove Forests from Hau Loc, Thanh Hoa, Vietnam
Previous Article in Journal
A Track Initiation Algorithm Using Residual Threshold for Shore-Based Radar in Heavy Clutter Environments
Previous Article in Special Issue
Dynamic Coastal-Shelf Seascapes to Support Marine Policies Using Operational Coastal Oceanography: The French Example
 
 
Font Type:
Arial Georgia Verdana
Font Size:
Aa Aa Aa
Line Spacing:
Column Width:
Background:
Article

DSPIR Framework as Planning and Management Tools for the La Boquita Coastal System, Manzanillo, Mexico

by
Julieta Hernández-López
,
Omar Cervantes
*,
Aramis Olivos-Ortiz
and
Rubén Ricardo Guzmán-Reyna
Facultad de Ciencias Marinas, Universidad de Colima, Carretera Manzanillo–Barra de Navidad, Km. 20. Col. El Naranjo, C.P., 28860 Manzanillo, Mexico
*
Author to whom correspondence should be addressed.
J. Mar. Sci. Eng. 2020, 8(8), 615; https://doi.org/10.3390/jmse8080615
Submission received: 3 July 2020 / Revised: 6 August 2020 / Accepted: 11 August 2020 / Published: 17 August 2020
(This article belongs to the Special Issue Marine Observation and Monitoring towards an Ecosystem Approach)

Abstract

Coastal ecosystems are attractive sites for tourism. In the central Pacific coast of Mexico in the La Boquita coastal system (LBCS), consisting of a beach and a coastal lagoon, the Driver-Pressure-State-Impact-Response (DPSIR) model was implemented for the spatial and temporal analysis of socio environmental indicators, aiming to gather information for decision-making and implementation of management strategies. The spatial occupation (umbrellas and tables) of the beach showed a 50–200% increase during the Easter season relative to the low season, while the area containing restaurants (called “ramadas”) increased by 396% in 15 years, representing pressure on land use for tourism purposes. The density of beach users ranged from moderate to high (<10 m2/user) during the holiday seasons in the tourism area. The Trophic index (TRIX), used as an indicator of trophic status, revealed mesotrophic-to-eutrophic conditions in lagoon water due to the limited water exchange with the adjacent ocean and to DIN and DIP inputs from adjacent tourist areas. The analysis of the environmental legislation showed that law enforcement in the LBCS is poor or nil, with most environmental regulations either ignored or having inadequate enforcement monitoring. This has led to the current state of socio environmental disruption.

Graphical Abstract

1. Introduction

The coastal zones are the interface between continents and oceans and are areas of great ecological, social, and economic importance, which include terrestrial systems such as beaches and dunes, and aquatic systems such as coastal lagoons and estuaries [1]. They also harbor some of the world’s most productive ecosystems, such as mangrove forests, marshes, coral reefs, and sea grass [2]. These ecosystems, as a result of their locations, serve as pollutant filters that prevent pollutants from reaching the ocean in high concentrations [3]. The attributes of these ecosystems make them attractive for the development of socioeconomic activities, such as port development, tourism, aquaculture, and fishing [4], which has led to inappropriate use and exploitation, coupled with a lack of adequate regulations and non-compliance with established standards [5]. In addition, it is known that over 50% of the world’s population inhabits urban settlements in coastal zones, contributing wastewater discharges to aquatic systems, causing land use changes, and increasing the production of organic and inorganic wastes [6,7]. This has caused ecological issues in some places, including loss of diversity, eutrophication, disruption of successional processes, and extinction of species, among others [8,9].
A key element in coastal areas are beach–dune systems, a dynamic deposit of sediments, which besides serving as shields for the coast from hydro meteorological events [10] are also highly appealing destinations for tourism [11]. In Mexico, according to the World Travel and Tourism Council [12], tourism profits exceeded US$209BN (17% of GDP) in 2018, with beach destinations receiving more than 75% of tourists [13]. Given its importance, it becomes essential to implement strategies for the integral assessment of tourism development and the environmental condition of beaches, considering sectorial and economic environmental policies, as recommended by the Organization for Economic Cooperation and Development (OECD) [14,15]. In this sense, within the conceptual framework of pressure–state–response (PSR), human activities exert pressures on the environment that change the status (i.e., quality and quantity) of natural resources, triggering a social response through public policies [16,17]. Based on the PSR model, the European Environment Agency (EEA) adopted the driving forces–pressure–state–impact–response (DPSIR) model at the end of the 1990s, which is based on changes in the state and impact of a system, as measured through indicators, setting the grounds for informed decision making [18].
A number of coastal management indicators have been used to evaluate the main environmental, social, economic, and political aspects; these indicators quantify, synthesize, and convey information in order to facilitate and contribute to the decision making process [17,19,20]. In addition, indicators should be relevant, simple, available, reproducible, and comparable; additionally, these should clearly show the status, trend, and exchange rates of ecosystem services to facilitate decision-making [21]. The driving force indicators used in coastal areas include vegetation cover, land occupation by infrastructure, uses, services, and social aspects, such as the type of tourism, intensity of use, current sanitary facilities, areas occupied by umbrellas, number of beach restaurants (“ramadas”), and parking lots. [22]. This information facilitates identifying on-site anthropic activities that cause social, environmental, and economic changes [23]. Additionally, the socio environmental perception of beach users has been considered as an indicator for the evaluation of activities that act as beach pressures, taking into account cleaning (litter), water quality, and safety [10].
The trophic index (TRIX) [24] evaluates the trophic status of marine systems, as determined from four variables related to primary production—chlorophyll-a, dissolved oxygen, dissolved inorganic nitrogen (DIN), and dissolved inorganic phosphorus (DIP) concentrations—covering oligotrophic to eutrophic conditions. Any indicators considered for impact assessment should reflect environmental changes, such as loss of biodiversity, presence of pathogens and diseases, public health, and economic deterioration [22]. Finally, the framework of the DPSIR model considers the design of response actions according to the driving forces, the state conditions, and the identification of pressures in the system studied [25].
According to the number of tourists, Manzanillo, México, ranks tenth as a tourist destination in Mexico, with over 500,000 tourists per year [13]. In this tourism destination, La Boquita Beach and Juluapan Lagoon (La Boquita coastal system, LBCS) are the main beaches in terms of beach space occupation and carrying capacity, based on the excessive demand for umbrellas and food services during the seasons of peak tourist affluence [26]. However, despite its importance, it lacks coastal planning and management. In this work, the La Boquita coastal system was evaluated with the DPSIR model, based on the analysis of driving force, pressure, and state indicators. The final outcome (response) is intended to be used for decision making in coastal management strategy and land use planning.

2. Materials and Methods

2.1. Study Area

The study area is located in the central Pacific coast of Mexico, in the northern region of Santiago Bay, Manzanillo, Mexico (Figure 1). It comprises a sandy beach stretching across 1.4 km and the Juluapan Lagoon that covers an area of approximately 1 km2, and is bordered by mangrove vegetation. The Juluapan Lagoon measures 2 km (longest axis) by 1.4 km (in its wide parts), with a depth ranging between 1 and 5 m and with narrow flood plains [27]. The lagoon is permanently communicated with the sea through a channel approximately 25 m wide, located in the southeastern portion of the lagoon. The beach has a gentle slope in the intertidal zone, along with low-energy waves resulting from its geographic location in a protected space. These attributes are ideal for recreational and leisure activities. The peak tourist influx occurs during the Easter holiday period, in summer (July–August), and during the end-of-year holidays (last two weeks of December and first week of January) [13].
The study area of the La Boquita coastal system (LBCS), which includes lagoon and beach areas, was delimited according to the following criteria: infrastructure (roads, human settlements, and water treatment), vegetation structure and coverage, as well as on-site economic activities. In the lagoon and its area of influence, seven sampling stations were established (E1, E2, E2A, E3, E4, E5, and E6) and the beach was divided into four zones: one (I) in the lagoon riviera and three (II–IV) in the sandy beach zone.

2.2. DPSIR

According to the structure of the DPSIR conceptual framework, several indicators of ecosystem services were considered for LBCS, as shown in Figure 2. Qualitative and quantitative indicators were selected that made it possible to consider biological, chemical, environmental quality, space occupation, and user perception aspects. The study area was surveyed from October 2015 to August 2016. The indicators included were identified and measured as described below.

2.3. Driving Forces

The driving forces were identified through prospecting campaigns in the study area and by searching and analyzing historical georeferenced images obtained from Google Earth (from 2003 to 2018). The images allowed the determination of the vegetation cover, occupation by infrastructure, services, and social aspects, such as type of tourism, use intensity, current healthcare services, areas occupied with umbrellas, number of beach restaurants (“ramadas”), and parking lots.

2.4. Pressure

The pressure indicators considered for this study were space occupation, density of beach users, and user perception. For space occupation, field censuses were conducted to determine the number of umbrellas and tables within the four delimited polygons. These censuses were conducted before, during, and after the 2016 Easter and summer holiday periods to obtain results for the high and low seasons. The density of beach users (BDU) was determined with the methodology proposed by Botero et al. [28]. Four (4) polygons were demarcated in the sandy and lagoon banks in each zone, comprising a 20-m wide strip running from the outer boundary of the leisure area to a depth of two meters in the bathing area. The number of users was recorded simultaneously in each sampling strip between 11:00 and 17:00—the period of time with the greatest tourist affluence—starting in the recreation area and moving toward the sea. Density users in each strip was calculated with the equation:
B D U = A / U N
where BDU corresponds to the density of beach users in the sandy beach zone; A is the area of the recording strip; and UN is the number of users in the recording strip. The figure obtained is the available area per person, in square meters. Subsequently, the average for all recording strips was computed and analyzed, which was considered as the user density for the entire beach.
The socioenvironmental perception of beach users was determined through 230 surveys on the preferences and satisfaction in the use of the beach conducted at the same time as pressure observations. The questionnaire included 17 items (modified from Cervantes [10]) arranged in three sections based on the aptitudes, opinions, and profiles of users (Table 1). Surveys were analyzed using the IBM Statistical Package for the Social Sciences Statistics (SPSS) [29].

2.5. State

The indicators considered for the state of the La Boquita coastal zone were the seawater bacteriological quality and trophic status of the Juluapan Lagoon, the latter taken from the TRIX index. For bacteriological quality, historic data gathered by the Official Clean Beaches, Safe Water, and Environment Program (Proplayas, The National Water Commission (CONAGUA) [30]) for La Boquita were analyzed; these data were obtained from samples collected in pre-holiday periods (3 times a year), based on the criteria of for considering a beach as suitable or unsuitable for recreational use established by the Mexican Health Secretariat [31], namely the allowable limit of 200 MPN/100 mL for Enterococcus levels established by the World Health Organization (WHO). To determine the TRIX index, six bimonthly samples were collected under the same tidal conditions (all samplings were carried out during high tides (between 09:00 and 11:00) from October 2015 to August 2016 at Juluapan Lagoon, aboard a 19-foot-long vessel with an outboard motor, from 7 sampling stations (Figure 1). In each station, the dissolved oxygen, salinity, temperature, and depth were recorded in situ using a portable multiparameter probe (YSI85, with accuracy of 0.1 units).
Surface water samples were also collected to be tested for dissolved inorganic nitrogen (DIN), dissolved inorganic phosphorus (DIP), and chlorophyll-a; these samples were kept frozen and in the dark until analyzed in the laboratory. Dissolved inorganic nitrogen (DIN) and dissolved inorganic phosphorus (DIP) concentrations were determined in a segmented flow auto analyzer (Skalar San++) that was accurate to the nearest 0.01 µM, using the techniques described by Solórzano and Grasshoff et al. [32,33]. Chlorophyll-a samples were filtered in the laboratory on the day of sampling using Millipore cellulose filters of 0.45 mm pore size and 24 mm in diameter. Chlorophyll-a was extracted in 90% acetone, followed by centrifugation at 4000 rpm for 10 min, as proposed by Parsons et al. [34]. Chlorophyll-a was determined using the equation by Richards and Thompson [35].
C h l o r o p h y l l a = 15.6 A 665 2.0 A 645 0.8 A 630
where A values are the absorbances at 665, 645, and 630 nm, which were read using a spectrophotometer (Perkin Elmer LAMBDA model 35 UV/Vis with a 190–1100 nm range).
The TRIX index was calculated from the following equation proposed by Vollenweider et al. [24] and modified by Escobedo-Urías [36]:
T R I X = ( l o g 10 [ ( C h l a ) ( a % O 2 ) ( D I N ) ( D I P ) ] ) + K m
where Chla is the chlorophyll-a concentration in mg/m3; a%O2 is the absolute percentage value of dissolved oxygen saturation, i.e., (100-%O2); DIN is the dissolved inorganic nitrogen (nitrites + nitrates + ammonium) and DIP is the orthophosphate concentration in µM; K and m are constants, at 1.5 and 1.2 respectively, which are scale values entered to adjust the lowest limit of the index and the related trophic scale range from 0 to 8 TRIX units [31]. The trophic status of Juluapan Lagoon was determined according to the rating of the TRIX index based on water quality, as described by Penna et al. [37]: low (2–4), medium (4–5), high (5–6), and peak (6–8).
Temporal differences in physicochemical parameters and trophic levels were tested for statistical significance by first applying normality and homoscedasticity tests. Parametric data were analyzed with a one-way ANOVA, while non-parametric data were analyzed with a Kruskal–Wallis test. When the data showed significant differences, a Tukey’s Honestly significant difference (HSD) test was applied. All statistical analyses were performed using the Statistical 10 software [38].

2.6. Response

Finally, actions were proposed to address the issues resulting from driving forces, dealing with pressure and impact factors, through the analysis of applicable coastal legislation. In this context, a form was designed for the analysis of the laws and regulations for environmental and planning matters currently in force at federal, state, and municipal levels, applicable for each of the existing natural resources in the study area. This allowed determination of the compliance status with each instrument, based on an analysis using a correlation matrix between ecosystems and their interactions with human services and activities in the area.

3. Results

The following sections describe the results obtained from the indicators in the DPSIR model.

3.1. Driving Forces

La Boquita is an attractive coastal system for the development of tourism-related economic activities that have resulted in a series of pressures, impacts, and disturbances associated with changes in land use, density of beach users (BDU), and the eutrophication of the lagoon and its influence on the adjacent marine area (See Figure 2).

3.2. Pressure

Pressure was based on indicators of intended use, such as space occupation, density of beach users, or user perception. Umbrellas (as a set of 4 chairs, 1 table, and 1 umbrella) were used because these are the most common and traditional elements installed in the sandy portion of the study area. Zones I and II showed an increase of more than 50% in the number of umbrellas during the Easter period; in zone IV, this increase was as high as 200% (Table 2), relative to low season periods (pre- and post-Easter). During the summer, the number of umbrellas increased by approximately 20% in zones I and II, and by 50% in zone IV, although the number of umbrellas in this area was lower vs. Zones I and II. It is worth mentioning that no umbrellas re installed in zone III in any season. However, this is the area where “ramadas” are installed, using chairs and tables for the sale of food and drinks. This study determined that before and after Easter and in summer, the number of tables averaged 263, while during Easter the number increased by 25% (i.e., 348 tables).
As for BDU, zone III showed the lowest area per user for all seasons (Table 2). All four zones showed a decrease in the area available per user during the two holiday periods, although zone I showed the lowest variation. The Cuban Standard for Environmental Protection (NC 93-06-302) considers 3 different BDU levels, namely intensive (3–6 m2/user), medium (6–10 m2/user), and low (more than 10 m2/user). Based on this classification, zone III can be considered as under intensive BDU most of the time, zones II and IV record medium to intensive density levels during holiday periods and low density during the rest of the year, while zone I remains at low density throughout the year.
Regarding the perceptions of users, the results from the 230 surveys revealed that the main reason for visiting the beach was because they like the area (44%), followed by 20% who visit the beach, and 16% who go to the beach to rest. Eighty-three percent of users had already visited the area previously, and 74% of responders considered that accessing the beach was easy.
Based on the opinion section of the survey (Table A1), 50% of respondents perceived a moderate saturation level at the beach, while 43% perceived a high saturation level. Regarding the services offered, such as parking, restrooms, and food, most of the respondents scored service quality as good or fair (47% and 34%, respectively), while only 9% considered it to be poor. More than 80% of respondents believed the beach to be safe. As for the perceptions of users regarding beach cleanliness, approximately 85% of respondents considered both the beach and water to be clean. According to the perceptions regarding the number of beach vendors, umbrellas, and “ramadas”, almost 70% of respondents stated that these are sufficient, about 20% considered these to be insufficient, and a minority considered these to be excessive.
Regarding the profiles of respondents, 70% of beach users were outsiders (i.e., they live outside Manzanillo) and 30% were locals (i.e., they live in Manzanillo). In terms of sex, the sex ratio was similar (54% men and 46% women). Most beach users were married (64%). A large number of respondents reported college education (42%), followed by 24% and 18% with senior and junior high school education levels, respectively.
Concerning land use, the coverage area for “ramadas” on the beach was determined between 2003 and 2018, ranging from 10,601 m2 to 34,914 m2, indicating a pressure that is interpreted as an increase in the area of tourist establishments of 24,313 m2, a difference in occupation of land use representing a 396% increase over 15 years. This increase could also be reflected by a higher number of visitors, especially during vacation periods, who demand services and produce waste, such as water consumption and littering in an area not covered by the municipal sewage and water supply system. Thus, wastewater is stored in septic tanks, which during this study were found to be overfilled; wastewater leaks onto the sandy soil adjacent to Laguna de Juluapan, which has the potential to affect the physicochemical parameters of the water in this lagoon. In addition, in the northern area of the Juluapan Lagoon there is a residential tourist settlement (Club Santiago), which in the Easter (April) and December holiday seasons produces an increased inflow into the Miramar treatment plant ranging from 10 L·s−1 to 40 L·s−1 [39]. The tourist pressures of “ramadas” and Club Santiago are reflected in increased nutrient levels that probably promote eutrophication of the lagoon system, as detailed in the results of the TRIX model.

3.3. State

3.3.1. Enterococcus Levels in Seawater

To ensure that beach water meets the quality criteria, the Mexican health authorities, through the Clean Beaches, Safe Water, and Environment Program of the Federal Commission for the Prevention of Health Risks (COFEPRIS) and The National Water Commission (CONAGUA), have established that the bacteriological quality of the water shall be <200 MPN/100 mL [31], which was met for the period 2013–2016 in La Boquita, as shown in Table 3.

3.3.2. Physicochemical Parameters for the Juluapan Lagoon

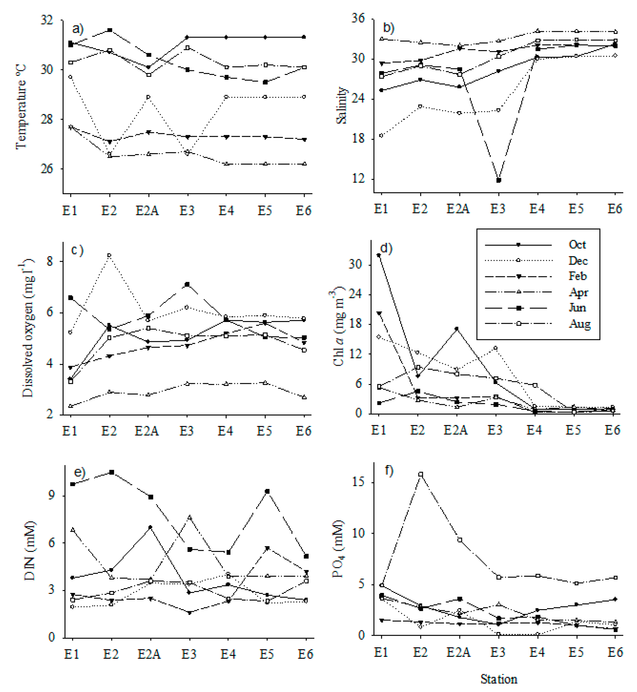
In the Juluapan Lagoon, the surface water temperature ranged from 26 to 32 °C (Figure 3), with minimum temperatures in the dry season (December, February, and April) and maximum temperatures in the rainy season (October, June, and August); the differences between seasons were significant (p < 0.05). There was little spatial variation, except in the December sampling. Salinity showed spatial and temporal variations, with the lowest salinity recorded in the innermost zone of the lagoon. In estuarine systems, these spatial variations are associated with the input of fresh water into the lagoon. Decreases in particular sites and time points were also observed, such as the decrease at station 3 during the June sampling. There were no significant differences (p = 0.0038) between the dry and rainy seasons; however, low values were recorded in December in the inner portion of the lagoon. Peak dissolved oxygen levels also showed temporal and spatial variations, with no distinctive pattern. The period with the lowest oxygen concentration was April (around 3 mg·L−1), with the minimum value recorded in the inner part of the lagoon. For the rest of the sampling months, the oxygen concentrations ranged between 4 and 6 mg·L−1, with the highest value (>8 mg·L−1) recorded in December.

3.3.3. Chlorophyll-a

In general, chlorophyll-a showed a tendency to increase toward the inner portions of the lagoon, with the highest levels recorded at the inner station in the dry period (Figure 3). Chlorophyll-a concentrations increased from station 4 inwards. During April and June, concentrations ranged between 2 and 5 mg·m−3 (from oligotrophic to mesotrophic according to the Escobedo-Urías classification [36]), while in August concentrations varied from 5 to 10 mg·m−3 (from mesotrophic to eutrophic), from station 4 to the innermost zone. During the dry season, the values were higher than 10 mg·m−3 in most inner stations of the lagoon, corresponding to a eutrophic state. Despite differences within the lagoon, there were no significant differences (p < 0.05) in the chlorophyll-a concentrations between the rainy and dry seasons.

3.3.4. DIN and DIP Concentrations

In general, spatial and temporal differences in DIN were recorded, with no significant differences observed between the rainy and dry seasons. Most DIN values in the Juluapan Lagoon were below 9 µM (mesotrophic limit); the exception was the June sampling, when concentrations ranged between 10 and 20 µM, representing mesotrophic to eutrophic states, with peak values recorded in the innermost stations. In the April sampling, DIN values at stations E1 and E3 were also higher than 10 µM, as well as at sampling station E2A in October. Most DIP concentrations were higher than 1.1 µM, suggesting a eutrophic state according to the classification by Escobedo-Urías [36]. The maximum concentration was 4 µM for all samples and stations, except for the August sampling, when the concentrations in stations 1 and 3–6 were slightly above 5 µM, with increases at stations 2 and 2A (peaks of 10 and 15 µM, respectively).

3.3.5. TRIX Index

For the TRIX index, the seven sampling stations were grouped as follows: north area (E1), central area (E2, E2A, and E3), and marine area (E4, E5, and E6). The results obtained from the TRIX index (Figure 4) showed that the north area has predominantly mesotrophic conditions during the dry season (4.1–4.6) and eutrophic conditions in the rainy season (>5); thus, it is an area of moderate-to-high productivity. In the central area, the results of the TRIX index indicated mesotrophic conditions (3.5–4.2), i.e., moderately productive water of good quality. In the marine area, the TRIX index indicated oligotrophic conditions with water of good quality, but with low primary productivity. In the central and marine area, the proximity to the mouth produces a greater exchange of water with the adjacent ocean, with low water residence times in some areas, resulting in water of higher quality than in the north area (Figure 4).

3.4. Response: Analysis of the Applicable Coastal Legislation

In Mexico, the main reference for environmental legislation for coastal areas is contained in the Political Constitution of the United Mexican States, which defines ownership of the national territory, both terrestrial and marine, and establishes the sovereignty and jurisdiction over them [41]. A number of regulatory instruments are applicable to the coastal and marine areas of Mexico, including 38 general and federal laws, as well as state laws, municipal ordinances, Mexican technical standards (NOM), and international instruments [42,43,44,45]. For the study area, the use of environmental goods and services for each resource were identified and analyzed based on the legal frameworks for environmental and planning matters currently in force at federal, state, and municipal levels, which affect each of the existing ecosystems and resources.
The regulatory instruments applied to the LBCS include the beach, the coastal lagoon, and the mangrove forest. The analysis of the use and activities in the different ecosystems and the revision of the coastal legislation applicable to the study area revealed that law enforcement is either weak, inefficient, or nil. The condition recorded under the application of the instruments in force shows the effects of omissions, such as the occupation of beach areas, deforestation of the two mangrove species listed in a conservation status, expansion of agricultural and urban areas, wastewater discharges into the lagoon, and poor planning of productive activities, all of which result in various environmental issues (Table A3).

4. Discussion

Sun, sea, and sand (SSS) tourist destinations attract a large influx of visitors and represent a major source of income for the economies of some countries, including Mexico, which in 2016 represented 12.45% of its gross domestic product [13,46,47,48]. This work shows that the increase in tourism is a clear driver, as evidenced by the almost 400% increase in land use for tourism over the past 15 years and the increase in the BDU in holiday periods (see photographs in Appendix A). As a result, the environmental deterioration and lack of planning have raised concerns about the future of LBCS, similar to other attractive destinations [49]. Therefore, the use and analysis of indicators and the use of tools to identify pressures are essential for the design and adoption of coastal management strategies for development that ensure competitiveness, sustainability, and conservation [50]. In the LBCS, tourism is the main driver of changes in the state of the environment, both on the beach area and in the adjacent aquatic systems, mainly due to increased pressures. One example is wastewater discharges from the residential tourist settlement Club Santiago through the Miramar treatment plant, reaching the adjacent ocean through its communication channel. These discharges affect the beach and the adjacent reef area due to the load of suspended solids and the high N and P levels from the interior of the lagoon, causing the whiteness of the coral and a 30% decrease in its abundance [51,52]. According to the analysis carried out in this study, this unfavorable trend will continue in the near future if no mitigation measures are taken and the current regulations are not enforced.
The identification of appropriate indicators to measure the issues at each tourist destination or recreational settlement is fundamental—these can be quantitative (e.g., BDU) and qualitative (e.g., user perception) [53]. The occupation of space, represented in this study by the number of umbrellas and the BDU, is an indicator that is extensively used to determine socioecological pressures, which may effectively identify the deterioration of tourist destinations [54]. In this regard, setting an ideal carrying capacity is complex, as this will depend on each locality, beach type, and user perceptions.
The classification of NC 93-06-302 was used to analyze the BDU; this revealed moderate-to-intensive beach use (3.8–10 m2/user) in three of the four areas, mainly over the holiday periods. Similarly, using the classification of the carrying capacity proposed by Botero-Saltarén et al. [28], we determined an intensive carrying capacity (<10 m2/user) during holiday periods in most cases. The above is in agreement with the perceptions of users, who mostly noticed a medium-to-high saturation of the beach; however, users were mostly repeat visitors (i.e., they had visited the area previously) who felt safe and noticed that the water and beaches were clean, thus perceiving a feeling of comfort. According to the Yepes classification [55], a beach condition is considered comfortable at densities above 4 m2/user, which are consistent with the densities observed in this study. Similar to the BDU values, the numbers of umbrellas rose substantially during holiday periods, a situation that had already been detected in a previous study, where umbrellas in the LBCS resting areas were considered to occupy more than 50% of the beach. This is considered unfavorable for environmental and aesthetic quality reasons [26].
Undoubtedly, the space use indicators show significant increases during the peak tourist seasons in the LBCS. Although this is not perceived by users as a negative factor, other indicators should be considered to establish the carrying capacity of the system, taking into account the different stages of the life cycle of the tourist destination [49]. In general, users of LBCS were apparently more interested in leisure-related infrastructure and services than in water quality and biodiversity, a finding that has been previously reported elsewhere [56]. This indicates a lack of knowledge or ignorance about coastal ecosystems, as well as the poor environmental education and communication of these topics across society.
Although the perceptions of users are considered in the development of management programs and proposals during decision making [57], overestimating this indicator may lead to a mistaken underestimation of coastal management strategies, thus threatening environmental health. Additionally, it should be mentioned that the LBCS is a system that has been modified by the construction of access roads and “ramadas” to provide tourist services to visitors in public beaches used for recreation, given their accessibility and proximity to urban areas. According to NC-93-06-302, these characteristics should also be taken into account in the occupation and use of sandy beach space.
Excessive occupation puts pressure on the soil, which can result in compaction of sediments, thus affecting sandy substrates. As part of this project, a study conducted during the 2016 Easter holidays in the LBCS to analyze the diversity index in the beach area showed that benthic macrofauna was virtually absent in most of the area sampled, a finding suggesting potential ecological issues associated with space occupation in these areas. According to the analysis of the regulations [58,59,60] relating to the occupation of spaces, they set rules for human settlements aiming to preserve and restore ecological balance and protect the environment through the use, exploitation, inspection, and surveillance of beaches. However, poor implementation practices (law enforcement) have led to environmental degradation in the LB system, showing a downward trend in compliance. Besides, no plan is currently in place for the restoration of the affected areas, as would be required in accordance with these regulations.
The increased space occupation changes the state of the system, as in the cases of the production of solid wastes and wastewater discharges, which in some cases may not be regulated, adding pollutants that affect the trophic state, as well as pathogens [61]. The factors mentioned above are used as indicators to assess the state of the system. Coastal water bodies are exposed to fecal contamination, which is mainly associated with recreational activities, wastewater discharges, cattle raising, deforestation, and other factors; thus, concentrations of Enterococcus and fecal coliforms are the most suitable indicators for detecting fecal pollution in water [62]. According to the World Health Organization, the concentration range of Enterococcus in seawater suitable for recreational use is between 0 and 200 MPN/100 mL. In this study, we reported a temporal variation, with low Enterococcus levels during pre-holiday periods that do not entail public health risks; however, one of the major concerns in the LBCS is the limited availability of public restrooms for users, as well as the lack of adequate treatment plants for wastewater discharges in the region. According to our analysis, the future trends regarding these factors are not favorable, as the Mexican Technical Standard (NMX-AA-120-SCFI-2016) indicates that the study area must comply with the bacteriological quality limit of 100 MPN/10 mL. This is important, because a previous study in La Boquita [63] showed that during the season of peak tourist activity, the concentrations of these bacteria exceeded 2000 MPN/100 mL.
However, the samples from the relevant monitoring office are collected during pre-holiday periods, when the concentration is within allowable limits, while our analysis during the peak tourist season revealed that the allowed limit for Enterococcus was exceeded, as mentioned above. The lack of control over wastewater discharges into the lagoon has also been identified. Additionally, the presence of larva migrans (Ancylostomatidae) in the sand of the LB system beach has been reported, as well as cases of parasitized persons since 2010 [64]. The larva migrans comes from the fecal matter of parasitized animals, which are usually street dogs and cats roaming the area. Larva migrans infections have commonly been documented in travelers visiting mainly tropical and subtropical beaches [65,66,67,68]. The presence of such parasites may be considered as an indicator of the poor sanitary quality of beaches, which is a potential topic of analysis for future research [68].
Regarding the lack of control of wastewater discharges into the lagoon, the water quality results for the concentrations of nitrogen, dissolved phosphorus, chlorophyll-a, and dissolved oxygen, as well as their integration in the TRIX index, all suggested eutrophic conditions in some seasons and areas of the Jualuapan Lagoon. During the rainy season (i.e., June, August, and October), chlorophyll a, DIN, DIP, and the TRIX index indicated mesotrophic-to-eutrophic conditions in the inner portions of the lagoon. The innermost area of the Juluapan Lagoon has little water exchange with the adjacent sea. The salinity values suggest that this is the area showing the longest residence time, a condition that favors the accumulation of nutrients that lead to high chlorophyll concentrations and the overall deterioration of the system. This is related to the low dissolved oxygen levels reported for April in the interior of the lagoon, which affects the rest of the stations and maybe related to nearby wastewater discharges. A similar condition has also been observed in other systems, such as the Cienfuegos Bay system [69], and can become intensified during the warmer months (August and October) due to the increased growth of bacteria, and consequently the increase in bioavailable nutrients and phytoplankton productivity. Moreover, continental materials carried in runoff during the rainy season may also contribute to the increase in DIN and DIP levels originating from adjacent tourist areas, which boost primary productivity and promote an eutrophic status in the lagoon.
Environmental degradation associated with tourism is well documented [70,71,72]. However, this work shows that continuous monitoring, scientific analysis, and the use of the DSPIR framework as a planning and management tool are all strictly necessary to determine the carrying capacity of systems; the short-, medium-, and long-term environmental impacts; and preventive and ecological restoration strategies, among others. Likewise, it is essential to communicate the results obtained, as these set the basis and input for decision-makers in the law enforcement of coastal legislation. Tourism cannot be restricted in countries such as Mexico, where the economy largely depends on this industry [12,13]; however, it is imperative to reverse the current trends in terms of the pressures on ecosystems. According to the analysis conducted in this study, some actions that should be implemented in the LBCS include the improvement of sanitary services, involving increases in the availability of restrooms and wastewater treatment. This work provides information that points to the deterioration of water quality in the lagoon and the adjacent sea, mainly during the holiday season, since around 65% of the established beach restaurants (“ramadas”) are irregular, showing the poor regulation of the use of land and the occupation of spaces. Therefore, it is essential that the infrastructure for restaurants is improved and that the use of spaces for different activities is defined within the limits of user density.

5. Conclusions

The lack of studies and analysis makes this work a baseline and input for the implementation and improvement of public policies. The implementation of the DPSIR model made it possible to identify the main issues in the region and their root causes, allowing the implementation of coastal management strategies. We identified that the lack of enforcement of environmental regulations leads to tourist activities causing a change of state toward the eutrophication of water and the deterioration of the lagoon environment and its surrounding marine area.
The 396% increase in occupancy and increased carrying capacity compromise the ecosystem services, which are a subset of ecological processes and ecosystem structures that are directly linked to benefits to human well being, as well as the value of the beach as an environmental asset.
Continuous monitoring of changes in land use, tourist pressure, and water quality are suitable indicators of compliance with current regulations, which allow us to propose the improvement of the sanitary infrastructure and the planning of the occupation of space for recreational use, aiming to change the trends related to the pressures that currently threaten the environmental health of the LBCS, in order to preserve and maintain these coastal systems.
The implementation of the DPSIR and the results obtained in this work can be used as inputs for decision making and in the design of environmental strategies for occupation and land use based on sustainable development goals (SDGs)—namely clean water and sanitation (goal 6), sustainable cities and communities (goal 11), and life below water (goal 14) goals—along with coastal law enforcement and ecosystem monitoring, in order to preserve this natural infrastructure and support local economies based on tourism and recreation.
Although it may seem obvious, this work highlights the importance of generating data on the evolution of tourism in a given area to allow the determination of the carrying capacity of a system. This information will contribute to making sure that the local ecological services are not compromised while the activities in this area support the local economy.

Author Contributions

Conceptualization, J.H.-L., O.C., A.O.-O., and R.R.G.-R.; formal analysis, J.H.-L., O.C., and A.O.-O.; investigation, J.H.-L., O.C., A.O.-O., and R.R.G.-R.; methodology, O.C., A.O.-O., and R.R.G.-R.; writing—original draft, O.C., A.O.-O., and R.R.G.-R.; writing—review and editing, J.H.-L., O.C., and A.O.-O. All authors have read and agreed to the published version of the manuscript.

Funding

This research was funded by CONACyT (Mexican Council of Science) and Program for Professional Teaching Development, for the Superior Type (PRODEP) of the General Directorate of Higher Education University (DGESU).

Acknowledgments

Author G.R. thanks the Mexican Council of Science (CONACyT) for an MSc scholarship. The author G.R. thanks the University of Colima for the visiting fellowship. We thank Camilo Botero of Sergio Arboleda University for his support during the research stay of student G.R. We gratefully acknowledge the comments and suggestions of anonymous reviewers and the edition of the English manuscript by María Elena Sánchez-Salazar.

Conflicts of Interest

The authors declare no conflict of interest. The funders had no role in the design of the study; in the collection, analyses, or interpretation of data; in the writing of the manuscript, or in the decision to publish the results.

Appendix A

Table A1. Perception survey.
Beach/zone: ______________________________________Date/time: ____________
No. of survey: ____
Name of surveyor: ________________________________________
Table A1. Perception survey.
Beach/zone: ______________________________________Date/time: ____________
No. of survey: ____
Name of surveyor: ________________________________________
Aptitude
1. Why did you select this beach?
  • -It is close to me,
  • -I like it,
  • -Sports,
  • -Fun,
  • -Walk,
  • -Rest,
  • -Other (specify)
( )
2.- What is your opinion about access to the beach?
  • -Easy,
  • -Difficult
( )
3.- Have you visited this beach before?
  • -Yes,
  • -No (Go to question 5)
( )
4.- Compared to your last visit, the beach conditions are:
  • -Same,
  • -Different
Specify:
( )
User’s opinion of the beach: Carrying capacity on the beach
5.- How do you consider the crowding of people on the beach?
  • Too many people,
  • Medium (more or less),
  • Little
( )
6.- How do you regard services such as parking, toilets, food, and access on this beach?
  • Very good,
  • Good,
  • Enough,
  • Poor,
  • Extremely poor. Why?
( )
7.- Do you consider that the beach is safe?
  • Strongly agree,
  • Agree,
  • Don’t know,
  • Disagree,
  • Strongly disagree Why?
( )
8.- On this beach, how do you consider the space for your rest and leisure?
  • Overcrowded (few free spaces for new beach sun umbrellas),
  • Not too crowded (there are plenty of spaces for new beach sun umbrellas),
  • Clear (there are few people on the beach and there are no beach sun umbrellas).
( )
9.- Is the beach clean?
  • Strongly agree,
  • Agree,
  • Don’t know,
  • Disagree,
  • Strongly disagree Why?
( )
10.- Is the seawater clean?
  • Strongly agree,
  • Agree,
  • Don’t know,
  • Disagree,
  • Strongly disagree Why?
( )
11.- How do you regard the number of hawkers?
  • -Too many,
  • -Many,
  • -Few
( )
12.- How many sun umbrellas and chairs are there?
  • Too many,
  • Enough,
  • Insufficient Why?
( )
13.- In your opinion, the number of restaurants (“ramadas”) is?
  • Too much,
  • Enough,
  • Insufficient Why?
( )
Socioeconomic profile of users
11.- Age range:
  • -18–24,
  • -25–29,
  • -30–34,
  • -35–39,
  • -40–44,
  • -45–49,
  • -50–54,
  • -55–59,
  • -60–64,
  • -65–69,
  • -70 and more.
( )
12.- Sex:
  • -Male,
  • -Female.
( )
13.- Marital status:
  • -Single,
  • -Married,
  • -Other (specify):
( )
14.- Place of residence:
  • -Local,
  • -Foreing
( )
15.-Do you work?
  • -Yes,
  • -No
( )
16- What do you do for a living?:Specify:
17.- Education level
  • -Primary,
  • -Incomplete primary,
  • -Junior high school,
  • -Incomplete junior high school,
  • -Senior high school,
  • -Incomplete senior high school,
  • -College,
  • -Incomplete college.
  • -Other (specify):
( )
Table A2. The Trophic index (TRIX) values for the seven stations of the Juluapan Lagoon, along with the mean and standard deviation (SD) by area during the sampling period.
Table A2. The Trophic index (TRIX) values for the seven stations of the Juluapan Lagoon, along with the mean and standard deviation (SD) by area during the sampling period.
North AreaCentral AreaMarine Area
MonthE1E2E2AE3MeanSDE4E5E6MeanSD
Oct5.34.44.24.04.20.203.93.73.73.80.12
Dic4.44.44.14.04.20.213.63.43.33.40.15
Feb4.13.73.53.33.50.203.33.23.13.20.10
Apr4.34.34.14.14.20.124.03.93.63.80.21
Jun4.63.93.83.83.80.063.02.82.92.90.10
Aug5.14.94.94.84.90.064.03.93.83.90.10
Table A3. Analysis of regulatory instruments (coastal legislation) applied to the La Boquita Coastal System (LBCS).
Table A3. Analysis of regulatory instruments (coastal legislation) applied to the La Boquita Coastal System (LBCS).
Coastal EcosystemCoastal ActivitiesCoastal LegislationScenario Compliance: Arrows Pointing up Indicate Compliance, Arrows Pointing down Indicate Non-Compliance
BeachLeisure activities: rest and sunbathing, swimming, recreational and line fishing, beach and nautical sports, walk, read a book, have a picnic, buy handcrafts, relaxing beach landscape, eats at beach “ramadas”, umbrellas and chairs
  • Political Constitution of the United Mexican States a.
  • Article 27 g.
Jmse 08 00615 i001
  • The General Law of National Goods
  • Article 7
Jmse 08 00615 i001
  • The General Law on Ecological Equilibrium and Environmental Protection b
  • Article 203.
Jmse 08 00615 i001
  • Regulations for the use of Territorial Sea, Beaches, Maritime Coastal Federal Zone, and Land Reclaimed from the Sea c.
  • Article 5
  • Article 14
  • Article 74
Jmse 08 00615 i001
  • Mexican Technical standard:
  • NMX-AA-120-SCFI-2016:
  • Requirements and Specifications for the Sustainability of Beach Quality d.
Jmse 08 00615 i001
  • Land Use Management Program of the Colima State e.
  • Environmental Management Unit 89.
Jmse 08 00615 i001
  • Land Use Management Program of the Municipality of Manzanillo, Colima f.
  • Environmental Management Unit 53.
Jmse 08 00615 i001
Coastal LagoonLeisure activities:
swimming, rest, have a picnic, boat dock, camping.
  • Political Constitution of the United Mexican States a.
  • Article 27.
Jmse 08 00615 i001
  • General Law of National Goods g.
  • Article 7.
Jmse 08 00615 i001
  • General Law on Ecological Equilibrium and Environmental Protection b.
  • Article 203.
Jmse 08 00615 i001
  • Regulations for the use of Territorial Sea, Beaches, Maritime Coastal Federal Zones, and Land Reclaimed from the Sea c.
  • Article 5.
  • Article 14.
  • Article 74.
Jmse 08 00615 i001
  • National Waters Law and Regulations h.
  • Article 86 BIS.
  • Article 78.
Jmse 08 00615 i001
  • General Law of Sustainable Fishing and Aquaculture and Regulations i.
  • Article 9.
  • Article 24.
Jmse 08 00615 i001
  • Land use Management Program of the Colima State.
  • Environmental e.
  • Management Unit 95.
Jmse 08 00615 i001
  • Land use Management Program of the Municipality of Manzanillo, Colima f.
  • Environmental.
  • Management Unit 54.
Jmse 08 00615 i001
MangrovesTraditional timber harvesting, deforestation, boat docking, artisanal fishing, wildlife viewing, loss of wetlands, road access.
  • Political Constitution of the United Mexican States a.
  • Article 27.
Jmse 08 00615 i001
  • General Law of National Goods g.
  • Article 7.
Jmse 08 00615 i001
  • General Law on Ecological Equilibrium and Environmental Protection b.
  • Article 203.
Jmse 08 00615 i001
  • General Wildlife Law and Regulations j
  • Article 85.
  • Article 87.
Jmse 08 00615 i001
  • General Act for Sustainable Forestry Development and Regulations k.
Jmse 08 00615 i001
  • Land use Management Program of Colima State e.
  • Environmental Management Unit 95.
Jmse 08 00615 i001
  • Land use Management Program of the Municipality of Manzanillo, Colima f.
  • Environmental Management Unit 54.
Jmse 08 00615 i001
  • Mexican Technical Standard.
  • NOM-022-SEMARNAT-2003, Specifications for the Preservation, Conservation, Sustainable Use, and Restoration of Coastal Wetlands in Mangrove Areas l.
Jmse 08 00615 i001
  • Mexican Technical Standard
  • NOM-059-SEMARNAT-2010, Environmental Protection—Native Species of Wild Flora and Fauna of Mexico m.
Jmse 08 00615 i001
a Diario Oficial de la Federación (DOF). 2020. Political Constitution of the United Mexican States, México, 337 p. b Diario Oficial de la Federación (DOF), 1988. The General Law on Ecological Equilibrium and Protection of the Environment, 135 p, México. c Diario Oficial de la Federación (DOF), 1991. Regulations on the use of Territorial Sea, Beaches, Maritime Coastal Federal Zones, and Land Reclaimed from the Sea, 20 p. d Diario Oficial de la Federación (DOF), 2016. Mexican Technical Standard, NMX-AA-120-SCFI-2016: Requirements and Specifications for the Sustainability of Beach Quality, 80 p. e Periodico Oficial del Estado de Colima (PO), 2012. Decreto Bajo el Cual se Aprueba el Programa de Ordenamiento Ecológico y Territorial del Estado de Colima. Colima, México, 159 p. f Periodico Oficial del Estado de Colima (PO), 2016. Decreto por el que se Aprueba el Programa de Ordenamiento Ecológico y Territorial Local del Territorio de Manzanillo, Manzanillo, México, 342 p. g Diario Oficial de la Federación (DOF), 2004. The General Law of National Goods, 70 p, México. h Diario Oficial de la Federación (DOF), 1992. National Waters Law and Regulations (last review 2020), 112 p, México. I Diario Oficial de la Federación (DOF), 2007. General Law of Sustainable Fishing and Aquaculture and Regulations, 171 p, México. j Diario Oficial de la Federación (DOF), 2000. General Wildlife Law and Regulations, 72 p, México. k Diario Oficial de la Federación (DOF), 2018. General Act for Sustainable Forestry Development and Regulations, 75 p, México. l Diario Oficial de la Federación (DOF), 2003. NOM-022-SEMARNAT-2003, Specifications for the Preservation, Conservation, Sustainable use, and Restoration of Coastal Wetlands in Mangrove Areas: Requirements and Specifications for the Sustainability of Beach Quality; 22 p. m Diario Oficial de la Federación (DOF), 2010. NOM-059-SEMARNAT-2010, Environmental Protection—Native Species of Mexico of Wild Flora and Fauna, 77 p, México.

Photo Gallery

Figure A1. La Boquita Beach in holiday season (above and below). (Photos Omar Cervantes, Ricardo Guzman).
Figure A1. La Boquita Beach in holiday season (above and below). (Photos Omar Cervantes, Ricardo Guzman).
Jmse 08 00615 g0a1aJmse 08 00615 g0a1b
Figure A2. The Juluapan Lagoon shore in holiday season. (Photo Omar Cervantes, Ricardo Guzman).
Figure A2. The Juluapan Lagoon shore in holiday season. (Photo Omar Cervantes, Ricardo Guzman).
Jmse 08 00615 g0a2
Figure A3. La Boquita Beach in low season. (Photo Penélope Membrilla González).
Figure A3. La Boquita Beach in low season. (Photo Penélope Membrilla González).
Jmse 08 00615 g0a3

References

  1. McLusky, D.S.; Elliott, M. Transitional waters: A new approach, semantics or just muddying the waters? Estuar. Coast. Shelf Sci. 2007, 71, 359–363. [Google Scholar] [CrossRef]
  2. Turner, R.K.; Bower, B.T. Principles and Benefits of Integrated Coastal Zone Management (ICZM). In Perspectives on Integrated Coastal Zone Management; Salomons, W., Turner, R.K., Lacerda, L.D., Ramachandran, S., Eds.; Springer: Berlin/Heidelberg, Germany, 1999; pp. 13–34. ISBN 978-3-642-64259-3. [Google Scholar]
  3. McGlathery, K.; Sundbäck, K.; Anderson, I. Eutrophication in shallow coastal bays and lagoons: The role of plants in the coastal filter. Mar. Ecol. Prog. Ser. 2007, 348, 1–18. [Google Scholar] [CrossRef]
  4. Tagliapietra, D.; Povilanskas, R.; Razinkovas-Baziukas, A.; Taminskas, J. Emerald Growth: A New Framework Concept for Managing Ecological Quality and Ecosystem Services of Transitional Waters. Water 2020, 12, 894. [Google Scholar] [CrossRef]
  5. Thia-Eng, C. Essential elements of integrated coastal zone management. Ocean Coast. Manag. 1993, 21, 81–108. [Google Scholar] [CrossRef]
  6. Merhaby, D.; Ouddane, B.; Net, S.; Halwani, J. Assessment of persistent organic pollutants in surface sediments along Lebanese coastal zone. Mar. Pollut. Bull. 2020, 153, 110947. [Google Scholar] [CrossRef]
  7. Walalangi, J.Y.; Lelono, T.D.; Suryanto, A.M.; Damar, A.; Effendi, H.; Susilo, E. Composition analysis of organic and inorganic waste and the impacts of coastal city in Palu-Central Sulawesi. IOP Conf. Ser. Earth Environ. Sci. 2020, 441, 012125. [Google Scholar] [CrossRef]
  8. Cebrian, J.; Corcoran, D.; Lartigue, J. Eutrophication-Driven Shifts in Primary Producers in Shallow Coastal Systems: Implications for System Functional Change. Estuaries Coasts 2013, 37, 180–197. [Google Scholar] [CrossRef]
  9. Valiela, I.; Owens, C.; Elmstrom, E.; Lloret, J. Eutrophication of Cape Cod estuaries: Effect of decadal changes in global-driven atmospheric and local-scale wastewater nutrient loads. Mar. Pollut. Bull. 2016, 110, 309–315. [Google Scholar] [CrossRef]
  10. Cervantes, O. Diseño de un Índice Integral Para Evaluar Playas Recreativas. Ph.D. Thesis, Universidad Autónoma de Baja California, Ensenada, Baja California, Mexico, 2008. [Google Scholar]
  11. Doody, J.P. Sand Dune Conservation, Management and Restoration; Coastal Research Library; Springer: Berlin, Germany, 2012; ISBN 978-94-007-4730-2. [Google Scholar]
  12. WTTC: World Travel and Tourism Council Mexico, Annual Research: Key Highlights. Available online: https://www.wttc.org/economic-impact/country-analysis/country-data/ (accessed on 6 December 2019).
  13. SECTUR: Secretaría de Turismo Resultados de la Actividad Turística Enero 2018. Available online: https://www.datatur.sectur.gob.mx/RAT/RAT-2018-01(ES).pdf (accessed on 6 December 2019).
  14. Zarate-Lomeli, D. La zona costera de México: Definición. In El Manejo Costero en México; Rivera-Arriaga, E., Villalobos, G.J., Azuz-Adeath, I., Rosado-May, F., Eds.; Centro de Ecología, Pesquerías y Oceanografía de México (EPOMEX): Campeche, Mexico, 2004; pp. 39–50. ISBN 968-5722-12-9. [Google Scholar]
  15. Herrmann, H. El papel de las organizaciones de la sociedad cicil en el manejo costero de México. In El Manejo Costero en México; Rivera-Arriaga, E., Villalobos, G.J., Azuz-Adeath, I., Rosado-May, F., Eds.; Centro de Ecología, Pesquerías y Oceanografía de México (EPOMEX): Campeche, Mexico, 2004; pp. 115–131. ISBN 968-5722-12-9. [Google Scholar]
  16. García-Gastelum, A.; Ferman-Almada, J.; Arredondo-García, M.; Galindo-Bect, L. Modelo de planeación ambiental de la zona costera a partir de indicadores ambientales. Sapiens. Revist. Univ. Investig. 2005, 6, 9–23. [Google Scholar]
  17. Tischer, V.; Farias Espinoza, H.D.C.; Carvalho Marenzi, R. Indicadores socioambientales aplicados en la gestión de ambientes costeros. Caso de estudio Santa Catarina, Brasil. Investig. Geográficas Bol. Inst. Geogr. 2015, 2015, 53–66. [Google Scholar] [CrossRef]
  18. Tatham, E.K.; Eisenberg, D.A.; Linkov, I. Sustainable Urban Systems: A Review of How Sustainability Indicators Inform Decisions. In Sustainable Cities and Military Installations; Linkov, I., Ed.; Springer: Dordrecht, The Netherlands, 2014; pp. 3–20. [Google Scholar]
  19. Hezri, A.A.; Dovers, S.R. Sustainability indicators, policy and governance: Issues for ecological economics. Ecol. Econ. 2006, 60, 86–99. [Google Scholar] [CrossRef]
  20. Karnauskaitė, D.; Schernewski, G.; Schumacher, J.; Grunert, R.; Povilanskas, R. Assessing coastal management case studies around Europe using an indicator based tool. J. Coast. Conserv. 2018, 22, 549–570. [Google Scholar] [CrossRef]
  21. Olander, L.P.; Johnston, R.J.; Tallis, H.; Kagan, J.; Maguire, L.A.; Polasky, S.; Urban, D.; Boyd, J.; Wainger, L.; Palmer, M. Benefit relevant indicators: Ecosystem services measures that link ecological and social outcomes. Ecol. Indic. 2018, 85, 1262–1272. [Google Scholar] [CrossRef]
  22. Gari, S.R.; Newton, A.; Icely, J.D. A review of the application and evolution of the DPSIR framework with an emphasis on coastal social-ecological systems. Ocean Coast. Manag. 2015, 103, 63–77. [Google Scholar] [CrossRef]
  23. Barbosa de Araújo, M.C.; da Costa, M.F. Environmental Quality Indicators for Recreational Beaches Classification. J. Coast. Res. 2008, 246, 1439–1449. [Google Scholar] [CrossRef]
  24. Vollenweider, R.A.; Giovanardi, F.; Montanari, G.; Rinaldi, A. Characterization of the trophic conditions of marine coastal waters with specia reference to the NW Adriatic Sea: Proposal for a trophic scale, turbidity and generalized water quality index. Environmetrics 1998, 329–357. [Google Scholar] [CrossRef]
  25. Mateus, M.; Campuzano, F. The DPSIR framework applied to the integrated management of coastal areas. In Perspectives on Integrated Coastal Management in South America; Neves, R., Baretta, J.W., Mateus, M., Eds.; IST Press: Lisbon, Portugal, 2008; pp. 29–42. ISBN 978-972-8469-74-0. [Google Scholar]
  26. Chávez, J.C.; Rangel, S.S.; Jiménez, G.A.; Lara, B. Ocupación del Espacio de Playa por Parte de Sombrilleros y la Capacidad de Carga Física en Manzanillo, Colima, México; Universidad de Cádiz: Cádiz, Spain, 2012. [Google Scholar]
  27. Reséndiz-Flores, M.L.; Quijano-Scheggia, S.I.; Olivos-Ortiz, A.; Álvarez, M.C.; Gaviño-Rodríguez, J.H.; Torres-Orozco, E.; Galicia-Pérez, M.A. Composición fitoplanctónica y quistes de dinoflagelados en sedimentos superficiales de la laguna de Juluapan, Colima, durante el año 2011. In Estudios Acuícolas y Marinos en el Pacífico Mexicano; Sosa-Ávalos, R., Verduzco-Zapata, M.G., Eds.; Universidad de Colima: Colima, Mexico, 2015; pp. 83–103. ISBN 978-607-8356-38-6. [Google Scholar]
  28. Botero-Saltarén, C.; Hurtadp-García, Y.; González-Porto, J.; Ojeda-Manjarrés, M.; Díaz-Rocca, L.H. Metodología de cálculo de la capacidad de carga turística como herramienta para la gestión ambiental y su aplicación en cinco playas del caribe norte Colombiano. Gest. Ambiente 2008, 11, 109–122. [Google Scholar]
  29. IBM, Corporation. IBM SPSS Statistics; IBM Corp.: Armonk, NY, USA, 2010. [Google Scholar]
  30. CONAGUA The National Water Commission Clean Beaches, Safe Water and Environment Program. Available online: https://app.conagua.gob.mx/transparencia/Contenido.aspx?n1=8&n2=109&n3=458&n4=458 (accessed on 10 July 2020).
  31. Comisión Federal para la Prevención de Riesgos Sanitarios. Vigilancia de Agua de Contacto Primario en Playas y Cuerpos de Agua Dulce. In COFEPRIS Manual Operativo; Secretaria de Salud: Mexico City, México, 2015. [Google Scholar]
  32. Solórzano, L. Determination of Ammonia in Natural Waters by the Phenolhypochlorite Method. Limnol. Oceanogr. 1969, 14, 799–801. [Google Scholar] [CrossRef]
  33. Grasshoff, K.; Ehrhardt, M.; Kremling, K. Methods of Seawater Analysis; WILEY-VCH Verlag GmbH: Weinheim, Germany, 1983. [Google Scholar]
  34. Parsons, T.; Maita, Y.; Lalli, C. A Manual of Chemical & Biological Methods for Seawater Analysis; Pergamon Press: New York, NY, USA, 1984; ISBN 978-0-08-030287-4. [Google Scholar]
  35. Richards, F.A.; Thomson, T.G. The estimation and characterization of plankton populations by pigment analyses. II. A spectrophotometric method for the estimation of plankton pigments. J. Mar. Res. 1952, 11, 156–172. [Google Scholar]
  36. Escobedo-Urías, D.C. Diagnóstico y Descripción del Proceso de Eutrofización en Lagunas Costeras del Norte de Sinaloa. Ph.D. Thesis, Instituto Politécnico Nacional, La Paz, Baja California Sur, México, 2010. [Google Scholar]
  37. Penna, N.; Capellacci, S.; Ricci, F. The influence of the Po River discharge on phytoplankton bloom dynamics along the coastline of Pesaro (Italy) in the Adriatic Sea. Mar. Pollut. Bull. 2004, 48, 321–326. [Google Scholar] [CrossRef]
  38. StarSoft Inc. Statistica (Data Analysis Software System); TIBCO Software Inc.: Palo Alto, CA, United States, 2011. [Google Scholar]
  39. CONAGUA. The National Water Commission. Anexo Técnico del Programa de Tratamiento de Aguas Residuales de Manzanillo. Colima (PROSAN). Municipio de Manzanillo, Colima, México. 2016. Available online: https://www.gob.mx/cms/uploads/attachment/file/106192/ATECPROSANINC2016COL.pdf (accessed on 6 August 2020).
  40. CONAGUA Calidad del Agua en Playas (Nacional). Available online: http://sina.conagua.gob.mx/sina/tema.php?tema=playas (accessed on 24 July 2020).
  41. DOF Acuerdo mediante el cual se expide la Política Nacional de Mares y Costas de México. 2018. Official Journal of the Federation. Available online: http://dof.gob.mx/nota_detalle.php?codigo=5545511&fecha=30/11/2018 (accessed on 6 August 2020).
  42. Cervantes, O.; López-Urban, U.M.; Cortina-Segovia, S.; Ventura-Díaz, Y.; Quiroz-Villanueva, E. Las dunas costeras y ZOFEMAT: Un vínculo necesario para fortalecer la gestión de las costas. In Gobernanza y Manejo de las Costas y Mares ante la Incertidumbre. Una Guía para Tomadores de Decisiones; Universidad de Campeche: Campeche, Mexico, 2020; pp. 331–334. [Google Scholar]
  43. Quijano-Poumian, M.; Rodríguez-Aragon, B. El Marco Legal de la Zona Costera. In El Manejo Costero en México; Centro de Ecología, Pesquerías y Oceanografía de México (EPOMEX): Campeche, Mexico, 2004; pp. 69–84. ISBN 968-5722-12-9. [Google Scholar]
  44. Saavedra-Vázquez, T. Derecho de la Zona Costera. In El Manejo Costero en México; Centro de Ecología, Pesquerías y Oceanografía de México (EPOMEX): Campeche, Mexico, 2004; pp. 99–113. ISBN 968-5722-12-9. [Google Scholar]
  45. SEMARNAT Leyes y Normas del sector medio ambiente. Secretaria del Medio Ambiente y Recursos Naturales. Available online: https://www.gob.mx/semarnat/acciones-y-programas/leyes-y-normas-del-sector-medio-ambiente#documentos (accessed on 10 June 2020).
  46. Mestanza-Ramón, C.; Pranzini, E.; Anfuso, G.; Botero, C.M.; Chica-Ruiz, J.A.; Mooser, A. An Attempt to Characterize the “3S” (Sea, Sun, and Sand) Parameters: Application to the Galapagos Islands and Continental Ecuadorian Beaches. Sustainability 2020, 12, 3468. [Google Scholar] [CrossRef]
  47. Mendoza-González, G.; Martínez, M.L.; Guevara, R.; Pérez-Maqueo, O.; Garza-Lagler, M.C.; Howard, A. Towards a Sustainable Sun, Sea, and Sand Tourism: The Value of Ocean View and Proximity to the Coast. Sustainability 2018, 10, 1012. [Google Scholar] [CrossRef]
  48. FONATUR Aportación de los destinos FONATUR al PIB Turístico. Available online: https://datos.gob.mx/busca/dataset/estadisticas-de-actividad-turistica-en-los-cips-y-ptis-destinos-de-fonatur (accessed on 1 July 2020).
  49. Soares, J.C.; Gandara, J.M.; Baidal, J.I. Indicadores para analizar la evolución del ciclo de vida de los destinos turísticos litorales. Investig. Tur. 2012, 19–38. [Google Scholar] [CrossRef][Green Version]
  50. Mihalič, T. Environmental management of a tourist destination: A factor of tourism competitiveness. Tour. Manag. 2000, 21, 65–78. [Google Scholar] [CrossRef]
  51. Liñán-Cabello, M.A.; Olivos-Ortiz, A.; Quijano-Scheggia, S.; Muñiz Anguiano, D.; Reséndiz-Flores, M.L.; Ortega-Ortiz, C.D. Effects of terrestrial runoff on the coral communities in Santiago Bay, Colima, Mexican Pacific Coast. Rev. Biol. Trop. 2016, 64, 1185–1200. [Google Scholar] [CrossRef] [PubMed]
  52. Liñán-Cabello, M.A.; Michel-Morfin, J.E. Recreational Beaches as Factors of Involvement in a Coral Community: Colima Case Study. In Beach Management Tools—Concepts, Methodologies and Case Studies; Botero, C.M., Cervantes, O., Finkl, C.W., Eds.; Coastal Research Library; Springer International Publishing: Cham, Germany, 2018; pp. 145–157. ISBN 978-3-319-58304-4. [Google Scholar]
  53. Robert, S. Assessing the visual landscape potential of coastal territories for spatial planning. A case study in the French Mediterranean. Land Use Policy 2018, 72, 138–151. [Google Scholar] [CrossRef]
  54. Butler, R.W. The concept of a tourist area cycle of evolution: Implications for management of resources. Can. Geogr. Géographe Can. 1980, 24, 5–12. [Google Scholar] [CrossRef]
  55. Yepes, V. Ordenación y gestión del territorio turístico. Las playas. In Ordenación y Gestión Del Territorio Turístico; Tirant lo Blanch: Valencia, Spain, 2002; pp. 549–579. [Google Scholar]
  56. Rosas, R.; Espejel, I.; Cervantes, O.; Ferrer, A. La percepción de la playa como un elemento importante para la certificación de playas limpias. Ejemplo de Ensenada, Baja California, México. In Turismo Sostenible. Un Debate Para el Futuro Multigeneracional; Universidad de Carabobo: Valencia, Venezuela, 2013; pp. 166–192. [Google Scholar]
  57. Roig i Munar, F.X. Análisis de la relación entre capacidad de carga física y capacidad de carga perceptual en playas naturales de la Isla de Menorca. Investig. Geográficas 2003, 107–118. [Google Scholar] [CrossRef]
  58. DOF. Reglamento para el Uso y Aprovechamiento del Mar Territorial, Vías Navegables, Playas, Zona Federal Marítimo Terrestre y Terrenos Ganados al Mar. 1991. Diario Oficial de la Federación. Available online: https://www.dof.gob.mx/nota_to_imagen_fs.php?codnota=4739967&fecha=21/08/1991&cod_diario=204238 (accessed on 23 July 2020).
  59. Periodico Oficial del Estado de Colima (PO). Decreto por el que se aprueba el Programa de Ordenamiento Ecológico y Territorial Local del territorio de Manzanillo. Manzanillo, Mexico, 2016. Available online: http://www.periodicooficial.col.gob.mx/p/30072016/sup01/16073001.pdf (accessed on 23 July 2020).
  60. Periodico Oficial del Estado de Colima (PO). Decreto bajo el cual se aprueba el Programa de Ordenamiento Ecológico y Territorial del Estado de Colima, México. 2012. Available online: https://www.col.gob.mx/transparencia/archivos/progrma_ordenamiento_ecologico_territorio.pdf (accessed on 23 July 2020).
  61. Stewart, J.R.; Gast, R.J.; Fujioka, R.S.; Solo-Gabriele, H.M.; Meschke, J.S.; Amaral-Zettler, L.A.; del Castillo, E.; Polz, M.F.; Collier, T.K.; Strom, M.S.; et al. The coastal environment and human health: Microbial indicators, pathogens, sentinels and reservoirs. Environ. Health 2008, 7, S3. [Google Scholar] [CrossRef]
  62. Herrera, A.; Suárez, P. Indicadores bacterianos como herramientas para medir la calidad ambiental del agua costera. Interciencia 2005, 30, 171–176. [Google Scholar]
  63. Silva-Iñiguez, L.; Gutiérrez-Corona, C.G.; Galeana-Miramontes, L.; López-Mendoza, A. El impacto de la actividad turística en la calidad bacteriológica del agua de mar. Gac. Ecológica 2007, 82, 69–76. [Google Scholar]
  64. Quijano-Scheggia, S. Advierte investigadora presencia de larva migrans en La Boquita; El Comentario: Colima, México, 2019; Available online: https://elcomentario.ucol.mx/advierte-investigadora-presencia-de-larva-migrans-en-la-boquita/ (accessed on 26 July 2020).
  65. Blackwell, V.; Vega-Lopez, F. Cutaneous larva migrans: Clinical features and management of 44 cases presenting in the returning traveller. Br. J. Dermatol. 2001, 145, 434–437. [Google Scholar] [CrossRef] [PubMed]
  66. Criado, D.V.B. Ordenación y Gestión del Territorio Turístico; Tirant lo Blanch: Valencia, España, 2002; ISBN 978-84-8442-536-6. [Google Scholar]
  67. Burlacu, A.; Burlacu, D.; Alpsoy, E. Cutaneous larva migrans—Not the most wanted souvenir from your vacations. Acta Med. Marisiensis 2019, 65, 15. [Google Scholar]
  68. Manjarrez, G.; Blanco, J.; González, B.; Botero, C.M.; Díaz-Mendoza, C. Parásitos en playas turísticas: Propuesta de inclusión como indicadores de calidad sanitaria. Revisión para América Latina. Ecol. Apl. 2019, 18, 91–100. [Google Scholar] [CrossRef]
  69. Seisdedo, M.; Moreira, A.R.; Comas, A.A.; Arencibia, G. Analysis of tools for trophic status assessment of water in Cienfuegos bay, Cuba. PANAMJAS 2014, 9, 103–111. [Google Scholar]
  70. Priskin, J. Assessment of natural resources for nature-based tourism: The case of the Central Coast Region of Western Australia. Tour. Manag. 2001, 22, 637–648. [Google Scholar] [CrossRef]
  71. Robinson, D.; Newman, S.P.; Stead, S.M. Community perceptions link environmental decline to reduced support for tourism development in small island states: A case study in the Turks and Caicos Islands. Mar. Policy 2019, 108, 103671. [Google Scholar] [CrossRef]
  72. Raza, S.A.; Sharif, A.; Wong, W.K.; Karim, M.Z.A. Tourism development and environmental degradation in the United States: Evidence from wavelet-based analysis. Curr. Issues Tour. 2017, 20, 1768–1790. [Google Scholar] [CrossRef]
Figure 1. Study area showing the La Boquita coastal system (LBCS).
Figure 1. Study area showing the La Boquita coastal system (LBCS).
Jmse 08 00615 g001
Figure 2. Diagram of the driving forces–pressure–state–impact–response (DPSIR) model structure, showing the indicators used for the La Boquita coastal system.
Figure 2. Diagram of the driving forces–pressure–state–impact–response (DPSIR) model structure, showing the indicators used for the La Boquita coastal system.
Jmse 08 00615 g002
Figure 3. Temperature (a), salinity (b), dissolved oxygen (c), chlorophyll-a (d), dissolved inorganic nitrogen (nitrates, nitrites, and ammonium) (e), and phosphate concentration (f) values for surface water in the Juluapan lagoon.
Figure 3. Temperature (a), salinity (b), dissolved oxygen (c), chlorophyll-a (d), dissolved inorganic nitrogen (nitrates, nitrites, and ammonium) (e), and phosphate concentration (f) values for surface water in the Juluapan lagoon.
Jmse 08 00615 g003
Figure 4. The Trophic index (TRIX) values in the three areas of the Juluapan Lagoon throughout the period sampled. Water quality and trophic levels are marked according to the value of the TRIX index based on the proposal of Penna et al. [37] (for statistical details, see Table A2).
Figure 4. The Trophic index (TRIX) values in the three areas of the Juluapan Lagoon throughout the period sampled. Water quality and trophic levels are marked according to the value of the TRIX index based on the proposal of Penna et al. [37] (for statistical details, see Table A2).
Jmse 08 00615 g004
Table 1. Types of information obtained from the perception surveys carried out.
Table 1. Types of information obtained from the perception surveys carried out.
SectionDescription
AptitudeRecreation habits described by the activities practiced on the beach, the reasons for visiting the beach, and how users consider their access, among others.
PerceptionThe opinions of users about the biophysical, social, and infrastructure conditions on the beach.
ProfileSocioeconomic characteristics of users based on the following parameters: age, education level, sex, marital status, occupation, and place of residence
Table 2. Space occupation indicators are shown for the periods before, during, and after Easter, as well as for the summer period.
Table 2. Space occupation indicators are shown for the periods before, during, and after Easter, as well as for the summer period.
IndicatorZoneBefore EasterDuring EasterAfter EasterSummer
Number of umbrellasI117174118146
II8312198109
IIINANANANA
IV19602240
Number of users in the recording stripI59655496
II321257092
III87266139144
IV5314166111
Density of beach users (m2/user)I16.915.418.510.4
II31.38.014.310.9
III11.53.87.26.9
IV18.97.115.29.0
Table 3. Enterococcus concentrations (MPN/100 mL) in surface seawater at La Boquita beach during the Easter (E), summer (SU), and December (DC) pre-holiday periods [40].
Table 3. Enterococcus concentrations (MPN/100 mL) in surface seawater at La Boquita beach during the Easter (E), summer (SU), and December (DC) pre-holiday periods [40].
Period2013201420152016
E10142210
SU13271325
DC22185250

Share and Cite

MDPI and ACS Style

Hernández-López, J.; Cervantes, O.; Olivos-Ortiz, A.; Guzmán-Reyna, R.R. DSPIR Framework as Planning and Management Tools for the La Boquita Coastal System, Manzanillo, Mexico. J. Mar. Sci. Eng. 2020, 8, 615. https://doi.org/10.3390/jmse8080615

AMA Style

Hernández-López J, Cervantes O, Olivos-Ortiz A, Guzmán-Reyna RR. DSPIR Framework as Planning and Management Tools for the La Boquita Coastal System, Manzanillo, Mexico. Journal of Marine Science and Engineering. 2020; 8(8):615. https://doi.org/10.3390/jmse8080615

Chicago/Turabian Style

Hernández-López, Julieta, Omar Cervantes, Aramis Olivos-Ortiz, and Rubén Ricardo Guzmán-Reyna. 2020. "DSPIR Framework as Planning and Management Tools for the La Boquita Coastal System, Manzanillo, Mexico" Journal of Marine Science and Engineering 8, no. 8: 615. https://doi.org/10.3390/jmse8080615

APA Style

Hernández-López, J., Cervantes, O., Olivos-Ortiz, A., & Guzmán-Reyna, R. R. (2020). DSPIR Framework as Planning and Management Tools for the La Boquita Coastal System, Manzanillo, Mexico. Journal of Marine Science and Engineering, 8(8), 615. https://doi.org/10.3390/jmse8080615

Note that from the first issue of 2016, this journal uses article numbers instead of page numbers. See further details here.

Article Metrics

Back to TopTop