Sediment Characteristics over Asymmetrical Tidal Sand Waves in the Dutch North Sea
Abstract
1. Introduction
2. Materials and Methods
2.1. Sand Wave Symmetry and Morphological Units
2.2. Study Site
2.3. Multibeam Data Collection and Selection of Sampling Locations
2.4. Sediment Sampling
2.5. Sediment Samples: Grain Size Distribution, Organic Carbon, and Chl-a
2.6. Sediment Permeability
2.7. Statistical Analysis
3. Results
3.1. A Note about the MBES Datasets
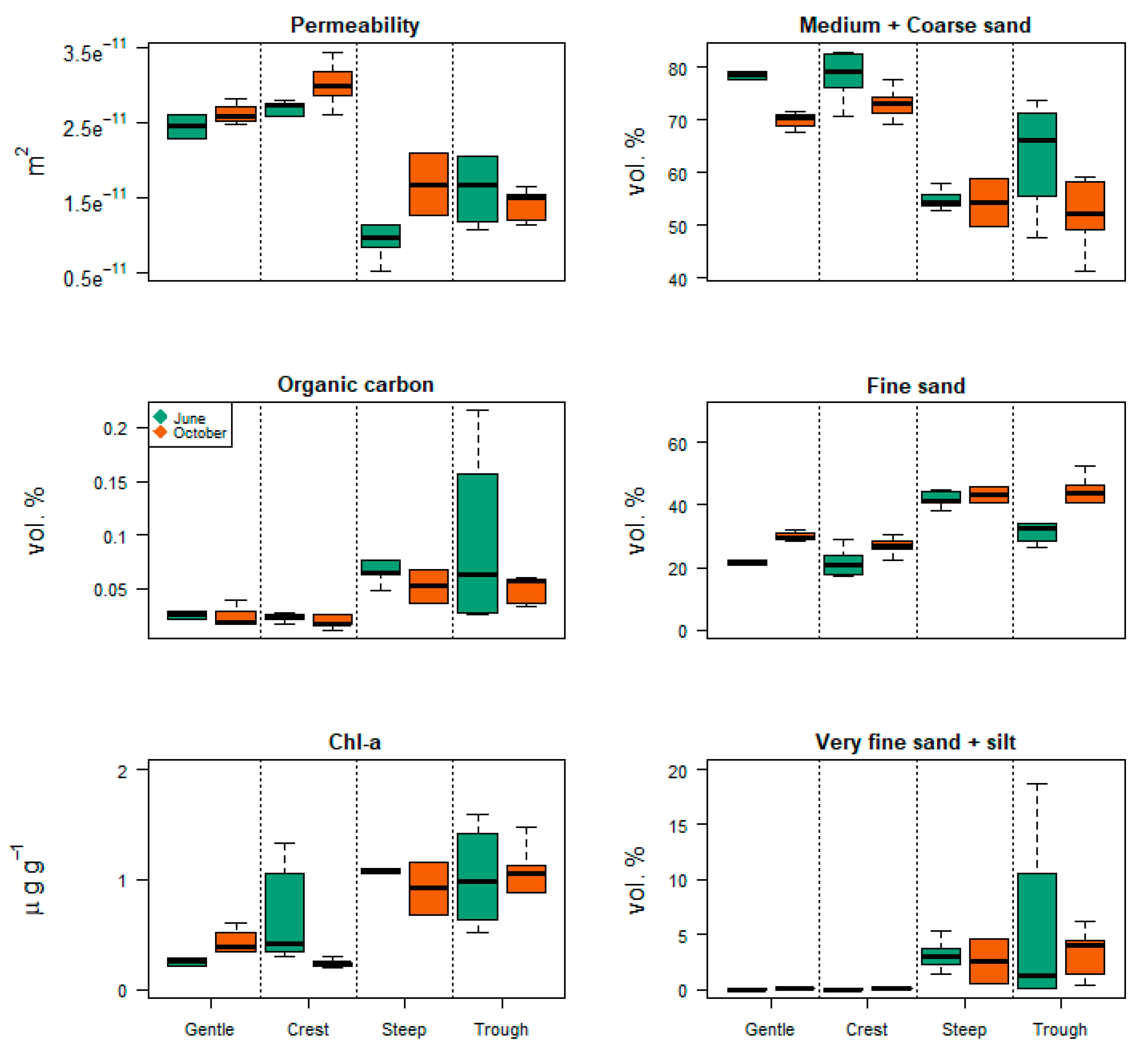
3.2. Sediment Composition, Organic Carbon, and Chl-a Content
3.3. Trends between the MUs
4. Discussion
5. Conclusions
Supplementary Materials
Author Contributions
Funding
Acknowledgments
Conflicts of Interest
References
- Besio, G.; Blondeaux, P.; Brocchini, M.; Hulscher, S.J.M.H.; Idier, D.; Knaapen, M.A.F.; Németh, A.A.; Roos, P.C.; Vittori, G. The morphodynamics of tidal sand waves: A model overview. Coast. Eng. 2008, 55, 657–670. [Google Scholar] [CrossRef]
- Borsje, B.W.; Bouma, T.J.; Rabaut, M.; Herman, P.M.J.; Hulscher, S.J.M.H. Formation and erosion of biogeomorphological structures: A model study on the tube-building polychaete Lanice conchilega. Limnol. Oceanogr. 2014, 59, 1297–1309. [Google Scholar] [CrossRef]
- Van Dijk, T.A.G.P.; Kleinhans, M.G. Processes controlling the dynamics of compound sand waves in the North Sea, Netherlands. J. Geophys. Res. Earth Surf. 2005, 110, 1–15. [Google Scholar] [CrossRef]
- Van Santen, R.B.; de Swart, H.E.; van Dijk, T.A.G.P. Sensitivity of tidal sand wavelength to environmental parameters: A combined data analysis and modelling approach. Cont. Shelf Res. 2011, 31, 966–978. [Google Scholar] [CrossRef]
- Baptist, M.J.; van Dalfsen, J.; Weber, A.; Passchier, S.; van Heteren, S. The distribution of macrozoobenthos in the southern North Sea in relation to meso-scale bedforms. Estuar. Coast. Shelf Sci. 2006, 68, 538–546. [Google Scholar] [CrossRef]
- De Jong, M.F.; Baptist, M.J.; Lindeboom, H.J.; Hoekstra, P. Short-term impact of deep sand extraction and ecosystem-based landscaping on macrozoobenthos and sediment characteristics. Mar. Pollut. Bull. 2015, 97, 294–308. [Google Scholar] [CrossRef]
- Lobo, F.J.; Hernández-Molina, F.J.; Somoza, L.; Rodero, J.; Maldonado, A.; Barnolas, A. Patterns of bottom current flow deduced from dune asymmetries over the Gulf of Cadiz shelf (southwest Spain). Mar. Geol. 2000, 164, 91–117. [Google Scholar] [CrossRef]
- Barnard, P.L.; Hanes, D.M.; Rubin, D.M.; Kvitek, R.G. Giant sand waves at the mouth of San Francisco Bay. Eos. Trans. Am. Geophys. Union 2006, 87, 285–289. [Google Scholar] [CrossRef]
- Hanes, D.M. The genesis of an inter-field marine sandwave and the associated anti-asymmetry migration of neighboring crests. Geophys. Res. Lett. 2012, 39, 1–7. [Google Scholar] [CrossRef]
- Liao, H.R.; Yu, H.S. Morphology, hydrodynamics and sediment characteristics of the Changyun sand ridge offshore western Taiwan. Terr. Atmos. Ocean. Sci. 2005, 16, 621–640. [Google Scholar] [CrossRef]
- Santoro, V.C.; Amore, E.; Cavallaro, L.; De Lauro, M. Evolution of sand waves in the Messina Strait, Italy. Ocean Dyn. 2004, 54, 392–398. [Google Scholar] [CrossRef]
- Katoh, K.; Kume, H.; Kuroki, K.; Hasegawa, J. The Development of Sand Waves and the Maintenance of Navigation Channels in the Bisanseto Sea. In Coastal Engineering 1998: Proceedings of the 26th International Conference, Copenhagen, Denmark, 22–26 June 1998; ASCE: Copenhagen, Denmark, 1998; pp. 3490–3502. [Google Scholar]
- Németh, A.A.; Hulscher, S.J.M.H.; de Vriend, H.J. Modelling sand wave migration in shallow shelf seas. Cont. Shelf Res. 2002, 22, 2795–2806. [Google Scholar] [CrossRef]
- Besio, G.; Blondeaux, P.; Brocchini, M.; Vittori, G. On the modeling of sand wave migration. J. Geophys. Res. Ocean. 2004, 109, 1–13. [Google Scholar] [CrossRef]
- Van Gerwen, W.; Borsje, B.W.; Damveld, J.H.; Hulscher, S.J.M.H. Modelling the effect of suspended load transport and tidal asymmetry on the equilibrium tidal sand wave height. Coast. Eng. 2018, 136, 56–64. [Google Scholar] [CrossRef]
- Roetert, T.; Raaijmakers, T.; Borsje, B. Cable Route Optimization for Offshore Wind Farms in Morphodynamic Areas. In Proceedings of the 29th International Ocean and Polar Engineering Conference, Honolulu, HI, USA, 16–21 June 2019; p. 12. [Google Scholar]
- De Jong, M.F.; Borsje, B.W.; Baptist, M.J.; van der Wal, J.T.; Lindeboom, H.J.; Hoekstra, P. Ecosystem-based design rules for marine sand extraction sites. Ecol. Eng. 2016, 87, 271–280. [Google Scholar] [CrossRef]
- Jongbloed, R.H.; van der Wal, J.T.; Lindeboom, H.J. Identifying space for offshore wind energy in the North Sea. Consequences of scenario calculations for interactions with other marine uses. Energy Policy 2014, 68, 320–333. [Google Scholar] [CrossRef]
- van Dalfsen, J.A.A.; Essink, K. Benthic Community Response to Sand Dredging and Shoreface Nourishment in Dutch Coastal Waters. Senckenbergiana Maritima 2001, 31, 329–332. [Google Scholar] [CrossRef]
- Van Oyen, T.; de Swart, H.; Blondeaux, P. Formation of rhythmic sorted bed forms on the continental shelf: An idealised model. J. Fluid Mech. 2011, 684, 475–508. [Google Scholar] [CrossRef]
- Van Oyen, T.; Blondeaux, P. Grain sorting effects on the formation of tidal sand waves. J. Fluid Mech. 2009, 629, 311–342. [Google Scholar] [CrossRef]
- Borsje, B.W.; de Vries, M.B.; Bouma, T.J.; Besio, G.; Hulscher, S.J.M.H.; Herman, P.M.J. Modeling bio-geomorphological influences for offshore sandwaves. Cont. Shelf Res. 2009, 29, 1289–1301. [Google Scholar] [CrossRef]
- Borsje, B.W.; Kranenburg, W.M.; Roos, P.C.; Matthieu, J.; Hulscher, S.J.M.H. The role of suspended load transport in the occurrence of tidal sand waves. J. Geophys. Res. Earth Surf. 2014, 119, 701–716. [Google Scholar] [CrossRef]
- Borsje, B.W.; Hulscher, S.J.M.H.; Herman, P.M.J.; De Vries, M.B. On the parameterization of biological influences on offshore sand wave dynamics. Ocean Dyn. 2009, 59, 659–670. [Google Scholar] [CrossRef]
- Van Oyen, T.; de Swart, H.E.; Blondeaux, P. Bottom topography and roughness variations as triggering mechanisms to the formation of sorted bedforms. Geophys. Res. Lett. 2010, 37, 1–5. [Google Scholar] [CrossRef]
- Van Oyen, T.; Blondeaux, P. Tidal sand wave formation: Influence of graded suspended sediment transport. J. Geophys. Res. Ocean. 2009, 114, 1–18. [Google Scholar] [CrossRef]
- Damveld, J.H.; Reijden, K.J.; Cheng, C.; Koop, L.; Haaksma, L.R.; Walsh, C.A.J.; Soetaert, K.; Borsje, B.W.; Govers, L.L.; Roos, P.C.; et al. Video transects reveal that tidal sand waves affect the spatial distribution of benthic organisms and sand ripples. Geophys. Res. Lett. 2018, 45. [Google Scholar] [CrossRef]
- Hulscher, S.J.M.H. Tidal-induced large-scale regular bed form patterns in a three-dimensional shallow water model. J. Geophys. Res. Ocean. 1996, 101, 20727–20744. [Google Scholar] [CrossRef]
- van der Veen, H.H.; Hulscher, S.J.M.H.; Knaapen, M.A.F. Grain size dependency in the occurrence of sand waves. Ocean Dyn. 2006, 56, 228–234. [Google Scholar] [CrossRef]
- Van Oyen, T.; Blondeaux, P.; Van den Eynde, D. Comparing field observations of sorting patterns along tidal sand waves with theoretical predictions. Mar. River Dune Dyn. 2013, 291–296. [Google Scholar] [CrossRef]
- Reiss, H.; Degraer, S.; Duineveld, G.C.A.; Kröncke, I.; Aldridge, J.; Craeymeersch, J.A.; Eggleton, J.D.; Hillewaert, H.; Lavaleye, M.S.S.; Moll, A.; et al. Spatial patterns of infauna, epifauna, and demersal fish communities in the North Sea. ICES J. Mar. Sci. J. Du Cons. 2010, 67, 278–293. [Google Scholar] [CrossRef]
- Aldridge, J.N.; Parker, E.R.; Bricheno, L.M.; Green, S.L.; van der Molen, J. Assessment of the physical disturbance of the northern European Continental shelf seabed by waves and currents. Cont. Shelf Res. 2015, 108, 121–140. [Google Scholar] [CrossRef]
- Wilson, R.J.; Speirs, D.C.; Sabatino, A.; Heath, M.R. A synthetic map of the north-west European Shelf sedimentary environment for applications in marine science. Earth Syst. Sci. Data 2018, 10, 109–130. [Google Scholar] [CrossRef]
- Svenson, C.; Ernstsen, V.B.; Winter, C.; Bartholomä, A.; Hebbeln, D. Tide-driven Sediment Variations on a Large Compound Dune in the Jade Tidal Inlet Channel, Southeastern North Sea. J. Coast. Res. 2009, 361–365. [Google Scholar]
- Blondeaux, P. Sediment mixtures, coastal bedforms and grain sorting phenomena: An overview of the theoretical analyses. Adv. Water Resour. 2012, 48, 113–124. [Google Scholar] [CrossRef]
- Venditti, J.G. 9.10 Bedforms in Sand-Bedded Rivers. In Treatise on Geomorphology; Shroder, J.F., Ed.; Academic Press: San Diego, CA, USA, 2013; pp. 137–162. ISBN 978-0-08-088522-3. [Google Scholar]
- Lefebvre, A.; Paarlberg, A.J.; Ernstsen, V.B.; Winter, C. Flow separation and roughness lengths over large bedforms in a tidal environment: A numerical investigation. Cont. Shelf Res. 2014, 91, 57–69. [Google Scholar] [CrossRef]
- Lefebvre, A.; Paarlberg, A.J.; Winter, C. Characterising natural bedform morphology and its influence on flow. Geo-Marine Lett. 2016, 36, 379–393. [Google Scholar] [CrossRef]
- Best, J.; Kostaschuk, R. An experimental study of turbulent flow over a low-angle dune. J. Geophys. Res. Ocean. 2002, 107, 18–19. [Google Scholar] [CrossRef]
- Kleinhans, M.G.; Schuurman, F.; Bakx, W.; Markies, H. Meandering channel dynamics in highly cohesive sediment on an intertidal mud flat in the Westerschelde estuary, the Netherlands. Geomorphology 2009, 105, 261–276. [Google Scholar] [CrossRef]
- Paarlberg, A.J.; Dohmen-Janssen, C.M.; Hulscher, S.J.M.H.; Termes, P. Modeling river dune evolution using a parameterization of flow separation. J. Geophys. Res. Earth Surf. 2009, 114, 1–17. [Google Scholar] [CrossRef]
- Janssen, F.; Bayani Cardenas, M.; Sawyer, A.; Dammrich, T.; Krietsch, J.; de Beer, D. A comparative experimental and multiphysics computational fluid dynamics study of coupled surface-subsurface flow in bed forms. Water Resour. Res. 2012, 48, 1–16. [Google Scholar] [CrossRef]
- Damen, J.M.; Dijk, T.A.G.P.; Hulscher, S.J.M.H. Spatially Varying Environmental Properties Controlling Observed Sand Wave Morphology. J. Geophys. Res. Earth Surf. 2018, 123, 262–280. [Google Scholar] [CrossRef]
- Terwindt, J.H.J. Sand waves in the southern bight of the North Sea. Mar. Geol. 1971, 10, 51–67. [Google Scholar] [CrossRef]
- Van Lancker, V.R.M.; Jacobs, P. The dynamical behaviour of shallow-marine dunes. In Proceedings of the International Workshop on Marine Sandwave Dynamics, Lille, France, 23–24 March 2000; Trentesaux, A., Garlan, T., Eds.; University of Lille 1: Lille, France, 2000; pp. 213–220. [Google Scholar]
- Stolk, A. Variation of sedimentary structures and grainsize over sandwaves. Mar. Sandwave Dyn. 2000, 1, 23–24. [Google Scholar]
- Passchier, S.; Kleinhans, M.G. Observations of sand waves, megaripples, and hummocks in the Dutch coastal area and their relation to currents and combined flow conditions. J. Geophys. Res. Earth Surf. 2005, 110, 1–15. [Google Scholar] [CrossRef]
- Roos, P.C.; Hulscher, S.J.M.H.; Van Der Meer, F.; Wientjes, I.G.M. Grain size sorting over offshore sandwaves: Observations and modelling. In Proceedings of the 5th IAHR Symposium on River, Coastal and Estuarine Morphodynamics, Enschede, The Netherlands, 17–21 September 2007; Dohmen-Janssen, C., Hulscher, S.J.M.H., Eds.; CRC Press: Enschede, The Netherlands, 2007; pp. 649–656. [Google Scholar]
- Koop, L.; Amiri-Simkooei, A.; van der Reijden, K.J.; O’Flynn, S.; Snellen, M.; Simons, D.G. Seafloor Classification in a Sand Wave Environment on the Dutch Continental Shelf Using Multibeam Echosounder Backscatter Data. Geosciences 2019, 9, 142. [Google Scholar] [CrossRef]
- Nugteren, P.; Moodley, L.; Brummer, G.-J.; Heip, C.; Herman, P.; Middelburg, J. Seafloor ecosystem functioning: The importance of organic matter priming. Mar. Biol. 2009, 156, 2277–2287. [Google Scholar] [CrossRef] [PubMed]
- Bauer, J.E.; Cai, W.-J.; Raymond, P.A.; Bianchi, T.S.; Hopkinson, C.S.; Regnier, P.A.G. The changing carbon cycle of the coastal ocean. Nature 2013, 504, 61–70. [Google Scholar] [CrossRef] [PubMed]
- Stephens, M.P.; Kadko, D.C.; Smith, C.R.; Latasa, M. Chlorophyll-a and pheopigments as tracers of labile organic carbon at the central equatorial Pacific seafloor. Geochim. Cosmochim. Acta 1997, 61, 4605–4619. [Google Scholar] [CrossRef]
- Boon, A.; Duineveld, G. Chlorophyll a as a marker for bioturbation and carbon flux in southern and central North Sea sediments. Mar. Ecol. Prog. Ser. 1998, 162, 33–43. [Google Scholar] [CrossRef]
- Bianchi, T.S. The role of terrestrially derived organic carbon in the coastal ocean: A changing paradigm and the priming effect. Proc. Natl. Acad. Sci. USA 2011, 108, 19473–19481. [Google Scholar] [CrossRef]
- Szymczak-Żyła, M. Analysis of chloropigments in marine sediments using accelerated solvent extraction (ASE). Limnol. Oceanogr. Methods 2016, 14, 477–489. [Google Scholar] [CrossRef][Green Version]
- Ramírez-Ortega, D.B.; Soto, L.A.; Estradas-Romero, A.; Hernández-Sandoval, F.E. Photosynthetic Pigments Contained in Surface Sediments from the Hydrothermal System of Guaymas Basin, Gulf of California. J. Mar. Biol. 2019, 2019, 1–8. [Google Scholar] [CrossRef]
- Wilson, A.M.; Huettel, M.; Klein, S. Grain size and depositional environment as predictors of permeability in coastal marine sands. Estuar. Coast. Shelf Sci. 2008, 80, 193–199. [Google Scholar] [CrossRef]
- Jenness, M.I.; Duineveld, G.C.A. Effects of tidal currents on chlorophyll a content of sandy sediments in the southern North Sea. Mar. Ecol. Prog. Ser. Oldend. 1985, 21, 283–287. [Google Scholar] [CrossRef]
- Huettel, M.; Gust, G. Solute release mechanisms from confined sediment cores in stirred benthic chambers and flume flows. Mar. Ecol. Prog. Ser. 1992, 82, 187–197. [Google Scholar] [CrossRef]
- Rusch, A.; Huettel, M. Advective particle transport into permeable sediments--evidence from experiments in an intertidal sandflat. Limnol. Oceanogr. 2000, 45, 523–533. [Google Scholar] [CrossRef]
- Serpetti, N.; Witte, U.F.M.; Heath, M.R. Statistical Modeling of Variability in Sediment-Water Nutrient and Oxygen Fluxes. Front. Earth Sci. 2016, 4, 65. [Google Scholar] [CrossRef]
- 4TU. Centre for Research Data. Available online: https://data.4tu.nl/repository/uuid:0d7e016d-2182-46ea-bc19-cdfda5c20308 (accessed on 19 May 2020).
- Puig, P.; Canals, M.; Company, J.B.; Martín, J.; Amblas, D.; Lastras, G.; Palanques, A.; Calafat, A.M. Ploughing the deep sea floor. Nature 2012, 489, 286–289. [Google Scholar] [CrossRef]
- R Core Team. R: A Language and Environment for Statistical Computing; R Foundation for Statistical Computing: Vienna, Austria, 2019. [Google Scholar]
- Hijmans, R.J. Raster: Geographic Data Analysis and Modeling; R package version 2.6-7: Davis, CA, USA, 2017. [Google Scholar]
- IHO-IOC. General Bathymetric Chart of the Oceans. Available online: https://www.gebco.net/data_and_products/gridded_bathymetry_data/ (accessed on 8 February 2018).
- McCave, I.N.; Bryant, R.J.; Cook, H.F.; Coughanowr, C.A. Evaluation of a laser-diffraction-size analyzer for use with natural sediments. J. Sediment. Res. 1986, 56, 561–564. [Google Scholar] [CrossRef]
- Nieuwenhuize, J.; Maas, Y.E.M.; Middelburg, J.J. Rapid analysis of organic carbon and nitrogen in particulate materials. Mar. Chem. 1994, 45, 217–224. [Google Scholar] [CrossRef]
- Ritchie, R.J. Consistent sets of spectrophotometric chlorophyll equations for acetone, methanol and ethanol solvents. Photosynth. Res. 2006, 89, 27–41. [Google Scholar] [CrossRef] [PubMed]
- Glud, R.N.; Gundersen, J.K.; Revsbech, N.P.; Jorgensen, B.B.; Huettel, M. Calibration and performance of the stirred flux chamber from the benthic lander Elinor. Deep Sea Res. Part I Oceanogr. Res. Pap. 1995, 42, 1029–1042. [Google Scholar] [CrossRef]
- Glud, R.N.; Forster, S.; Huettel, M. Influence of radial pressure gradients on solute exchange in stirred benthic chambers. Mar. Ecol. Prog. Ser. 1996, 141, 303–311. [Google Scholar] [CrossRef]
- Lenth, R.V. Least-Squares Means: The R Package lsmeans. J. Stat. Softw. 2016, 69, 1–33. [Google Scholar] [CrossRef]
- Van Dijk, T.A.G.P.; van Dalfsen, J.A.; van Lancker, V.; van Overmeeren, R.A.; van Heteren, S.; Doornenbal, P.J. Benthic Habitat Variations Over Tidal Ridges, North Sea, The Netherlands. Seafloor Geomorphol. Benthic Habitat 2012, 241–249. [Google Scholar] [CrossRef]
- Knaapen, M.A.F. Sandwave migration predictor based on shape information. J. Geophys. Res. Earth Surf. 2005, 110. [Google Scholar] [CrossRef]
- Van Dijk, T.A.G.P.; Lindenbergh, R.C.; Egberts, P.J.P. Separating bathymetric data representing multiscale rhythmic bed forms: A geostatistical and spectral method compared. J. Geophys. Res. Earth Surf. 2008, 113. [Google Scholar] [CrossRef]
- Santos, I.R.; Eyre, B.D.; Huettel, M. The driving forces of porewater and groundwater flow in permeable coastal sediments: A review. Estuar. Coast. Shelf Sci. 2012, 98, 1–15. [Google Scholar] [CrossRef]
- Hedges, J.I.; Keil, R.G. Sedimentary organic matter preservation: An assessment and speculative synthesis. Mar. Chem. 1995, 49, 81–115. [Google Scholar] [CrossRef]
- Burdige, D.J. Preservation of Organic Matter in Marine Sediments: Controls, Mechanisms, and an Imbalance in Sediment Organic Carbon Budgets? Chem. Rev. 2007, 107, 467–485. [Google Scholar] [CrossRef]
- Serrano, O.; Lavery, P.; Duarte, C.; Kendrick, G.; Calafat, A.; York, P.; Steven, A.; Macreadie, P. Can mud (silt and clay) concentration be used to predict soil organic carbon content within seagrass ecosystems? Biogeosciences 2016, 13, 4915–4926. [Google Scholar] [CrossRef]
- Dalrymple, R.W. Morphology and internal structure of sandwaves in the Bay of Fundy. Sedimentology 1984, 31, 365–382. [Google Scholar] [CrossRef]
- Kröncke, I.; Reiss, H.; Dippner, J.W. Effects of cold winters and regime shifts on macrofauna communities in shallow coastal regions. Estuar. Coast. Shelf Sci. 2013, 119, 79–90. [Google Scholar] [CrossRef]
- Franco, M.; Vanaverbeke, J.; Oevelen, D.; Soetaert, K.; Costa, M.; Vincx, M.; Moens, T. Respiration partitioning in contrasting subtidal sediments: Seasonality and response to a spring phytoplankton deposition. Mar. Ecol. 2010, 31, 276–290. [Google Scholar] [CrossRef]
- Rumyantseva, A.; Henson, S.; Martin, A.; Thompson, A.F.; Damerell, G.M.; Kaiser, J.; Heywood, K.J. Phytoplankton spring bloom initiation: The impact of atmospheric forcing and light in the temperate North Atlantic Ocean. Prog. Oceanogr. 2019, 178, 102202. [Google Scholar] [CrossRef]
- Gabas, N.; Hiquily, N.; Laguérie, C. Response of Laser Diffraction Particle Sizer to Anisometric Particles. Part. Part. Syst. Charact. 1994, 11, 121–126. [Google Scholar] [CrossRef]
- Kaye, B.H.; Alliet, D.; Switzer, L.; Turbitt-Daoust, C. The Effect of Shape on Intermethod Correlation of Techniques for Characterizing the Size Distribution of Powder. Part 1: Correlating the Size Distribution Measured by Sieving, Image Analysis, and Diffractometer Methods. Part. Part. Syst. Charact. 1997, 14, 219–224. [Google Scholar] [CrossRef]
- Neumann, A.; Möbius, J.; Hass, H.C.; Puls, W.; Friedrich, J. Empirical model to estimate permeability of surface sediments in the German Bight (North Sea). J. Sea Res. 2016, 127, 36–45. [Google Scholar] [CrossRef]
- Mietta, F.; Chassagne, C.; Manning, A.J.; Winterwerp, J.C. Influence of shear rate, organic matter content, pH and salinity on mud flocculation. Ocean Dyn. 2009, 59, 751–763. [Google Scholar] [CrossRef]
- Gerbersdorf, S.U.; Bittner, R.; Lubarsky, H.; Manz, W.; Paterson, D.M. Microbial assemblages as ecosystem engineers of sediment stability. J. Soils Sediments 2009, 9, 640–652. [Google Scholar] [CrossRef]
- Decho, A.W.; Gutierrez, T. Microbial Extracellular Polymeric Substances (EPSs) in Ocean Systems. Front. Microbiol. 2017, 8, 922. [Google Scholar] [CrossRef] [PubMed]
- Eshel, G.; Levy, G.; Mingelgrin, U.; Singer, M. Critical Evaluation of the Use of Laser Diffraction for Particle-Size Distribution Analysis. Reprod. Soil Sci. Soc. Am. J. Publ. Soil Sci. Soc. Am. All Copyr. Reserv. 2004, 68. [Google Scholar] [CrossRef]
- Blott, S.J.; Pye, K. Particle size distribution analysis of sand-sized particles by laser diffraction: An experimental investigation of instrument sensitivity and the effects of particle shape. Sedimentology 2006, 53, 671–685. [Google Scholar] [CrossRef]






© 2020 by the authors. Licensee MDPI, Basel, Switzerland. This article is an open access article distributed under the terms and conditions of the Creative Commons Attribution (CC BY) license (http://creativecommons.org/licenses/by/4.0/).
Share and Cite
Cheng, C.H.; Soetaert, K.; Borsje, B.W. Sediment Characteristics over Asymmetrical Tidal Sand Waves in the Dutch North Sea. J. Mar. Sci. Eng. 2020, 8, 409. https://doi.org/10.3390/jmse8060409
Cheng CH, Soetaert K, Borsje BW. Sediment Characteristics over Asymmetrical Tidal Sand Waves in the Dutch North Sea. Journal of Marine Science and Engineering. 2020; 8(6):409. https://doi.org/10.3390/jmse8060409
Chicago/Turabian StyleCheng, Chiu Hwa, Karline Soetaert, and Bas Wijnand Borsje. 2020. "Sediment Characteristics over Asymmetrical Tidal Sand Waves in the Dutch North Sea" Journal of Marine Science and Engineering 8, no. 6: 409. https://doi.org/10.3390/jmse8060409
APA StyleCheng, C. H., Soetaert, K., & Borsje, B. W. (2020). Sediment Characteristics over Asymmetrical Tidal Sand Waves in the Dutch North Sea. Journal of Marine Science and Engineering, 8(6), 409. https://doi.org/10.3390/jmse8060409

