Density and Abundance of Delphinus delphis in Waters South of Samos Island, Greece (Eastern Mediterranean Sea)
Abstract
:1. Introduction
2. Materials and Methods
2.1. Study Area
2.2. Data Collection
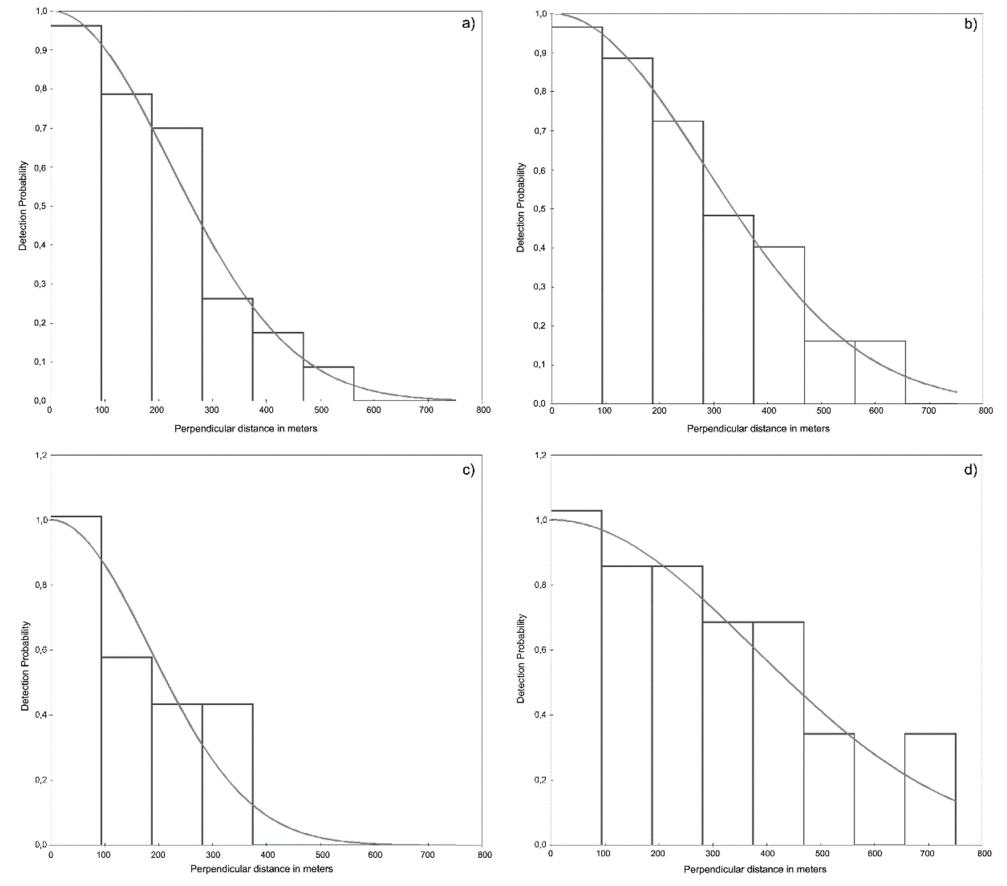
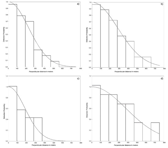
2.3. Data Analysis
3. Results
4. Discussion
Author Contributions
Funding
Conflicts of Interest
References
- Notarbartolo di Sciara, G. Marine Mammals in the Mediterranean Sea: An overview. In Mediterranean Marine Mammal Ecology and Conservation; Advances in Marine Biology; Notarbartolo Di Sciara, G., Podestà, M., Curry, B.E., Eds.; Academic Press: London, UK, 2016; Volume 75, pp. 1–36. [Google Scholar]
- Perrin, W.F. Common dolphins Delphinus delphis, D. capensis, and D. tropicalis. In Encyclopedia of Marine Mammals, 3rd ed.; Würsig, B., Thewissen, J.G.M., Kovacs, K.M., Eds.; Academic Press: London, UK, 2018; pp. 20–209. [Google Scholar]
- Cañadas, A.; Sagarminaga, R.; García-Tiscar, S. Cetacean distribution related with depth and slope in the Mediterranean waters off southern Spain. Deep Sea Res I 2002, 49, 2053–2073. [Google Scholar] [CrossRef]
- Forcada, J.; Hammond, P.S. Geographical variation in abundance of striped and common dolphin in the western Mediterranean sea after the 1990 epizootic outbreak. J. Sea Res. 1998, 10, 137–150. [Google Scholar]
- Politi, E.; Bearzi, M.; Notarbartolo di Sciara, G.; Cussino, E.; Gnone, G. Distribution and frequency of cetaceans in the waters adjacent to the Greek Ionian Islands. In Proceedings of the 6th Annual Conference of European Research Cetacean Society, San Remo, Italy, 20–22 February1992; pp. 75–78. [Google Scholar]
- Bearzi, G.; Randall, R.R.; Notarbartolo-Di-Sciara, G.; Politi, E.; Cañadas, A.; Frantzis, A.; Mussi, B. Ecology, status and conservation of short-beaked common dolphins Delphinus delphis in the Mediterranean Sea. Mammal Rev. 2003, 33, 224–252. [Google Scholar] [CrossRef] [Green Version]
- García-Tiscar, S.; Knouse, D.; Sagarminaga, R.; Cañadas, A. An insight on the biological significance of mixed groups of common dolphins (Delphinus delphis) and striped dolphins (Stenella coeruleoalba) in the Alborán Sea. Eur. Res. Cetaceans 2000, 14, 135–137. [Google Scholar]
- Mussi, B.; Miragliuolo, A.; Bearzi, G. Short-beaked common dolphins around the Island of Ischia, Italy (southern Tyrrhenian Sea). Eur. Res. Cetaceans 2002, 16, 15. [Google Scholar]
- Mussi, B.; Miragliuolo, A. I cetacei della costa nord occidentale dell’isola di Ischia (Canyon di Cuma). In Ambiente marino costiero e territorio delle isole flegree (Ischia Procida e Vivara—Golfo di Napoli). Risultati di uno studio interdisciplinare; Gambi, M.C., De Lauro, M., Jannuzzi, F., Eds.; Liguori: Napoli, Italy, 2003; pp. 213–232. [Google Scholar]
- Azzellino, A.; Gaspari, S.; Airoldi, S.; Nani, B. Habitat use and preferences of cetaceans along the continental slope and the adjacent pelagic waters in the western Ligurian Sea. Deep Sea Res I 2008, 55, 296–323. [Google Scholar] [CrossRef]
- Cañadas, A.; Hammond, P.S. Abundance and habitat preferences of short-beaked common dolphins (Delphinus delphis) in the South-western Mediterranean: implications for conservation. Endang. Species Res. 2008, 4, 309–331. [Google Scholar] [CrossRef]
- Natoli, A.; Cañadas, A.; Vaquero, C.; Politi, E.; Fernandez-Navarro, P.; Hoelzel, A.R. Conservation genetics of the short-beaked common dolphin (Delphinus delphis) in the Mediterranean Sea and in the eastern North Atlantic Ocean. Conserv. Genet. 2008, 9, 1479–1487. [Google Scholar] [CrossRef]
- Pace, D.S.; Mussi, B.; Airoldi, S.; Alessi, J.; Arcangeli, A.; Atzori, F.; Giacoma, C.; Tringali, M. New insights on the presence and distribution of the endangered short-beaked common dolphin Delphinus delphis in Italian waters. Biol. Mar. Medit. 2015, 22, 262–263. [Google Scholar]
- Mussi, B.; Vivaldi, C.; Zucchini, A.; Miragliuolo, A.; Pace, D.S. The decline of short-beaked common dolphin (Delphinus delphis) in the waters off the island of Ischia (Gulf of Naples, Italy). Aquatic Conserv. Mar. Freshw. Ecosyst. 2019. [Google Scholar] [CrossRef] [Green Version]
- Frantzis, A.; Herzing, D.L. Mixed species associations of striped dolphin (Stenella coeruleoalba), short-beaked common dolphin (Delphinus delphis) and Risso’s dolphin (Grampus griseus), in the Gulf of Corinth (Greece, Mediterranean Sea). Aquatic Mammal 2002, 28, 188–197. [Google Scholar]
- Frantzis, A. Cetaceans in Greece: Present Status of Knowledge; Initiative for the Conservation of Cetaceans in Greece: Athens, Greece, 2009; p. 94. [Google Scholar]
- Bearzi, G.; Bonizzoni, S.; Santostasi, N.L.; Furey, N.B.; Eddy, L.; Valavanis, V.D.; Gimenez, O. Dolphins in a scaled-down Mediterranean: the Gulf of Corinth’s odontocetes. Adv. Mar. Biol. 2016, 75, 297–331. [Google Scholar] [PubMed]
- Santostasi, N.L.; Bonizzoni, S.; Bearzi, G.; Eddy, L.; Gimenez, O. A robust design capture-recapture analysis. PLoS ONE 2016, 11, e0166650. [Google Scholar] [CrossRef] [Green Version]
- Santostasi, N.L.; Bonizzoni, S.; Gimenez, O.; Eddy, L.; Bearzi, G. Common dolphins in the Gulf of Corinth are Critically Endangered. Aquatic Conserv. Mar. Freshw. Ecosyst. 2018, 1–9. [Google Scholar] [CrossRef] [Green Version]
- Bearzi, G. Delphinus delphis (Mediterranean subpopulation); The IUCN Red List of Threatened Species: 2003; e.T41762A10557372. Available online: https://dx.doi.org/10.2305/IUCN.UK.2003.RLTS.T41762A10557372.en (accessed on 19 March 2020).
- Carlucci, R.; Fanizza, C.; Cipriano, G.; Paoli, C.; Russo, T.; Vassallo, P. Modeling the spatial distribution of the striped dolphin (Stenella coeruleoalba) and common bottlenose dolphin (Tursiops truncatus) in the Gulf of Taranto (Northern Ionian Sea, Central-eastern Mediterranean Sea). Ecol. Indicat. 2016, 69, 707–721. [Google Scholar] [CrossRef]
- Carlucci, R.; Ricci, P.; Cipriano, G.; Fanizza, C. Abundance, activity and critical habitat of the striped dolphin Stenella coeruleoalba in the Gulf of Taranto (Northern Ionian Sea, Central Mediterranean Sea). Aquatic Conserv. Mar. Freshw. Ecosys. 2018, 28, 324–336. [Google Scholar] [CrossRef]
- Carlucci, R.; Cipriano, G.; Paoli, C.; Ricci, P.; Fanizza, C.; Capezzuto, F.; Vassallo, P. Random Forest population modelling of striped and common-bottlenose dolphins in the Gulf of Taranto (Northern Ionian Sea, Central-eastern Mediterranean Sea). Estuar. Coast Shelf Sci. 2018, 204, 177–192. [Google Scholar] [CrossRef]
- IUCN. Marine Mammals and Sea Turtles of the Mediterranean and Black Seas; IUCN: Gland, Switzerland, 2012; p. 32. [Google Scholar]
- Benmessaoud, R.; Chérif, M.; Bradai, M.N.; Bejaoui, N. Distribution of bottlenose dolphin around Kelibia (Northeastern of Tunisia). Asian J. Contemp. Sci. 2012, 1, 1–11. [Google Scholar]
- Dede, A.; Öztürk, B. Cetacean observations in the Marmara and Aegean Sea in spring season 2005. Rapport Commission International Mer Méditerranèe 2007, 38, 455. [Google Scholar]
- Ryan, C.; Cucknell, A.C.; Romagosa, M.; Boisseau, O.; Moscrop, A.; Frantzis, A.; McLanaghan, R. A visual and acoustic survey for marine mammals in the Eastern Mediterranean Sea during summer 2013. In Unpublished Report to the International Fund for Animal Welfare; Marine Conservation Research International: Kelvedon, UK, 2014. [Google Scholar]
- Giannoulaki, M.; Markogloub, E.; Valavanis, V.D.; Alexiadou, P.; Cucknell, A.; Frantzis, A. Linking small pelagic fish and cetacean distribution to model suitable habitat for coastal dolphin species, Delphinus delphis and Tursiops truncatus, in the Greek Seas (Eastern Mediterranean). Aquatic Conserv. Mar. Freshwater Ecosyst. 2017, 27, 436–451. [Google Scholar] [CrossRef]
- Boisseau, O.; Lacey, C.; Lewis, T.; Moscrop, A.; Danbolt, M.; Mclanaghan, R. Encounter rates of cetaceans in the Mediterranean Sea and contiguous Atlantic area. J. Mar. Biol. Assoc. UK 2010, 90, 1589–1599. [Google Scholar] [CrossRef]
- Kerem, D.; Hadar, N.; Goffman, O.; Scheinin, A.; Kent, R.; Boisseau, O.; Schattner, U. Update on the cetacean fauna of the Mediterranean Levantine basin. Open Mar. Biol. J. 2012, 6, 6–27. [Google Scholar] [CrossRef] [Green Version]
- Vella, A. Common dolphins (Delphinus delphis) status in the central and southern Mediterranean around the Maltese Islands. In Proceedings of the 18th Annual Conference European Cetacean Society Kolmården Djurpark, Kolmården, Sweden, 8–10 April 2005; pp. 4–12. [Google Scholar]
- Bearzi, G.; Politi, E.; Agazzi, S.; Bruno, S.; Costa, M.; Bonizzoni, S. Occurrence and present status of coastal dolphins (Delphinus delphis and Tursiops truncatus) in the eastern Ionian Sea. Aquatic Conserv. Mar. Freshw. Ecosys. 2005, 15, 243–257. [Google Scholar] [CrossRef]
- Bearzi, G.; Agazzi, S.; Gonzalvo, J.; Costa, M.; Bonizzoni, S.; Politi, E.; Piroddi, C.; Reeves, R.R. Overfishing and the disappearance of short-beaked common dolphins from western Greece. Endang. Species Res. 2008, 5, 1–12. [Google Scholar] [CrossRef]
- Bearzi, G.; Bonizzoni, S.; Agazzi, S.; Gonzalvo, J. Striped and short-beaked common dolphins in the Gulf of Corinth, Greece: Abundance estimates from dorsal fin photographs. Mar. Mammal. Sci. 2011, 27, E165–E184. [Google Scholar] [CrossRef]
- Milani, C.; Vella, A.; Vidoris, P.; Christidis, A.; Koutrakis, E. Abundance, distribution and diet of the common dolphin, Delphinus delphis, in the northern Aegean Sea (Greece). Aquatic Conserv. Mar. Freshw. Ecosys. 2019, 1–11. [Google Scholar] [CrossRef] [Green Version]
- Inch, K.M.; Pietroluongo, G.; Hepburn, L.J. Population abundance, distribution, and socioeconomic analysis of Delphinus delphis and Tursiops truncatus in relation to vessel presence in the Eastern Aegean Sea. J. Mar. Biol. Oceanogr. 2018, 7, 2. [Google Scholar] [CrossRef]
- Pace, D.S.; Mussi, B.; Vella, A.; Vella, J.; Frey, S.; Bearzi, G.; Pierce, G.J. Proceedings of the Report of the 1st International Workshop Conservation and Research Networking on Short-beaked Common Dolphin Delphinus delphis in the Mediterranean Sea, Mediterranean Common Dolphin Working Group, Ischia Island, Italy, 13–15 April 2016.
- ACCOBAMS, MOP4/2010/Res 4.15. Marine Protected Areas of Importance for Cetacean Conservation. Available online: https://www.accobams.org/wp-content/uploads/2016/06/ACCOBAMS_MOP4_Res.4.15.pdf (accessed on 19 March 2020).
- Katağan, T.; Tokaç, A.; Beşiktepe, Ş.; Öztürk, B. The Aegean Sea marine biodiversity, fisheries, conservation and governance. Turkish Marine Research Foundation (TUDAV) 2015, 41. [Google Scholar]
- Bearzi, G.; Notarbartolo di Sciara, G.; Reeves, R.R.; Cañadas, A.; Frantzis, A. Conservation Plan for short-beaked common dolphins in the Mediterranean Sea. In ACCOBAMS, Agreement on the Conservation of Cetaceans of the Black Sea, Mediterranean Sea and Contiguous Atlantic Area; Accobams News: Les Terrasses de Fontvieille, Monaco, 2004; p. 90. [Google Scholar]
- Miliou, A.; Kolle, S.; Clarke, J.; Demetriou, M. Production and composition of small-scale fisheries landings in the Eastern Aegean Sea. Rapport Commission international Mer Méditerranèe (CIESM) 2010, 39. [Google Scholar]
- Seary, R.; Apostolidis, X.; Bintoudi, E.; Shepperson, J.; Jeffery, A.; Miliou, A. Artisanal fisheries landings by seabed habitat in Fourni, NE Aegean, Greece. Rapport Commission international Mer Méditerranèe (CIESM) 2013, 40. [Google Scholar]
- Vlachopoulou, E.I.; Wilson, A.M.; Miliou, A. Disconnects in EU and Greek fishery policies and practices in the Eastern Aegean Sea and impacts on Posidonia oceanica meadows. Ocean Coastal Manag. 2013, 76, 105–113. [Google Scholar] [CrossRef]
- Ríos, N.; Drakulic, M.; Paradinas, I.; Milliou, A.; Cox, R. Occurrence and impact of interactions between small-scale fisheries and predators, with focus on Mediterranean monk seals (Monachus monachus Hermann 1779), around Lipsi Island complex, Aegean Sea, Greece. Fish Res. 2017, 187, 1–10. [Google Scholar] [CrossRef]
- Buckland, S.T.; Anderson, D.R.; Burnham, K.P.; Laake, J.L.; Borchers, D.L.; Thomas, L. Introduction to Distance Sampling; Oxford University Press: London, UK, 2001. [Google Scholar]
- Thomas, L.; Buckland, S.T.; Rexstad, E.A.; Laake, J.L.; Strindberg, S.; Hedley, S.L.; Bishop, J.R.B.; Marques, T.A.; Burnham, K.P. Distance software: design and analysis of distance sampling surveys for estimating population size. J. Appl. Ecol. 2010, 47, 5–14. [Google Scholar] [CrossRef] [PubMed] [Green Version]
- Strindberg, S.; Buckland, S.T. Zigzag survey designs in line transect sampling. J. Agr. Biol. Envir. St 2004, 9, 443–461. [Google Scholar] [CrossRef]
- Barco, S.G.; Swingle, W.M.; Mlellan, W.A.; Harris, R.N.; Pabst, D.A. Local abundance and distribution of bottlenose dolphins (Tursiops truncatus) in the nearshore eaters of Virginia Beach, Virginia. Mar. Mammal. Sci. 1999, 15, 394–408. [Google Scholar] [CrossRef]
- Birkemeier, B.; Lonsdale, H. Marine mammal team boat survey booklet: conduction of boat surveys and data processing. In Archipelagos; Institute of Marine Conservation: Samos, Greece, 2016. [Google Scholar]
- Buckland, S.T.; Rexstad, E.A.; Marques, T.A.; Oedekoven, C.S. Distance Sampling: Methods and Applications; Springer International Publishing: Cham, Switzerland, 2015. [Google Scholar]
- Akaike, H. A Bayesian extension of the minimum AIC procedure of autoregressive model fitting. Biometrika 1979, 66, 237–242. [Google Scholar] [CrossRef]
- McDonald, J.H. Handbook of Biological Statistics, 3rd ed.; Sparky House Publishing: Baltimore, MD, USA, 2014. [Google Scholar]
- Hammer, Ø.; Harper, D.A.T.; Rayan, P.D. PAST: Paleontological Statistic software package for education and data analysis. Palaeontol. Electron. 2001, 4, 1–9. [Google Scholar]
- Markoglou, E.; Frantzis, A.; Valavanis, V.D.; Alexiadou, P.; Kalaitzidis, C.; Cucknell, A.C.; Giannoulaki, M. Habitat suitability of short-beaked common dolphin in the Aegean and Ionian Seas in relation to sardine presence. Panhellenic Symp. Oceanogr. Fish. 2016, 11, 73–76. [Google Scholar]
- Neumann, D.R. The activity budget of free-ranging common dolphins (Delphinus delphis) in the northwestern Bay of Plenty, New Zealand. Aquat. Mamm. 2001, 27, 121–136. [Google Scholar]
- Giannoulaki, M.; Valavanis, V.D.; Palialexis, A.; Tsagarakis, K.; Machias, A.; Somarakis, S.; Papaconstantinou, C. Modelling the presence of anchovy Engraulis encrasicolus in the Aegean Sea during early summer, based on satellite environmental data. Hydrobiologia 2008, 612, 225–240. [Google Scholar] [CrossRef]
- Tonay, A.M.; Dede, A.; Öztürk, A.A. Cetacean in the Aegean Sea. In The Aegean Sea Marine Biodiversity, Fisheries, Conservation and Governance; Katağan, T., Tokaç, A., Beşiktepe, S., Öztürk, B., Eds.; Turkish Marine Research Foundation: Istanbul, Turkey, 2015; Volume 41, pp. 599–611. [Google Scholar]
- Milani, C.; Vella, A.; Vidoris, P.; Christidis, A.; Koutrakis, E.; Frantzis, A.; Miliou, A.; Kallianiotis, A. Cetacean stranding and diet analyses in the North Aegean Sea (Greece). J. Mar. Biol. Assoc. UK 2018, 98, 1011–1028. [Google Scholar] [CrossRef]
- Mannocci, L.; Roberts, J.J.; Halpin, P.N.; Vella, J. Assessing cetacean surveys throughout the Mediterranean Sea: a gap analysis in environmental space. Sci. Rep. 2018, 8, 1–14. [Google Scholar] [CrossRef] [PubMed]
- Hoyt, E.; Notarbartolo di Sciara, G. IUCN Marine Mammal Protected Areas Task Force and International Committee on Marine Mammal Protected Areas. In Proceedings of the Report of the workshop for the development of Important Marine Mammal Area (IMMA) Criteria, Marseille, France, 22 October 2013. [Google Scholar]


| Sampling Period | N. Daily Surveys | Effort | Depth Range (m) | Mean Depth | N. of Sightings | |
|---|---|---|---|---|---|---|
| Hours | Kilometers | |||||
| Feb–Dec 2016 | 77 | 385 | 3850 | 18−86 | 54 ± 19 | 34 |
| Jan–Dec 2017 | 60 | 300 | 3000 | 30−100 | 62 ± 23 | 48 |
| Jan–Dec 2018 | 45 | 225 | 2250 | 47−90 | 71 ± 14 | 17 |
| Jan–Sep 2019 | 32 | 160 | 1600 | 12−93 | 54 ± 24 | 29 |
| Total | 214 | 1070 | 10700 | 12−100 | 60 ± 22 | 128 |
| Year | Encounter Rate | ESW | Group Size | Density | Abundance |
|---|---|---|---|---|---|
| 2016 | 0.009 (16.32) | 278.45 (13.15) | 9 (11.29) | 0.14 (23.81) | 53 (23.81) |
| 2017 | 0.014 (12.73) | 354.17 (11.89) | 7 (10.01) | 0.14 (20.09) | 48 (20.09) |
| 2018 | 0.009 (25.33) | 229.85 (20.93) | 6 (19.42) | 0.11 (38.17) | 39 (38.17) |
| 2019 | 0.017 (19.17) | 449.46 (15.86) | 10 (17.28) | 0.19 (30.29) | 67 (30.29) |
| Region | Investigated Area | Years | Study Area | Observation Platform | Estimation Method | ER | D (%CV) | N (%CV) | Mean Group Size |
|---|---|---|---|---|---|---|---|---|---|
| Western Mediterranean region | Alborán Sea, Spain [4] | 1991 | 90670 | Boat | CDS | 2.11 | 0.160 (40) | 14736 (40) | 38.4 |
| 1992 | - | - | - | 0.75 | - | - | 10.0 | ||
| Ischia Island, Italy [8] | 1997–2001 | - | Boat | Photo-ID | - | - | - | 65.5 | |
| Southern Almeria and westernmost Alborán Sea, Spain [11] | 2000–2004 | 19189 | Boat | MCDS | - | 1.010 (10.7–18.0) | 19428 (10.7–18.0) | - | |
| Pelagos Sanctuary, Italy [13] | 2000–2014 | - | Different boats | Visual surveys | - | - | - | 5.9 | |
| Central Tyrrhenian Sea, mainly Ischia Island [13] | - | - | - | - | 33.5 | ||||
| Southern Tyrrhenian Sea, mainly Strait of Messina [13] | - | - | - | - | 13.9 | ||||
| Sicily Channel, mainly Lampedusa Island [13] | - | - | - | - | - | ||||
| Western Ionian Sea [13] | - | - | - | - | - | ||||
| Waters off Ischia Island (Gulf of Naples, Italy) [14] | 2000–2015 | 8800 | Boat | Visual surveys | 0.12 | - | - | 43.6 | |
| Central-eastern Mediterranean region | Malta Island [31] | 1997–2003 | 28000 | Boat + aerial | - | - | 0.140 (29.5) | - | 25.0 |
| Kalamos Island, Greece [6] | 1993–2002 | 500 | Boat | Photo-ID | 1.60 (1993–2000) 0.70 (2001–2002) | - | - | 12.0–7.0 | |
| Inner Ionian Sea Archipelago, Greece [32] | 1993–2003 | 480 | Boat | Photo-ID | 2.18 (1997) 0.40 (2003) | - | - | 13.1–9.2 | |
| - | - | ||||||||
| Inner Ionian Sea Archipelago, Greece [33] | 1996 | 1050 | Boat | Mark-recapture | - | 0.140 (-) | 150 (-) | - | |
| 2007 | - | 0.014 (-) | 15 (-) | - | |||||
| Gulf of Corinth, Greece [34] | 2009 | 2400 | Boat | Mark-recapture | - | 0.012 (-) | 28 (-) | - | |
| Gulf of Corinth, Greece [17] | 2011–2015 | 2400 | Boat | Mark-recapture | - | 0.009 (-) | 22 (17.0) | 45.0 | |
| Thracian Sea, North Aegean Sea [35] | 2005–2013 | 2000 | Boat | CDS | 0.24 | 0.021 (22.6) | 1482 (22.6) | 6.9 | |
| Lipsi and Samos Island, Eastern Aegean Sea [36] | 2017 | - | Boat | Mark–recapture | - | - | 180 (-) | - | |
| Samos Island, Eastern Aegean Sea (Present study) | 2016–2019 | 351 | Boat | CDS | 0.88 (2018)–1.70 (2019) | 0.146 (13.27) | 51 (13.27) | 7.0 |
© 2020 by the authors. Licensee MDPI, Basel, Switzerland. This article is an open access article distributed under the terms and conditions of the Creative Commons Attribution (CC BY) license (http://creativecommons.org/licenses/by/4.0/).
Share and Cite
Pietroluongo, G.; Cipriano, G.; Ashok, K.; Antichi, S.; Carlier, H.; Miliou, A.; Maglietta, R.; Fanizza, C.; Carlucci, R. Density and Abundance of Delphinus delphis in Waters South of Samos Island, Greece (Eastern Mediterranean Sea). J. Mar. Sci. Eng. 2020, 8, 218. https://doi.org/10.3390/jmse8030218
Pietroluongo G, Cipriano G, Ashok K, Antichi S, Carlier H, Miliou A, Maglietta R, Fanizza C, Carlucci R. Density and Abundance of Delphinus delphis in Waters South of Samos Island, Greece (Eastern Mediterranean Sea). Journal of Marine Science and Engineering. 2020; 8(3):218. https://doi.org/10.3390/jmse8030218
Chicago/Turabian StylePietroluongo, Guido, Giulia Cipriano, Karthik Ashok, Simone Antichi, Heloise Carlier, Anastasia Miliou, Rosalia Maglietta, Carmelo Fanizza, and Roberto Carlucci. 2020. "Density and Abundance of Delphinus delphis in Waters South of Samos Island, Greece (Eastern Mediterranean Sea)" Journal of Marine Science and Engineering 8, no. 3: 218. https://doi.org/10.3390/jmse8030218
APA StylePietroluongo, G., Cipriano, G., Ashok, K., Antichi, S., Carlier, H., Miliou, A., Maglietta, R., Fanizza, C., & Carlucci, R. (2020). Density and Abundance of Delphinus delphis in Waters South of Samos Island, Greece (Eastern Mediterranean Sea). Journal of Marine Science and Engineering, 8(3), 218. https://doi.org/10.3390/jmse8030218

