Dead Reckoning for Trajectory Estimation of Underwater Drifters under Water Currents †
Abstract
1. Introduction
- Inertial Navigation Systems (INSs): An INS uses accelerometers and gyroscopes and requires initial conditions to calculate the device state through dead reckoning (DR). Although the full state can be determined by the INS, it suffers from an inherent drift. This is because the INS-measured quantities contain noises and biases that are integrated to obtain the device state [4]. Therefore, INSs are usually fused with external sensors [5] or information about the environment [6,7] to compensate for this drift.
- Acoustic Localization: Acoustic localization provides the navigation system with position fixes by measuring the device’s range to nodes of known positions, referred to as anchors. Acoustic ranging is based on measuring the time-of-flight (TOF), the time-difference-of-flight (TDOF), or the signal strength of an acoustic signal from the anchor to the submerged device. Ranging can be carried out passively or actively, but in either case requires the existence of at least one anchor in the acoustic range [8,9].
1.1. Scope of Work
1.2. Contribution
- a compensation for the directional angles when DR navigation is required;
- the estimation of directional angles using acceleration measurements only for short time periods of a few seconds between two successive position updates;
- a simplified DR approach for submerged floaters under the effect of directional angles for online/offline trajectory estimation.
2. Preliminaries
2.1. Approaches for Underwater Dead Reckoning
2.2. Common Approaches for Sideslip Angle Estimation
2.3. Coordinate Frames and Transformations
2.4. Principle Component Analysis (PCA)
3. Applying the PCA Approach for Underwater Navigation
3.1. System Model
3.2. Estimating the Directional Angles
4. PCA-DR Navigation
4.1. The DR Solution
4.2. Summary of PCA-DR Approach
4.3. Impact of Errors in Estimating the Directional Angles
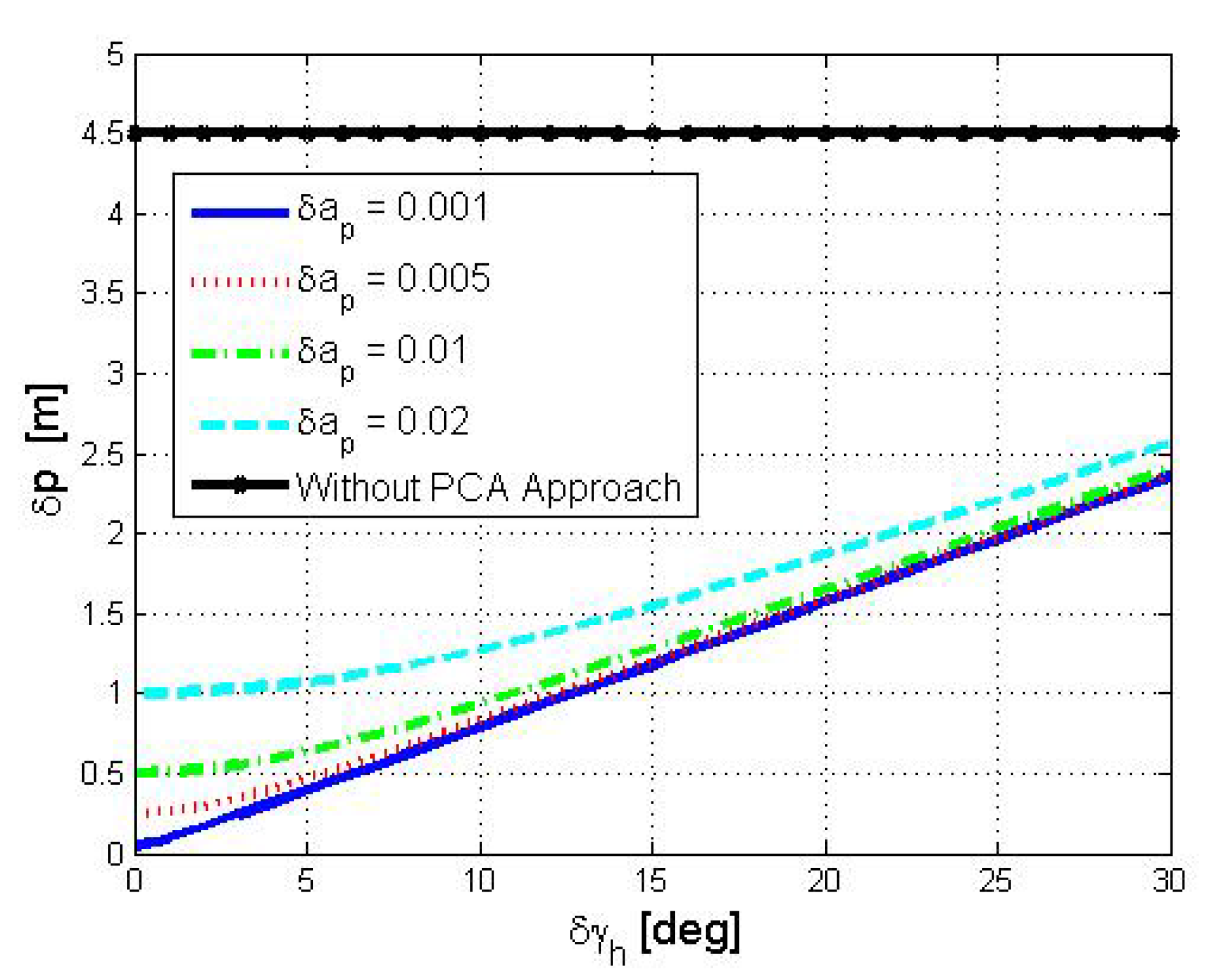
5. Analysis and Results
5.1. Numerical Investigation
5.2. Experimental Investigation
5.3. Discussion
6. Conclusions
Author Contributions
Funding
Conflicts of Interest
References
- Roemmich, D.; Johnson, G.; Riser, S.; Davis, R.; Gilson, J.; Owens, W.; Garzoli, S.; Schmid, C.; Ignaszewski, M. The argo program: Observing the global ocean with profiling floats. Oceanography 2009, 22, 34–43. [Google Scholar] [CrossRef]
- Jaffe, J.; Franks, P.; Roberts, P.; Mirza, D.; Schurgers, C.; Kastner, R.; Boch, A. A swarm of autonomous miniature underwater robot drifters for exploring submesoscale ocean dynamics. Nat. Commun. 2017, 8, 1–8. [Google Scholar] [CrossRef] [PubMed]
- Paull, L.; Saeedi, S.; Seto, M.; Li, H. AUV Navigation and Localization—A review. IEEE J. Ocean. Eng. 2014, 39, 221–231. [Google Scholar] [CrossRef]
- Titterton, D.; Weston, J. Strapdown Inertial Navigation Technology, 2nd ed.; The Institution of Engineering and Technology: Stevenage, UK, 2004. [Google Scholar]
- Farrell, J. Aided Navigation GPS with High Rate Sensors; McGraw-Hill: New York, NY, USA, 2008. [Google Scholar]
- Hegrenaes, A.; Hallingstad, O. Model aided INS with sea current estimation for robust underwater navigation. IEEE J. Ocean. Eng. 2011, 36, 316–337. [Google Scholar] [CrossRef]
- Klein, I.; Filin, S.; Toledo, T. Pseudo-measurements as aiding to INS during GPS outages. NAVIGATION 2010, 57, 25–34. [Google Scholar] [CrossRef]
- Morgado, M.; Oliveira, P.; Silvestre, C. Tightly coupled ultrashort baseline and inertial navigation system for underwater vehicles: An experimental validation. J. Field Robot. 2013, 30, 142–170. [Google Scholar] [CrossRef]
- Lee, P.; Jun, B.; Kim, K.; Lee, J.; Aoki, T.; Hyakudome, T. Simulation of an inertial acoustic navigation system with range aiding for an autonomous underwater vehicle. IEEE J. Ocean. Eng. 2007, 32, 327–345. [Google Scholar] [CrossRef]
- Eustice, R.; Pizarro, O.; Singh, H. Visually augmented navigation for autonomous underwater vehicles. IEEE J. Ocean. Eng. 2008, 33, 103–122. [Google Scholar] [CrossRef]
- Ribas, D.; Ridao, P.; Neira, J.; Tardos, J. SLAM using an imaging sonar for partially structured underwater environments. In Intelligent Robots and Systems; IEEE/RSJ: Sendai, Japan, 2006; pp. 5040–5045. [Google Scholar]
- Casagrande, D.; Krasnosky, K.; Roman, C. Localization of a drifting underwater vehicle using a terrain-based particle filter. In OCEANS 2019 MTS/IEEE SEATTLE; IEEE: Piscataway, NJ, USA, 2019; pp. 1–8. [Google Scholar]
- Fallon, M.; Folkesson, J.; McClelland, H.; Leonard, J. Relocating underwater features autonomously using sonar-based SLAM. IEEE J. Ocean. Eng. 2013, 38, 500–513. [Google Scholar] [CrossRef]
- Neumann, G. Ocean Currents; Elsevier: Amsterdam, The Netherlands, 2014; Volume 4. [Google Scholar]
- Beard, R.; McLain, T. Small Unmanned Aircraft: Theory and Practice; Princeton University Press: Princeton, NJ, USA, 2012. [Google Scholar]
- Deng, Z.; Guofeng, W.; Ying, H.; Di, W. Heading estimation for indoor pedestrian navigation using a smartphone in the pocket. Sensors 2015, 15, 21518–21536. [Google Scholar] [CrossRef] [PubMed]
- Klein, I.; Diamant, R. Observability analysis of DVL/PS aided INS for a maneuvering AUV. Sensors 2015, 15, 26818–26837. [Google Scholar] [CrossRef] [PubMed]
- Costanzi, R.; Fanelli, F.; Meli, E.; Ridolfi, A.; Caiti, A.; Allotta, B. UKF-based navigation system for AUVs: Online experimental validation. IEEE J. Ocean. Eng. 2018, 44, 1–9. [Google Scholar] [CrossRef]
- Filaretov, V.F.; Zhirabok, A.N.; Zyev, A.V.; Protsenko, A.A.; Tuphanov, I.E.; Scherbatyuk, A.F. Design and investigation of dead reckoning system with accommodation to sensors errors for autonomous underwater vehicle. In OCEANS 2015—MTS/IEEE Washington; IEEE: Piscataway, NJ, USA, 2015; pp. 1–4. [Google Scholar] [CrossRef]
- Li, Q.; Ben, Y.; Naqvi, S.M.; Neasham, J.A.; Chambers, J.A. Robust student’s t-based cooperative navigation for autonomous underwater vehicles. IEEE Trans. Instrum. Meas. 2018, 67, 1762–1777. [Google Scholar] [CrossRef]
- Chu, Z.; Zhu, D.; Sun, B.; Nie, J.; Xue, D. Design of a dead reckoning based motion control system for small autonomous underwater vehicle. In Proceedings of the 2015 IEEE 28th Canadian Conference on Electrical and Computer Engineering (CCECE), Halifax, NS, Canada, 3–6 May 2015; pp. 728–733. [Google Scholar] [CrossRef]
- Fagogenis, G.; Flynn, D.; Lane, D.M. Improving Underwater Vehicle navigation state estimation using Locally Weighted Projection Regression. In Proceedings of the 2014 IEEE International Conference on Robotics and Automation (ICRA), Hong Kong, China, 31 May–5 June 2014; pp. 6549–6554. [Google Scholar] [CrossRef]
- Sabet, M.T.; Daniali, H.M.; Fathi, A.; Alizadeh, E. Identification of an autonomous underwater vehicle hydrodynamic model using the extended, cubature, and transformed unscented kalman filter. IEEE J. Ocean. Eng. 2018, 43, 457–467. [Google Scholar] [CrossRef]
- Sabet, M.T.; Sarhadi, P.; Zarini, M. Extended and unscented Kalman filters for parameter estimation of an autonomous underwater vehicle. Ocean Eng. 2014, 91, 329–339. [Google Scholar] [CrossRef]
- Medagoda, L.; Kinsey, J.C.; Eilders, M. Autonomous underwater vehicle localization in a spatiotemporally varying water current field. In Proceedings of the 2015 IEEE International Conference on Robotics and Automation (ICRA), Paris, France, 31 May–4 June 2015; pp. 565–572. [Google Scholar] [CrossRef]
- Sabet, M.T.; Daniali, H.M.; Fathi, A.; Alizadeh, E. A low-cost dead reckoning navigation system for an AUV using a robust AHRS: Design and experimental analysis. IEEE J. Ocean. Eng. 2018, 43, 927–939. [Google Scholar] [CrossRef]
- Song, Z.; Mohseni, K. FACON: A flow-aided cooperative navigation scheme. In Proceedings of the 2017 IEEE/RSJ International Conference on Intelligent Robots and Systems (IROS), Vancouver, BC, Canada, 24–28 September 2017; pp. 6251–6256. [Google Scholar] [CrossRef]
- Diamant, R.; Wolff, L.M.; Lampe, L. Location Tracking of Ocean-Current-Related Underwater Drifting Nodes Using Doppler Shift Measurements. IEEE J. Ocean. Eng. 2015, 40, 887–902. [Google Scholar] [CrossRef]
- Chen, B.; Hsien, F. Sideslip angle estimation using extended Kalman filter. Veh. Syst. Dyn. 2008, 46, 353–364. [Google Scholar] [CrossRef]
- Ryu, J.; Rossetter, E.; Gerdes, J. Vehicle Sideslip and Roll Parameter Estimation using GPS. In Proceedings of the 2002 International Symposium on Advanced Vehicle Control, Hiroshima, Japan, 9–13 September 2002. [Google Scholar]
- Yoon, J.H.; Peng, H. Sideslip Angle Estimation Based on GPS and Magnetometer Measurements. In Proceedings of the 11th International Symposium on Advanced Vehicle Control, Seoul, Korea, 9–12 September 2006. [Google Scholar]
- Kunze, K.; Lukowicz, P.; Partridge, K.; Begole, B. Which way am I facing: Inferring horizontal device orientation from an accelerometer signal. In Proceedings of the 2009 International Symposium on Wearable Computers, Linz, Austria, 4–7 September 2009; pp. 149–150. [Google Scholar]
- Combettes, C.; Renaudin, V. Comparison of Misalignment Estimation Techniques Between Handheld Device and Walking Directions. In Proceedings of the 2015 International Conference on Indoor Positioning and Indoor Navigation, Calgary, AL, Canada, 13–16 October 2015; pp. 13–16. [Google Scholar]
- Steinhoff, U.; Bernt, S. Dead reckoning from the pocket-an experiment study. In Pervasive Computing and Communications (PerCom); IEEE: Piscataway, NJ, USA, 2010; pp. 162–170. [Google Scholar]
- Han, R.; Ortiz, M. Smartphone based gait analysis using STFT and wavelet transform for indoor navigation. In Proceedings of the 2014 International Conference on Indoor Positioning and Indoor Navigation, Busan, Korea, 27–30 October 2014. [Google Scholar]
- Kourogi, M.; Kurata, T. A method of pedestrian dead reckoning for smart phones using frequency domain analysis on patterns of acceleration and angular velocity. In Proceedings of the 2014 IEEE/ION Position, Location and Navigation Symposium (PLANS), Monterey, CA, USA, 5–8 May 2014; pp. 164–168. [Google Scholar]
- Fossen, T.; Pettersen, K.; Galeazzi, R. Line-of-Sight Path Following for Dubins Paths with Adaptive Sideslip Compensation of Drift Forces. IEEE Trans. Control Syst. Technol. 2015, 23, 820–827. [Google Scholar] [CrossRef]
- Bender, A.; Steinberg, D.M.; Friedman, A.; Williams, S. Analysis of an Autonomous Underwater Glider. In Proceedings of the 2008 Australasian Conference on Robotics and Automation, Canberra, ACT, Australia, 3–5 December 2008; pp. 1–10. [Google Scholar]
- Graver, J.; Bachmayer, R.; Leonard, N. Underwater Glider Model Parameter Identification. In Proceedings of the 2003 International Symposium on Unmanned Untethered Submersible Technology, Durham, NH, USA, 21–24 August 2003. [Google Scholar]
- Groves, D.; Pulford, W.; Littlefield, A.; Nash, L.; Mather, J. Inertial Navigation Versus Pedestrian Dead Rreckoning: Optimizing the Integration; Institute of Navigation GNSS; ION: Fort Worth, TX, USA, 2007. [Google Scholar]













| Time [s] | 3 | 4 | 5 | 6 | 7 | 8 | 10 |
|---|---|---|---|---|---|---|---|
| True angle [deg] | 0 | 2.03 | 2.04 | 2.35 | 2.34 | 2.81 | 2.89 |
| PCA angle [deg] | 0.02 | 1.57 | 1.59 | 1.60 | 1.57 | 1.64 | 0.34 |
| Error [deg] | 0.02 | 0.46 | 0.45 | 0.75 | 0.77 | 1.16 | 2.55 |
© 2020 by the authors. Licensee MDPI, Basel, Switzerland. This article is an open access article distributed under the terms and conditions of the Creative Commons Attribution (CC BY) license (http://creativecommons.org/licenses/by/4.0/).
Share and Cite
Klein, I.; Diamant, R. Dead Reckoning for Trajectory Estimation of Underwater Drifters under Water Currents †. J. Mar. Sci. Eng. 2020, 8, 205. https://doi.org/10.3390/jmse8030205
Klein I, Diamant R. Dead Reckoning for Trajectory Estimation of Underwater Drifters under Water Currents †. Journal of Marine Science and Engineering. 2020; 8(3):205. https://doi.org/10.3390/jmse8030205
Chicago/Turabian StyleKlein, Itzik, and Roee Diamant. 2020. "Dead Reckoning for Trajectory Estimation of Underwater Drifters under Water Currents †" Journal of Marine Science and Engineering 8, no. 3: 205. https://doi.org/10.3390/jmse8030205
APA StyleKlein, I., & Diamant, R. (2020). Dead Reckoning for Trajectory Estimation of Underwater Drifters under Water Currents †. Journal of Marine Science and Engineering, 8(3), 205. https://doi.org/10.3390/jmse8030205
