Uncertainty Quantification in Mooring Cable Dynamics Using Polynomial Chaos Expansions
Abstract
1. Introduction
2. Numerical Models
2.1. Mooring Equations
2.2. Numerical Mooring Model
2.3. Floating Body Model
3. Uncertainty Quantification
3.1. Generalized Polynomial Chaos
3.2. Stochastic Collocation Method
3.3. Model Equations with Random Input Variables
3.4. Methodology
- select the process to be studied;
- select a physics-based mathematical model for the process;
- choose which parameters of the model are deterministic and which are random variables;
- define the values of the deterministic parameters;
- choose appropriate probability distributions for the random variables;
- choose the method to determine the gPC model coefficients (quadrature or LAR)
- compute (for the case of quadrature) or sample (for the case of LAR) the values of the input random variables where the physics-based model is to be evaluated;
- evaluate the physics-based model at the previously defined values of the random variables;
- apply the chosen method (quadrature or LAR) to the results of point 8 to obtain the coefficients of the gPC model;
- use the gPC model of the physics-based model to evaluate large samples of the random variables and build probability density functions.
4. Case Studies
4.1. Linear String
4.2. Oscillating Mooring Cable
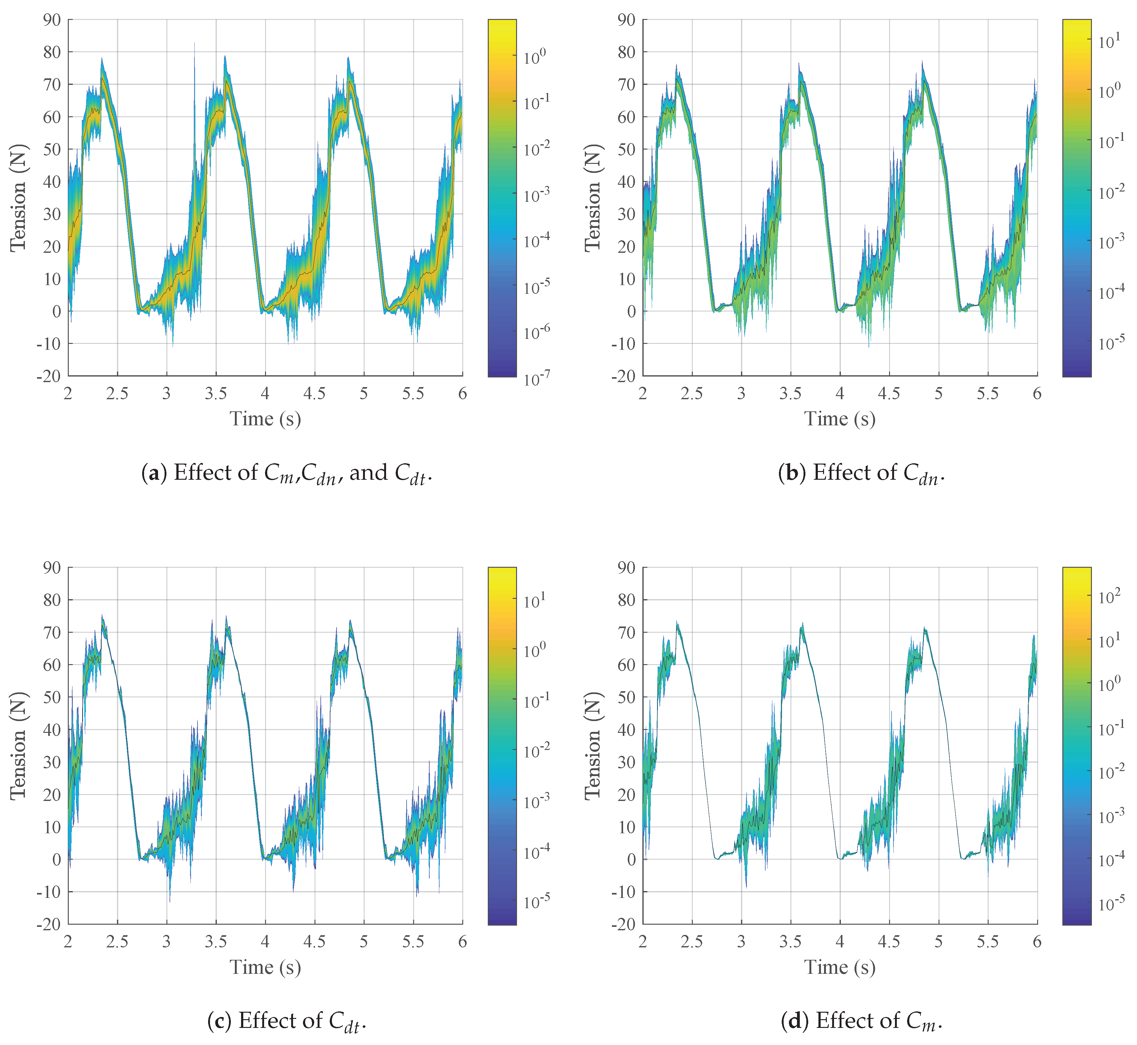
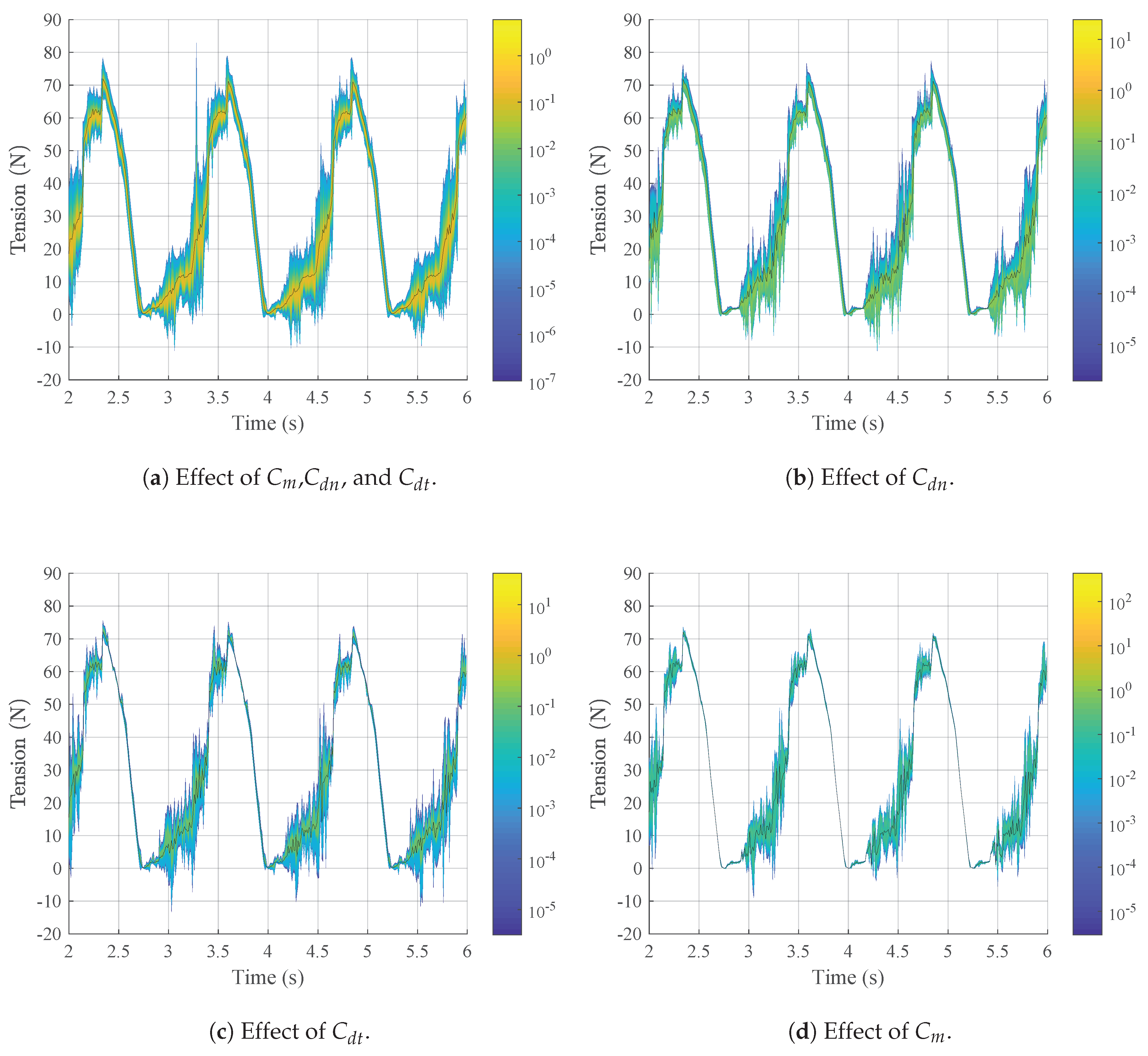
4.3. Moored Cylinder
5. Conclusions
Author Contributions
Funding
Conflicts of Interest
Abbreviations
| BEM | Boundary Element Method |
| CFL | Courant–Friedrichs–Lewy |
| DG | Discontinuous Galerkin |
| gPC | generalized Polynomial Chaos |
| LARS | Least Angle Regression |
| MC | Monte Carlo |
| MODU | Mobile Offshore Drilling Unit |
| O&G | Oil and Gas |
| Probability Density Function | |
| TSI | Total Sensitivity Index |
| UQ | Uncertainty Quantification |
References
- Brindley, W.; Comley, A.P. North Sea mooring systems: How reliable are they? In Proceedings of the ASME 2014 33rd International Conference on Ocean, Offshore and Arctic Engineering, San Francisco, CA, USA, 8–13 June 2014. [Google Scholar]
- DNV GL AS. Offshore Standards DNVGL-OS-E301 Position mooring. 2018. Available online: http://rules.dnvgl.com/docs/pdf/dnvgl/os/2018-07/dnvgl-os-e301.pdf (accessed on 28 February 2020).
- Kvitrud, A. Anchor Line Failures Norwegian Continental Shelf: 2010–2014; Technical Report; Petroleum Safety Authority Norway: Stavanger, Norway, 2014. [Google Scholar]
- Fitzgerald, J. Position Mooring of Wave Energy Converters. Ph.D. Thesis, Chalmers University of Technology, Gothenburg, Sweden, 2009. [Google Scholar]
- Martinelli, L.; Ruol, P.; Cortellazzo, G. On mooring design of wave energy convertes: The Seabreath application. In Proceedings of the 33rd Conference on Coastal Engineering; Coastal Engineering Research Council, Santander, Spain, 1–6 July 2012; Volume 33. [Google Scholar]
- Thomsen, J. Mooring Solutions for Large Wave Energy Converters. Ph.D. Thesis, Aalborg University, Aalborg, Denmark, 2017. [Google Scholar] [CrossRef]
- Orcina Ltd. OrcaFlex Manual-Version 9.7a. 2015. Available online: https://www.orcina.com/releases/orcaflex-97/ (accessed on 28 February 2020).
- MARIN. aNySIM Documentation-Mooring. 2011. Available online: https://www.marin.nl/storage/uploads/3569/files/aNySIM_XMF.pdf (accessed on 28 February 2020).
- Wiener, N. The Homogeneous Chaos. Am. J. Math. 1938, 60, 897. [Google Scholar] [CrossRef]
- Xiu, D.; Karniadakis, G.E. The Wiener-Askey Polynomial Chaos for Stochastic Differential Equations. SIAM J. Sci. Comput. 2002, 24, 619–644. [Google Scholar] [CrossRef]
- Le Maître, O.P.; Knio, O.M. Spectral Methods for Uncertainty Quantification; Scientific Computation; Springer: Dordrecht, The Netherlands, 2010. [Google Scholar] [CrossRef]
- Couaillier, V.; Savin, E. Generalized Polynomial Chaos for Nonintrusive Uncertainty Quantification in Computational Fluid Dynamics. In Uncertainty Management for Robust Industrial Design in Aeronautics; Springer International Publishing AG: Cham, Switzerland, 2018; pp. 123–141. [Google Scholar] [CrossRef]
- Kim, K.K.K.; Shen, D.E.; Nagy, Z.K.; Braatz, R.D. Wiener’s Polynomial Chaos for the Analysis and Control of Nonlinear Dynamical Systems with Probabilistic Uncertainties [Historical Perspectives]. IEEE Control Syst. 2013, 33, 58–67. [Google Scholar] [CrossRef]
- Bigoni, D.; True, H.; Engsig-Karup, A.P. Sensitivity analysis of the critical speed in railway vehicle dynamics. Veh. Syst. Dyn. 2014, 52, 272–286. [Google Scholar] [CrossRef]
- Murcia, J.P.; Réthoré, P.E.; Dimitrov, N.; Natarajan, A.; Sørensen, J.D.; Graf, P.; Kim, T. Uncertainty propagation through an aeroelastic wind turbine model using polynomial surrogates. Renew. Energy 2018, 119, 910–922. [Google Scholar] [CrossRef]
- Ge, L.; Cheung, K.F. Spectral sampling method for uncertainty propagation in long-wave runup modeling. J. Hydraul. Eng. 2011, 137, 277–288. [Google Scholar] [CrossRef]
- Ricchiuto, M.; Congedo, P.; Delis, A. Runup and Uncertainty Quantification: Sensitivity Analysis via ANOVA Decomposition; Technical Report; INRIA: Bordeaux, France, 2014. [Google Scholar]
- Yildirim, B.; Karniadakis, G.E. Stochastic simulations of ocean waves: An uncertainty quantification study. Ocean Model. 2015, 86, 15–35. [Google Scholar] [CrossRef]
- Bigoni, D.; Engsig-Karup, A.P.; Eskilsson, C. Efficient uncertainty quantification of a fully nonlinear and dispersive water wave model with random inputs. J. Eng. Math. 2016, 101, 87–113. [Google Scholar] [CrossRef]
- Mosig, J.E.M.; Montiel, F.; Squire, V.A. Water wave scattering from a mass loading ice floe of random length using generalised polynomial chaos. Ocean Model. 2017, 70, 239. [Google Scholar] [CrossRef]
- Kreuzer, E.; Solowjow, E. Polynomial Chaos and the Heave Motion of a Cylinder in Random Seas. In Proceedings in Applied Mathematics and Mechanics; Springer: New York, NY, USA, 2015; Volume 15, pp. 559–560. [Google Scholar] [CrossRef]
- Nguyen, P.T.T.; Manuel, L.; Coe, R.G. On the development of an efficient surrogate model for predicting long-term extreme loads on a wave energy converter. J. Offshore Mech. Arct. Eng. 2019, 141, 061103. [Google Scholar] [CrossRef]
- Lim, H.; Manuel, L.; Low, Y.M. On efficient long-term extreme response estimation for a moored floating structure. In Proceedings of the ASME 2018 37th International Conference on Ocean, Offshore and Arctic Engineering, Madrid, Spain, 17–22 June 2018. [Google Scholar]
- Montano, A.; Restelli, M.; Sacco, R. Numerical simulation of tethered buoy dynamics using mixed finite elements. Comput. Methods Appl. Mech. Eng. 2007, 196, 4117–4129. [Google Scholar] [CrossRef]
- Palm, J.; Eskilsson, C.; Paredes, G.M.; Bergdahl, L. Coupled mooring analysis for floating wave energy converters using CFD: Formulation and validation. Int. J. Mar. Energy 2016, 16, 83–99. [Google Scholar] [CrossRef]
- Palm, J.; Eskilsson, C.; Bergdahl, L. An hp-adaptive discontinuous Galerkin method for simulating snap loads in mooring cables. Ocean Eng. 2017, 144, 266–276. [Google Scholar] [CrossRef]
- Palm, J.; Eskilsson, C. MooDy User Manual—Version 1.0.0; Technical Report; Chalmers University of Technology: Gothernburg, Sweden, 2018. [Google Scholar]
- Cummins, W.E. The Impulse Response Function and Ship Motions; Technical Report; David Taylor Model Basin: Washington, DC, USA, 1962. [Google Scholar]
- WAMIT, Inc.WAMIT User Manual Version 7.0. 2013. Available online: https://www.wamit.com/manual.htm (accessed on 28 February 2020).
- Babarit, A.; Delhommeau, G. Theoretical and numerical aspects of the open source BEM solver NEMOH. In Proceedings of the 11th European Wave and Tidal Energy Conference (EWTEC2015), Nantes, France, 6–11 September 2015. [Google Scholar]
- National Renewable Energy Laboratory and Sandia Corporation. WEC-Sim (Wave Energy Converter SIMulator) — WEC-Sim Documentation. 2015. Available online: https://wec-sim.github.io/WEC-Sim/ (accessed on 28 February 2020).
- Hall, M.; Goupee, A. Validation of a lumped-mass mooring line model with DeepCwind semisubmersible model test data. Ocean Eng. 2015, 104, 590–603. [Google Scholar] [CrossRef]
- Paredes, G.M.; Eskilsson, C.; Palm, J.; Kofoed, J.P.; Bergdahl, L. Coupled BEM/hp-FEM Modelling of Moored Floaters. In Proceedings of the 1st Vietnam Symposium on Advances in Offshore Engineering; Springer: Hanoi, Vietnam, 2018; pp. 504–510. [Google Scholar]
- Xiu, D. Numerical Methods for Stochastic Computations—A Spectral Method Approach; Princeton University Press: Princeton, NJ, USA, 2010; p. 144. [Google Scholar]
- Bigoni, D.; Engsig-Karup, A.P.; Marzouk, Y.M. Spectral tensor-train decomposition. SIAM J. Sci. Comput. 2016, 38, A2405–A2439. [Google Scholar] [CrossRef]
- Marelli, S.; Sudret, B. UQLab User Manual—Polynomial Chaos Expansions; Technical Report, Chair of Risk, Safety & Uncertainty Quantification; ETH Zurich: Zurich, Switzerland, 2018. [Google Scholar]
- Greiner, W. Classical Mechanics: Systems of Particles and Hamiltonian Dynamics; Springer: New York, NY, USA, 2003. [Google Scholar]
- Lindahl, J. Modellförsök med en Förankringskabel; Technical Report; Chalmers University of Technology: Gothernburg, Sweden, 1985. [Google Scholar]
- Bergdahl, L.; Palm, J.; Eskilsson, C.; Lindahl, J. Dynamically Scaled Model Experiment of a Mooring Cable. J. Mar. Sci. Eng. 2016, 4, 5. [Google Scholar] [CrossRef]
- Triantafyllou, M.; Howell, C. Dynamic response of cables under negative tension: An ill-posed problem. J. Sound Vib. 1994, 173, 433–447. [Google Scholar] [CrossRef]
- Low, C.; Nga, E.K.; Narasimalua, S.; Linc, F.; Kimb, Y. Numerical modelling of seabed impact effects on chain and small diameter mooring cables. Appl. Ocean. Res. 2018, 80, 248–277. [Google Scholar] [CrossRef]
- Marelli, S.; Lamas, C.; Sudret, B.; Konakli, K.; Mylonas, C. UQLab User Manual —Sensitivity Analysis; Technical Report, Chair of Risk, Safety and Uncertainty Quantification; ETH Zurich: Zürich, Switzerland, 2018. [Google Scholar]
- Bigoni, D. Uncertainty Quantification with Applications to Engineering Problems. Ph.D. Thesis, Technical University of Denmark, Kgs. Lyngby, Denmark, 2015. [Google Scholar]
- Triantafyllou, M.S.; Bliek, A.; Shin, H. Dynamic Analysis as a Tool for Open-Sea Mooring System Design. SNAME Trans. 1985, 93, 303–324. [Google Scholar]
- Papazoglou, V.J.; Mavrakos, S.A.; Triantafyllou, M.S. Non-linear cable response and model testing in water. J. Sound Vib. 1990, 140, 103–115. [Google Scholar] [CrossRef]
- Moura Paredes, G.; Palm, J.; Eskilsson, C.; Bergdahl, L.; Taveira-Pinto, F. Experimental investigation of mooring configurations for wave energy converters. Int. J. Mar. Energy 2016, 15, 56–67. [Google Scholar] [CrossRef]












| Property | Value |
|---|---|
| A | 1 m |
| L | 3 m |
| T | 108 N |
| ml | 3 kg/m |
| Parameter | Value |
|---|---|
| K | 3 × 109 Pa/m |
| vc | 0.01 m/s |
| μ | 0.03 |
| ξ | 1 |
| ρw | 1000 kg/m3 |
| ρc | 7800 kg/m3 |
| D | 2.2 × 10−3 m |
| ml | 8.18 × 10−2 kg/m |
| EA | 1 × 104 Pa |
| Coefficient | Deterministic Value | Distribution | Lower Bound | Upper Bound |
|---|---|---|---|---|
| Cm | 3.8 | Uniform | 1.90 | 5.70 |
| Cdn | 2.5 | Uniform | 1.25 | 3.75 |
| Cdt | 0.5 | Uniform | 0.25 | 0.75 |
| Mass | D | h | ||
|---|---|---|---|---|
| 35.85 kg | 0.515 m | 0.401 m | 0.87 kg m2 | 0.3247 m |
| Parameter | Value |
|---|---|
| D | 4.786 × 10−3 m |
| ml | 0.1447 kg/m3 |
| EA | 1.6 MN |
| Cdn | 2.5 |
| Cdt | 0.5 |
| Cm | 3.8 |
| Cable length | 6.95 m |
| Parameter | Value |
|---|---|
| K | 3 × 108 Pa/m |
| vc | 0.01 m/s |
| μ | 0.3 |
| ξ | 1 |
| ρw | 1000 kg/m3 |
| Anchor Coordinate | Deterministic Value | Distribution | Mean Value | Standard Deviation |
|---|---|---|---|---|
| −3.4587 m | Normal | −3.4587 m | 0.025 m | |
| 5.9907 m | Normal | 5.9907 m | 0.025 m | |
| −3.4587 m | Normal | −3.4587 m | 0.025 m | |
| −5.9907 m | Normal | −5.9907 m | 0.025 m | |
| 6.9175 m | Normal | 6.9175 m | 0.025 m | |
| 0.0000 m | Normal | 0.0000 m | 0.025 m |
© 2020 by the authors. Licensee MDPI, Basel, Switzerland. This article is an open access article distributed under the terms and conditions of the Creative Commons Attribution (CC BY) license (http://creativecommons.org/licenses/by/4.0/).
Share and Cite
Moura Paredes, G.; Eskilsson, C.; P. Engsig-Karup, A. Uncertainty Quantification in Mooring Cable Dynamics Using Polynomial Chaos Expansions. J. Mar. Sci. Eng. 2020, 8, 162. https://doi.org/10.3390/jmse8030162
Moura Paredes G, Eskilsson C, P. Engsig-Karup A. Uncertainty Quantification in Mooring Cable Dynamics Using Polynomial Chaos Expansions. Journal of Marine Science and Engineering. 2020; 8(3):162. https://doi.org/10.3390/jmse8030162
Chicago/Turabian StyleMoura Paredes, Guilherme, Claes Eskilsson, and Allan P. Engsig-Karup. 2020. "Uncertainty Quantification in Mooring Cable Dynamics Using Polynomial Chaos Expansions" Journal of Marine Science and Engineering 8, no. 3: 162. https://doi.org/10.3390/jmse8030162
APA StyleMoura Paredes, G., Eskilsson, C., & P. Engsig-Karup, A. (2020). Uncertainty Quantification in Mooring Cable Dynamics Using Polynomial Chaos Expansions. Journal of Marine Science and Engineering, 8(3), 162. https://doi.org/10.3390/jmse8030162

