Mechanical Analysis of a Scraping Method to Remove Attached Barnacles
Abstract
1. Introduction
2. Barnacle Background and Model Analysis
3. Removing Process and Methods
3.1. Analysis of Removing Process
3.2. Force Analysis
3.3. Force on Blade
3.4. Adhesion Force in the Peel Zone
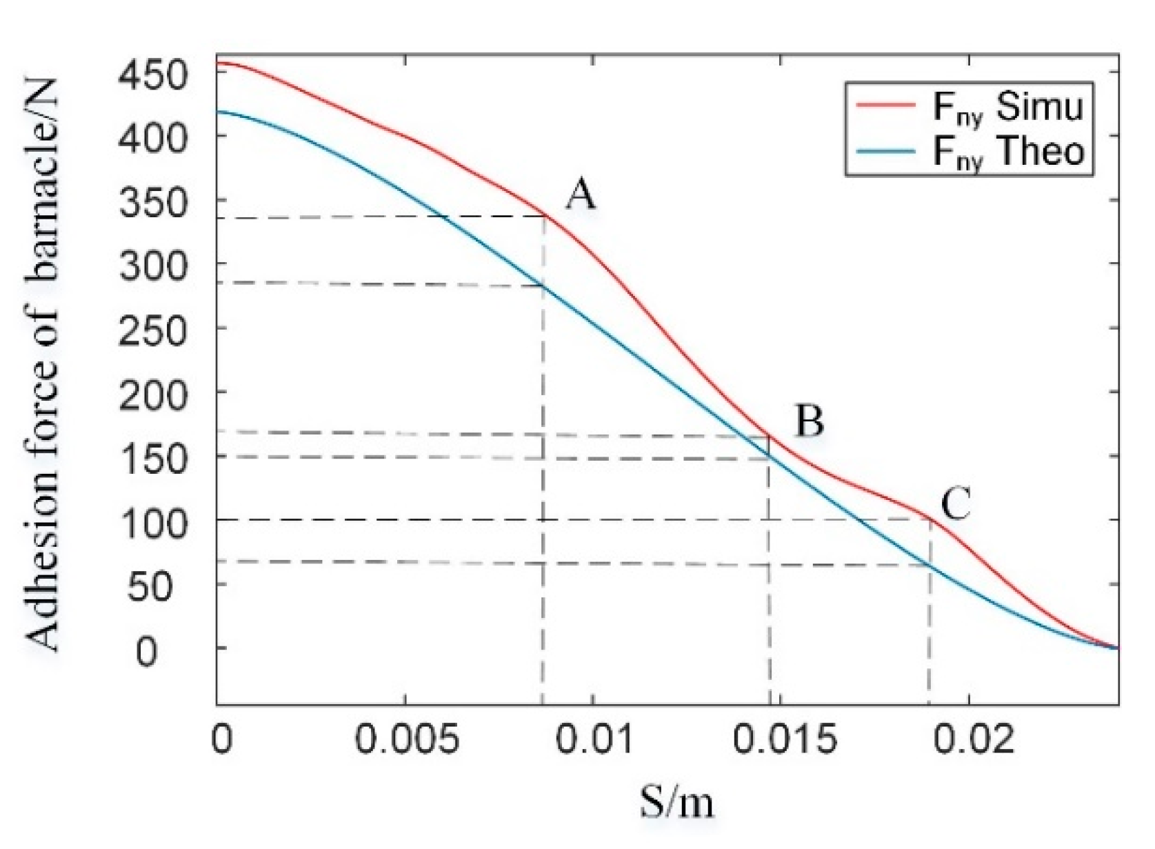
4. Finite Element Analysis and Results
5. Conclusions
- (1)
- The analytical model is verified with a finite element simulation and the comparison shows the relative error of this model to be less than 10%. The model can be used to estimate the cutting force in barnacle scraping operation in order to support related equipment design.
- (2)
- The blade rake angle has a significant effect on the cutting force. Reducing the rake angle can increase the cutting force considerably in the range of (0°–45°) and this trend is relatively gentle in the rake angle range of (45°–90°). The rake angle can be a compromise between cutting force and blade strength/life cycle. The conclusion can be drawn that the larger the blade rake angle, the smaller the cutting force required to remove the attached barnacle. The blade rake angle should be a medium one, such as [30°, 60°].
Author Contributions
Funding
Acknowledgments
Conflicts of Interest
References
- Yebra, D.M.; Kiil, S.; Dam-Johansen, K. Antifouling technology—Past, present and future steps towards efficient and environmentally friendly antifouling coatings. Prog. Org. Coat. 2004, 50, 75–104. [Google Scholar] [CrossRef]
- Zhang, D.; Gao, X.; Su, G.; Du, L.; Liu, Z.; Hu, J. Corrosion Behavior of Low-C Medium-Mn Steel in Simulated Marine Immersion and Splash Zone Environment. J. Mater. Eng. Perform. 2017, 26, 2599–2607. [Google Scholar] [CrossRef]
- Azis, P.K.A.; Al-Tisan, I.; Al-Daili, M.; Green, T.N.; Ba-Mardouf, K.; Al-Qahtani, S.A.; Al-Sabai, K. Marine macrofouling: A review of control technology in the context of an on-line experiment in the turbine condenser water box of Al-Jubail Phase-I power MSF plants. Desalination 2003, 154, 277–290. [Google Scholar] [CrossRef]
- Amoozadeh, E.; Malek, M.; Rashidinejad, R.; Nabavi, S.; Karbassi, M.; Ghayoumi, R.; Ghorbanzadeh-Zafarani, G.; Salehi, H.; Sures, B. Marine organisms as heavy metal bioindicators in the Persian Gulf and the Gulf of Oman. Environ. Sci. Pollut. R. 2014, 21, 2386–2395. [Google Scholar] [CrossRef] [PubMed]
- Bram, J.B.; Page, H.M.; Dugan, J.E. Spatial and temporal variability in early successional patterns of an invertebrate assemblage at an offshore oil platform. J. Exp. Mar. Biol. Ecol. 2005, 317, 223–237. [Google Scholar] [CrossRef]
- Sell, D. Marine fouling. P. Roy. Soc. Edinb. Sec. B Biol. Sci. 1992, 100, 169–184. [Google Scholar] [CrossRef]
- Kavanagh, C.J.; Schultz, M.P.; Swain, G.W.; Stein, J.; Truby, K.; Wood, C.D. Variation in adhesion strength of Balanus eburneus, crassostrea virginica and hydroides dianthusto fouling-release coatings. Biofouling 2001, 17, 155–167. [Google Scholar] [CrossRef]
- Wendt, D.E.; Kowalke, G.L.; Kim, J.; Singer, I.L. Factors that influence elastomeric coating performance: The effect of coating thickness on basal plate morphology, growth and critical removal stress of the barnacle Balanus amphitrite. Biofouling 2006, 22, 1–9. [Google Scholar] [CrossRef]
- Aldred, N.; Clare, A.S. The adhesive strategies of cyprids and development of barnacle-resistant marine coatings. Biofouling 2008, 24, 351–363. [Google Scholar] [CrossRef]
- Aldred, N.; Scardino, A.; Cavaco, A.; de Nys, R.; Clare, A.S. Attachment strength is a key factor in the selection of surfaces by barnacle cyprids (Balanus amphitrite) during settlement. Biofouling 2010, 26, 287–299. [Google Scholar] [CrossRef]
- Scardino, A.J.; de Nys, R. Mini review: Biomimetic models and bioinspired surfaces for fouling control. Biofouling 2011, 27, 73–86. [Google Scholar] [CrossRef] [PubMed]
- Dolez, P.I.; Love, B.J. Acid cleaning solutions for barnacle-covered surfaces. Int. J. Adhes. Adhes. 2002, 22, 297–301. [Google Scholar] [CrossRef]
- Nassiraei, A.A.F.; Sonoda, T.; Ishii, K. Development of Ship Hull Cleaning Underwater Robot. In Proceedings of the 2012 Fifth International Conference on Emerging Trends in Engineering and Technology, Himeji, Japan, 5–7 November 2012. [Google Scholar]
- Souto, D.; Faina, A.; Lopez-Pena, F.; Duro, R.J. Lappa: A New Type of Robot for Underwater Non-Magnetic and Complex Hull Cleaning. In Proceedings of the 2013 IEEE International Conference on Robotics and Automation, Karlsruhe, Germany, 6–10 May 2013. [Google Scholar]
- Ross, B.; Bares, J.; Fromme, C. A semi-autonomous robot for stripping paint from large vessels. Int. J. Robot. Res. 2003, 22, 617–626. [Google Scholar] [CrossRef]
- Narewski, M. Hismar-Underwater Hull Inspection and Cleaning System as a Tool for Ship Propulsion System Performance Increase. J. Pol. CIMAC 2009, 4, 227–232. [Google Scholar]
- Bar-Cohen, Y.; Bao, X.; Dolgin, B.P.; Marzwell, N.I. Residue Detection for Real-Time Removal of Paint from Metallic Surfaces. In Proceedings of the 6th Annual International Symposium on NDE for Health Monitoring and Diagnostics, Newport Beach, CA, USA, 4–8 March 2001; Volume 4335. [Google Scholar]
- Yi, Z.; Gong, Y.; Wang, Z.; Wang, X. Development of a Wall Climbing Robot for Ship Rust Removal. In Proceedings of the International Conference on Mechatronics & Automation, Changchun, China, 9–12 August 2009. [Google Scholar]
- Yamada, J.; Takiguchi, T.; Saito, A.; Odanaka, H.; Soyama, H.; Yamamoto, M. Removal of Oral Biofilm on an Implant Fixture by a Cavitating Jet. Implant. Dent. 2017, 26, 904–910. [Google Scholar] [CrossRef] [PubMed]
- Guo, S.; Khoo, B.C.; Teo, S.L.; Lee, H.P. The effect of cavitation bubbles on the removal of juvenile barnacles. Colloid. Surface B Biointerfaces 2013, 109, 219–227. [Google Scholar] [CrossRef]
- Omel’yanyuk, M.V. Removal of Growths and Incrustations from Water-Development Works. Power Technol. Eng. 2013, 47, 239–243. [Google Scholar] [CrossRef]
- Murakawa, M.; Takeuchi, S. Quantitative adhesion strength measurement of diamond coatings. Thin Solid Films 1989, 181, 443–450. [Google Scholar] [CrossRef]
- Xie, Z.; Zhu, J. The effect of the vertical load on the scraping test. Thin Solid Films 1998, 315, 192–194. [Google Scholar] [CrossRef]
- Xie, Z.; Zhu, J.; Guo, W. The Scraping Test and Adhesion Measurements of Diamond and Nickel Electroless Coatings. Mater. Charact. 2000, 44, 347–352. [Google Scholar] [CrossRef]
- Kaneko, K. Evaluation of the Shearing Strength of a WC-12Co Thermal Spray Coating by the Scraping Test Method. Coatings 2015, 5, 278–292. [Google Scholar] [CrossRef]
- Smith, D.A.M.; Callow, D.J.A. Biological Adhesives, 1st ed.; Springer: Berlin, Germany, 2006; pp. 145–152. [Google Scholar]
- Rainbow, P.S. An introduction to the biology of British littoral barnacles. Field Stud. 1984, 6, 1–51. [Google Scholar]
- Jadidi, P.; Zeinoddini, M.; Soltanpour, M.; Zandi, A.P.; Seif, M.S. Towards an understanding of marine fouling effects on VIV of circular cylinders: Aggregation effects. Ocean. Eng. 2018, 147, 227–242. [Google Scholar] [CrossRef]
- Crisp, D.J.; Bourget, E. Growth in Barnacles. Adv. Mar. Biol. 1985, 22, 199–244. [Google Scholar]
- Rognstad, R.L.; Wethey, D.S.; Oliver, H.; Hilbish, T.J. Connectivity modeling and graph theory analysis predict recolonization in transient populations. J. Mar. Syst. 2018, 183, 13–22. [Google Scholar] [CrossRef]
- Rognstad, R.L.; Hilbish, T.J. Temperature-induced variation in the survival of brooded embryos drives patterns of recruitment and abundance in Semibalanus balanoides. J. Exp. Mar. Biol. Ecol. 2014, 461, 357–363. [Google Scholar] [CrossRef]
- Yule, A.B.; Walker, G. The Adhesion of the Barnacle, Balanus Balanoides, to Slate Surfaces. J. Mar. Biol. Assoc. UK 2009, 64, 147–156. [Google Scholar] [CrossRef]
- Pesika, N.S.; Tian, Y.; Zhao, B.; Rosenberg, K.; Zeng, H.; McGuiggan, P.; Autumn, K.; Israelachvili, J.N. Peel-zone model of tape peeling based on the gecko adhesive system. J. Adhesion 2007, 83, 383–401. [Google Scholar] [CrossRef]
- Yu, T.; Noshir, P.; Hongbo, Z.; Kenny, R.; Boxin, Z.; Patricia, M.G.; Kellar, A.; Jacob, I. Adhesion and friction in gecko toe attachment and detachment. Proc. Natl. Acad. Sci. USA 2006, 103, 19320–19325. [Google Scholar]
- Merchant, M.E. Mechanics of the Metal Cutting Process. I. Orthogonal Cutting and a Type 2 Chip. J. Appl. Phys. 1945, 16, 267–275. [Google Scholar] [CrossRef]
- Merchant, M.E. Mechanics of the Metal Cutting Process. II. Plasticity Conditions in Orthogonal Cutting. J. Appl. Phys. 1945, 16, 318–324. [Google Scholar] [CrossRef]

















© 2020 by the authors. Licensee MDPI, Basel, Switzerland. This article is an open access article distributed under the terms and conditions of the Creative Commons Attribution (CC BY) license (http://creativecommons.org/licenses/by/4.0/).
Share and Cite
Li, C.; Wang, G.; Chen, K.; Yun, F.; Wang, L. Mechanical Analysis of a Scraping Method to Remove Attached Barnacles. J. Mar. Sci. Eng. 2020, 8, 150. https://doi.org/10.3390/jmse8030150
Li C, Wang G, Chen K, Yun F, Wang L. Mechanical Analysis of a Scraping Method to Remove Attached Barnacles. Journal of Marine Science and Engineering. 2020; 8(3):150. https://doi.org/10.3390/jmse8030150
Chicago/Turabian StyleLi, Chao, Gang Wang, Kaiyun Chen, Feihong Yun, and Liquan Wang. 2020. "Mechanical Analysis of a Scraping Method to Remove Attached Barnacles" Journal of Marine Science and Engineering 8, no. 3: 150. https://doi.org/10.3390/jmse8030150
APA StyleLi, C., Wang, G., Chen, K., Yun, F., & Wang, L. (2020). Mechanical Analysis of a Scraping Method to Remove Attached Barnacles. Journal of Marine Science and Engineering, 8(3), 150. https://doi.org/10.3390/jmse8030150

