Transition in Population Dynamics of the Intertidal Barnacle Balanus glandula after Invasion: Causes and Consequences of Change in Larval Supply
Abstract
1. Introduction
2. Materials and Methods
2.1. Study Area
2.2. Census Design
2.3. Data Analysis
2.3.1. Dependence of Regional Larval Supply on Stock Size
2.3.2. Importance of Larval Supply as a Determinant of Local Population Growth
3. Results
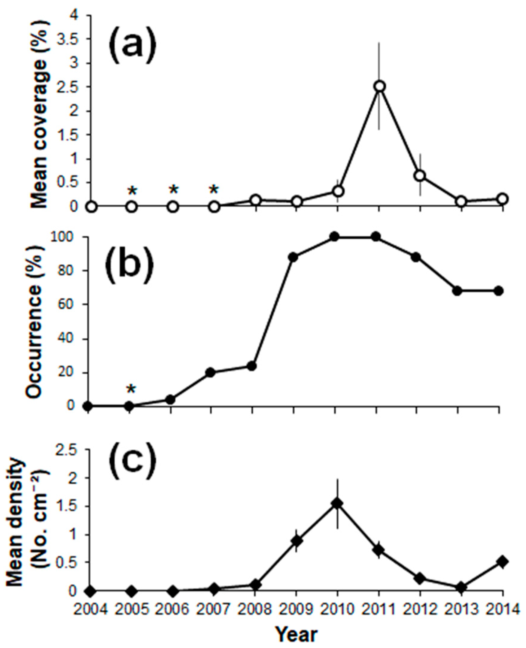
3.1. Temporal Changes in Coverage, Occurrence, and Recruitment
3.2. Change in Dependence of Regional Larval Supply on Stock Size
3.3. Change in Importance of Larval Supply as a Determinant of Local Population Growth
4. Discussion
4.1. Temporal Changes in Coverage, Occurrence, and Recruitment
4.2. Change in Dependence of Regional Larval Supply on Stock Size
4.3. Change in Importance of Larval Supply as a Determinant of Local Population Growth
5. Conclusions
Supplementary Materials
Author Contributions
Funding
Acknowledgments
Conflicts of Interest
References
- Hengeveld, R. Dynamics of Biological Invasions; Chapman & Hall: London, UK, 1989; pp. 10–24. [Google Scholar]
- Williamson, M. Biological Invasions, 1st ed.; Chapman & Hall: London, UK, 1996; pp. 28–52. [Google Scholar]
- Crooks, J.A. Lag times and exotic species: The ecology and management of biological invasions in slow-motion. Ecoscience 2005, 12, 316–329. [Google Scholar] [CrossRef]
- Simberloff, D.; Dayan, T.; Jones, C.; Ogura, G. Character displacement and release in the small Indian mongoose, Herpestes javanicus. Ecology 2000, 81, 2086–2099. [Google Scholar] [CrossRef]
- Lockwood, J.L.; Cassey, P.; Blackburn, T. The role of propagule pressure in explaining species invasions. Trends Ecol. Evol. 2005, 20, 223–228. [Google Scholar] [CrossRef] [PubMed]
- Simberloff, D. The role of propagule pressure in biological invasions. Annu. Rev. Ecol. Evol. Syst. 2009, 40, 81–102. [Google Scholar] [CrossRef]
- Shigesada, N.; Kawasaki, K. Biological Invasions: Theory and Practice; Oxford University Press: Oxford, UK, 1997; pp. 10–205. [Google Scholar]
- Wang, R.; Wang, Y.Z. Invasion dynamics and potential spread of the invasive alien plant species Ageratina adenophora (Asteraceae) in China. Divers. Distrib. 2006, 12, 397–408. [Google Scholar] [CrossRef]
- Collin, S.B.; Edwards, P.K.; Leung, B.; Johnson, L.E. Optimizing early detection of non-indigenous species: Estimating the scale of dispersal of a nascent population of the invasive tunicate Ciona intestinalis (L.). Mar. Pollut. Bull. 2013, 73, 64–69. [Google Scholar] [CrossRef]
- Alam, A.R.; Hagino, T.; Fukaya, K.; Okuda, T.; Nakaoka, M.; Noda, T. Early phase of the invasion of Balanus glandula along the coast of Eastern Hokkaido: Changes in abundance, distribution, and recruitment. Biol. Inv. 2014, 16, 1699–1708. [Google Scholar] [CrossRef][Green Version]
- Rowe, L.; Ludwig, D. Size and timing of metamorphosis in complex life cycles: Time constraints and variation. Ecology 1991, 72, 413–427. [Google Scholar] [CrossRef]
- Todd, C.D. Larval supply and recruitment of benthic invertebrates: Do larvae always disperse as much as we believe? Hydrobiologia 1998, 375/376, 1–21. [Google Scholar] [CrossRef]
- Thorson, G. Reproductive and larval ecology of marine bottom invertebrates. Biol. Rev. Camb. Philos. Soc. 1950, 25, 1–45. [Google Scholar] [CrossRef]
- Eckman, J.E. Closing the larval loop: Linking larval ecology to the population dynamics of marine benthic invertebrates. J. Exp. Mar. Biol. Ecol. 1996, 200, 207–237. [Google Scholar] [CrossRef]
- Wellington, G.M.; Victor, B.C. Variation in components of reproductive success in an undersaturated population of coral-reef damselfish: A field perspective. Am. Nat. 1988, 131, 588–601. [Google Scholar] [CrossRef]
- Hughes, T.P.; Baird, A.H.; Dinsdale, E.A.; Moltschaniwskyj, N.A.; Pratchett, M.S.; Tanner, J.E.; Willis, B.L. Supply-side ecology works both ways: The link between benthic adults, fecundity, and larval recruits. Ecology 2000, 81, 2241–2249. [Google Scholar] [CrossRef]
- Jenkins, S.R.; Aberg, P.; Cervin, G.; Coleman, R.A.; Delany, J.; DellaSantina, P.; Hawkins, S.J.; LaCroix, E.; Myers, A.A.; Lindegarth, M.; et al. Spatial and temporal variation in settlement and recruitment of the intertidal barnacle Semibalanus balanoides (L.) (Crustacea: Cirripedia) over a European scale. J. Exp. Mar. Biol. Ecol. 2000, 243, 209–225. [Google Scholar] [CrossRef]
- Hughes, T.P.; Baird, A.H.; Dinsdale, E.A.; Harriott, V.J.; Moltschaniwskyj, N.A.; Pratchett, M.S.; Willis, B.L. Detecting regional variation using meta-analysis and large-scale sampling: Latitudinal patterns in recruitment. Ecology 2002, 83, 436–451. [Google Scholar] [CrossRef]
- Hughes, T.P. Population dynamics based on individual size rather than age: A general model with a reef coral example. Am. Nat. 1984, 123, 778–795. [Google Scholar] [CrossRef]
- Connell, J.H. The consequences of variation in initial settlement vs. post-settlement mortality in rocky intertidal communities. J. Exp. Mar. Biol. Ecol. 1985, 93, 11–45. [Google Scholar] [CrossRef]
- Karlson, R.H.; Levitan, D.R. Recruitment-limitation in open populations of Diadema antillarum: An evaluation. Oecologia 1990, 82, 40–44. [Google Scholar] [CrossRef]
- Underwood, A.J.; Fairweather, P.G. Supply side ecology and benthic marine assemblages. Trends Ecol. Evol. 1989, 4, 16–20. [Google Scholar] [CrossRef]
- Wahle, R.A. Revealing stock–recruitment relationships in lobsters and crabs: Is experimental ecology the key? Fish. Res. 2003, 65, 3–32. [Google Scholar] [CrossRef]
- Connell, J.H.; Keough, M.J. Disturbance and patch dynamics of subtidal marine animals on hard substrata. In The Ecology of Natural Disturbance and Patch Dynamics; Pickett, S.T.A., White, P.S., Eds.; Academic Press: Orlando, FL, USA, 1985; pp. 125–151. [Google Scholar]
- Caley, M.J.; Carr, M.H.; Hixon, M.A.; Hughes, T.P.; Jones, G.P.; Menge, B.A. Recruitment and the local dynamics of open marine populations. Ann. Rev. Ecol. Syst. 1996, 27, 477–500. [Google Scholar] [CrossRef]
- Menge, B.A. Recruitment vs. postrecruitment processes as determinants of barnacle population abundance. Ecol. Monogr. 2000, 70, 265–288. [Google Scholar] [CrossRef]
- Newman, W.A.; Abbott, D.P. Cirripedia: The barnacles. In Intertidal Invertebrates of California; Morris, R.H., Abbott, D.P., Haderlie, E.C., Eds.; Stanford University Press: Stanford, CA, USA, 1980; pp. 504–535. [Google Scholar]
- Schwindt, E. The invasion of the acorn barnacle Balanus glandula in the south-western Atlantic 40 years later. J. Mar. Biol. Assoc. U. K. 2007, 87, 1219–1225. [Google Scholar] [CrossRef]
- Barnes, H.; Barnes, M. The general biology of Balanus glandula Darwin. Pac. Sci. 1956, 10, 415–422. [Google Scholar]
- Brown, S.K.; Roughgarden, J. Growth, morphology, and laboratory culture of larvae of Balanus glandula (Cirripedia: Thoracica). J. Crust. Biol. 1985, 5, 574–590. [Google Scholar] [CrossRef]
- Strathmann, M.F. Reproduction and Development of Marine Invertebrates of the Northern Pacific Coast: Data and Methods for the Study of Eggs, Embryos, and Larvae; University of Washington Press: Seattle, WA, USA, 1987; pp. 370–392. [Google Scholar]
- Geller, J.; Sotka, E.E.; Kado, R.; Palumbi, S.R.; Schwindt, E. Sources of invasions of a northeastern Pacific acorn barnacle, Balanus glandula, in Japan and Argentina. Mar. Ecol. Prog. Ser. 2008, 358, 211–218. [Google Scholar] [CrossRef]
- Kado, R. Invasion of Japanese shores by the NE Pacific barnacle Balanus glandula and its ecological and biogeographical impact. Mar. Ecol. Prog. Ser. 2003, 249, 199–206. [Google Scholar] [CrossRef]
- Gaines, S.D.; Bertness, M.D. The dynamics of juvenile dispersal: Why field ecologists must integrate. Ecology 1993, 74, 2430–2435. [Google Scholar] [CrossRef]
- Noda, T.; Fukushima, K.; Mori, T. Daily settlement variability of the barnacle Semibalanus cariosus: Importance of physical factors and density dependent processes. Mar. Ecol. Prog. Ser. 1998, 169, 289–293. [Google Scholar] [CrossRef][Green Version]
- Menge, B.A. Relative importance of recruitment and other causes of variation in rocky intertidal community structure. J. Exp. Mar. Biol. Ecol. 1991, 146, 69–100. [Google Scholar] [CrossRef]
- Briggs, J.C. Global Biogeography; Elsevier: Amsterdam, The Netherlands, 1995; pp. 236–238. [Google Scholar]
- Asakura, A. Biogeography. In Ecology of Marine Benthos; Wada, K., Ed.; Tokai University Press: Hatano, Japan, 2003; pp. 303–367. [Google Scholar]
- Fukaya, K.; Okuda, T.; Hori, M.; Yamamoto, T.; Nakaoka, M.; Noda, T. Variable processes that determine population growth and an invariant mean–variance relationship of intertidal barnacles. Ecosphere 2013, 4, 1–20. [Google Scholar] [CrossRef]
- Okuda, T.; Noda, T.; Yamamoto, T.; Ito, T.; Nakaoka, M. Latitudinal gradient of species diversity: Multi-scale variability in rocky intertidal sessile assemblages along the Northeast Pacific Coast. Popul. Ecol. 2004, 46, 159–170. [Google Scholar] [CrossRef]
- Nakaoka, M.; Ito, N.; Yamamoto, T.; Okuda, T.; Noda, T. Similarity of rocky intertidal assemblages along the Pacific coast of Japan: Effects of spatial scales and geographic distance. Ecol. Res. 2006, 21, 425–435. [Google Scholar] [CrossRef]
- Munroe, D.M.; Noda, T. Physical and biological factors contributing to changes in the relative importance of recruitment to population dynamics in open populations. Mar. Ecol. Prog. Ser. 2010, 412, 151–162. [Google Scholar] [CrossRef]
- Noda, T. Spatial hierarchical approach in community ecology: A way beyond high context-dependency and low predictability in local phenomena. Popul. Ecol. 2004, 46, 105–117. [Google Scholar] [CrossRef]
- Williamson, M.H.; Fitter, A. The characters of successful invaders. Biol. Conserv. 1996, 78, 163–170. [Google Scholar] [CrossRef]
- Simberloff, D.; Gibbons, L. Now you see them, now you don’t! –Population crashes of established introduced species. Biol. Inv. 2004, 6, 161–172. [Google Scholar] [CrossRef]
- Nagdali, S.S.; Gupta, P.K. Impact of mass mortality of a mosquito fish, Gambusia affinis on the ecology of a freshwater eutrophic lake (Lake Naini Tal, India). Hydrobiologia 2002, 468, 45–51. [Google Scholar] [CrossRef]
- Elkinton, J.S.; Parry, D.; Boettner, G.H. Implicating an introduced generalist parasitoid in the invasive browntail moth’s enigmatic demise. Ecology 2006, 87, 2664–2672. [Google Scholar] [CrossRef][Green Version]
- MacPherson, E.A.; Scrosati, R.; Chareka, P. Barnacle recruitment on ice-scoured shores in eastern Canada. J. Mar. Biol. Assoc. U. K. 2008, 88, 289–291. [Google Scholar] [CrossRef][Green Version]
- Japan Meteorological Agency [JMA]. Available online: https://www.data.jma.go.jp/gmd/kaiyou/data/db/seaice/hokkaido/data/statistical/kushiro.txt (accessed on 23 October 2020).
- Harley, C.D.; Helmuth, B.S. Local-and regional-scale effects of wave exposure, thermal stress, and absolute versus effective shore level on patterns of intertidal zonation. Limnol. Oceanogr. 2003, 48, 1498–1508. [Google Scholar] [CrossRef]
- Chan, B.K.; Morritt, D.; De Pirro, M.; Leung, K.M.; Williams, G.A. Summer mortality: Effects on the distribution and abundance of the acorn barnacle Tetraclita japonica on tropical shores. Mar. Ecol. Prog. Ser. 2006, 328, 195–204. [Google Scholar] [CrossRef]
- Dayton, P.K. Competition, disturbance, and community organization: The provision and subsequent utilization of space in a rocky intertidal community. Ecol. Monogr. 1971, 41, 351–389. [Google Scholar] [CrossRef]
- Gaines, S.D.; Roughgarden, J. Larval settlement rate: A leading determinant of structure in an ecological community of the marine intertidal zone. Proc. Natl. Acad. Sci. USA 1985, 82, 3707–3711. [Google Scholar] [CrossRef] [PubMed]
- Raimondi, P.T. Settlement behavior of Chthamalus anisopoma larvae largely determines the adult distribution. Oecologia 1991, 85, 349–360. [Google Scholar] [CrossRef] [PubMed]
- Hentschel, B.T.; Emlet, R.B. Metamorphosis of barnacle nauplii: Effects of food variability and a comparison with amphibian models. Ecology 2000, 81, 3495–3508. [Google Scholar] [CrossRef]
- Anil, A.C.; Desai, D.; Khandeparker, L. Larval development and metamorphosis in Balanus amphitrite Darwin (Cirripedia; Thoracica): Significance of food concentration, temperature and nucleic acids. J. Exp. Mar. Biol. Ecol. 2001, 263, 125–141. [Google Scholar] [CrossRef]
- Fitt, W.K.; Fisher, C.R.; Trench, R.K. Larval biology of tridacnid clams. Aquaculture 1984, 39, 181–195. [Google Scholar] [CrossRef]
- López, S.; Turon, X.; Montero, E.; Palacín, C.; Duarte, C.M.; Tarjuelo, I. Larval abundance, recruitment and early mortality in Paracentrotus lividus (Echinoidea). Interannual variability and plankton–benthos coupling. Mar. Ecol. Prog. Ser. 1998, 172, 239–251. [Google Scholar] [CrossRef]
- Bos, O.G.; Philippart, C.J.; Van der Meer, J. Effects of temporary food limitation on development and mortality of Macoma balthica larvae. Mar. Ecol. Prog. Ser. 2007, 330, 155–162. [Google Scholar] [CrossRef]
- Azzurro, E.; Golani, D.; Bucciarelli, G.; Bernardi, G. Genetics of the early stages of invasion of the Lessepsian rabbitfish Siganus luridus. J. Exp. Mar. Biol. Ecol. 2006, 333, 190–201. [Google Scholar] [CrossRef]
- Liebhold, A.M.; Tobin, P.C. Population ecology of insect invasions and their management. Annu. Rev. Entomol. 2008, 53, 387–408. [Google Scholar] [CrossRef] [PubMed]




| Temporal Extent of Data Applying for Regression Analysis | n | Regression Coefficient | R2 | p Value |
|---|---|---|---|---|
| Window size: 5 yrs | ||||
| 2004–2008 | 5 | 32.76 | 0.49 | 0.185 |
| 2005–2009 | 5 | 39.84 | 0.56 | 0.145 |
| 2006–2010 | 5 | 21.40 | 0.56 | 0.147 |
| 2007–2011 | 5 | 1.28 | 0.17 | 0.484 |
| 2008–2012 | 5 | 0.41 | 0.03 | 0.776 |
| 2009–2013 | 5 | 0.63 | 0.06 | 0.698 |
| 2010–2014 | 5 | 0.89 | 0.12 | 0.571 |
| Window size: 6 yrs | ||||
| 2004–2009 | 6 | 43.69 | 0.60 | 0.070 |
| 2005–2010 | 6 | 25.21 | 0.61 | 0.066 |
| 2006–2011 | 6 | 2.85 | 0.20 | 0.374 |
| 2007–2012 | 6 | 1.22 | 0.16 | 0.435 |
| 2008–2013 | 6 | 0.96 | 0.11 | 0.515 |
| 2009–2014 | 6 | 0.54 | 0.05 | 0.686 |
| Window size: 7 yrs | ||||
| 2004–2010 | 7 | 27.64 | 0.64 | 0.030 |
| 2005–2011 | 7 | 3.76 | 0.24 | 0.259 |
| 2006–2012 | 7 | 2.88 | 0.21 | 0.303 |
| 2007–2013 | 7 | 1.48 | 0.21 | 0.308 |
| 2008–2014 | 7 | 0.83 | 0.09 | 0.522 |
| Window size: 8 yrs | ||||
| 2004–2011 | 8 | 4.42 | 0.28 | 0.182 |
| 2005–2012 | 8 | 3.85 | 0.26 | 0.195 |
| 2006–2013 | 8 | 2.88 | 0.21 | 0.248 |
| 2007–2014 | 8 | 1.34 | 0.17 | 0.317 |
| Year | n | Spearman’s Rank Correlation Coefficient | p Value |
|---|---|---|---|
| 2007–2008, 2008–2009 and 2009–2010 | 12 | 0.44 | 0.152 |
| 2010–2011 | 13 | 0.57 | 0.041 |
| 2011–2012 | 9 | −0.18 | 0.637 |
| 2012–2013 and 2013–2014 | 10 | −0.16 | 0.659 |
Publisher’s Note: MDPI stays neutral with regard to jurisdictional claims in published maps and institutional affiliations. |
© 2020 by the authors. Licensee MDPI, Basel, Switzerland. This article is an open access article distributed under the terms and conditions of the Creative Commons Attribution (CC BY) license (http://creativecommons.org/licenses/by/4.0/).
Share and Cite
Noda, T.; Ohira, M. Transition in Population Dynamics of the Intertidal Barnacle Balanus glandula after Invasion: Causes and Consequences of Change in Larval Supply. J. Mar. Sci. Eng. 2020, 8, 915. https://doi.org/10.3390/jmse8110915
Noda T, Ohira M. Transition in Population Dynamics of the Intertidal Barnacle Balanus glandula after Invasion: Causes and Consequences of Change in Larval Supply. Journal of Marine Science and Engineering. 2020; 8(11):915. https://doi.org/10.3390/jmse8110915
Chicago/Turabian StyleNoda, Takashi, and Masashi Ohira. 2020. "Transition in Population Dynamics of the Intertidal Barnacle Balanus glandula after Invasion: Causes and Consequences of Change in Larval Supply" Journal of Marine Science and Engineering 8, no. 11: 915. https://doi.org/10.3390/jmse8110915
APA StyleNoda, T., & Ohira, M. (2020). Transition in Population Dynamics of the Intertidal Barnacle Balanus glandula after Invasion: Causes and Consequences of Change in Larval Supply. Journal of Marine Science and Engineering, 8(11), 915. https://doi.org/10.3390/jmse8110915

