On the Rheological Properties of Thermodynamic Hydrate Inhibitors Used in Offshore Oil and Gas Production
Abstract
:1. Introduction
1.1. Gas Hydrates Overview
1.2. Methane Hydrates Potential by Global Regions
1.3. Inhibition of Gas Hydrates
| DT | Temperature shift, hydrate depression [C] |
| K | Constant, from Table 2 |
| W | Concentration of the inhibitor in weight per cent in the aqueous phase |
| M | Molecular weight of the inhibitor divided by the molecular weight of water, from Table 3 |
1.4. Chemical Delivery of THI
1.5. Safety of THI
1.6. Partition of THI into Hydrocarbon Phase
1.7. Justification
2. Materials and Methods
2.1. Experimental Tests
2.2. Cost Comparison of the Most Used THI
3. Results and Discussion
3.1. Viscosity of THI as Function of the Temperature of the Fluid
3.2. Viscosity of THI as Function of the Concentration of MEG/EtOH Mixture in the Fluid
3.3. Viscosity of THI as Function of the Shear Rate
3.4. Shear Stress and Shear Rate Effect
3.5. Cost Comparison
4. Conclusions
- This work compared the economic feasibility of the use of methanol and MEG with others, such as ethanol and MEG/EtOH mixture, based on the mixture injection in terms of injection frequency and inhibitor amount when hydrate inhibitor is injected intermittently for preventing hydrate in sub-sea flowlines.
- Considering the shear-thickening effect, we can say that having a low shear rate or low flow velocity is more convenient as the fluid behaves as a Newtonian fluid and the force against its movement is lower. This effect needs to be considered when designing the pumping system.
- The viscosity of the mixture of MEG/EtOH is lower than the viscosity of the MEG alone. As the viscosity is lower, it would be easier to pump the mixture downhole than MEG alone.
- Even though increasing the concentration increases the viscosity, the higher concentration of 75% mixture of MEG/EtOH has a much lower viscosity than pure MEG.
- Based on the economic analysis, the MEG/EtOH mixture shows good results when compared with pure MEG treatments. The frequency and quantity of THI needed have to be analysed.
- The loss of MEG/EtOH to the vapour phase would be reduced when compared to pure methanol. When using MEG/EtOH mixture, we assumed the loss of MEG would be negligible. The loss of EtOH would be less than the loss of pure MeOH, as the quantity of EtOH in solution is quite smaller to that of a pure MeOH treatment.
- To make the best decision it is important to take into consideration the fluid dynamics and rheology effects of the fluid, as having a lower viscosity is better. On this front, the MEG/EtOH presents good advantages compared to the MEG. To its advantage, the MEG used in the treatments can be regenerated. At some point, there is a need for a trade-off between a better injection process based on fluid effects and the price effect lead by MEG.
- With the advantage of injection, the next step is to prove its efficiency as a THI in a batch system.
Author Contributions
Funding
Acknowledgments
Conflicts of Interest
Abbreviations
| MEG | Mono Ethylene Glycol |
| TEG | Triethylene Glycol |
| MeOH | Methanol |
| EtOH | Ethanol |
| CO | Carbon Dioxide |
| THI | Thermodynamic Hydrate Inhibitors |
| PLEMs | Pipeline End Manifold |
| PLETs | Pipeline End Termination |
| ILTs | In-Line Tee |
| NPC | Net Present Cost |
| NPV | Net Present Value |
| TCF | Trillion Cubic Feet |
Appendix A
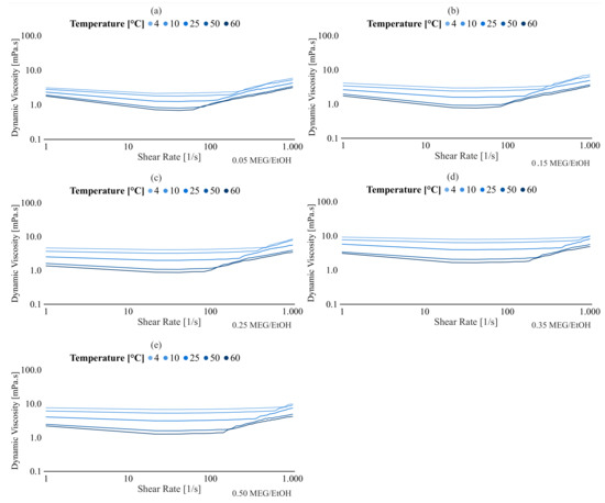
Appendix A.1. Dynamic Viscosity of the MEG/EtOH Mixture as Function of Shear Rate for Different Temperatures

Appendix A.2. Hydrates Curves using Equation (1)
| P [bar] | T [C] | 20% MeOH | 20% MEG | 20% EtOH |
|---|---|---|---|---|
| 11 | 3 | 1.54 | 2.13 | 1.98 |
| 13 | 4 | 2.54 | 3.13 | 2.98 |
| 15 | 5 | 3.54 | 4.13 | 3.98 |
| 17 | 6 | 4.54 | 5.13 | 4.98 |
| 20 | 7 | 5.54 | 6.13 | 5.98 |
| 23 | 8 | 6.54 | 7.13 | 6.98 |
| 27 | 9 | 7.54 | 8.13 | 7.98 |
| 32 | 10 | 8.54 | 9.13 | 8.98 |
| 36 | 11 | 9.54 | 10.13 | 9.98 |
| 41.5 | 12 | 10.54 | 11.13 | 10.98 |
| 48 | 13 | 11.54 | 12.13 | 11.98 |
| 56 | 14 | 12.54 | 13.13 | 12.98 |
| 66 | 15 | 13.54 | 14.13 | 13.98 |
| 77 | 16 | 14.54 | 15.13 | 14.98 |
| 89 | 17 | 15.54 | 16.13 | 15.98 |
| 105 | 18 | 16.54 | 17.13 | 16.98 |
| 109 | 18.2 | 16.74 | 17.33 | 17.18 |
| 113 | 18.4 | 16.94 | 17.53 | 17.38 |
| 117 | 18.6 | 17.14 | 17.73 | 17.58 |
| 121 | 18.8 | 17.34 | 17.93 | 17.78 |
| 125 | 18.9 | 17.44 | 18.03 | 17.88 |
| 140 | 19 | 17.54 | 18.13 | 17.98 |
| 160 | 19.4 | 17.94 | 18.53 | 18.38 |
References
- Johnson, A.H. Global Resource Potential of Gas Hydrate—A New Calculation. In Proceedings of the 7th International Conference on Gas Hydrates (ICGH 2011), Edinburgh, Scotland, UK, 17–21 July 2011; Available online: https://www.pet.hw.ac.uk/icgh7/papers/icgh2011Final00070.pdf (accessed on 24 July 2020).
- Sloan, E.D.; Koh, C.A. Clathrate Hydrates of Natural Gases, 3rd ed.; CRC Press (Taylor and Francis Group): Boca Raton, FL, USA, 2008. [Google Scholar]
- Sloan, E.D. Hydrates: State of the art inside and outside flowlines. J. Petrol. Technol. 2009, 61, 89–94. [Google Scholar] [CrossRef]
- Ning, F.; Zhang, L.; Tu, Y.; Jiang, G.; Shi, M. Gas-hydrate formation, agglomeration and inhibition in oil-based drilling fluids for deep-water drilling. J. Nat. Gas Chem. 2010, 19, 234–240. [Google Scholar] [CrossRef]
- Kim, J.; Shin, K.; Seo, Y.; Cho, S.J.; Lee, J.D. Synergistic hydrate inhibition of monoethylene glycol with poly(vinylcaprolactam) in thermodynamically underinhibited system. J. Phys. Chem. B 2014, 118, 9065–9075. [Google Scholar] [CrossRef] [PubMed]
- Folger, P. Gas Hydrates: Resources and Hazard. Congressional Research Service. 25 May 2010. Available online: https://fas.org/sgp/crs/misc/RS22990.pdf (accessed on 10 July 2020).
- Kan, A.T.; Fu, G.; Watson, M.A.; Tomson, M.B. Effect of Hydrate Inhibitors on Oilfield Scale Formation and Inhibition, International Symposium on Oilfield Scale. Soc. Petrol. Eng. 2002. [Google Scholar] [CrossRef]
- Matthews, P.; Subramanian, S.; Creek, J. High Impact, Poorly Understood Issues with Hydrate in Flow Assurance. In Proceedings of the 4th International Conference on Gas Hydrates, Yokohama, Japan, 19–23 May 2002; pp. 19–23. [Google Scholar]
- Cochran, S.; Gudimetla, R. Hydrate management: Its importance to deepwater Gas Development succes. World Oil 2004, 225, 55–61. [Google Scholar]
- Kim, H.; Yoo, W.; Lim, Y.; Seo, Y. Economic evaluation of MEG injection and regeneration process for oil FPSO. J. Petrol. Sci. Eng. 2018, 164, 417–426. [Google Scholar] [CrossRef]
- Bai, Y.; Bai, Q. Subsea Pipelines and Risers; Elsevier Science Ltd.: Oxford, UK, 2005; pp. 357–382. [Google Scholar]
- Di Lullo, A.; Hester, K.C. Revisiting the Hammerschmidt Equation: Effect of Operating Conditions on the Selection of the Hammerschmidt Constant. In Proceedings of the 13th Offshore Mediterranean Conference and Exhibition, Ravena, Italy, 29–31 March 2017. [Google Scholar]
- Carroll, J. Natural Gas Hydrates: A Guide for Engineers; Gulf Professional Publishing an imprint of Elsevier Science: Waltham, MA, USA, 2003; p. 117. [Google Scholar]
- Chemical Injection Package Enables MEG Injection for Extraordinary Requirements on Vibrations and Noise Emissions. Available online: https://www.lewa-nikkiso.kr/en/lewa-group/news-detail/chemical-injection-package-enables-meg-injection-for-extraordinary-requirements-on-vibrations-and-noise-emissions (accessed on 25 June 2020).
- Samie, N.N. Chapter 3—Systems and Equipment for Offshore Platform Design. In Practical Engineering Management of Offshore Oil and Gas Platforms; Gulf Professional Publishing: Cambridge, MA, USA, 2016. [Google Scholar] [CrossRef]
- Bullin, K.A.; Bullin, J.A. Optimizing Methanol Usage for Hydrate Inhibition in a Gas Gathering System. In Proceedings of the 3rd Annual GPA Convention, March 2004; Available online: https://bre.com/PDF/Optimizing-Methanol-Usage-for-Hydrate-Inhibition-in-a-Gas-Gathering-System-GPA-2004.pdf (accessed on 27 July 2020).
- Brustad, S.; Løken, K.P.; Waalmann, J.G. Hydrate Prevention Using MEG Instead of MeOH: Impact of Experience from Major Norwegian Developments on Technology Selection for Injection and Recovery of MEG. Offshore Technol. Conf. 2005. [Google Scholar] [CrossRef]
- Sloan, E.D. Hydrate Engineering; Society of Petroleum Engineers: Richardson, TX, USA, 2000. [Google Scholar]
- Aminaji, M.; Tohidi, B.; Gurgass, R.; Atilhan, M. Effect of injected chemical density on hydrate blockage removal in vertical pipes: Use of MEG/MeOH mixture to remove hydrate blockage. JNGSE 2017. [Google Scholar] [CrossRef]
- Zakarian, E.; Holm, H.; Saha, P.; Lisitskaya, V.; Suleymanov, V. Shtokman: The Management of Flow Assurance Constraints in Remote Arctic Environment. In Proceedings of the 24th World Gas Conference, Buenos Aires, Argentina, 5–9 October 2009; pp. 5–9. [Google Scholar]
- Sandengen, K. Hydrates and Glycols. 2010. Available online: http://www.ipt.ntnu.no/~jsg/undervisning/naturgass/lysark/LysarkSandengen2010.pdf (accessed on 5 October 2012).
- Yua, W.; Xie, H.; Li, Y.; Chen, L.; Wang, Q. Experimental investigation on the thermal transport properties of ethylene glycol based nanofluids containing low volume concentration diamond nanoparticles, Colloids and Surfaces A: Physicochem. Eng. Asp. 2011, 380, 1–5. [Google Scholar] [CrossRef]
- Paz, P.; Netto, T.A. Introducing a Novel MEG/EtOH Mixture to Improve Gas Hydrate Blockages Removal During Offshore Oil and Gas Production. In Proceedings of the ASME 2019 38th International Conference on Ocean, Offshore and Arctic Engineering, Volume 5A: Pipelines, Risers, and Subsea Systems, Glasgow, UK, 9–14 June 2019. [Google Scholar] [CrossRef]
- Son, K.; Wallace, C. Reclamation/regeneration of Glycols Used for Hydrate Inhibition. Deep Offshore Technol. 2003. Available online: https://www.semanticscholar.org/paper/RECLAMATION-%2F-REGENERATION-OF-GLYCOLS-USED-FOR-Son/81e24ee5eef1eba2e43ca8925413868beea78e9c?p2df (accessed on 22 October 2020).









| Structure I | Structure II | Structure H |
|---|---|---|
| Methane Ethane Carbon Dioxide etc. | Propane Iso-butane etc. | Methane+Neohexane Methane+Cycloheptane etc. |
| THI | Methanol | MEG | Ethanol |
|---|---|---|---|
| K-value | 1297 | 1297–2222 | 1297 |
| THI | Methanol | MEG | TEG | Ethanol | Water |
|---|---|---|---|---|---|
| Formula | CHOH | CHO | CHO | CHOH | HO |
| Molecular Weigh [g/mol] | 32 | 62 | 150 | 46 | 18 |
| Density [Kg/m] | 792 | 1116 | 1126 | 789 | 997 |
| Viscosity 25 [C] [cp] | 0.5 | 18 | 36 | 0.9 | 0.89 |
| Freezing Point [C] | −98 | −13 | −5 | −114 | 0 |
| Boiling Point [C] | 65 | 198 | 278 | 80 | 100 |
| Flash Point [C] | 12 | 111 | 165 | 12 | - |
| Vapor Pressure 20 C [kPa] | 13.02 | 0.008 | 0.00002 | 5.7 | 2.33 |
| Condition | Values | |||||
|---|---|---|---|---|---|---|
| Temperature [C] | 0–60 | |||||
| Shear Rate [1/s] | 1–1000 | |||||
| %MEG/EtOH | 5 | 15 | 25 | 35 | 50 | 75 |
| Dynamic Viscosity of the MEG/EtOH Mixture [mPa*s] − Shear rate = 100 [1/s]. | |||||||||||||||
|---|---|---|---|---|---|---|---|---|---|---|---|---|---|---|---|
| %MEG/EtOH | Temperature [C] | ||||||||||||||
| 0 | 2 | 4 | 5 | 10 | 15 | 20 | 25 | 30 | 35 | 40 | 45 | 50 | 55 | 60 | |
| 5 | 2.53 | 2.37 | 2.23 | 2.16 | 1.87 | 1.65 | 1.47 | 1.32 | 1.19 | 1.10 | 1.15 | 1.10 | 1.06 | 1.04 | 1.00 |
| 15 | 3.73 | 3.46 | 3.20 | 3.09 | 2.61 | 2.23 | 1.94 | 1.71 | 1.52 | 1.36 | 1.23 | 1.13 | 1.10 | 1.10 | 1.10 |
| 25 | 5.06 | 4.65 | 4.28 | 4.10 | 3.40 | 2.86 | 2.44 | 2.11 | 1.85 | 1.63 | 1.46 | 1.32 | 1.19 | 1.10 | 1.09 |
| 35 | 6.64 | 6.08 | 5.56 | 5.32 | 4.34 | 3.60 | 3.03 | 2.59 | 2.24 | 1.97 | 1.75 | 1.56 | 1.41 | 1.28 | 1.17 |
| 50 | 8.39 | 7.68 | 7.03 | 6.72 | 5.49 | 4.54 | 3.81 | 3.25 | 2.80 | 2.44 | 2.15 | 1.91 | 1.71 | 1.54 | 1.40 |
| 75 | 9.44 | 8.73 | 8.06 | 7.75 | 6.46 | 5.43 | 4.62 | 3.98 | 3.46 | 3.03 | 2.67 | 2.38 | 2.14 | 1.93 | 1.76 |
Publisher’s Note: MDPI stays neutral with regard to jurisdictional claims in published maps and institutional affiliations. |
© 2020 by the authors. Licensee MDPI, Basel, Switzerland. This article is an open access article distributed under the terms and conditions of the Creative Commons Attribution (CC BY) license (http://creativecommons.org/licenses/by/4.0/).
Share and Cite
Paz, P.; Netto, T.A. On the Rheological Properties of Thermodynamic Hydrate Inhibitors Used in Offshore Oil and Gas Production. J. Mar. Sci. Eng. 2020, 8, 878. https://doi.org/10.3390/jmse8110878
Paz P, Netto TA. On the Rheological Properties of Thermodynamic Hydrate Inhibitors Used in Offshore Oil and Gas Production. Journal of Marine Science and Engineering. 2020; 8(11):878. https://doi.org/10.3390/jmse8110878
Chicago/Turabian StylePaz, Paulo, and Theodoro Antoun Netto. 2020. "On the Rheological Properties of Thermodynamic Hydrate Inhibitors Used in Offshore Oil and Gas Production" Journal of Marine Science and Engineering 8, no. 11: 878. https://doi.org/10.3390/jmse8110878
APA StylePaz, P., & Netto, T. A. (2020). On the Rheological Properties of Thermodynamic Hydrate Inhibitors Used in Offshore Oil and Gas Production. Journal of Marine Science and Engineering, 8(11), 878. https://doi.org/10.3390/jmse8110878

