Parent Nested Optimizing Structure for Vibration Reduction in Floating Wind Turbine Structures
Abstract
1. Introduction
2. Mathematical Model
2.1. Equations of Motion
2.2. Validation
3. Optimization Problem
3.1. Optimization Problem Specification
3.2. Existence of Multiple Local Minima
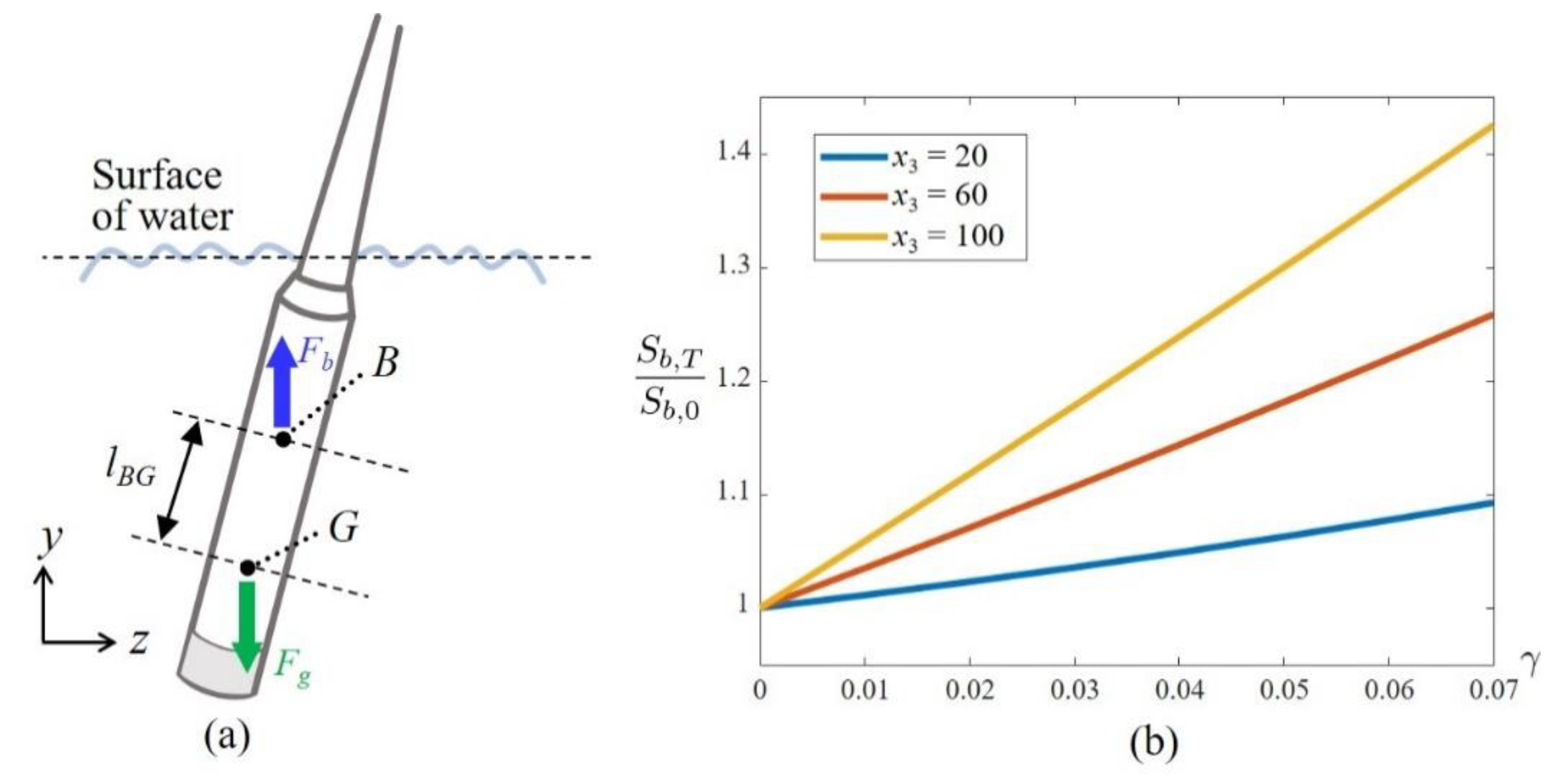
3.3. Mathematical Properties of the Cost Function
4. New Optimization Approach
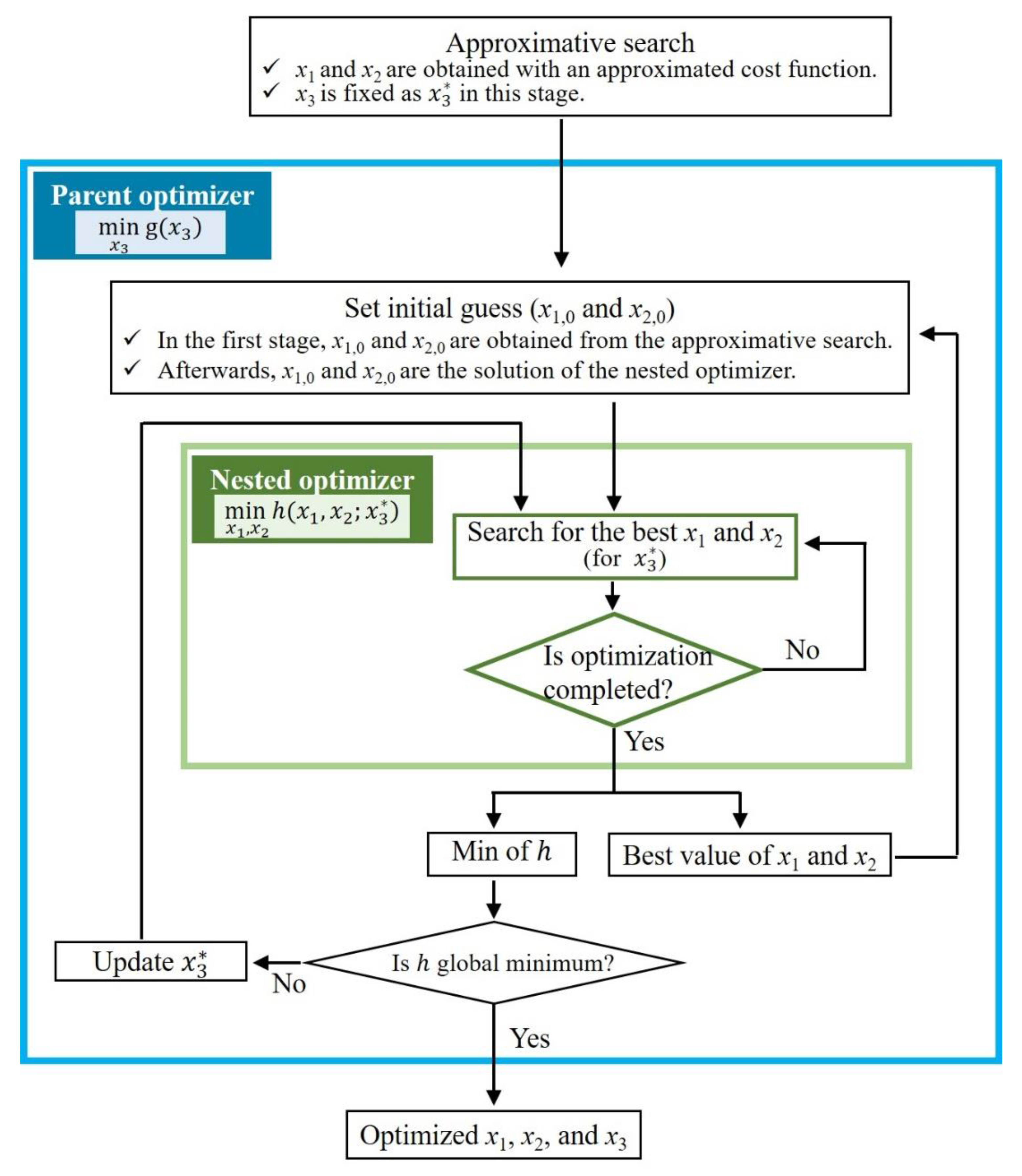
4.1. Parent Nested Optimizing Structure
4.2. Approximative Search of the Initial Set
4.3. Detailed Optimization Procedure
5. Results
5.1. Performance of the New Optimization Approach
5.2. Case Study
6. Conclusions
Supplementary Materials
Author Contributions
Funding
Conflicts of Interest
References
- Kaldellis, J.; Kapsali, M. Shifting towards offshore wind energy—Recent activity and future development. Energy Policy 2013, 53, 136–148. [Google Scholar] [CrossRef]
- Musial, W.; Butterfield, S.; Ram, B. Energy from Offshore Wind. In Proceedings of the Offshore Technology Conference, Houston, TX, USA, 1–4 May 2006. [Google Scholar] [CrossRef]
- Stewart, G.; Lackner, M. Offshore Wind Turbine Load Reduction Employing Optimal Passive Tuned Mass Damping Systems. IEEE Trans. Control. Syst. Technol. 2013, 21, 1090–1104. [Google Scholar] [CrossRef]
- Butterfield, S.; Musial, W.; Jonkman, J. Engineering challenges for floating offshore wind turbines. In Proceedings of the 2005 Copenhagen Offshore Wind Conference, Copenhagen, Denmark, 26–28 October 2005. [Google Scholar]
- Jonkman, J.; Matha, D. A quantitative comparison of the responses of three floating platforms. In Proceedings of the European Offshore Wind 2009 Conference, Stockholm, Sweden, 14–16 September 2009. NREL. [Google Scholar]
- Murtagh, P.J.; Ghosh, A.; Basu, B.; Broderick, B.M. Passive control of wind turbine vibrations including blade/tower interaction and rotationally sampled turbulence. Wind Energy 2008, 11, 305–317. [Google Scholar] [CrossRef]
- Jonkman, J.M.; Buhl, M.L., Jr. FAST User’s Guide; National Renewable Energy Laboratory: Golden, CO, USA, 2005.
- Lackner, M.A.; Rotea, M.A. Passive structural control of offshore wind turbines. Wind Energy 2011, 14, 373–388. [Google Scholar] [CrossRef]
- Si, Y.; Karimi, H.R.; Gao, H. Modelling and optimization of a passive structural control design for a spar-type floating wind turbine. Eng. Struct. 2014, 69, 168–182. [Google Scholar] [CrossRef]
- Li, C.; Zhuang, T.; Zhou, S.; Xiao, Y.Q.; Hu, G. Passive Vibration Control of a Semi-Submersible Floating Offshore Wind Turbine. Appl. Sci. 2017, 7, 509. [Google Scholar] [CrossRef]
- Park, S.; Lackner, M.A.; Pourazarm, P.; Tsouroukdissian, A.R.; Cross-Whiter, J. An investigation on the impacts of passive and semiactive structural control on a fixed bottom and a floating offshore wind turbine. Wind Energy 2019, 22, 1451–1471. [Google Scholar] [CrossRef]
- Yang, J.; He, E.; Hu, Y. Dynamic modeling and vibration suppression for an offshore wind turbine with a tuned mass damper in floating platform. Appl. Ocean Res. 2019, 83, 21–29. [Google Scholar] [CrossRef]
- He, E.-M.; Hu, Y.-Q.; Zhang, Y. Optimization design of tuned mass damper for vibration suppression of a barge-type offshore floating wind turbine. Proc. Inst. Mech. Eng. Part M J. Eng. Marit. Environ. 2016, 231, 302–315. [Google Scholar] [CrossRef]
- Hu, Y.; He, E. Active structural control of a floating wind turbine with a stroke-limited hybrid mass damper. J. Sound Vib. 2017, 410, 447–472. [Google Scholar] [CrossRef]
- Si, Y.; Karimi, H.R.; Gao, H. Modeling and Parameter Analysis of the OC3-Hywind Floating Wind Turbine with a Tuned Mass Damper in Nacelle. J. Appl. Math. 2013, 2013, 679071. [Google Scholar] [CrossRef]
- Jin, X.; Xie, S.; He, J.; Lin, Y.; Wang, Y.; Wang, N. Optimization of tuned mass damper parameters for floating wind turbines by using the artificial fish swarm algorithm. Ocean Eng. 2018, 167, 130–141. [Google Scholar] [CrossRef]
- Neshat, M.; Adeli, A.; Sepidnam, G.; Sargolzaei, M.; Toosi, A.N. A review of artificial fish swarm optimization methods and applications. Int. J. Smart Sens. Intell. Syst. 2012, 5, 108–148. [Google Scholar] [CrossRef]
- He, J.; Jin, X.; Xie, S.; Cao, L.; Lin, Y.; Wang, N. Multi-body dynamics modeling and TMD optimization based on the improved AFSA for floating wind turbines. Renew. Energy 2019, 141, 305–321. [Google Scholar] [CrossRef]
- Mohamed, A.W. A novel differential evolution algorithm for solving constrained engineering optimization problems. J. Intell. Manuf. 2017, 29, 659–692. [Google Scholar] [CrossRef]
- Jonkman, J. Definition of the Floating System of Phase lV of OC3; NREL: Golden, CO, USA, 2010.
- Jonkman, J.M.; Butterfield, S.P.; Musial, W.D.; Scott, G.W. Definition of a 5-MW Reference Wind Turbine for Offshore System Development; Technical report; National Renewable Energy Laboratory: Golden, CO, USA, 2009. [CrossRef]
- Al-Solihat, M.K.; Nahon, M.; Behdinan, K. Dynamic Modeling and Simulation of a Spar Floating Offshore Wind Turbine With Consideration of the Rotor Speed Variations. J. Dyn. Syst. Meas. Control. 2019, 141. [Google Scholar] [CrossRef]
- Anferson, M.T.; Wendt, F.F.; Robertson, A.N.; Jonkman, J.M.; Hall, M. Verification and Validation of Multisegmented Mooring Capabilities in FAST v8; NREL: Golden, CO, USA, 2016.
- Browing, J.R.; Jonkman, J.; Robertson, A.; Goupee, A.J. Calibration and validation of a spar-type floating offshore wind turbine model using the FAST dynamic simulation tool. J. Phys. 2014, 555, 012015. [Google Scholar]









| Parameter | Value |
|---|---|
| Tower length | 77.6 m |
| Platform length | 130 m |
| Taper length | 8 m |
| Submerged length | 120 m |
| Platform diameter above taper | 6.5 m |
| Platform diameter below taper | 9.4 m |
| Tower diameter (top, bottom) | 3.87 m, 6.5 m |
| Platform mass | 7,466,330 kg |
| RNA mass | 350,000 kg |
| Tower mass | 249,718 kg |
| Mass Ratio | Method | Number of Function Evaluations | Vibration Intensity |
|---|---|---|---|
| 2% | Exhaustive search | 55,449 | 1.0133 |
| New approach | 1375 | 1.0127 | |
| 3% | Exhaustive search | 55,449 | 0.9667 |
| New approach | 1020 | 0.9666 | |
| 4% | Exhaustive search | 55,449 | 0.9199 |
| New approach | 1567 | 0.9185 | |
| 5% | Exhaustive search | 55,449 | 0.8682 |
| New approach | 1865 | 0.8676 |
| Mean Wind Velocity | Method | Number of Cost Function Evaluations | Vibration Intensity | Performance Index |
|---|---|---|---|---|
| 9 m/s | Exhaustive search | 55,449 | 1.2304 | 19.406 |
| New approach | 1375 | 1.2301 | 19.422 | |
| 11 m/s | Exhaustive search | 55,449 | 0.9199 | 19.181 |
| New approach | 1020 | 0.9185 | 19.238 | |
| 13 m/s | Exhaustive search | 55,449 | 1.0263 | 30.763 |
| New approach | 1567 | 1.0262 | 30.769 |
| Optimized Parameters | TMD Performance | |||
|---|---|---|---|---|
| Mass Ratio | (%) | |||
| 1% | 0.0834 | 1.0511 | 20 | 6.216 |
| 2% | 0.0843 | 1.2521 | 20 | 10.956 |
| 3% | 0.0826 | 1.1988 | 26.541 | 15.012 |
| 4% | 0.0810 | 1.2231 | 34.167 | 19.238 |
| 5% | 0.0792 | 0.8502 | 43.203 | 23.714 |
| 6% | 0.0808 | 1.0092 | 48.261 | 27.143 |
| 7% | 0.0768 | 0.9248 | 57.592 | 29.746 |
| Optimized Parameters | TMD Performance | |||
|---|---|---|---|---|
| Average Wind Velocity | (%) | |||
| 9 m/s | 0.0719 | 1.301 | 100 | 19.406 |
| 11 m/s | 0.0810 | 1.2231 | 34.167 | 19.238 |
| 13 m/s | 0.0727 | 1.6043 | 100 | 30.763 |
| 15 m/s | 0.0697 | 0.9533 | 80.532 | 22.976 |
Publisher’s Note: MDPI stays neutral with regard to jurisdictional claims in published maps and institutional affiliations. |
© 2020 by the authors. Licensee MDPI, Basel, Switzerland. This article is an open access article distributed under the terms and conditions of the Creative Commons Attribution (CC BY) license (http://creativecommons.org/licenses/by/4.0/).
Share and Cite
Park, G.; Oh, K.-Y.; Nam, W. Parent Nested Optimizing Structure for Vibration Reduction in Floating Wind Turbine Structures. J. Mar. Sci. Eng. 2020, 8, 876. https://doi.org/10.3390/jmse8110876
Park G, Oh K-Y, Nam W. Parent Nested Optimizing Structure for Vibration Reduction in Floating Wind Turbine Structures. Journal of Marine Science and Engineering. 2020; 8(11):876. https://doi.org/10.3390/jmse8110876
Chicago/Turabian StylePark, Gwanghee, Ki-Yong Oh, and Woochul Nam. 2020. "Parent Nested Optimizing Structure for Vibration Reduction in Floating Wind Turbine Structures" Journal of Marine Science and Engineering 8, no. 11: 876. https://doi.org/10.3390/jmse8110876
APA StylePark, G., Oh, K.-Y., & Nam, W. (2020). Parent Nested Optimizing Structure for Vibration Reduction in Floating Wind Turbine Structures. Journal of Marine Science and Engineering, 8(11), 876. https://doi.org/10.3390/jmse8110876

