Numerical Simulation of Flow Control around a Circular Cylinder by Installing a Wedge-Shaped Device Upstream
Abstract
1. Introduction
2. Computational Domain and Boundary Conditions
2.1. Computational Domain
2.2. Boundary Conditions
3. Governing Equations
4. Validation of the Simulation Model
5. Results and Discussions
5.1. Drag and Lift Coefficients
5.2. Identification of Wake Mode
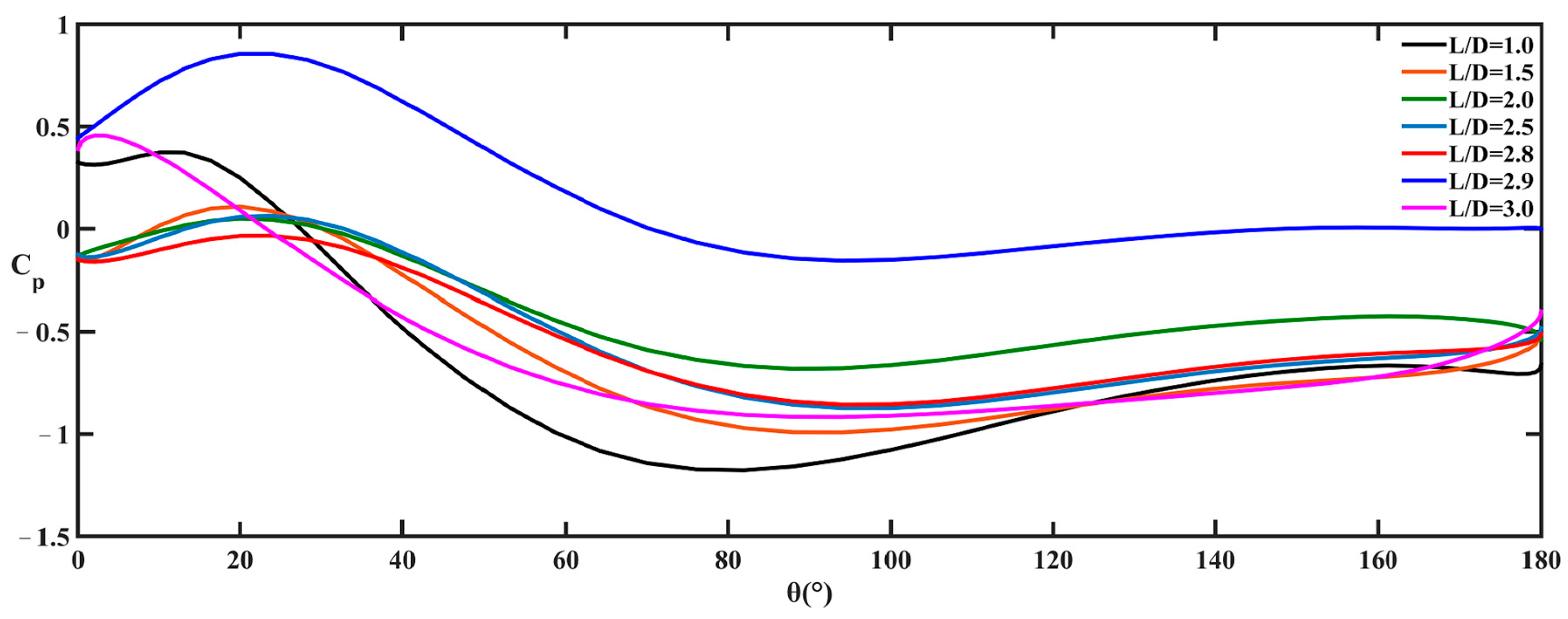
5.3. Pressure Field and the Flow Patterns
6. Conclusion and Remarks
Author Contributions
Funding
Conflicts of Interest
Nomenclature
| D | Diameter of the main cylinder |
| Side length of the wedge | |
| Dimensionless side length-diameter ratio | |
| d | Diameter of the control rod |
| d/D | Dimensionless diameter ratio |
| L | Distance between the vertex of the wedge and the center of the cylinder |
| L/D | Spacing ratio |
| Re | Reynolds number |
| Velocity of the inflow | |
| Kinematic viscosity of the fluid | |
| Fluid density | |
| Mean drag coefficient | |
| Amplitude of lift coefficient | |
| Strouhal number | |
| Vortex shedding frequency |
References
- Korkischko, I.; Meneghini, J.R. Experimental investigation of flow-induced vibration on isolated and tandem circular cylinders fitted with strakes. J. Fluids Struct. 2010, 26, 611–625. [Google Scholar] [CrossRef]
- Lu, L.; Liu, M.M.; Teng, B.; Cui, Z.D.; Tang, G.Q.; Zhao, M.; Cheng, L. Numerical investigation of fluid flow past circular cylinder with multiple control rods at low Reynolds number. J. Fluids Struct. 2014, 48, 235–259. [Google Scholar] [CrossRef]
- Lee, L.; Allen, D.W. The Dynamic Stability of Short Fairings. In Proceeding of the Offshore Technology Conference, Houston, TX, USA, 19 April 2005; pp. 152–185. [Google Scholar]
- Zhou, B.; Wang, X.; Guo, W.; Gho, W.; Tan, S. Control of flow past a dimpled circular cylinder. Exp. Therm. Fluid Sci. 2015, 69, 19–26. [Google Scholar] [CrossRef]
- Zhou, B.; Wang, X.; Guo, W.; Gho, W.; Tan, S. Experimental study on flow past a circular cylinder with grooved surface. Ocean Eng. 2015, 109, 7–13. [Google Scholar] [CrossRef]
- Zhou, B.; Wang, X.; Gho, W.; Tan, S. Force and flow characteristics of a circular cylinder with uniform surface roughness at subcritical Reynolds number. Appl. Ocean Res. 2015, 49, 20–26. [Google Scholar] [CrossRef]
- Silva-Ortega, M.; Assi, G.R.S. Flow-induced vibration of a circular cylinder surrounded by two, four and eight wake-control cylinders. Exp. Therm. Fluid Sci. 2017, 85, 354–362. [Google Scholar] [CrossRef]
- Lesage, F.; Gartshore, I.S. A method of reducing drag and fluctuating side force on bluff bodies. J. Wind Eng. Ind. Aerodyn. 1987, 25, 229–245. [Google Scholar] [CrossRef]
- Sakamoto, H.; Haniu, H. Optimum suppression of fluid forces acting on a circular cylinder. J. Fluids Eng. 1994, 116, 221–227. [Google Scholar] [CrossRef]
- Tsutsui, T.; Igarashi, T. Drag reduction of a circular cylinder (2nd report, effect of Reynolds number). Trans. JSME 1995, 61, 2069–2075. (In Japanese) [Google Scholar] [CrossRef][Green Version]
- Tsutsui, T.; Igarashi, T. Enhancement of heat transfer and reduction of drag of a circular cylinder. Trans. JSME 1996, 62, 1802–1809. (In Japanese) [Google Scholar] [CrossRef]
- Lee, S.J.; Lee, S.I.; Park, C.W. Reducing the drag on a circular cylinder by upstream installation of a small control rod. Fluid Dyn. Res. 2004, 34, 233–250. [Google Scholar] [CrossRef]
- Kuo, C.H.; Chiou, L.C.; Chen, C.C. Wake flow pattern modified by small control cylinders at low Reynolds number. J. Fluids Struct. 2007, 23, 938–956. [Google Scholar] [CrossRef]
- Zhao, M.; Tong, F.; Cheng, L. Numerical simulation of two-degree-of-freedom vortex-induced vibration of a circular cylinder between two lateral plane walls in steady currents. J. Fluids Eng. 2012, 134, 377–390. [Google Scholar] [CrossRef]
- Mittal, S. Free vibrations of a cylinder: 3-D computations at Re = 1000. J. Fluids Struct. 2013, 41, 109–118. [Google Scholar] [CrossRef]
- Patanker, S.V.; Spalding, B.D. A calculation procedure for heat, mass and momentum transfer in three-dimensional parabolic flows. Int. J. Heat Mass Transf. 1972, 15, 1787–1806. [Google Scholar] [CrossRef]
- Linnick, M.N.; Fasel, H.F. A high-order immersed interface method for simulating unsteady incompressible flows on irregular domains. J. Comput. Phys. 2005, 204, 157–192. [Google Scholar] [CrossRef]
- He, J.W.; Glowinski, R.; Metcalfe, R.; Nordlander, A.; Periaux, J. Active control and drag optimization for flow past a circular cylinder I: Oscillatory cylinder rotation. J. Comput. Phys. 2000, 163, 83–117. [Google Scholar] [CrossRef]
- Henderson, R.D. Details of the drag curve near the onset of vortex shedding. Phys. Fluids 1995, 7, 2102–2104. [Google Scholar] [CrossRef]
- Prasad, A.; Williamson, C.H.K. A method for the reduction of bluff body drag. J. Wind Eng. Ind. Aerodyn. 1997, 69–71, 155–167. [Google Scholar] [CrossRef]









| 1.0 | 1.5 | 2.0 | 2.5 | 2.6 | 2.8 | 2.9 | 3.0 | |
|---|---|---|---|---|---|---|---|---|
| 0.20 | √ | √ | √ | √ | - | - | - | √ |
| 0.27 | √ | √ | √ | √ | - | - | - | √ |
| 0.33 | √ | √ | √ | √ | √ | - | - | √ |
| 0.40 | √ | √ | √ | √ | √ | √ | √ | √ |
| Mesh | Node | |||
|---|---|---|---|---|
| Mesh1 | 80 | 1.335 | 0.647 | 0.198 |
| Mesh2 | 120 | 1.342 | 0.653 | 0.198 |
| Mesh3 | 160 | 1.345 | 0.658 | 0.198 |
© 2019 by the authors. Licensee MDPI, Basel, Switzerland. This article is an open access article distributed under the terms and conditions of the Creative Commons Attribution (CC BY) license (http://creativecommons.org/licenses/by/4.0/).
Share and Cite
Han, X.; Wang, J.; Zhou, B.; Zhang, G.; Tan, S.-K. Numerical Simulation of Flow Control around a Circular Cylinder by Installing a Wedge-Shaped Device Upstream. J. Mar. Sci. Eng. 2019, 7, 422. https://doi.org/10.3390/jmse7120422
Han X, Wang J, Zhou B, Zhang G, Tan S-K. Numerical Simulation of Flow Control around a Circular Cylinder by Installing a Wedge-Shaped Device Upstream. Journal of Marine Science and Engineering. 2019; 7(12):422. https://doi.org/10.3390/jmse7120422
Chicago/Turabian StyleHan, Xiaoshuang, Jie Wang, Bo Zhou, Guiyong Zhang, and Soon-Keat Tan. 2019. "Numerical Simulation of Flow Control around a Circular Cylinder by Installing a Wedge-Shaped Device Upstream" Journal of Marine Science and Engineering 7, no. 12: 422. https://doi.org/10.3390/jmse7120422
APA StyleHan, X., Wang, J., Zhou, B., Zhang, G., & Tan, S.-K. (2019). Numerical Simulation of Flow Control around a Circular Cylinder by Installing a Wedge-Shaped Device Upstream. Journal of Marine Science and Engineering, 7(12), 422. https://doi.org/10.3390/jmse7120422
