Improvements for the Eastern North Pacific ADCIRC Tidal Database (ENPAC15)
Abstract
1. Introduction
2. Materials and Methods
2.1. ADCIRC Computational Model
2.1.1. General Model Details
2.1.2. Model Input Parameters
2.2. Improvements for the ADCIRC Tidal Database
- Assess the location of the open ocean boundary.
- Improve the coastal resolution using the National Oceanic and Atmospheric Administration (NOAA) Vertical Datum Transformation (VDatum) product grids.
- Update the deep-water bathymetry.
- Use the latest global tidal database products for forcing on the open ocean boundary.
- Compare three bottom friction schemes for improved accuracy.
- Improve the model physics by enabling the advective terms within ADCIRC.
2.2.1. Open Ocean Boundary Placement
2.2.2. Increased Coastal Resolution
2.2.3. Updated Global Bathymetry
2.2.4. Updated Open Ocean Forcing
2.2.5. Bottom Friction Assignment
2.2.6. Inclusion of ADCIRC Nonlinear Advective Terms
2.2.7. Summary of Tidal Database Improvements
2.3. Validation of the Improved ADCIRC Tidal Database
2.3.1. Validation Data
2.3.2. Validation Methods
3. Results
3.1. Results for the Various Improvements
3.1.1. Comparison of Boundary Placement
3.1.2. Comparison of Open Ocean Boundary Forcing
3.1.3. Comparison of Advection
3.1.4. Comparison of Increased Coastal Resolution
3.1.5. Comparison of Bottom Friction Schemes
3.2. Comparison of ENPAC15 and ENPAC03
- Globally, the greatest improvement in the RMS error is realized for the M2 constituent (9 cm reduction) and the average reduction is 2.8 cm. Reductions in absolute phase errors range from 4° for the K1 constituent to 13° for the S2 constituent, with an average reduction of 8° over all of the constituents. Meanwhile, reductions in mean relative amplitude errors range from 3% for the O1 constituent to 17% for the K2 constituent, with an average reduction of 7%. For all error measures, the largest reductions were realized for the semi-diurnal constituents.
- For the Alaskan region, the reductions in RMS errors range from 0.2 cm for the Q1 constituent to 3.7 cm for M2, with an average reduction of 1.6 cm. Reduction in absolute phase errors ranged from 1.2° for the M2 constituent to 6.7° for the K2 constituent, with an average of 3.5° for all constituents, while the relative amplitude error reductions ranged from about 2% for Q1 to 20% for K2, with an average of 6%. In general, the largest amplitude reductions were realized for the semi-diurnal constituents, but the phase errors improved most for the diurnal constituents.
- The greatest improvement was realized in the Pacific Northwest region. Mean RMS error reductions ranged from 0.6 cm for Q1 to 18.7 cm for M2, with an average improvement of 6 cm. Meanwhile, the range of mean absolute phase error improvements varies from 8° for K1 to 37° for K2, with an average improvement of 21°; and the relative amplitude improvements range from 7% for P1 to 29% for K2, with an average of 13% overall improvement. The semi-diurnal constituents realize the greatest overall improvement in amplitude and phase.
- In the California and Mexico region, moderate improvements are realized; the mean RMS errors improve by 0.2 cm for Q1 to 4.6 cm for M2, with an average of 1 cm. Similarly, improvements in the mean absolute phase errors range from 0° for K1 to 6.2° for K2, with an average improvement of 2.6°, while improvements in the relative amplitude errors range from 0.6% for O1 to about 8% for Q1, with an average improvement of 4% overall. Again, the semi-diurnal constituents realize the greatest overall improvement in amplitude and phase.
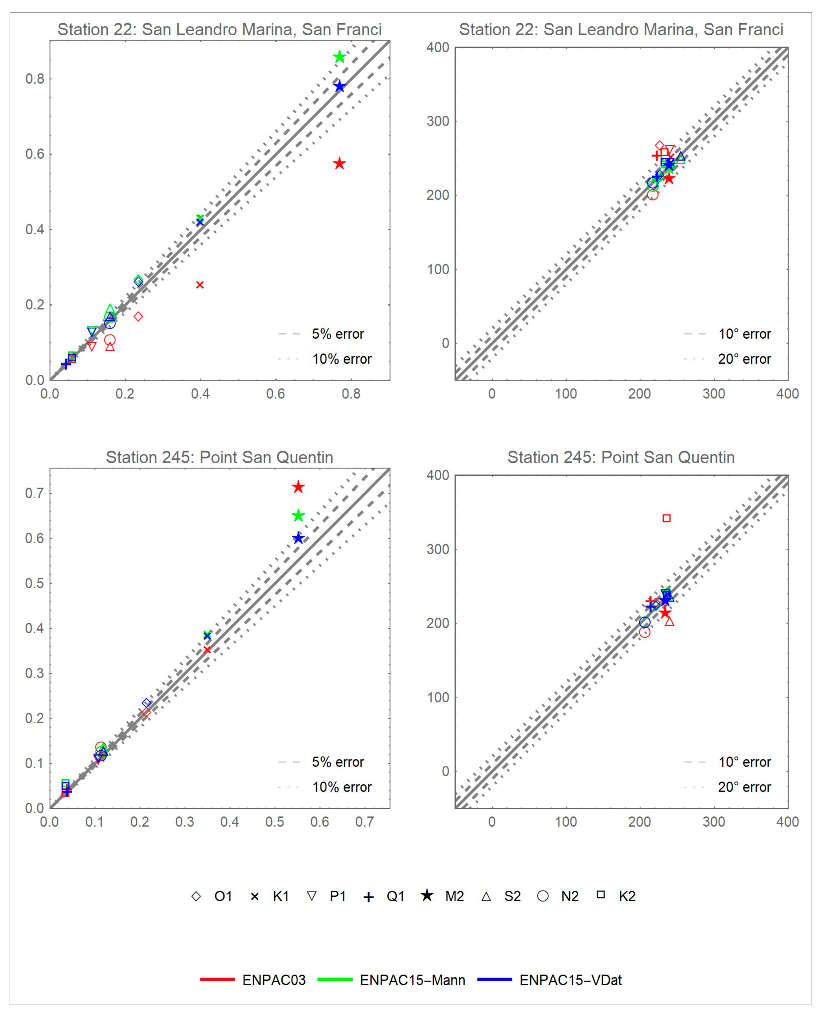
- For Southern California, the ENPAC15 database is slightly overestimating the amplitude (generally within 5%) and phases are within ±5° from the data. Meanwhile, in San Francisco Bay, the database is more significantly overestimating the amplitudes, with the exception of the lower bay are where the data is underestimated; and the phases are generally within ±5° to 10°. This indicates the need to verify the bathymetry in this area and try a variable friction representation. Finally, along the Northern California coast, the amplitudes are overestimated by a more significant amount (over 20% for some stations), but the phases are generally within ±5°.
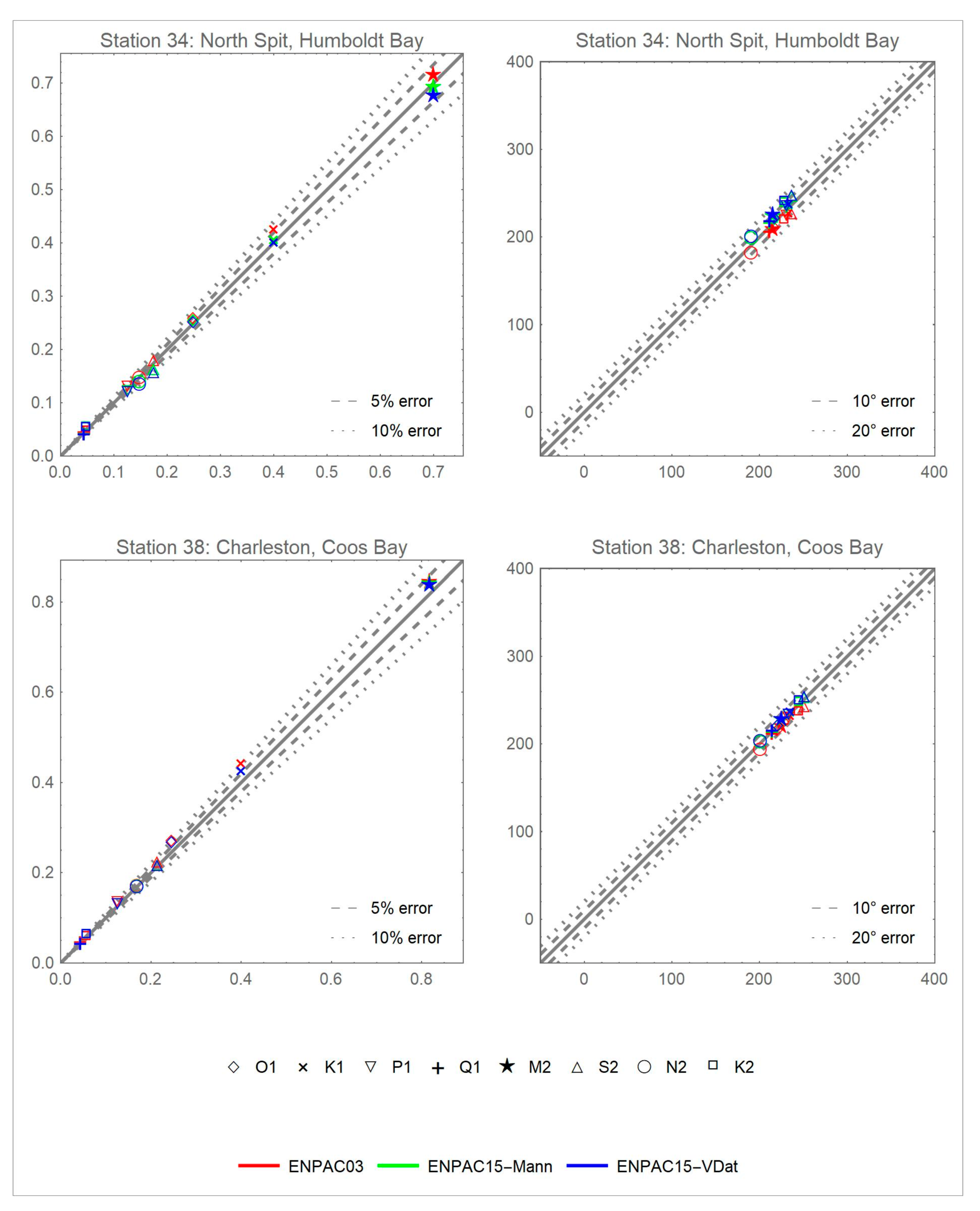
- Along the Oregon and Washington coast, generally, the amplitudes are underestimated and the phases are within ±5°. However, the further upriver stations in the Columbia River have higher errors, which may be indicative of the boundary being placed within the tidally influenced zone that is not being captured with the boundary condition at the end of the river, as well as the lack of freshwater inflow at the boundary.
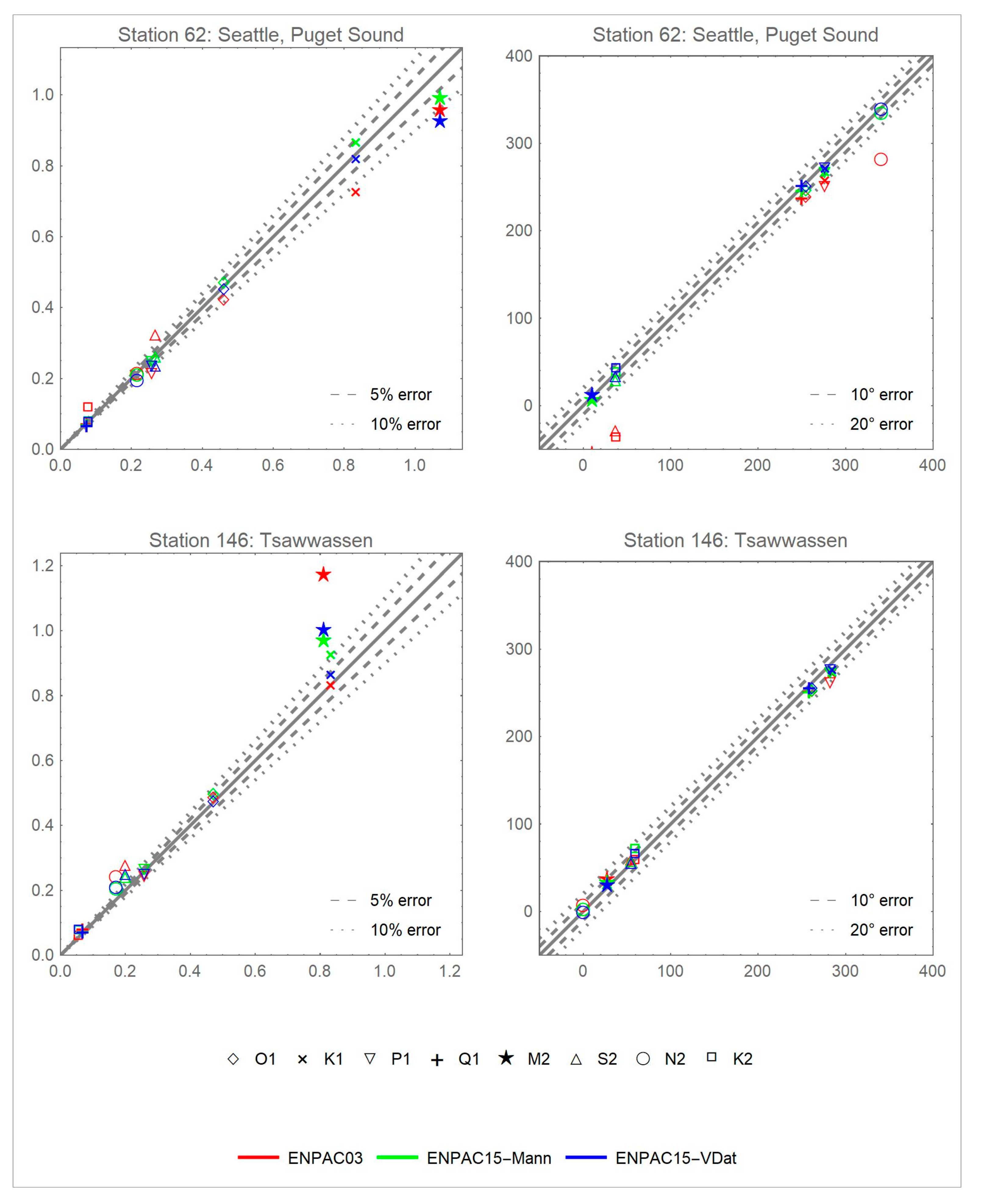
- In the Puget Sound region, it is interesting that the M2 amplitudes are significantly overestimated (greater than 20%) in the channels heading east above Vancouver Island but are underestimated by 5–10% in the lower Puget Sound region; meanwhile, the phases exhibit a lead throughout much of this region (ranging from 5–20°). While the K1 amplitudes exhibit the same over/under regional trend, they are generally within 5% of the data; however, the phases exhibit a more conservative lag (5–10°) instead of a lead as compared to M2 constituent. Similarly in the Canadian waters above Vancouver Island, the M2 constituent is significantly overestimated (greater than 20%) in the interior passages but is more conservatively overestimated (0–10%) as you enter Queen Charlotte Strait to the east, while the interior passages exhibit slight phase leads and the easternmost parts of the channels slight phase lags (±5°). Meanwhile, the K1 constituent exhibits moderate amplitude overestimation of 0–10% and phase lags of 0–10°. For the region above Vancouver Island, it is important to note that the freshwater riverine flow can be significant in many of these channels, but it is neglected in our model. This neglegance has an impact on the accuracy of the tidal signal as you progress further up the channels.
- Along the southeast coast of Alaska, the amplitudes are underestimated by 5–20% in the interior passages and slightly overestimated (less than 5%) on the exterior coast, while the phases exhibit lags from 5 to 20°. Meanwhile, along the southern Alaskan coast, there is generally very good agreement for both amplitudes and phases (within ±5% or 5°), with the exception of the upper reaches of Cook Inlet, where amplitudes are underestimated up to 20%. Recall that the entire Alaskan coast received only minor bathymetric and coastline alignment updates, so we would not expect significant improvements. As you progress further west along the coast (past about 153° W), the amplitudes are more severely overestimated starting at 5% and going above 20% as you approach the boundary of the model, but the phase remains in good agreement until you pass 162° W. Recall that the coastline past Unimak Island is defined by a mainland boundary condition and does not include the interaction with the Bering Sea through the Aleutian Islands; therefore, we would not expect good agreement past 165° W.
4. Discussion
- The placement of the open ocean boundary itself results in significant improvements for all regions (ENPAC03R vs. ESTOFS-trim1): global improvement of 33%. As was seen in previous databases for the ENPAC region, the location of the open ocean boundary can have significant impact on the accuracy of the interior model. However, as the ESTOFS-trim model incorporates newer bathymetry and has different resolution throughout, it is impossible to separate the effects of boundary placement, coarser mesh resolution at the boundary and updated deep water bathymetry when determining the source of these noted improvements.
- The improvements in coastal resolution (ESTOFS-trim1 vs. ENPAC15-CF) result in significant reductions in error for the Pacific Northwest region (38%), but no measurable change in the Alaska and California regions: global reduction of 22%. Recall that the coast of Alaska was not updated, as the VDatum project for that region is still ongoing. Furthermore, examination of individual station scatterplots for the California region indicate that some significant improvements are realized in the San Francisco Bay area but not in the open ocean coastal stations. The Pacific Northwest improvements are most likely attributable to the inclusion of the passages north of Vancouver Island.
- Meanwhile, the updated boundary forcing (ENPAC03 vs. ENPAC03R) slightly increases the mean RMS errors for some constituents (K1, M2) while decreasing others (S2 and K2). Comparison of the along boundary forcing values applied from the TPXO6 and TPXO8 products indicate only minor changes in amplitudes and no changes in applied phases near the westernmost ocean boundary (near Alaska) and no changes elsewhere. Therefore, the changes between the resulting harmonics are more than likely due to the addition of the long-term constituents in the forcing suite; recall that the ENPAC database was only forced with the diurnal and semi-diurnal constituents. However, there is very little change noted when results are compared for the TPXO8 (ESTOFS-trim1) and FES12 (ESTOFS-trim6) forcing.
- In general, the use of a variable bottom friction scheme (ENPAC15-Mann) results in lower error metrics than when a constant value is used (ENPAC15-CF), for all constituents and regions. However, the same effect can also be attained by using a slightly higher constant value (ENPAC15-Vdat). Therefore, more work needs to be done in determining appropriate variable values and comparing scatterplots by station instead of just regionally, in order to decide which scheme is best. Ideally, each sub region would be carefully calibrated taking into consideration actual bed formations and sea bed materials.
- The inclusion of the advective terms in the governing equations (ESTOFS-trim1 vs. ESTOFS-trim2), most notably, results in improvements in the Pacific Northwest region (14%) and particularly the M2 and K1 constituents. This is to be expected as the passages north of Vancouver Island are known to dissipate a great deal of internal energy. Further work must be done to stabilize these passages so that the advective terms can be utilized in the next tidal database release.
- The overall error reductions due to the combined effects of all five improvements (no advection) that were used in the latest database (ENPAC15-VDat vs. ENPAC03) are as follows: the global errors are reduced by 52%; while the regional errors are reduced by 33% in Alaska, 68% in the Pacific Northwest and 45% in California. Users of ENPAC15 can expect greater accuracy in any localized region where they apply boundary conditions, but particularly in the Pacific Northwest.
Author Contributions
Funding
Acknowledgments
Conflicts of Interest
Appendix A





Appendix B
| Station | Longitude | Latitude | Station Name | Region | Source |
|---|---|---|---|---|---|
| 1 * | −117.17360 | 32.71400 | San Diego, San Diego Bay | CA | 9410170 |
| 2 | −117.25800 | 32.86670 | La Jolla, Pacific Ocean | CA | 9410230 |
| 3 * | −117.88300 | 33.60330 | Newport Beach, Newport Bay Ent | CA | 9410580 |
| 4 * | −118.27200 | 33.72000 | Los Angeles, Outer Harbor | CA | 9410660 |
| 5 * | −118.22700 | 33.75170 | Long Beach, Terminal Island | CA | 9410680 |
| 6 * | −118.50000 | 34.00830 | Santa Monica, Pacific Ocean | CA | 9410840 |
| 7 | −119.68501 | 34.40830 | Santa Barbara, Pacific Ocean | CA | 9411340 |
| 8 * | −120.22831 | 34.46939 | Gaviota State Park, Pacific Ocean | CA | 9411399 |
| 9 | −120.67300 | 34.46830 | Oil Platform Harvest (Topex) | CA | 9411406 |
| 10 * | −120.76000 | 35.17670 | Port San Luis, San Luis Obispo | CA | 9412110 |
| 11 * | −121.88800 | 36.60500 | Monterey, Monterey Harbor | CA | 9413450 |
| 12 * | −122.46500 | 37.80669 | San Francisco, San Francisco Bay | CA | 9414290 |
| 13 * | −122.41300 | 37.81000 | North Point [Pier 41] S.F.Bay | CA | 9414305 |
| 14 * | −122.38698 | 37.79002 | Pier 22 1/2, San Francisco Bay | CA | 9414317 |
| 15 | −122.35700 | 37.73000 | Hunters Point, S.F. Bay | CA | 9414358 |
| 16 | −122.37700 | 37.66500 | Oyster Point Marina, S.F. Bay | CA | 9414392 |
| 17 | −122.25300 | 37.58000 | San Mateo Bridge, West Side | CA | 9414458 |
| 18 | −122.19300 | 37.53330 | Redwood Creek, C.M. No. 8,S.F.B | CA | 9414501 |
| 19 | −122.11500 | 37.50670 | Dumbarton Bridge, S. F. Bay | CA | 9414509 |
| 20 ** | −122.21200 | 37.50670 | Redwood City, Wharf 5, S.F. Bay | CA | 9414523 |
| 21 ** | −122.02300 | 37.46500 | Coyote Creek, Alviso Slough | CA | 9414575 |
| 22 * | −122.19200 | 37.69500 | San Leandro Marina, S.F.Bay | CA | 9414688 |
| 23 | −122.29833 | 37.77167 | Alameda, San Francisco Bay | CA | 9414750 |
| 24 | −122.40000 | 37.92830 | Richmond, Chevron Oil Pier | CA | 9414863 |
| 25 ** | −121.91800 | 38.04330 | Mallard Island, Suisun Bay | CA | 9415112 |
| 26 ** | −122.22300 | 38.05830 | Crockett, Carquinez Strait | CA | 9415143 |
| 27 ** | −122.03950 | 38.05600 | Port Chicago, Suisun Bay | CA | 9415144 |
| 28 ** | −122.25000 | 38.07000 | Mare Is.Naval Shipyard, Carquin | CA | 9415218 |
| 29 ** | −122.07300 | 38.12323 | Suisun Slough Entrance | CA | 9415265 |
| 30 * | −122.67854 | 37.90871 | Bolinas, Bolinas Lagoon | CA | 9414958 |
| 31 * | −122.97670 | 37.99610 | Point Reyes, Drakes Bay | CA | 9415020 |
| 32 | −123.44940 | 38.70329 | Green Cove, Pacific Ocean | CA | 9416409 |
| 33 * | −123.71061 | 38.91330 | Arena Cove, Pacific Ocean | CA | 9416841 |
| 34 * | −124.21700 | 40.76670 | North Spit, Humboldt Bay | CA | 9418767 |
| 35 | −124.18300 | 41.74500 | Crescent City, Pacific Ocean | CA | 9419750 |
| 36 * | −124.20092 | 41.94525 | Pyramid Point, Smith River | CA | 9419945 |
| 37 | −124.49828 | 42.73897 | Port Orford, Pacific Ocean | OR | 9431647 |
| 38 * | −124.32200 | 43.34500 | Charleston, Coos Bay | OR | 9432780 |
| 39 * | −124.04300 | 44.62500 | South Beach, Yaquina River | OR | 9435380 |
| 40 * | −124.06300 | 44.81000 | Depoe Bay | OR | 9435827 |
| 41 * | −123.91894 | 45.55453 | Garibaldi, Tillamook Bay | OR | 9437540 |
| 42 * | −123.94500 | 46.20170 | Hammond, Columbia River | OR | 9439011 |
| 43 * | −123.76831 | 46.20731 | Astoria, Tongue Point, Columbia | OR | 9439040 |
| 44 ** | −123.40500 | 46.16000 | Wauna, Columbia River | OR | 9439099 |
| 45 ** | −122.86800 | 45.69670 | Rocky Point, Multnomah Channel | OR | 9439189 |
| 46 ** | −122.79700 | 45.86500 | St. Helens, Columbia River | OR | 9439201 |
| 47 ** | −122.69704 | 45.63158 | Vancouver, Columbia River | WA | 9440083 |
| 48 ** | −122.95420 | 46.10559 | Longview, Columbia River | WA | 9440422 |
| 49 ** | −123.45602 | 46.26707 | Skamokawa, Columbia River | WA | 9440569 |
| 50 | −124.02300 | 46.50170 | Nahcotta, Willapa Bay | WA | 9440747 |
| 51 ** | −123.79800 | 46.66404 | South Bend | WA | 9440875 |
| 52 * | −123.96692 | 46.70746 | Toke Point, Willapa Bay | WA | 9440910 |
| 53 * | −124.10508 | 46.90431 | Westport, Grays Harbor | WA | 9441102 |
| 54 * | −123.85300 | 46.96830 | Aberdeen, Grays Harbor | WA | 9441187 |
| 55 * | −124.63700 | 47.91330 | La Push, Quillayute River | WA | 9442396 |
| 56 | −124.61170 | 48.37081 | Neah Bay, Strait of Juan De Fuca | WA | 9443090 |
| 57 * | −123.44000 | 48.12500 | Port Angeles, Juan De Fuca | WA | 9444090 |
| 58 | −122.75800 | 48.11170 | Port Townsend, Admiralty Inlet | WA | 9444900 |
| 59 | −122.61700 | 47.92670 | Foulweather Bluff, Twin Spits | WA | 9445016 |
| 60 * | −122.72700 | 47.74830 | Bangor | WA | 9445133 |
| 61 * | −122.41670 | 47.27120 | Tacoma, Commencement Bay | WA | 9446484 |
| 62 * | −122.33931 | 47.60264 | Seattle, Puget Sound | WA | 9447130 |
| 63 * | −122.22300 | 47.98000 | Everett | WA | 9447659 |
| 64 | −122.54800 | 48.40000 | Sneeoosh Point, Skagit Bay | WA | 9448576 |
| 65 ** | −122.55500 | 48.44500 | Turner Bay, Similk Bay | WA | 9448657 |
| 66 | −122.75800 | 48.86330 | Cherry Point, Strait of Georgia | WA | 9449424 |
| 67 * | −122.76900 | 48.99227 | Blaine, Drayton Harbor | WA | 9449679 |
| 68 * | −123.00980 | 48.54580 | Friday Harbor, San Juan Channel | WA | 9449880 |
| 69 * | −122.79700 | 48.53500 | Armitage Island | WA | 9449932 |
| 70 * | −122.90000 | 48.44670 | Richardson, Lopez Island | WA | 9449982 |
| 71 * | −131.21900 | 55.10280 | Custom House Cove, Mary Island | AK | 9450296 |
| 72 ** | −131.62619 | 55.33183 | Ketchikan, Tongass Narrows | AK | 9450460 |
| 73 ** | −132.19088 | 55.78828 | Magnetic Point, Union Bay | AK | 9450753 |
| 74 ** | −132.07650 | 56.11512 | Thoms Point, Zimovia Strait | AK | 9450970 |
| 75 ** | −132.71750 | 56.17830 | Point Harrington, Clarence Strait | AK | 9451005 |
| 76 ** | −132.98500 | 56.27670 | Bushy Island, Snow Passage | AK | 9451074 |
| 77 | −133.76610 | 56.52760 | Monte Carlo Island | AK | 9451247 |
| 78 | −134.62713 | 56.23934 | Port Alexander, Baranof Island | AK | 9451054 |
| 79 | −135.41829 | 56.75322 | Golf Island, Necker Islands | AK | 9451421 |
| 80 | −134.30400 | 56.90856 | Saginaw Bay, Kuiu Island | AK | 9451497 |
| 81 | −135.38450 | 57.03000 | Sitka, Baronof Island, Sitka Sound | AK | 9451600 |
| 82 | −134.77960 | 57.09860 | Baranof, Warm Spring Bay | AK | 9451625 |
| 83 * | −133.79700 | 57.29500 | The Brothers, Stephens Passage | AK | 9451785 |
| 84 ** | −134.41200 | 58.29818 | Juneau, Gastineau Channel | AK | 9452210 |
| 85 * | −134.80600 | 58.08410 | Hawk Inlet Entrance | AK | 9452294 |
| 86 | −134.91580 | 57.96780 | False Bay, Chatham Strait | AK | 9452328 |
| 87 ** | −135.32880 | 59.44960 | Skagway, Taiya Inlet | AK | 9452400 |
| 88 | −135.43190 | 58.15240 | Hoonah | AK | 9452438 |
| 89 ** | −136.10800 | 58.91330 | Muir Inlet, Glacier Bay | AK | 9452584 |
| 90 ** | −136.88110 | 58.95960 | Tarr Inlet | AK | 9452749 |
| 91 * | −139.74890 | 59.54850 | Yakutat, Yakutat Bay | AK | 9453220 |
| 92 ** | −145.75300 | 60.55830 | Cordova, Orca Inlet, Pr William Sd | AK | 9454050 |
| 93 ** | −146.36200 | 61.12360 | Valdez, Prince William Sound | AK | 9454240 |
| 94 | −147.40050 | 60.13250 | Perch Point, Montague Island | AK | 9454561 |
| 95 * | −147.39840 | 59.87220 | Wooded Island | AK | 9454562 |
| 96 | −147.41000 | 60.42500 | Seal Island | AK | 9454564 |
| 97 * | −147.43700 | 60.73670 | Storey Island North Side | AK | 9454571 |
| 98 | −147.59300 | 60.02800 | Montague Island, Ne Bazel Pt | AK | 9454616 |
| 99 * | −147.70950 | 60.24760 | Snug Harbor, Knight Island | AK | 9454662 |
| 100 * | −147.79270 | 60.47560 | Herring Point, Knight Island, | AK | 9454691 |
| 101 * | −147.93200 | 60.66910 | Perry Island (South Bay) | AK | 9454721 |
| 102 * | −148.24540 | 59.94370 | Point Erlington, Erlington Island | AK | 9454814 |
| 103 ** | −149.42667 | 60.12000 | Seward, Resurrection Bay | AK | 9455090 |
| 104 ** | −149.58630 | 59.77430 | Agnes Cove | AK | 9455120 |
| 105 ** | −149.71340 | 59.94060 | Aialik Bay, North End | AK | 9455145 |
| 106 ** | −149.71800 | 59.88500 | Aialik Sill, Aialik Bay | AK | 9455146 |
| 107 ** | −149.72500 | 59.70240 | Camp Cove, Harris Penninsula | AK | 9455151 |
| 108 * | −151.71990 | 59.46400 | Seldovia, Cook Inlet | AK | 9455500 |
| 109 | −151.56500 | 59.49150 | Kasitsna Bay, Kachemak Bay | AK | 9455517 |
| 110 ** | −151.03000 | 59.74400 | Bear Cove, Kachemak Bay | AK | 9455595 |
| 111 | −151.86703 | 59.77197 | Anchor Point | AK | 9455606 |
| 112 * | −151.38240 | 60.33670 | Cape Kasilof, Cook Inlet | AK | 9455711 |
| 113 * | −151.95200 | 60.51170 | Kaligan Island, Cook Inlet | AK | 9455732 |
| 114 | −151.28470 | 60.50330 | Chinulna Point, Cook Inlet | AK | 9455735 |
| 115 * | −151.39800 | 60.68330 | Nikiski, Cook Inlet | AK | 9455760 |
| 116 | −150.41300 | 61.03670 | Point Possession (T-39, Opr-469) | AK | 9455866 |
| 117 | −151.16300 | 61.04331 | North Foreland | AK | 9455869 |
| 118 | −149.89180 | 61.24010 | Anchorage, Knik Arm, Cook Inlet | AK | 9455920 |
| 119 * | −153.95800 | 58.39170 | Nukshak Island, Shelikof Strait | AK | 9456717 |
| 120 * | −152.51090 | 57.94530 | Ouzinkie | AK | 9457287 |
| 121 * | −152.43930 | 57.73170 | Kodiak Island, Womens Bay | AK | 9457292 |
| 122 | −153.95800 | 57.56340 | Larsen Bay, Kodiak Island | AK | 9457724 |
| 123 * | −153.98280 | 57.63500 | Uyak (Cannery Dock), Uyak Bay | AK | 9457728 |
| 124 * | −154.23530 | 56.87600 | Alitak, Lazy Bay | AK | 9457804 |
| 125 | −155.39300 | 57.70670 | Puale Bay | AK | 9458209 |
| 126 | −155.74000 | 55.80830 | Chirikof Island, Sw Anchorage | AK | 9458293 |
| 127 * | −156.74550 | 56.05170 | Chowiet Island, Semidi Island | AK | 9458519 |
| 128 | −157.32760 | 56.54120 | West End, Sutwik Island | AK | 9458665 |
| 129 | −158.61160 | 56.11330 | Hump Island, Kuiukta Bay | AK | 9458964 |
| 130 * | −158.82000 | 55.89030 | Mitrofania Island | AK | 9459016 |
| 131 * | −159.41870 | 55.06730 | Herendeen Island, Shumagin | AK | 9459163 |
| 132 | −160.50200 | 55.36600 | Sand Point, Popof Island | AK | 9459450 |
| 133 | −161.79200 | 55.07320 | Dolgoi Harbor, Dolgoi Island | AK | 9459758 |
| 134 | −162.32700 | 55.03890 | King Cove, Deer Passage, Pacific | AK | 9459881 |
| 135 ** | −164.74572 | 54.39364 | Scotch Cap, Unimak Island | AK | 9462808 |
| 136 ** | −164.95370 | 54.09160 | Tigalda Bay, Tigalda Island | AK | 9462782 |
| 137 ** | −165.51417 | 54.05222 | Rootok Island, Rootok Strait | AK | 9462723 |
| 138 ** | −166.21625 | 53.82892 | Biorka Village, Beaver Inlet | AK | 9462645 |
| 139 ** | −168.87130 | 52.90130 | Nikolski | AK | 9462450 |
| 140 | −124.48200 | 48.52500 | Port Renfrew | BC | IOS-FOC |
| 141 | −123.39900 | 48.41300 | Victoria Harbour | BC | IOS-FOC |
| 142 | −123.18300 | 48.57700 | Hanbury Point | BC | IOS-FOC |
| 143 | −123.37400 | 48.65600 | Sidney | BC | IOS-FOC |
| 144 | −123.41100 | 48.74400 | Fulford Harbour | BC | IOS-FOC |
| 145 | −122.98900 | 48.78200 | Patos Island | BC | IOS-FOC |
| 146 | −123.13700 | 48.99100 | Tsawwassen | BC | IOS-FOC |
| 147 | −123.26300 | 49.31700 | Point Atkinson | BC | IOS-FOC |
| 148 | −124.08900 | 49.31900 | Winchelsea Islands | BC | IOS-FOC |
| 149 | −124.55960 | 49.86450 | Powell River | BC | IOS-FOC |
| 150 | −124.91820 | 49.74880 | Little River | BC | IOS-FOC |
| 151 ** | −124.76550 | 49.97900 | Lund | BC | IOS-FOC |
| 152 ** | −124.93720 | 50.02990 | Twin Islands | BC | IOS-FOC |
| 153 ** | −124.73990 | 50.32120 | Channel Islands | BC | IOS-FOC |
| 154 ** | −124.96110 | 50.26480 | Redonda Bay | BC | IOS-FOC |
| 155 ** | −125.24650 | 50.04300 | Campbell River | BC | IOS-FOC |
| 156 ** | −125.33670 | 50.13330 | Maude Island East | BC | IOS-FOC |
| 157 ** | −125.36330 | 50.12830 | Nymphe Cove | BC | IOS-FOC |
| 158 ** | −125.34790 | 50.13540 | Seymour Narrows | BC | IOS-FOC |
| 159 ** | −125.36870 | 50.16460 | Brown Bay | BC | IOS-FOC |
| 160 ** | −125.13930 | 50.22560 | Welsford Island | BC | IOS-FOC |
| 161 ** | −125.22280 | 50.28750 | Bodega Anchorage | BC | IOS-FOC |
| 162 ** | −125.22410 | 50.31140 | Owen Bay | BC | IOS-FOC |
| 163 ** | −125.26810 | 50.31480 | Okis Islands | BC | IOS-FOC |
| 164 ** | −125.13620 | 50.39250 | Big Bay | BC | IOS-FOC |
| 165 ** | −125.12120 | 50.42020 | Turnback Point | BC | IOS-FOC |
| 166 ** | −124.86940 | 50.59790 | Orford Bay | BC | IOS-FOC |
| 167 ** | −124.83560 | 50.87270 | Waddington Harbour | BC | IOS-FOC |
| 168 ** | −125.44160 | 50.33280 | Chatham Point | BC | IOS-FOC |
| 169 ** | −125.36110 | 50.46090 | Shoal Bay | BC | IOS-FOC |
| 170 ** | −125.49190 | 50.44240 | Cordero Islands | BC | IOS-FOC |
| 171 ** | −125.96010 | 50.39870 | Kelsey Bay | BC | IOS-FOC |
| 172 ** | −125.98330 | 50.45000 | Yorke Island | BC | IOS-FOC |
| 173 ** | −125.76300 | 50.69800 | Siwash Bay | BC | IOS-FOC |
| 174 ** | −126.20700 | 50.64700 | Montagu Point | BC | IOS-FOC |
| 175 | −126.94100 | 50.58100 | Alert Bay | BC | IOS-FOC |
| 176 | −127.46300 | 50.78400 | Port Hardy | BC | IOS-FOC |
| 177 | −128.01400 | 50.40700 | Winter Harbour | BC | IOS-FOC |
| 178 | −125.95700 | 49.11900 | Tofino | BC | IOS-FOC |
| 179 | −150.20000 | 61.17500 | Fire Island Cook Inlet | AK | IHO |
| 180 | −146.76666 | 60.95000 | Rocky Point | AK | IHO |
| 181 | −145.93000 | 60.47600 | Cape Whitshed | AK | IHO |
| 182 | −145.39999 | 60.35300 | Pete Dahl Slough | AK | IHO |
| 183 | −142.56667 | 59.71667 | Iapso #30_2.1.5 | AK | IHO |
| 184 | −151.41667 | 59.60000 | Homer | AK | IHO |
| 185 | −146.31667 | 59.46667 | Middleton Island | AK | IHO |
| 186 | −141.98334 | 59.33333 | Iapso #30_2.1.6 | AK | IHO |
| 187 | −141.98334 | 59.25000 | Iapso #30_2.1.4 | AK | IHO |
| 188 | −153.38333 | 59.00000 | Shaw Island Cook Inlet | AK | IHO |
| 189 | −145.71666 | 58.76667 | Iapso #30_2.1.3 | D | IHO |
| 190 | −134.41667 | 58.29900 | Juneau | AK | IHO |
| 191 | −136.41450 | 58.20000 | Granite Cove | AK | IHO |
| 192 | −132.93330 | 56.83470 | Petersburg | AK | IHO |
| 193 | −144.36667 | 56.13334 | Surveyor Seamount | D | IHO |
| 194 | −133.16700 | 55.47020 | Craig | AK | IHO |
| 195 | −162.63333 | 54.37030 | Peterson Bay Sanak Island | AK | IHO |
| 196 | −133.05000 | 54.25450 | Langara Island | BC | IHO |
| 197 | −132.31667 | 54.11666 | Wiah Point | BC | IHO |
| 198 | −132.14999 | 54.04210 | Masset Harbour | BC | IHO |
| 199 | −130.57550 | 53.57020 | Griffith Harbour | BC | IHO |
| 200 | −135.63333 | 53.31667 | Bowie Seamount | D | IHO |
| 201 | −129.48334 | 52.65000 | Mc Kenny Island | BC | IHO |
| 202 | −131.35330 | 52.46650 | Section Cove | BC | IHO |
| 203 | −131.16667 | 52.35000 | Copper Island | BC | IHO |
| 204 | −131.01666 | 51.93333 | Cape St James | BC | IHO |
| 205 | −128.43333 | 51.90000 | Gosling Island | BC | IHO |
| 206 | −127.89020 | 51.86666 | Namu | BC | IHO |
| 207 | −127.82160 | 51.58850 | Addenbroke Island | BC | IHO |
| 208 | −127.83334 | 51.25000 | Egg Island | BC | IHO |
| 209 | −127.23334 | 50.88334 | Raynor Group | BC | IHO |
| 210 | −128.41667 | 50.78333 | Cape Scott | BC | IHO |
| 211 | −127.48334 | 50.72710 | Port Hardy | BC | IHO |
| 212 | −125.73172 | 50.67270 | Glendale Cove | BC | IHO |
| 213 | −125.05000 | 50.10000 | Whaletown Bay | BC | IHO |
| 214 | −124.93266 | 49.66520 | Comox | BC | IHO |
| 215 | −126.61667 | 49.60100 | Nootka | BC | IHO |
| 216 | −132.78334 | 49.58333 | Union Seamount | D | IHO |
| 217 | −123.11353 | 49.28978 | Vancouver | BC | IHO |
| 218 | −123.58334 | 49.01667 | Porlier Pass | BC | IHO |
| 219 | −127.28333 | 48.96667 | Iapso #30_2.1.2 | D | IHO |
| 220 | −123.28030 | 48.87370 | Georgina Point | BC | IHO |
| 221 | −123.63333 | 48.86907 | Crofton | BC | IHO |
| 222 | −123.31541 | 48.85398 | Village Bay | BC | IHO |
| 223 | −125.17420 | 48.87250 | Bamfield Inlet | BC | IHO |
| 224 | −123.60001 | 48.81667 | Maple Bay | BC | IHO |
| 225 | −122.71667 | 48.81667 | Ferndale | WA | IHO |
| 226 | −123.20420 | 48.80000 | Samuel Islands (S. Shore) | BC | IHO |
| 227 | −122.88333 | 48.75000 | Echo Bay | WA | IHO |
| 228 | −122.50250 | 48.74680 | Bellingham | WA | IHO |
| 229 | −123.30000 | 48.43333 | Oak Bay | BC | IHO |
| 230 | −122.85001 | 48.42765 | Aleck Bay | WA | IHO |
| 231 | −122.66666 | 48.41667 | Reservation Bay | WA | IHO |
| 232 | −122.61540 | 48.41420 | Yokeko Point | WA | IHO |
| 233 | −123.96790 | 48.39380 | Point No Point | BC | IHO |
| 234 | −123.54885 | 48.33427 | Pedder Bay | BC | IHO |
| 235 | −122.62604 | 47.56237 | Bremerton | WA | IHO |
| 236 | −122.89850 | 47.05180 | Olympia | WA | IHO |
| 237 | −130.81667 | 46.76667 | Iapso #30-2.1.1 | D | IHO |
| 238 | −123.85001 | 46.16667 | Astoria Youngs Bay | OR | IHO |
| 239 | −124.06667 | 44.43333 | Waldport_Alsea Bay | OR | IHO |
| 240 | −124.10001 | 43.96667 | Florence | OR | IHO |
| 241 | −124.11667 | 43.73333 | Gardiner_Umpqua River | OR | IHO |
| 242 | −124.21667 | 43.38334 | Marshfield_Coos Bay | OR | IHO |
| 243 | −124.89999 | 38.15000 | Iapso #30-2.1.14 | D | IHO |
| 244 | −122.13333 | 38.03333 | Benicia | CA | IHO |
| 245 | −122.48334 | 37.95000 | Point San Quentin | CA | IHO |
| 246 | −122.35001 | 37.91490 | Richmond | CA | IHO |
| 247 | −122.47970 | 37.85000 | Sausalito | CA | IHO |
| 248 | −122.36667 | 37.81667 | Yerba Buena Island | CA | IHO |
| 249 | −119.20200 | 34.14865 | Port Hueneme | CA | IHO |
| 250 | −118.31667 | 33.35000 | Avalon_Catalina Island | CA | IHO |
| 251 | −118.54814 | 33.00115 | Wilson Cove San Clemente Island | CA | IHO |
| 252 | −120.85001 | 32.23333 | Iapso #30-2.1.12 | D | IHO |
| 253 | −116.63351 | 31.84948 | Ensenada | MX | IHO |
| 254 | −119.80000 | 31.03333 | Iapso #30-2.1.11 | D | IHO |
| 255 | −116.28333 | 28.86667 | Isla Guadalupe | D | IHO |
| 256 | −124.43333 | 27.75000 | Iapso #30-2.1.13 | D | IHO |
| 257 | −112.15340 | 24.63060 | Magdalena Bay | MX | IHO |
| 258 | −109.97200 | 22.84400 | Cabo San Lucas | MX | IHO |
Appendix C









Appendix D











Appendix E
Appendix E.1. Applicability Guidelines for the ENPAC15 Tidal Database
Appendix E.2. Usage Guidelines for the ENPAC15 Tidal Database
| Constituent | Frequency (rad/s) | Period (h) |
|---|---|---|
| M(2) | 0.0001405189 | 12.42 |
| N(2) | 0.0001378797 | 12.66 |
| S(2) | 0.0001454441 | 12.00 |
| O(1) | 0.0000675977 | 25.82 |
| K(1) | 0.0000729212 | 23.93 |
| K(2) | 0.0001458423 | 11.97 |
| L(2) | 0.0001431581 | 12.19 |
| 2N(2) | 0.0001352405 | 12.91 |
| R(2) | 0.0001456432 | 11.98 |
| T(2) | 0.0001452450 | 12.02 |
| Lambda(2) | 0.0001428049 | 12.22 |
| Mu(2) | 0.0001355937 | 12.87 |
| Nu(2) | 0.0001382329 | 12.63 |
| J(1) | 0.0000755604 | 23.10 |
| M(1) | 0.0000702820 | 24.83 |
| OO(1) | 0.0000782446 | 22.31 |
| P(1) | 0.0000725229 | 24.07 |
| Q(1) | 0.0000649585 | 26.87 |
| 2Q(1) | 0.0000623193 | 28.01 |
| Rho(1) | 0.0000653117 | 26.72 |
| M(4) | 0.0002810378 | 6.21 |
| M(6) | 0.0004215567 | 4.14 |
| M(8) | 0.0005620756 | 3.11 |
| S(4) | 0.0002908882 | 6.00 |
| S(6) | 0.0004363323 | 4.00 |
| M(3) | 0.0002107784 | 8.28 |
| S(1) | 0.0000727221 | 24.00 |
| MK(3) | 0.0002134401 | 8.18 |
| 2MK(3) | 0.0002081166 | 8.39 |
| MN(4) | 0.0002783986 | 6.27 |
| MS(4) | 0.0002859630 | 6.10 |
| 2SM(2) | 0.0001503693 | 11.61 |
| Mf | 0.0000053234 | 327.86 |
| Msf | 0.0000049252 | 354.37 |
| Mm | 0.0000026392 | 661.31 |
| Sa | 0.0000001991 | 8765.82 |
| Ssa | 0.0000003982 | 4382.91 |
References
- Dietsche, D.; Hagen, S.C.; Bacopoulos, P. Storm surge simulations for hurricane hugo (1989): On the significance of inundation areas. J. Waterw. Port Coast. Ocean Eng. 2007, 133, 183–191. [Google Scholar] [CrossRef]
- Irish, J.L.; Resio, D.T.; Ratcliff, J.J. The influence of storm size on hurricane surge. J. Phys. Oceanogr. 2008, 38, 2003–2013. [Google Scholar] [CrossRef]
- Kerr, P.C.; Donahue, A.S.; Westerink, J.J.; Luettich, R.A.; Zheng, L.Y.; Weisberg, R.H.; Huang, Y.; Wang, H.V.; Teng, Y.; Forrest, D.R.; et al. U.S. IOOS coastal and ocean modeling testbed: Inter-model evaluation of tides, waves, and hurricane surge in the Gulf of Mexico. J. Geophys. Res. Ocean 2013, 118, 5129–5172. [Google Scholar] [CrossRef]
- Pandoe, W.W.; Edge, B.L. Case study for a cohesive sediment transport model for Matagorda Bay, Texas, with Coupled ADCIRC 2D-Transport and SWAN wave models. J. Hydraul. Eng. 2008, 134, 303–314. [Google Scholar] [CrossRef]
- Grzegorzewski, A.S.; Johnson, B.D.; Wamsley, T.V.; Rosati, J.D. Sediment transport and morphology modeling of Ship Island, Mississippi, USA, during storm events. In Proceedings of the Coastal Dynamics 2013, Arcachon Convention Centre, Arcachon, France, 24–28 June 2013; pp. 1505–1516. [Google Scholar]
- Miles, T.; Seroka, G.; Kohut, J.; Schofield, O.; Glenn, S. Glider observations and modeling of sediment transport in Hurricane Sandy. J. Geophys. Res. Ocean 2015, 120, 1771–1791. [Google Scholar] [CrossRef]
- Feyen, J.; Hess, K.; Spargo, E.; Wong, A.; White, S.; Sellars, J.; Gill, S. Development of a continuous bathymetric/topographic unstructured coastal flooding model to study sea level rise in North Carolina. In Proceedings of the Ninth International Conference on Estuarine and Coastal Modeling, Charleston, SC, USA, 3 October 2005; pp. 338–356. [Google Scholar]
- Atkinson, J.; McKee Smith, J.; Bender, C. Sea-level rise effects on storm surge and nearshore waves on the Texas coast: Influence of landscape and storm characteristics. J. Waterw. Port Coast. Ocean Eng. 2013, 139, 98–117. [Google Scholar] [CrossRef]
- Bilskie, M.V.; Hagen, S.C.; Medeiros, S.C.; Passeri, D.L. Dynamics of sea level rise and coastal flooding on a changing landscape. Geophys. Res. Lett. 2014, 41, 927–934. [Google Scholar] [CrossRef]
- Cheng, T.K.; Hill, D.F.; Beamer, J.; García-Medina, G. Climate change impacts on wave and surge processes in a Pacific Northwest (USA) estuary. J. Geophys. Res. Ocean 2015, 120, 182–200. [Google Scholar] [CrossRef]
- Mattocks, C.; Forbes, C. A real-time, event-triggered storm surge forecasting system for the state of North Carolina. Ocean Model. 2008, 25, 95–119. [Google Scholar] [CrossRef]
- Fleming, J.G.; Fulcher, C.W.; Luettich, R.A.; Estrade, B.D.; Allen, G.D.; Winer, H.S. A real time storm surge forecasting system using ADCIRC. In Proceedings of the 10th International Conference on Estuarine and Coastal Modeling, Newport, RI, USA, 5–7 November 2008; pp. 893–912. [Google Scholar]
- Dresback, K.M.; Fleming, J.G.; Blanton, B.O.; Kaiser, C.; Gourley, J.J.; Tromble, E.M.; Luettich, R.A.; Kolar, R.L.; Hong, Y.; Van Cooten, S.; et al. Skill assessment of a real-time forecast system utilizing a coupled hydrologic and coastal hydrodynamic model during Hurricane Irene (2011). Cont. Shelf Res. 2013, 71, 78–94. [Google Scholar] [CrossRef]
- Dietrich, J.; Dawson, C.; Proft, J.; Howard, M.; Wells, G.; Fleming, J.; Luettich, R.; Westerink, J.; Cobell, Z.; Vitse, M.; et al. Real-time forecasting and visualization of hurricane waves and storm surge using SWAN + ADCIRC and FigureGen. In Computational Challenges in the Geosciences; Dawson, C., Gerritsen, M., Eds.; Springer: New York, NY, USA, 2013; Volume 156, pp. 49–70. [Google Scholar]
- Dietrich, J.C.; Trahan, C.J.; Howard, M.T.; Fleming, J.G.; Weaver, R.J.; Tanaka, S.; Yu, L.; Luettich, R.A.; Dawson, C.N.; Westerink, J.J.; et al. Surface trajectories of oil transport along the Northern Coastline of the Gulf of Mexico. Cont. Shelf Res. 2012, 41, 17–47. [Google Scholar] [CrossRef]
- Carr, S.; Hench, J.; Luettich, R.; Forward, R.; Tankersley, R. Spatial patterns in the ovigerous Callinectes sapidus spawning migration: Results from a coupled behavioral-physical model. Mar. Ecol. 2005, 294, 213–226. [Google Scholar] [CrossRef]
- Oliveira, A.; Fortunato, A.B.; Pinto, L. Modelling the hydrodynamics and the fate of passive and active organisms in the Guadiana estuary. Estuar. Coast. Shelf Sci. 2006, 70, 76–84. [Google Scholar] [CrossRef]
- Reyns, N.B.; Eggleston, D.B.; Luettich, R.J.A. Secondary dispersal of early juvenile blue crabs within a wind-driven estuary. Limnol. Oceanogr. 2006, 51, 1982–1995. [Google Scholar] [CrossRef]
- Alizad, K.; Hagen, S.C.; Morris, J.T.; Bacopoulos, P.; Bilskie, M.V.; Weishampel, J.F.; Medeiros, S.C. A coupled, two-dimensional hydrodynamic-marsh model with biological feedback. Ecol. Model. 2016, 327, 29–43. [Google Scholar] [CrossRef]
- Tromble, E.; Kolar, R.; Dresback, K.; Luettich, R. River flux boundary considerations in a coupled hydrologic-hydrodynamic modeling system. In Proceedings of the 12th International Conference on Estuarine and Coastal Modeling 2011, St. Augustine, FL, USA, 7–9 November 2011; pp. 510–527. [Google Scholar]
- Lyard, F.; Lefevre, F.; Letellier, T.; Francis, O. Modelling the global ocean tides: modern insights from FES2004. Ocean Dyn. 2006, 56, 394–415. [Google Scholar] [CrossRef]
- OTIS Regional Tidal Solutions. Available online: http://volkov.oce.orst.edu/tides/region.html (accessed on 19 September 2018).
- Parrish, D.M.; Hagen, S.C. A tidal constituent database for the east coast of Florida. In Proceedings of the Fourth International Symposium on Ocean Wave Measurement and Analysis, San Francisco, CA, USA, 2–6 September 2002; pp. 1605–1614. [Google Scholar]
- Westerink, J.J.; Luettich, R.A.; Muccino, J.C. Modelling tides in the western North Atlantic using unstructured graded grids. Tellus 1994, 46, 178–199. [Google Scholar] [CrossRef]
- Mukai, A.Y.; Westerink, J.J.; Luettich, R.A.; Mark, D. Eastcoast 2001: A Tidal Constituent Database for the Western North Atlantic, Gulf of Mexico and Caribbean Sea; Technical Report for ERDC/CHL TR-02-24; U.S. Army Engineer Research and Development Center, Coastal and Hydraulics Laboratory: Vicksburg, MS, USA, 2002; p. 201. Available online: http://www.unc.edu/ims/adcirc/publications/2002/2002_Mukai01.pdf (accessed on 27 June 2016).
- Szpilka, C.; Dresback, K.; Kolar, R.; Feyen, J.; Wang, J. Improvements for the western north Atlantic, Caribbean and Gulf of Mexico ADCIRC tidal database (EC2015). J. Mar. Sci. Eng. 2016, 4, 72. [Google Scholar] [CrossRef]
- Spargo, E.; Westerink, J.; Luettich, R., Jr.; Mark, D. ENPAC 2003: A Tidal Constituent Database for Eastern North Pacific Ocean; Technical Report ERDC/CHL TR-04-12; U.S. Army Engineer Research and Development Center, Coastal and Hydraulics Laboratory: Vicksburg, MS, USA, 2004; Available online: http://www.unc.edu/ims/ccats/tides/ENPAC_2003_report.pdf (accessed on 18 September 2018).
- Guillou, N.; Neill, S.P.; Robins, P.E. Characterising the tidal stream power resource around France using a high-resolution harmonic database. Renew. Energy 2018, 123, 706–718. [Google Scholar] [CrossRef]
- Kelleher, G.; Bleakley, C.; Wells, S. A Global Representative System of Marine Protected Areas IV; The World Bank: Washington, DC, USA, 1995. [Google Scholar]
- ETOPO-5 Bathymetry/Topography Data; Data Announcement 88-MGG-02, National Geophysical Data Center; National Oceanic and Atmospheric Administration, U.S. Department of Commerce: Boulder, CO, USA, 1988.
- GEODAS CD-ROM Hydrographic Survey Data; Data Announcement 98-MGG-03, National Geophysical Data Center; National Oceanic and Atmospheric Administration, U.S. Department of Commerce: Boulder, CO, USA, 1998.
- Schureman, P. Manual of Harmonic Analysis and Prediction of Tides; Special Publication 98, Coast and Geodetic Survey; U.S. Dept. of Commerce: Washington, DC, USA, 1958; p. 317.
- Kinnmark, I. The Shallow Water Wave Equations: Formulation, Analysis and Application; Lecture Notes in Engineering; Springer: Berlin/Heidelberg, Germany, 1986; Volume 15, ISBN 9783540160311. [Google Scholar]
- Luettich, R.A.; Westerink, J.J.; Scheffner, N.W. ADCIRC: An Advanced Three-Dimensional Circulation Model for Shelves, Coasts, and Estuaries; Report 1: Theory and Methodology of ADCIRC-2DDI and ADCIRC-3DL; Technical Report CERC-TR-DRP-92-6; U.S. Army Corps of Engineers, U.S. Department of the Army: Washington, DC, USA, 1992.
- Kolar, R.L.; Gray, W.G.; Westerink, J.J.; Luettich, R.A. Shallow water modeling in spherical coordinates: equation formulation, numerical implementation, and application. J. Hydraul. Res. 1994, 32, 3–24. [Google Scholar] [CrossRef]
- Bunya, S.; Dietrich, J.C.; Westerink, J.J.; Ebersole, B.A.; Smith, J.M.; Atkinson, J.H.; Jensen, R.; Resio, D.T.; Luettich, R.A.; Dawson, C.; et al. A high-resolution coupled riverine flow, tide, wind, wind wave, and storm surge model for Southern Louisiana and Mississippi. Part I: Model Development and Validation. Mon. Weather Rev. 2010, 138, 345–377. [Google Scholar] [CrossRef]
- OSU Tidal Data Inversion. Available online: http://volkov.oce.orst.edu/tides/tpxo8_atlas.html (accessed on 21 July 2018).
- Xu, J.; Feyen, J. The Extratropical Surge and Tide Operational Forecast System for the Eastern North Pacific Ocean (ESTOFS-Pacific): Development and Skill Assessment; NOAA Technical Memorandum NOS CS 36; U.S. Department of Commerce: Silver Spring, MD, USA, 2016. Available online: https://repository. library.noaa.gov/view/noaa/8441 (accessed on 20 September 2018).
- NOAA/NOS’s VDatum 3.6: Vertical Datums Transformation. Available online: http://vdatum.noaa.gov/ welcome.html (accessed on 21 July 2016).
- Myers, E.; Woolard, J.; Yang, Z.; Aikman, F. Development of a vertical datum transformation tool and a bathymetric/topographic digital elevation model for southern California. In Proceedings of the Coastal Society 2008, Redondo Beach, CA, USA, 29 June–2 July 2008. [Google Scholar]
- Xu, J.; Myers, E.; White, S. VDatum for the Coastal Waters of North/Central California, Oregon and Western Washington: Tidal Datums and Sea Surface Topography; NOAA Technical Memorandum NOS CS 22; U.S. Department of Commerce: Silver Spring, MD, USA, 2010. Available online: https://vdatum. noaa.gov/download/publications/CS_22_FY09_33_Jiangtao_PNW_VDatum_techMemor.pdf (accessed on 19 September 2018).
- VDatum Manual for Development and Support of NOAA’s Vertical Datum Transformation Tool, VDatum. Version 1.01. 2012. Available online: http://www.nauticalcharts.noaa.gov/csdl/publications/ Manual_2012. 06.26.doc (accessed on 27 June 2016).
- Foreman, M.G.G.; Sutherland, G.; Cummins, P.F. M2 tidal dissipation around Vancouver Island: an inverse approach. Cont. Shelf Res. 2004, 24, 2167–2185. [Google Scholar] [CrossRef]
- Foreman, M.G.G.; Stucchi, D.J.; Garver, K.A.; Tuele, D.; Isaac, J.; Grime, T.; Guo, M.; Morrison, J. A circulation model for the discovery islands, British Columbia. Atmosphere-Ocean 2012, 50, 301–316. [Google Scholar] [CrossRef]
- Bacopoulos, P.; (University of North Florida, Jacksonville, FL, USA). Personal communication, 2015.
- Parrish, D.M.; Hagen, S.C. 2D unstructured mesh generation for oceanic and coastal tidal models from a localized truncation error analysis with complex derivatives. Int. J. Comput. Fluid Dyn. 2007, 21, 277–296. [Google Scholar] [CrossRef]
- NOS Hydrographic Survey Data and Products. Available online: https://www.ngdc.noaa.gov/mgg/ bathymetry/hydro.html (accessed on 20 September 2018).
- Smith, W.H.F.; Sandwell, D.T. Global sea floor topography from satellite altimetry and ship depth soundings. Science 1997, 277, 1956–1962. [Google Scholar] [CrossRef]
- Carrère, L.; Lyard, F.; Cancet, M.; Roblou, L.; Guillot, A. FES2012: A new global tidal model taking advantage of nearly 20 years of altimetry measurements. In Proceedings of the Meeting “20 Years of Progress in Radar Altimetry Symposium”, Venice, Italy, 24–29 September 2012. [Google Scholar]
- Global Tide—FES: Aviso+. Available online: http://www.aviso.altimetry.fr/en/data/products/ auxiliary-products/global-tide-fes.html (accessed on 27 June 2016).
- Egbert, G.D.; Bennett, A.F.; Foreman, M.G.G. TOPEX/POSEIDON tides estimated using a global inverse model. J. Geophys. Res. 1994, 99, 24821. [Google Scholar] [CrossRef]
- Egbert, G.D.; Erofeeva, S.Y. Efficient inverse modeling of Barotropic Ocean tides. J. Atmos. Ocean. Technol. 2002, 19, 183–204. [Google Scholar] [CrossRef]
- USGS Coastal and Marine Geology—usSEABED. Available online: http://walrus.wr.usgs.gov/usseabed/ (accessed on 29 June 2016).
- Kolar, R.L.; Westerink, J.J.; Cantekin, M.E.; Blain, C.A. Aspects of nonlinear simulations using shallow-water models based on the wave continuity equation. Comput. Fluids 1994, 23, 523–538. [Google Scholar] [CrossRef]
- NOAA Tides and Currents. Available online: http://tidesandcurrents.noaa.gov/ (accessed on 21 July 2018).
- Foreman, M.G.G.; (Institute of Ocean Sciences—Fisheries and Oceans Canada, Sidney, BC, Canada). Personal communication, 2015.
- IHO Tidal Constituent Bank: Station Catalogue; Department of Fisheries and Oceans: Ottawa, ON, Canada, 1979.
- Foreman, M.G.G.; Walters, R.A.; Henry, R.F.; Keller, C.P.; Dolling, A.G. A tidal model for eastern Juan de Fuca Strait and the southern Strait of Georgia. J. Geophys. Res. 1995, 100, 721. [Google Scholar] [CrossRef]
- ADCIRC Tidal Database—ADCIRC. Available online: http://adcirc.org/products/adcirc-tidal-databases/ (accessed on 23 September 2018).
- ADCIRC Utility Programs—ADCIRC. Available online: http://adcirc.org/home/related-software/adcirc- utility-programs/ (accessed on 23 September 2018).










| Database Name | Num. of Mesh Nodes | Num. of Mesh Elements | Avg. Coastal Resolution (km) | Min. Coastal Resolution (m) | Avg./Max Deep Ocean Resolution (km) |
|---|---|---|---|---|---|
| ENPAC1994 | 27,494 | 52,444 | 15–20 | 7900 | 58/90 |
| ENPAC02 | 290,715 | 567,145 | 8 (15–20) 1 | 3200 | 60/96 |
| ENPAC03 | 272,913 | 531,680 | 1–2 (5) 2 | 755 | 35/53 |
| ENPAC15 | 553,802 | 1,038,443 | 0.2–0.4 | 28 | 65/85 |
| Harmonic | O1 | K1 | P1 | Q1 | Mf | Mm |
| Amplitude (cm) | 0.77 | 1.04 | 1.58 | 1.30 | 0.09 | 0.09 |
| Phase (degrees) | 17.06 | 1.55 | 6.70 | 9.17 | 6.88 | 18.32 |
| Harmonic | M2 | N2 | S2 | K2 | - | - |
| Amplitude (cm) | 1.56 | 0.84 | 0.41 | 0.69 | - | - |
| Phase (degrees) | 2.05 | 9.21 | 2.82 | 22.39 | - | - |
| Geographic Region | Bed Description | Minimum n Value | Maximum n Value |
|---|---|---|---|
| Baja California | Sandy/gravel | 0.022 | 0.025 |
| U.S. Mainland | assigned from usSEABED data | ||
| S. Vancouver Island | Sandy/gravel | 0.022 | 0.025 |
| N. Vancouver Island | Gravel/rough rock | 0.025 | 0.050 |
| Alaska/ BC | Gravel/cobble | 0.025 | 0.030 |
| Run Designation | Description | Grid | Advection | Friction | Boundary Forcing 1 |
|---|---|---|---|---|---|
| ENPAC03 | ENPAC03 extract | ENPAC03 | Off | 0.0025 | TPXO6-8 |
| ENPAC03R | ENPAC03 rerun | ENPAC03 | Off | 0.0025 | TPXO8-10 |
| ESTOFS-trim1 | TPXO 8.0 forcing | ESTOFS-trim | Off | 0.0025 | TPXO8-10 |
| ESTOFS-trim2 | Advection on | ESTOFS-trim | On | 0.0025 | TPXO8-10 |
| ESTOFS-trim6 | FES 2012 forcing | ESTOFS-trim | Off | 0.0025 | FES12-10 |
| ENPAC15-CF | Constant friction | ENPAC15 | Off | 0.0025 | TPXO8-10 |
| ENPAC15-Vdat | ENPAC15 release | ENPAC15 | Off | VDatum | TPXO8-10 |
| ENPAC15-Mann | Manning’s n friction | ENPAC15 | Off | Manning | TPXO8-10 |
| Model | Global | Alaska | Pacific Northwest | California and Mexico | Deep |
|---|---|---|---|---|---|
| ENPAC03 | 179 (96) 1/165 2 | 61 (35) | 70 (34) | 37 (16) | 11 |
| ENPAC15 | 258 | 84 | 116 | 47 | 11 |
| ESTOFS-trim | 180 (162) | 83 (81) | 54 (41) | 32 (29) | 11 |
| Tidal | Harmonic Amplitudes | ||||||||
| Database | O1 | K1 | P1 | Q1 | M2 | S2 | N2 | K2 | |
| ENPAC03 | Slope | 0.982 | 0.943 | 0.937 | 0.967 | 0.953 | 0.883 | 0.931 | 1.008 |
| R2 | 0.968 | 0.960 | 0.976 | 0.974 | 0.962 | 0.955 | 0.958 | 0.856 | |
| ENPAC15 | Slope | 1.033 | 1.027 | 0.981 | 0.962 | 0.968 | 0.949 | 0.951 | 0.975 |
| R2 | 0.996 | 0.998 | 0.994 | 0.989 | 0.991 | 0.989 | 0.988 | 0.989 | |
| Tidal | Harmonic Phases | ||||||||
| Database | O1 | K1 | P1 | Q1 | M2 | S2 | N2 | K2 | |
| ENPAC03 | Slope | 1.001 | 0.988 | 0.980 | 0.937 | 0.988 | 0.960 | 0.964 | 0.980 |
| R2 | 0.988 | 0.994 | 0.996 | 0.936 | 0.982 | 0.966 | 0.986 | 0.970 | |
| ENPAC15 | Slope | 0.996 | 0.996 | 0.994 | 0.923 | 0.997 | 0.996 | 0.995 | 0.985 |
| R2 | 1.000 | 1.000 | 1.000 | 0.941 | 0.999 | 0.999 | 0.999 | 0.998 | |
| Mean Relative Amplitude Errors | ||||||||
| (%) | ||||||||
| Global (No Passage) | Alaskan Coast | Pacific Northwest | California/Mexico | |||||
| 2003 | 2015 | 2003 | 2015 | 2003 | 2015 | 2003 | 2015 | |
| O1 | 9.68 | 6.41 | 8.51 | 6.55 | 17.30 | 5.13 | 8.60 | 7.96 |
| K1 | 10.84 | 4.93 | 9.32 | 4.65 | 17.10 | 4.20 | 9.27 | 6.94 |
| P1 | 9.58 | 5.75 | 8.44 | 5.04 | 14.14 | 6.77 | 7.70 | 5.04 |
| Q1 | 11.13 | 7.47 | 7.56 | 5.82 | 18.57 | 9.27 | 14.10 | 6.54 |
| M2 | 12.49 | 5.85 | 10.71 | 4.73 | 20.67 | 10.66 | 11.07 | 5.07 |
| S2 | 16.24 | 6.93 | 13.76 | 6.36 | 26.54 | 11.25 | 11.15 | 5.62 |
| N2 | 12.94 | 6.68 | 11.37 | 6.61 | 21.26 | 10.45 | 9.24 | 5.22 |
| K2 | 26.10 | 9.05 | 26.21 | 6.44 | 44.87 | 15.82 | 14.00 | 9.34 |
| All 8 | 13.64 | 6.62 | 11.98 | 5.78 | 22.61 | 9.18 | 10.61 | 6.47 |
| Mean Absolute Phase Errors | ||||||||
| (deg) | ||||||||
| Global (no Passage) | Alaskan Coast | Pacific Northwest | California/Mexico | |||||
| 2003 | 2015 | 2003 | 2015 | 2003 | 2015 | 2003 | 2015 | |
| O1 | 10.45 | 3.32 | 7.91 | 3.71 | 21.44 | 3.85 | 3.87 | 2.62 |
| K1 | 7.13 | 3.31 | 7.78 | 3.85 | 12.21 | 4.33 | 2.30 | 2.30 |
| P1 | 9.06 | 4.05 | 8.76 | 5.03 | 16.77 | 4.38 | 3.45 | 2.78 |
| Q1 | 13.79 | 9.36 | 20.77 | 16.73 | 16.22 | 4.50 | 4.74 | 3.46 |
| M2 | 13.33 | 3.82 | 5.90 | 4.75 | 29.71 | 4.16 | 6.30 | 2.21 |
| S2 | 17.00 | 4.24 | 8.14 | 5.46 | 35.57 | 4.04 | 5.69 | 2.64 |
| N2 | 13.64 | 4.60 | 7.24 | 5.40 | 25.62 | 4.72 | 7.44 | 3.21 |
| K2 | 20.94 | 8.11 | 17.97 | 11.27 | 44.86 | 7.95 | 11.16 | 4.96 |
| All 8 | 13.15 | 5.05 | 10.54 | 7.01 | 25.46 | 4.74 | 5.63 | 3.02 |
| Mean Global Constituent RMS Errors | ||||||||
| (cm) | ||||||||
| Run Designation | O1 | K1 | P1 | Q1 | M2 | S2 | N2 | K2 |
| ENPAC03 | 3.83 | 5.98 | 2.22 | 0.70 | 16.90 | 6.33 | 3.72 | 2.75 |
| ENPAC03R | 3.77 | 6.12 | 2.21 | 0.65 | 18.03 | 5.92 | 3.85 | 2.07 |
| ESTOFS-trim1 | 2.83 | 4.70 | 1.53 | 0.47 | 11.09 | 3.77 | 2.47 | 1.47 |
| ESTOFS-trim2 | 2.60 | 4.27 | 1.36 | 0.42 | 10.29 | 3.41 | 2.25 | 1.43 |
| ESTOFS-trim6 | 2.99 | 4.52 | 1.47 | 0.59 | 11.16 | 3.73 | 2.50 | 1.54 |
| ENPAC15-CF | 2.26 | 3.56 | 1.16 | 0.41 | 8.42 | 2.94 | 1.89 | 1.36 |
| ENPAC15-Vdat | 1.94 | 2.87 | 1.09 | 0.45 | 7.80 | 2.86 | 1.95 | 1.24 |
| ENPAC15-Mann | 2.16 | 3.30 | 1.08 | 0.41 | 7.71 | 2.75 | 1.79 | 1.28 |
| Mean Regional RMS Errors | ||||||||
| (cm) | ||||||||
| Run Designation | Global | Alaska | Pacific Northwest | California and Mexico | ||||
| ENPAC03 | 5.36 | 5.39 | 9.03 | 2.21 | ||||
| ENPAC03R | 5.39 | 4.97 | 9.47 | 2.36 | ||||
| ESTOFS-trim1 | 3.58 | 3.46 | 6.40 | 1.49 | ||||
| ESTOFS-trim2 | 3.29 | 3.34 | 5.48 | 1.52 | ||||
| ESTOFS-trim6 | 3.60 | 3.43 | 6.35 | 1.63 | ||||
| ENPAC15-CF | 2.78 | 3.40 | 3.94 | 1.49 | ||||
| ENPAC15-Vdat | 2.55 | 3.62 | 2.91 | 1.22 | ||||
| ENPAC15-Mann | 2.59 | 3.45 | 3.21 | 1.34 | ||||
© 2018 by the authors. Licensee MDPI, Basel, Switzerland. This article is an open access article distributed under the terms and conditions of the Creative Commons Attribution (CC BY) license (http://creativecommons.org/licenses/by/4.0/).
Share and Cite
Szpilka, C.; Dresback, K.; Kolar, R.; Massey, T.C. Improvements for the Eastern North Pacific ADCIRC Tidal Database (ENPAC15). J. Mar. Sci. Eng. 2018, 6, 131. https://doi.org/10.3390/jmse6040131
Szpilka C, Dresback K, Kolar R, Massey TC. Improvements for the Eastern North Pacific ADCIRC Tidal Database (ENPAC15). Journal of Marine Science and Engineering. 2018; 6(4):131. https://doi.org/10.3390/jmse6040131
Chicago/Turabian StyleSzpilka, Christine, Kendra Dresback, Randall Kolar, and T. Christopher Massey. 2018. "Improvements for the Eastern North Pacific ADCIRC Tidal Database (ENPAC15)" Journal of Marine Science and Engineering 6, no. 4: 131. https://doi.org/10.3390/jmse6040131
APA StyleSzpilka, C., Dresback, K., Kolar, R., & Massey, T. C. (2018). Improvements for the Eastern North Pacific ADCIRC Tidal Database (ENPAC15). Journal of Marine Science and Engineering, 6(4), 131. https://doi.org/10.3390/jmse6040131
