Small-Scale Renewable Energy Converters for Battery Charging
Abstract
:1. Introduction
2. Energy Required by the Compensator System
3. Method
3.1. Sea State and Solar Irradiation at Wave Hub
3.2. Power from an OWC
3.3. Power from a Small Point Absorber WEC
4. Results and Discussion
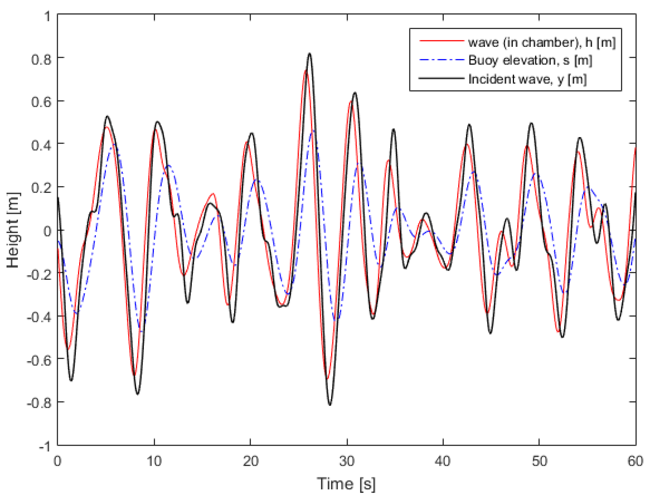
4.1. The OWC
4.2. Heaving Point Absorber
5. Conclusions
Acknowledgments
Author Contributions
Conflicts of Interest
References
- Sjökvist, L.; Krishna, R.; Rahm, M.; Castellucci, V.; Hagnestål, A.; Leijon, M. On the Optimization of Point Absorber Buoys. J. Mar. Sci. Eng. 2014, 2, 477–492. [Google Scholar] [CrossRef]
- Eriksson, M.; Waters, R.; Svensson, O.; Isberg, J.; Leijon, M. Wave power absorption: Experiments in open sea and simulation. J. Appl. Phys. 2007, 102, 084910. [Google Scholar] [CrossRef]
- Waters, R.; Stålberg, M.; Danielsson, O.; Svensson, O.; Gustafsson, S.; Strömstedt, E.; Eriksson, M.; Sundberg, J.; Leijon, M. Experimental results from sea trials of an offshore wave energy system. Appl. Phys. Lett. 2007, 90, 034105. [Google Scholar] [CrossRef]
- Tyrberg, S.; Svensson, O.; Kurupath, V.; Engstrom, J.; Stromstedt, E.; Leijon, M. Wave Buoy and Translator Motions—On-Site Measurements and Simulations. IEEE J. Ocean. Eng. 2011, 36, 377–385. [Google Scholar] [CrossRef]
- Castellucci, V.; Abrahamsson, J.; Svensson, O.; Waters, R. Algorithm for the calculation of the translator position in permanent magnet linear generators. J. Renew. Sustain. Energy 2014, 6, 063102. [Google Scholar] [CrossRef]
- Engström, J.; Eriksson, M.; Isberg, J.; Leijon, M. Wave energy converter with enhanced amplitude response at frequencies coinciding with Swedish west coast sea states by use of a supplementary submerged body. J. Appl. Phys. 2009, 106, 064512. [Google Scholar] [CrossRef]
- Engström, J.; Kurupath, V.; Isberg, J.; Leijon, M. A resonant two body system for a point absorbing wave energy converter with direct-driven linear generator. J. Appl. Phys. 2011, 110, 124904. [Google Scholar] [CrossRef]
- Castellucci, V.; Waters, R.; Eriksson, M.; Leijon, M. Tidal effect compensation system for point absorbing wave energy converters. Renew. Energy 2013, 51, 247–254. [Google Scholar] [CrossRef]
- Ayob, M.N.; Castellucci, V.; Terzi, M.; Waters, R. Tidal Effect Compensation System Design for High Range Sea Level Variations. In Proceedings of the 11th European Wave and Tidal Energy Conference (EWTEC), Nantes, France, 6–11 September 2015. [Google Scholar]
- Wave Hub Test Site. Available online: https://www.wavehub.co.uk/wave-hub-sit (accessed on 21 February 2017).
- Van Nieuwkoop, J.C.; Smith, H.C.; Smith, G.H.; Johanning, L. Wave resource assessment along the Cornish coast (UK) from a 23-year hindcast dataset validated against buoy measurements. Renew. Energy 2013, 58, 1–14. [Google Scholar] [CrossRef]
- British Oceanographic Data Centre. Available online: https://www.bodc.ac.uk (accessed on 11 May 2016).
- Castellucci, V.; Eriksson, M.; Waters, R. Impact of Tidal Level Variations on Wave Energy Absorption at Wave Hub. Energies 2016, 9, 843. [Google Scholar] [CrossRef]
- Castellucci, V.; Abrahamsson, J.; Kamf, T.; Waters, R. Nearshore Tests of the Tidal Compensation System for Point-Absorbing Wave Energy Converters. Energies 2015, 8, 3272–3291. [Google Scholar] [CrossRef]
- Masuda, Y. Hydrodynamics of Ocean Wave-Energy Utilization; Springer: Berlin/Heidelberg, Germany, 1986; pp. 445–452. [Google Scholar]
- Henriques, J.C.; Portillo, J.C.; Gato, L.M.; Gomes, R.P.; Ferreira, D.N.; Falcão, A.F. Design of oscillating-water-column wave energy converters with an application to self-powered sensor buoys. Energy 2016, 112, 852–867. [Google Scholar] [CrossRef]
- Chiba, S.; Waki, M.; Wada, T.; Hirakawa, Y.; Masuda, K.; Ikoma, T. Consistent ocean wave energy harvesting using electroactive polymer (dielectric elastomer) artificial muscle generators. Appl. Energy 2013, 104, 497–502. [Google Scholar] [CrossRef]
- Bonfiglioli. Available online: http://www.bonfiglioli.com (accessed on 21 February 2017).
- Intorq. Available online: http://www.intorq.com (accessed on 21 February 2017).
- For Info on Solar Panel. Available online: https://www.elfa.se (accessed on 21 February 2017).
- Regional Coastal Monitoring Programmes. Available online: http://www.channelcoast.org (accessed on 11 December 2017).
- Chakrabarti, S.K. Hydrodynamics of Offshore Structures; WIT Press: Southampton, UK, 1987. [Google Scholar]
- Huld, T.; Müller, R.; Gambardella, A. A new solar radiation database for estimating PV performance in Europe and Africa. Sol. Energy 2012, 86, 1803–1815. [Google Scholar] [CrossRef]
- Sarmento, A. Wave flume experiments on two-dimensional oscillating water column wave energy devices. Exp. Fluids 1992, 12, 286–292. [Google Scholar] [CrossRef]
- Evans, D.V.; Porter, R. Efficient Calculation of Hydrodynamic Properties of OWC-Type Devices. J. Offshore Mech. Arct. Eng. 1997, 119, 210–218. [Google Scholar] [CrossRef]
- Morris-Thomas, M.T.; Irvin, R.J.; Thiagarajan, K.P. An Investigation Into the Hydrodynamic Efficiency of an Oscillating Water Column. J. Offshore Mech. Arct. Eng. 2007, 129, 273–278. [Google Scholar] [CrossRef]
- Ram, K.; Faizal, M.; Rafiuddin Ahmed, M.; Lee, Y.H. Experimental studies on the flow characteristics in an oscillating water column device. J. Mech. Sci. Technol. 2010, 24, 2043–2050. [Google Scholar] [CrossRef]
- Bayoumi, S.; Incecik, A.; El-Gamal, H. Dynamic modelling of Spar-Buoy oscillating water column wave energy converter. Ships Offshore Struct. 2015, 10, 601–608. [Google Scholar] [CrossRef]
- Garrido, A.J.; Otaola, E.; Garrido, I.; Lekube, J.; Maseda, F.J.; Liria, P.; Mader, J. Mathematical Modeling of Oscillating Water Columns Wave-Structure Interaction in Ocean Energy Plants. Math. Probl. Eng. 2015, 2015, 1–11. [Google Scholar] [CrossRef]
- Da Rosa, A. Wind Energy. In Fundamentals of Renewable Energy Processes; Bodc, Ed.; Elsevier: Amsterdam, The Netherlands, 2013; pp. 685–763. [Google Scholar]
- Stoker, J.J. Basic Hydrodynamics. In Water Waves; John Wiley & Sons, Inc.: Hoboken, NJ, USA, 2011; pp. 1–18. [Google Scholar]
- Ivanova, I.; Bernhoff, H.; Ågren, O.; Leijon, M. Simulated generator for wave energy extraction in deep water. Ocean Eng. 2005, 32, 1664–1678. [Google Scholar] [CrossRef]
- Rhinefrank, K.; Schacher, A.; Prudell, J.; Brekken, T.K.A.; Stillinger, C.; Yen, J.Z.; Ernst, S.G.; von Jouanne, A.; Amon, E.; Paasch, R.; et al. Comparison of Direct-Drive Power Takeoff Systems for Ocean Wave Energy Applications. IEEE J. Ocean. Eng. 2012, 37, 35–44. [Google Scholar] [CrossRef]
- Savin, A.; Svensson, O.; Leijon, M. Azimuth-inclination angles and snatch load on a tight mooring system. Ocean Eng. 2012, 40, 40–49. [Google Scholar] [CrossRef]
- Sjökvist, L.; Wu, J.; Ransley, E.; Engström, J.; Eriksson, M.; Göteman, M. Numerical models for the motion and forces of point-absorbing wave energy converters in extreme waves. Ocean Eng. 2017, 145, 1–14. [Google Scholar] [CrossRef]
- European Centre for Medium-Range Weather Forecasts. Available online: http://apps.ecmwf.int/datasets/data/interim-full-daily (accessed on 18 March 2017).










| Compensator Operation | Standby Mode | Operating Mode (Wh) | Total Energy/Day | |
|---|---|---|---|---|
| (Communication + Control) | Release Brake | Motor | (Wh/Day) | |
| Releases (2 × 6 h) | 8 W × 12 h | 19 W × 2 × 52 s | - | 96.6 |
| Retracts (2 × 6 h) | 8 W × 12 h | 19 W × 2 × 0.48 h | 723.2 W × 2 × 0.48 h | 808.5 |
| Parameter | Dimension |
|---|---|
| Buoy radius | 3.0 m |
| Buoy weight | 5736 kg |
| Water column diameter, | 0.40 m |
| Turbine tube diameter, | 0.06 m |
| Buoy draft | 0.42 m |
| Parameter | Symbol | Dimension |
|---|---|---|
| Diameter SB | D | 0.35 m |
| Total Mass SB | m | 20 kg |
| Draft | - | 0.20 m |
| Wave elevation | y | - |
| Buoy elevation | s | - |
| Wave (in chamber) | h | - |
| SB elevation | z | - |
| Month | Average Energy |
|---|---|
| Jan | 29 |
| Fab | 52 |
| Mar | 104 |
| Apr | 168 |
| May | 189 |
| Jun | 222 |
| Jul | 193 |
| Aug | 155 |
| Sep | 129 |
| Oct | 70 |
| Nov | 37 |
| Dis | 23 |
| Parameter | Dimension |
|---|---|
| Nominal power for PV system | 50 W |
| Inclination of module | 0 deg. |
| Battery size | 12 V, 100 Ah |
| Discharge cutoff limit (%) | 40% |
© 2018 by the authors. Licensee MDPI, Basel, Switzerland. This article is an open access article distributed under the terms and conditions of the Creative Commons Attribution (CC BY) license (http://creativecommons.org/licenses/by/4.0/).
Share and Cite
Ayob, M.N.; Castellucci, V.; Göteman, M.; Widén, J.; Abrahamsson, J.; Engström, J.; Waters, R. Small-Scale Renewable Energy Converters for Battery Charging. J. Mar. Sci. Eng. 2018, 6, 26. https://doi.org/10.3390/jmse6010026
Ayob MN, Castellucci V, Göteman M, Widén J, Abrahamsson J, Engström J, Waters R. Small-Scale Renewable Energy Converters for Battery Charging. Journal of Marine Science and Engineering. 2018; 6(1):26. https://doi.org/10.3390/jmse6010026
Chicago/Turabian StyleAyob, Mohd Nasir, Valeria Castellucci, Malin Göteman, Joakim Widén, Johan Abrahamsson, Jens Engström, and Rafael Waters. 2018. "Small-Scale Renewable Energy Converters for Battery Charging" Journal of Marine Science and Engineering 6, no. 1: 26. https://doi.org/10.3390/jmse6010026
APA StyleAyob, M. N., Castellucci, V., Göteman, M., Widén, J., Abrahamsson, J., Engström, J., & Waters, R. (2018). Small-Scale Renewable Energy Converters for Battery Charging. Journal of Marine Science and Engineering, 6(1), 26. https://doi.org/10.3390/jmse6010026

