Characterization of the New Status of Nador Lagoon (Morocco) after the Implementation of the Management Plan
Abstract
:1. Introduction
2. Material and Methods
2.1. The Nador Lagoon Location and Morphological Features
2.2. Lagoon Watershed Features, Sedimentary Dynamics and Freshwater Inputs
2.3. Climatological Characteristics of the Nador Lagoon
2.4. Lagoon Bathymetry and Hydrodynamics
2.5. Sampling Area Selection and Samples Collection Method
2.6. Grain Size Analysis
2.7. Total Organic Matter (OM) Analysis
2.8. Carbonate Analysis
2.9. Data Analysis
Statistical Parameters
3. Results
3.1. Distribution of Surface Sediment Facies in the Lagoon Seabed
3.1.1. Spatial Distribution of Surface Sediment Facies
3.1.2. Lutite Distribution
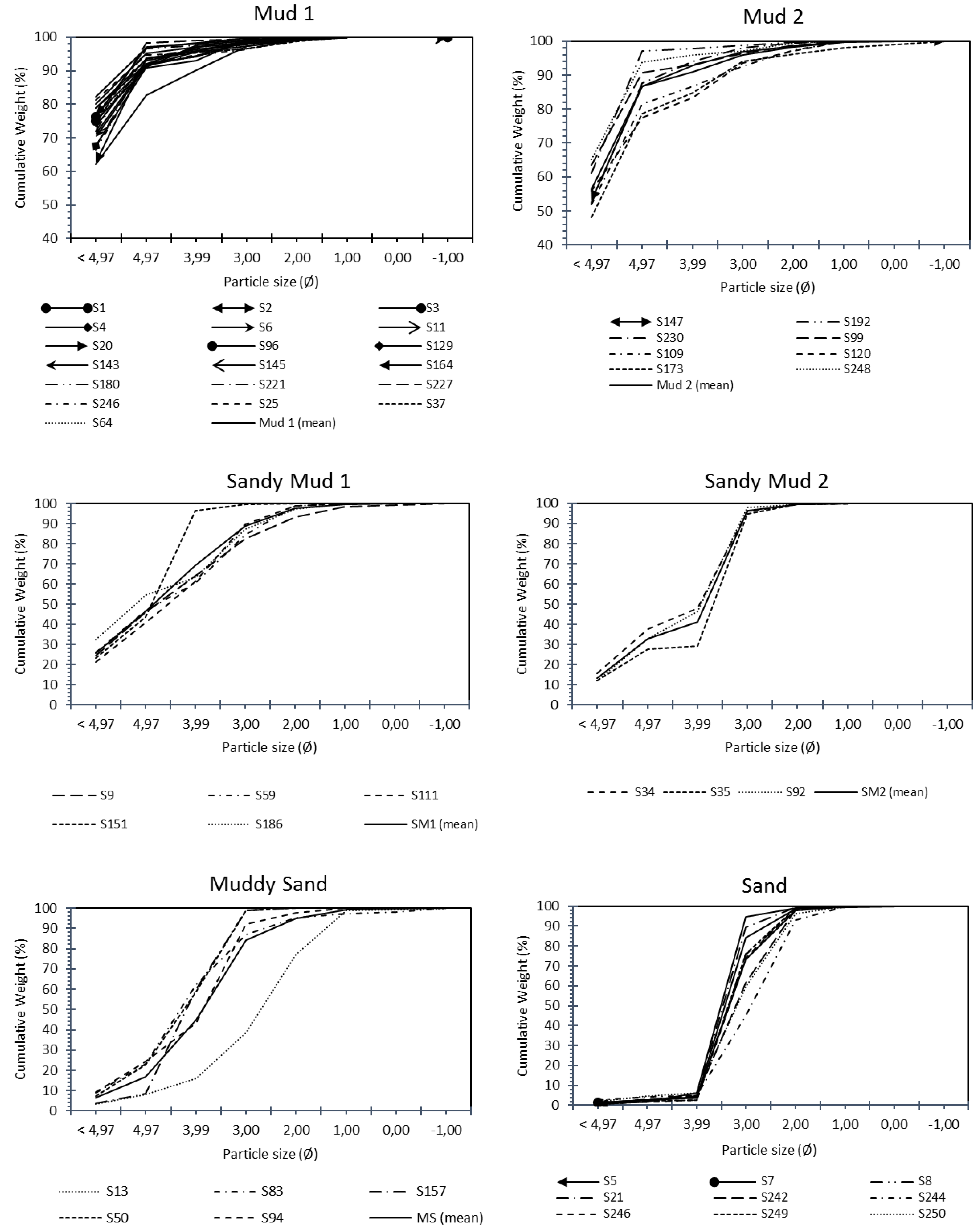
3.1.3. Sediments Grain Size Classes
3.2. Granulometric Distribution of Sediments in the Seabed Surface Layer
3.3. Organic Matter Distribution
3.4. Carbonate Distribution
4. Discussion
5. Conclusions
Acknowledgments
Author Contributions
Conflicts of Interest
References
- Berraho, A.; Et Orbi, A.; Dafir, J.E. The Lagoon of Nador: Organization, Functioning and Evolution, Travaux et Documents N° 85; Institut Scientifique des Pêches Maritimes: Casablanca, Morocco, 1995; p. 66. [Google Scholar]
- Lemoalle, J. Study of El Bidane Lagoon; Rapports et Documents; INSTOP: Tunis, Tunisia, 1986; p. 80. [Google Scholar]
- Dakki, M. Diagnosis for Wetland Management in Northeast Morocco—Sebkha Bou Areg (Nador Lagoon). Medwetcoast-Morocco. 2003. Available online: http://vinc.s.free.fr/IMG/MWC_Maroc_ZH_BouAreg.pdf (accessed on 10 January 2017).
- Najih, M.; Berday, N.; Lamrini, A.; Nachite, D.; Et Zahri, Y. Situation of small scale fisheries after the opening of the new channel in the lagoon of Nador. Rev. Mr. Sci. Agron. Vet. 2015, 3, 19–30. [Google Scholar]
- Bloundi, M.K. Geochemical Study of the Lagoon of Nador (Eastern Morocco): Impacts of the Anthropic Factors. Ph.D. Thesis, University of Mohammed V, Rabat, Morocco, 2005; p. 238. [Google Scholar]
- Mahjoubi, R. Nature and Origin of Particulate Matter Flow and Its Recording in a Microtidal Paralic: Case of the Nador Lagoon. Ph.D. Thesis, University of Moulay Ismail, Meknes, Morocco, 2001; p. 231. [Google Scholar]
- Najih, M. Constraints and Prospects for the Development of the Nador Lagoon. A Memo for the Graduation of Chief Engineer; INRH: Casablanca, Morocco, 2009; p. 120. [Google Scholar]
- Specific Management Plan for the Lagoon. Available online: http://www.agence-marchica.com (accessed on 21 August 2013).
- Guelorget, O.; Perthuisot, J.P.; Frisoni, G.F.; Et Monti, D. The role of confinement in the biogeographical organization of the Nador lagoon (Morocco). Oceanol. Acta 1987, 10, 435–444. [Google Scholar]
- Lefebvre, A.; Guelorget, O.; Perthuisot, J.P.; Et Dafir, J. Biological evolution of the lagoon of Nador (Morocco) during the period 1982–1993. Oceanol. Acta 1997, 20, 371–385. [Google Scholar]
- Zine, N. Study of the Malacofauna of the Nador Lagoon and Population Dynamics of Venerupis Decussata (Linne 1767). Ph.D. Thesis, University of Mohammed V, Rabat, Morocco, 1989; p. 97. [Google Scholar]
- ONEP. Depollution of Marchica. Sanitation, Transfer and Treatment of Wastewater. In Extension of Liquid Sinking Networks of Municipalities and Centers of the Great Nador; ONEP: Rabat, Morocco, 2010; p. 14. [Google Scholar]
- Re, V. Groundwater in Urban Coastal Areas: Hydrogeochemical Based Approach for Managing the Transition Areas, The Example of the Lagoon of Nador (Morocco). Ph.D. Thesis, Universita Ca’Foscar Venezia, Venezia, Italy, March 2010. [Google Scholar]
- Hilmi, K. Numerical Modeling of the Circulation of Two Paralic Environments of the Moroccan Littoral: The Lagoon of Oulidia (Atlantic) and the Lagoon of Nador (Mediterranean). Ph.D. Thesis, Univesity of Hassan II Casablanca, Casablanca, Morocco, June 2005; p. 182. [Google Scholar]
- Najih, M.; Mounir, F. Maccroflora and Bathymetry of Nador Lagoon; INRH: Nador, Morocco, 2013; p. 61. [Google Scholar]
- Himi, K.; Makaoui, A.; Idrissi, M.; Abdellaoui, B.; El Ouehabi, Z. Marine circulation of the Nador lagoon (Morocco) by hydrodynamic modeling. Eur. Sci. J. 2015, 11, 11. [Google Scholar]
- Guelorget, O.; Frisoni, G.F.; Ximenes, M.C.; Perthuisot, J.P. Biogeological Expressions of Containment in the Nador Lagoon; FAO Rapp: Rome, Italy, 1984; p. 15. [Google Scholar]
- MEDRAP. Working Group on the Development of Lagoon Management Methodology; MEDRAP: Montpellier, France, 1995; p. 102. [Google Scholar]
- International Atomic Energy Agency. Collection and Preparation of Bottom Sediment Samples for Analysis of Radionuclides and Trace Elements; IAEA-TECDOC-1360; International Atomic Energy Agency: Vienna, Austria, 2003; p. 130. [Google Scholar]
- Hamoumi, N.; Chafik, M.; Hazim, M.A.; Kharbaoui, R.; Terhzaz, L.; Hourimeche, A. Control and Evolution of Sedimentation Environments of the Lagoon of Nador (Eastern Mediterranean Coast, Morocco); Rapport Commission International Mer Mediterranee: Barcelone, Spain, 2007; p. 38. [Google Scholar]
- Blott, S.J.; Pye, K. GRADISTAT: A grain size distribution and statistics package for the analysis of unconsolidated sediments. Earth Surf. Process. Landf. 2001, 26, 1237–1248. [Google Scholar] [CrossRef]
- Chevillon, C. Descriptive sedimentology and cartography of the lagoon of the eastern coast of New Caledonia. In The Seawater of the Lagoons of New Caledonia (Sedimentology, Benthos); ORSTOM: Paris, France, 1997; Volume 3, pp. 7–30. [Google Scholar]
- Chardy, P.; Chevillon, C.; Clavier, J. Major benthic communities of the south-west lagoon of New Caledonia. Coral Reefs 1988, 7, 69–75. [Google Scholar] [CrossRef]
- Vatan, A. Manual of Sedimentology; Technip: Paris, France, 1967. [Google Scholar]
- Fournier, J.; Bonnot-Courtois, C.; Paris, R.; Voldoire, O.; le Vot, M. Granulometric Analysis, Principles and Methods; CNRS: Dinard, France, 2012; p. 99. [Google Scholar]
- Friedman, G. On sorting coefficient and the log-normality of the grain-size distribution of sandstones. J. Geol. 1962, 70, 737–756. [Google Scholar] [CrossRef]
- Chamley, H. Bases de Sedimentologie; Dunod: Paris, France, 2000; p. 178. [Google Scholar]
- Folk, R.L.; Ward, W.C. Brazos River bar: A study in the significance of grain size parameters. J. Sediment. Petrol. 1957, 27, 3–26. [Google Scholar] [CrossRef]
- Tesson, M.; Et Gensous, B. Some Characteristics of the Geochemistry of a Microtidal Lagoon: La Sebkha Bou Areg (Nador Lagoon); National Congress of Scientific Societies Acts 106, Science Section: Perpignan, France, 1981; Volume 3, pp. 183–194. [Google Scholar]
- Frisoni, G.F.; Guelorget, O.; Vetillart, T. Definition of a Communication Structure Between the Sea and a Coastal Lagoon, with a View to Aquaculture Exploitation of the Environment: Choice of an Optimal Solution Based on an Ecological Diagnosis. Case of the Marchica Lagoon (Morocco); 28th Hydraulic Days, 11–13 September Report No. 1; Cemagref: Marseille, France, 1984; p. 20. [Google Scholar]




| Limits (% of Lutites) [22] | <5 | 5–25 | 25–50 | 50–75 | 75–90 | >90 | |
|---|---|---|---|---|---|---|---|
| Facies features | Very poorly silted | Poorly silted | Moderately silted | Vey silted | Very strongly silted | Extremely silted | |



| OM Limits (%) [22] | 8.6%–10.4% | 5.1%–8.5% | 1.7%–5% | 0.9%–1.6% | <0.9% |
|---|---|---|---|---|---|
| Significance: Facies features | advanced irreversible anoxic state or tends to irreversible anoxia | Tends toward state of anoxia | less advanced anoxic state | matches sandy facies or muddy sand relatively agitated | |

| Carbonate Limits | <20% | 20%–40% | 40%–60% | 60%–80% | >80% |
|---|---|---|---|---|---|
| Facies characteristics [22] | Very poorly carbonated | Poorly carbonated | Moderately carbonated | Highly carbonated | Extremely carbonated |
| High terrigenous | Terrigenous | Transitional | Impure carbonate | High carbonate |


| Seabed Area | I | II | III | IV |
|---|---|---|---|---|
| Surface | S = 12.3 km2 | S = 20.3 km2 | S = 51.1 km2 | S = 29.5 km2 |
| Hydrodynamic characteristics | Very Low hydrodynamism (Highly confined) [20] Depth: 0–3 m | Very Low hydrodynamism (Highly confined) [20] Depth: 0–6.6 m | High to low hydrodynamism Depth: 0–7 m | High hydrodynamism Under marine influence Depth: 0–7 m |
| Potential pressure | This part is facing the industrial zone of Beni Nsar- old WWTP * | Agricultural influence | This part is facing Nador city, the old and new WWTP, receives inputs from rivers is under high anthropic and freshwater network influence | No pressure |
| Sampling sites (S) | S1–S9 | S221, S227, S230, S231, S244, S246, S248–S250 | S11, S13, S25, S26, S37, S59, S64, S75, S83, S99, S109, S111, S129, S143, S147, S151, S157, S164, S173, S180, S186 | S21, S22, S34, S35, S50, S92, S94, S96, S120, S192 |
| Calculation Method | Classification Used to Define Type of Sediment |
|---|---|
| median of the sample | - mean = median = mode: symmetric distribution - mean, median and mode will be three different values: non-symmetric distribution - mean value is flanked by 1 and 2 standard deviation points: normal distribution |
| Inclusive graphic standard deviation “sorting index” or Trask index | Sorting <0.35 → Very well sorted 0.35 to 0.5 → Well sorted 0.50 to 0.71 → Moderately well sorted 0.71 to 1.0 → Moderately sorted 1.0 to 2.0 → Poorly sorted 2.0 to 4.0 → Very poorly sorted >4.0 → Extremely poorly sorted |
| Inclusive graphic “Skewness” or symmetry index | Skewness (Sk1) 1.0 to 0.3 → Very fine skewed 0.3 to 0.1 → Fine skewed 0.1 to −0.1→ Near symmetrical −0.1 to −0.3 → Coarse-skewed −0.3 to −1.0 Very coarse skewed |
| Graphic Kurtosis | Kurtosis (KG) <0.67 → Very Patykurtic 0.67 to 0.90 → Patykurtic 0.90 to 1.11 → Mesokurtic 1.11 to 1.50 → Leptokurtic 1.50 to 3.00 → Very Leptokurtic >3.00 → Extremely leptokurtic |
| Facies | Ø5 | Ø16 | Ø25 | Ø50 | Ø75 | Ø84 | Ø95 |
|---|---|---|---|---|---|---|---|
| Mud1 | 3.35 | 4.85 | 4.5 | 5.33 | 5.68 | 5.75 | 5.92 |
| Mud2 | 2.21 | 4.08 | 4.41 | 5.15 | 5.66 | 5.69 | 5.88 |
| SM1 | 1.35 | 2.21 | 2.72 | 3.85 | 5.07 | 5.35 | 5.8 |
| SM2 | 2.03 | 2.23 | 2.38 | 2.85 | 4.42 | 4.88 | 5.69 |
| Muddy sand | 0.99 | 2.00 | 2.25 | 2.88 | 3.72 | 4.10 | 5.25 |
| Sand | 1.13 | 1.57 | 1.93 | 2.34 | 2.7O | 2.83 | 2.99 |
| Facies | Sites Occurrence | MZ ± σ Ø | M ± σ µm | Mode Ø | Me Ø | Sorting S0 | Skewness SK | Kurtosis Kg | Significance |
|---|---|---|---|---|---|---|---|---|---|
| Mud (mean) | 5.13 ± 0.21 | 0.029 ± 0.005 | 5.57 | 5.3 | 0.93 | −0.49 | 1.63 | Moderately sorted, Very Coarse skewed, Very Leptokurtic | |
| Mud1 | Area I: S1–S6 Area II: S221, S227 Area III: S11, S20, S25, S37, S64, S129, S143, S145, S164, S180 Area IV: S96 | 5.17 ± 0.11 | 0.028 ± 0.002 | 5.75 | 5.3 | 0.73 | −0.41 | 1.49 | Moderately sorted, Very coarse skewed, Leptokurtic |
| Mud2 | Area II: S230, S246, S249, S250, S244 Area III. S99, S109, S147, S173 Area IV: S120, S22 | 4.96 ± 0.21 | 0.033 ± 0.006 | 5.21 | 5.1 | 0.97 | −0.41 | 1.36 | Moderately sorted, Very coarse skewed, Leptokurtic |
| Sandy mud (mean) | 3.65 ± 0.29 | 0.079 ± 0.016 | 4.13 | 3.5 | 1.40 | 0.11 | 0.77 | Poorly sorted, Near symmetrical, Platykurtic | |
| SM1 | Area I: S9 Area III: S59, S111, S151, S186 | 3.81 ± 0.19 | 0.071 ± 0.008 | 4.31 | 3.81 | 1.47 | −0.07 | 0.81 | Poorly sorted, Near symmetrical, Platykurtic |
| SM2 | Area IV: S34, S35, S92 | 3.29 ± 0.11 | 0.102 ± 0.007 | 3.87 | 2.83 | 1.19 | 0.54 | 0.74 | Poorly sorted, Very fine skewed, Platykurtic |
| Muddy sand | Area II: S231 Area III: S13, S83, S157 Area IV: S50, S94 | 2.99 ± 0.53 | 0.125 ± 0.06 | 3.68 | 2.88 | 1.17 | 0.14 | 1.19 | Poorly sorted, Fine skewed, Leptokurtic |
| Sand | Area I: S5, S7, S8 Area II: S246, S249, S250, S244 Area IV: S21 | 2.24 ± 0.13 | 0.22 ± 0.02 | 3.25 | 2.34 | 0.60 | −0.26 | 0.99 | Moderately well sorted, Coarse skewed, Mesokurtic |
| Parameters (%) | Date | Area I | Area II | Area III | Area IV |
|---|---|---|---|---|---|
| Carbonate | 2003–2005 [20] | Low | Low | 5.3–26.5 | 26.5–53 |
| 2011 | 40–60 | 40–60 | 20–40 | 20–60 |
© 2017 by the authors; licensee MDPI, Basel, Switzerland. This article is an open access article distributed under the terms and conditions of the Creative Commons Attribution (CC BY) license ( http://creativecommons.org/licenses/by/4.0/).
Share and Cite
Mohamed, N.; Driss, N.; Nadia, B.; Roberto, P.; Abdeljaouad, L.; Nor-dine, R. Characterization of the New Status of Nador Lagoon (Morocco) after the Implementation of the Management Plan. J. Mar. Sci. Eng. 2017, 5, 7. https://doi.org/10.3390/jmse5010007
Mohamed N, Driss N, Nadia B, Roberto P, Abdeljaouad L, Nor-dine R. Characterization of the New Status of Nador Lagoon (Morocco) after the Implementation of the Management Plan. Journal of Marine Science and Engineering. 2017; 5(1):7. https://doi.org/10.3390/jmse5010007
Chicago/Turabian StyleMohamed, Najih, Nachite Driss, Berday Nadia, Pastres Roberto, Lamrini Abdeljaouad, and Rezzoum Nor-dine. 2017. "Characterization of the New Status of Nador Lagoon (Morocco) after the Implementation of the Management Plan" Journal of Marine Science and Engineering 5, no. 1: 7. https://doi.org/10.3390/jmse5010007
APA StyleMohamed, N., Driss, N., Nadia, B., Roberto, P., Abdeljaouad, L., & Nor-dine, R. (2017). Characterization of the New Status of Nador Lagoon (Morocco) after the Implementation of the Management Plan. Journal of Marine Science and Engineering, 5(1), 7. https://doi.org/10.3390/jmse5010007
