Swimming of Multi-Fish Swarms Simulated Using a Virtual Cell-Immersed Boundary Framework
Abstract
1. Introduction
2. Materials and Methods
2.1. Computational Model and School Formation
2.2. Computational Method
3. Results and Discussion
3.1. Results and Analysis of Three-Fish Formation
3.1.1. Tandem Schooling Formation
3.1.2. Side-by-Side Schooling Formation
3.2. Results and Analysis of Four-Fish Formation
3.2.1. Diamond Formation
- (1)
- At a small lateral spacing (G = 0.25L): Variations in streamwise spacing (D) induce significant drag modulation on the fish bodies. Fish 4 experiences an 11% reduction in drag coefficient with a minimal change in thrust. This drag reduction is attributed to constructive wake capture, where the lateral proximity enables Fish 4 to exploit the low-pressure regions between Fish 2 and 3.
- (2)
- At a larger lateral spacing (G = 0.5L): Streamwise spacing variations have a notable effect on the thrust of the fish body. Drag remains nearly unchanged, while thrust exhibits pronounced sensitivity to D. The altered wake interaction dynamics result in enhanced vortex shedding synchronization between adjacent fish.
- (3)
- Physical mechanism analysis: The differential effects stem from spatial variation in wake impingement. At a small G, Fish 1’s wake predominantly interacts with the body regions of Fish 2 and 3, affecting their drag. At a larger G, the wake impinges on the caudal regions of Fish 2 and 3, directly influencing their thrust. Fish 4, positioned centrally between Fish 2 and 3, experiences amplified hydrodynamic loading with physical quantities approximately twice those of Fish 2 and 3.
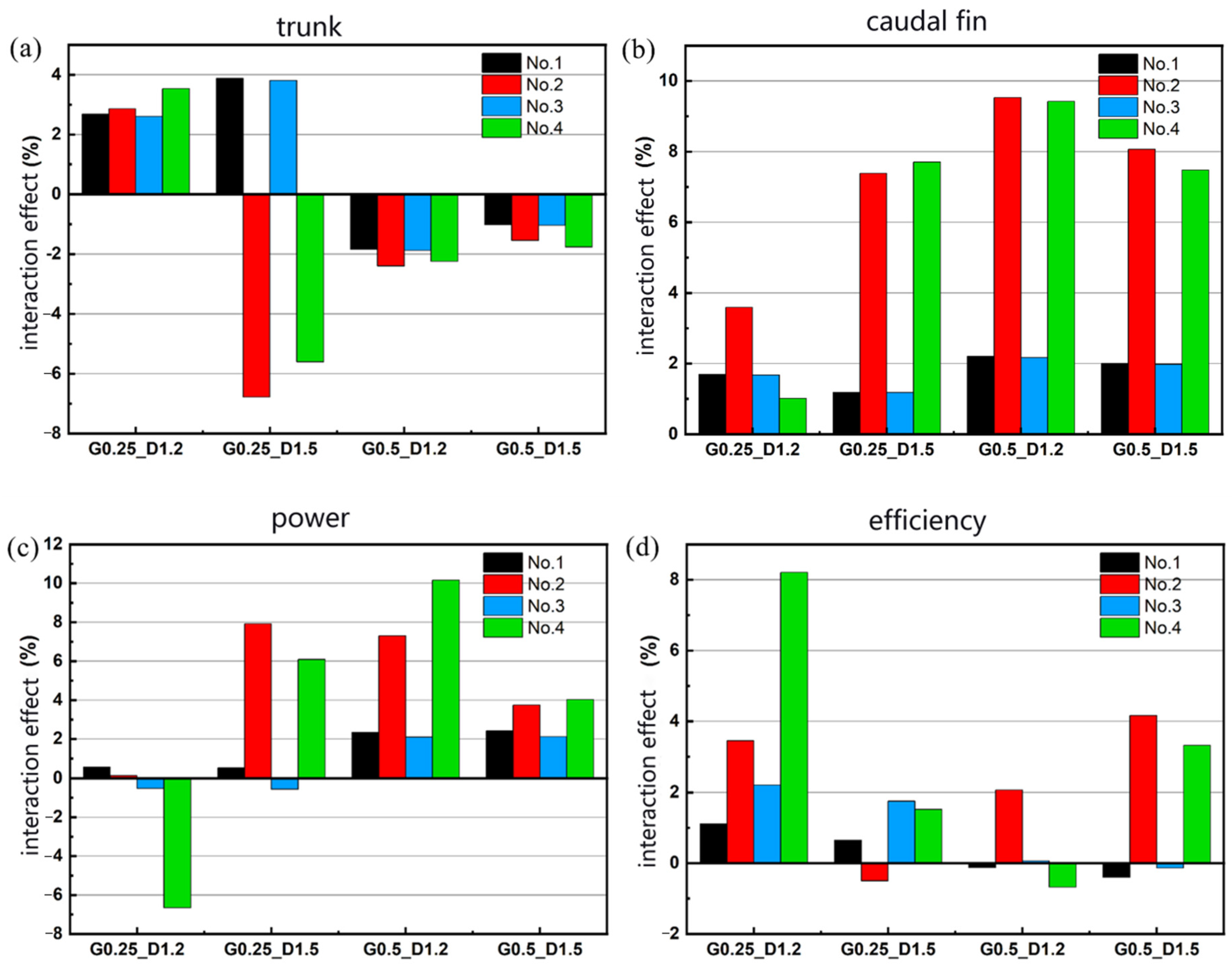
3.2.2. Rectangular Formation
- (1)
- Vortex interaction mechanisms: Fish 2 and 4 effectively harness the energy from the vortex shedding of the leading fish, achieving simultaneous thrust enhancement and drag reduction. This constructive wake capture results in superior swimming performance compared to isolated swimming.
- (2)
- At a small lateral spacing (G = 0.25L): Variations in streamwise spacing (D) exert a significant influence on both drag and thrust coefficients. However, the increased mechanical power consumption leads to reduced propulsive efficiency despite favorable force modifications. This inefficiency stems from excessive turbulent dissipation in the tightly packed formation.
- (3)
- At a larger lateral spacing (G = 0.5L): Streamwise spacing variations have minimal impact on drag and thrust coefficients. Yet the optimized wake interaction substantially improves swimming efficiency. The trailing fish experience reduced hydrodynamic interference, allowing for more efficient energy utilization.
- (4)
- Wake structure analysis: When both lateral and streamwise spacings are large (G = 0.5L and D = 1.5L), a stable 2S (two-signature) vortex structure emerges in the wake. This organized vortex pattern is highly conducive to thrust generation through constructive vortex shedding synchronization. The 2S wake configuration represents an optimal hydrodynamic arrangement for energy-efficient collective swimming.
3.3. Discussion
3.3.1. Vortex Dynamics
3.3.2. Redistribution of the Pressure Field
3.3.3. Swimming Efficiency
3.3.4. Future Work
4. Conclusions
- (1)
- Optimal configurations in three-fish swarms.
- (2)
- Performance characteristics in four-fish formations.
- (3)
- Fundamental hydrodynamic mechanisms.
Author Contributions
Funding
Data Availability Statement
Conflicts of Interest
References
- Mao, X.; Wang, J.; Mao, X.; Deng, J. A hybrid numerical model for the collective motion of fish groups. J. Fluid Mech. 2025, 1009, A26. [Google Scholar] [CrossRef]
- Zhang, T.D.; Wang, R.; Cheng, L.; Wang, Y.; Wang, S. Research on Energy-Saving Mechanism of Fish Schooling: A Review. Acta Autom. Sin. 2021, 47, 475–488. [Google Scholar] [CrossRef]
- Ko, H.; Girma, A.; Zhang, Y.; Pan, Y.; Lauder, G.; Nagpal, R. Beyond planar: Fish schools adopt ladder formations in 3D. Sci. Rep. 2025, 15, 20249. [Google Scholar] [CrossRef]
- Doi, K.; Takagi, T.; Mitsunaga, Y.; Torisawa, S. Hydrodynamical effect of parallelly swimming fish using computational fluid dynamics method. PLoS ONE 2021, 16, e0250837. [Google Scholar] [CrossRef] [PubMed]
- Li, L.; Zheng, X.W.; Mao, R.; Xie, G.M. Energy saving of schooling robotic fish in three-dimensional formations. IEEE Robot. Autom. Lett. 2021, 6, 1694–1699. [Google Scholar] [CrossRef]
- Zhou, J.; Seo, J.H.; Mittal, R. Hydrodynamically beneficial school configurations in carangiform swimmers: Insights from a flow-physics informed model. J. Fluid Mech. 2025, 1014, A32. [Google Scholar] [CrossRef]
- Li, L.; Nagy, M.; Graving, J.M.; Bak-Coleman, J.; Xie, G.M.; Couzin, I.D. Vortex phase matching as a strategy for schooling in robots and in fish. Nat. Commun. 2020, 11, 5408. [Google Scholar] [CrossRef] [PubMed]
- Seo, J.H.; Mittal, R. Improved swimming performance in schooling fish via leading-edge vortex enhancement. Bioinspir. Biomim. 2022, 17, 066020. [Google Scholar] [CrossRef]
- Ren, K.; Yu, J.C.; Chen, Z.; Li, H.B.; Feng, H.; Liu, K. Numerical investigation on energetically advantageous formations and swimming modes using two self-propelled fish. Ocean Eng. 2023, 267, 113288. [Google Scholar] [CrossRef]
- Zhou, J.; Seo, J.H.; Mittal, R. Effect of schooling on flow generated sounds from carangiform swimmers. Bioinspir. Biomim. 2024, 19, ad3a4e. [Google Scholar] [CrossRef]
- Si, B.; Chang, L.; Li, S.; Ding, Z.; Xie, G. Self-reconfigurable robotic fish swarms: Collective achievement of diverse locomotion and challenging aquatic tasks. Sci. Adv. 2026, 12, eadz2458. [Google Scholar] [CrossRef]
- Webb, P.W. Form and function in fish swimming. Sci. Am. 1984, 251, 72–82. [Google Scholar] [CrossRef]
- Macias, M.M.; Souza, I.F.; Brasil Junior, A.C.P.; Oliveira, T.F. Three-dimensional viscous wake flow in fish swimming—A CFD study. Mech. Res. Commun. 2020, 107, 103547. [Google Scholar] [CrossRef]
- Guo, J.C.; Dong, H.B. A computational study of in-phase and anti-phase interactions of fish in a phalanx school. ASME J. Fluids Eng. 2025, 147, 071106. [Google Scholar] [CrossRef]
- Wang, Z.; Du, L.; Sun, X.F. Thrust enhancement of a flapping foil through interaction with a Kármán vortex street. Phys. Fluids 2024, 36, 071908. [Google Scholar] [CrossRef]
- Fang, D.H.; Ai, L.; Tan, J.F.; Fu, H.P. Immersed force analysis of fish surface with carangiform locomotion. Phys. Fluids 2024, 36, 031903. [Google Scholar] [CrossRef]
- Shi, F.L.; Xin, J.J.; Ou, C.Z.; Li, Z.W.; Chang, X.; Wan, L. Effects of the Reynolds number and attack angle on wake dynamics of fish swimming in oblique flows. Phys. Fluids 2025, 37, 025205. [Google Scholar] [CrossRef]
- Collette, B.B.; Nauen, C.; FAO. FAO Species Catalogue, Volume 2: Scombrids of the World. An Annotated and Illustrated Catalogue of Tunas, Mackerels, Bonitos and Related Species Known to Date. XF2006239095. 1983, p. 125. Available online: https://www.researchgate.net/publication/37904027_FAO_Species_Catalogue_Vol_2_Scombrids_of_the_World_An_Annotated_and_Illustrated_Catalogue_of_Tunas_Mackerels_Bonitos_and_Related_Species_Known_to_Date (accessed on 30 December 2025).
- Peskin, C.S. Flow patterns around heart valves: A numerical method. J. Comput. Phys. 1972, 10, 252–271. [Google Scholar] [CrossRef]
- Ikeno, T.; Kajishima, T. Finite-difference immersed boundary method consistent with wall conditions for incompressible turbulent flow simulations. J. Comput. Phys. 2007, 226, 1485–1508. [Google Scholar] [CrossRef]
- Seo, J.H.; Mittal, R. A sharp-interface immersed boundary method with improved mass conservation and reduced spurious pressure oscillations. J. Comput. Phys. 2011, 230, 7347–7363. [Google Scholar] [CrossRef]
- Roman, F.; Napoli, E.; Milici, B.; Armenio, V. An improved immersed boundary method for curvilinear grids. Comput. Fluids 2009, 38, 1510–1527. [Google Scholar] [CrossRef]
- Cristallo, A.; Verzicco, R. Combined immersed boundary/large-eddy-simulations of incompressible three dimensional complex flows. Flow Turbul. Combust. 2006, 77, 3–26. [Google Scholar] [CrossRef]
- Sotiropoulos, F.; Yang, X.L. Immersed boundary methods for simulating fluid–structure interaction. Prog. Aerosp. Sci. 2014, 65, 1–21. [Google Scholar] [CrossRef]
- Yang, J.M.; Stern, F. Sharp interface immersed-boundary/level-set method for wave–body interactions. J. Comput. Phys. 2009, 228, 6590–6616. [Google Scholar] [CrossRef]
- Choung, H.; Saravanan, V.; Lee, S. Jump-reduced immersed boundary method for compressible flow. Int. J. Numer. Methods Fluids 2020, 92, 1135–1161. [Google Scholar] [CrossRef]
- Shi, T.; Wang, L.; He, Q.; Chen, J.C.; Luo, J.H. A sharp interface immersed boundary-discrete unified gas kinetic scheme for fluid-solid flows with heat transfer. Int. Commun. Heat Mass Transf. 2022, 139, 106424. [Google Scholar] [CrossRef]
- Verzicco, R. Immersed boundary methods: Historical perspective and future outlook. Annu. Rev. Fluid Mech. 2023, 55, 129–155. [Google Scholar] [CrossRef]
- Powar, O.; Arun, P.A.H.; Kumar, A.M.; Kanchan, M.; Karthik, B.M.; Mangalore, P.; Santhya, M. Recent Developments in the Immersed Boundary Method for Complex Fluid–Structure Interactions: A Review. Fluids 2025, 10, 134. [Google Scholar] [CrossRef]
- Griffith, B.E.; Patankar, N.A. Immersed methods for fluid–structure interaction. Annu. Rev. Fluid Mech. 2020, 52, 421–448. [Google Scholar] [CrossRef] [PubMed]
- Mittal, R.; Dong, H.; Bozkurttas, M.; Najjar, F.M.; Vargas, A.; von Loebbecke, A. A versatile sharp interface immersed boundary method for incompressible flows with complex boundaries. J. Comput. Phys. 2008, 227, 4825–4852. [Google Scholar] [CrossRef]
- Luo, H.X.; Dai, H.; Ferreira de Sousa, P.J.S.A.; Yin, B. On the numerical oscillation of the direct-forcing immersed-boundary method for moving boundaries. Comput. Fluids 2012, 56, 61–76. [Google Scholar] [CrossRef]
- Huang, S.; Guo, D.; Song, J.; Wang, Y.; Yang, G.; Yin, B. Effect of bending kinematics for caudal fin on swimming performance with varying undulation wavelengths. Ocean Eng. 2024, 311, 118907. [Google Scholar] [CrossRef]
- Huang, S.; Guo, D.; Wang, Y.; Yang, G.; Yin, B. Hydrodynamics of morphology for thunniform swimmers: Effects of the posterior body shape. Ocean Eng. 2023, 272, 113866. [Google Scholar] [CrossRef]
- Xu, K.K.; Yin, B.; Shi, Y.K.; Guo, D.; Huang, S. Research on hydrodynamic and swimming performance of two-fish swimming. Mech. Eng. 2024, 46, 919–929. [Google Scholar] [CrossRef]
- Han, P.; Pan, Y.; Liu, G.; Dong, H.B. Propulsive performance and vortex wakes of multiple tandem foils pitching in-line. J. Fluids Struct. 2022, 108, 103422. [Google Scholar] [CrossRef]
- Khalid, M.S.U.; Wang, J.S.; Akhtar, I.; Dong, H.B.; Liu, M.B.; Hemmati, A. Larger wavelengths suit hydrodynamics of carangiform swimmers. Phys. Rev. Fluids 2021, 6, 073101. [Google Scholar] [CrossRef]
- Zhang, J.D.; Sung, H.J.; Huang, W.X. Specialization of tuna: A numerical study on the function of caudal keels. Phys. Fluids 2020, 32, 111902. [Google Scholar] [CrossRef]
- Borazjani, I.; Sotiropoulos, F. Numerical investigation of the hydrodynamics of carangiform swimming in the transitional and inertial flow regimes. J. Exp. Biol. 2008, 211, 1541–1558. [Google Scholar] [CrossRef] [PubMed]
- Taira, K.; Colonius, T. Three-dimensional flows around low-aspect-ratio flat-plate wings at low Reynolds numbers. J. Fluid Mech. 2009, 623, 187–207. [Google Scholar] [CrossRef]
- Hunt, J.; Wray, A.; Moin, P. Eddies, streams, and convergence zones in turbulent flows. In Studying Turbulence Using Numerical Simulation Databases; 1988; pp. 193–208. Available online: https://www.researchgate.net/publication/234550074_Eddies_streams_and_convergence_zones_in_turbulent_flows (accessed on 30 December 2025).
- Jia, R.; Yang, G.; Wan, Y.; Zhang, P.; Du, H.B.; Li, W.J. Numerical simulation of propulsion mechanism and swimming performance of 2D fish autonomous swimming. J. Ship Mech. 2024, 28, 1559–1569. [Google Scholar] [CrossRef]




















| Formation Type | Optimal Spacing Configuration | Individual Number |
|---|---|---|
| Tandem Schooling Formation | Streamwise spacing of 1.4L | Fish 2 |
| Side-by-Side Schooling Formation | Lateral spacing of 0.25L | Fish 1 |
| Diamond Formation | Streamwise spacing of 1.5L, Lateral spacing of 0.5L | Fish 4 |
| Rectangular Formation | Streamwise spacing of 1.2L, Lateral spacing of 0.25L | Fish 4 |
Disclaimer/Publisher’s Note: The statements, opinions and data contained in all publications are solely those of the individual author(s) and contributor(s) and not of MDPI and/or the editor(s). MDPI and/or the editor(s) disclaim responsibility for any injury to people or property resulting from any ideas, methods, instructions or products referred to in the content. |
© 2026 by the authors. Licensee MDPI, Basel, Switzerland. This article is an open access article distributed under the terms and conditions of the Creative Commons Attribution (CC BY) license.
Share and Cite
Shi, Y.; Liu, X.; Xu, K.; Yin, B. Swimming of Multi-Fish Swarms Simulated Using a Virtual Cell-Immersed Boundary Framework. J. Mar. Sci. Eng. 2026, 14, 442. https://doi.org/10.3390/jmse14050442
Shi Y, Liu X, Xu K, Yin B. Swimming of Multi-Fish Swarms Simulated Using a Virtual Cell-Immersed Boundary Framework. Journal of Marine Science and Engineering. 2026; 14(5):442. https://doi.org/10.3390/jmse14050442
Chicago/Turabian StyleShi, Yanke, Xufang Liu, Kangkang Xu, and Bo Yin. 2026. "Swimming of Multi-Fish Swarms Simulated Using a Virtual Cell-Immersed Boundary Framework" Journal of Marine Science and Engineering 14, no. 5: 442. https://doi.org/10.3390/jmse14050442
APA StyleShi, Y., Liu, X., Xu, K., & Yin, B. (2026). Swimming of Multi-Fish Swarms Simulated Using a Virtual Cell-Immersed Boundary Framework. Journal of Marine Science and Engineering, 14(5), 442. https://doi.org/10.3390/jmse14050442

