Next Article in Journal
Sea Surface Temperature Prediction Based on Adaptive Coordinate-Attention Transformer
Previous Article in Journal
Waypoint-Sequencing Model Predictive Control for Ship Weather Routing Under Forecast Uncertainty
error_outline You can access the new MDPI.com website here. Explore and share your feedback with us.
 
 
Font Type:
Arial Georgia Verdana
Font Size:
Aa Aa Aa
Line Spacing:
Column Width:
Background:
Article

Motion Analysis of a Fully Wind-Powered Ship by Using CFD

1
Nihon Shipyard Co., Ltd., Marugame 763-0061, Japan
2
Department of Marine System Engineering, Graduate School of Engineering, Osaka Metropolitan University, Sakai 599-8531, Japan
*
Author to whom correspondence should be addressed.
J. Mar. Sci. Eng. 2026, 14(2), 121; https://doi.org/10.3390/jmse14020121
Submission received: 2 December 2025 / Revised: 1 January 2026 / Accepted: 6 January 2026 / Published: 7 January 2026
(This article belongs to the Section Ocean Engineering)

Abstract

This study investigates the sailing performance and maneuverability of a fully wind-powered ship equipped with two rigid wing sails and a rudder, using Computational Fluid Dynamics (CFD). Unlike some conventional approaches that separately analyze above-water and underwater forces, this research employs a comprehensive CFD model to predict ship motion and performance under various wind directions and sail angles, from a stationary state to steady sailing. The accuracy of the CFD method is confirmed through comparison with experimental drift test data. Although the simulated drift data showed some discrepancies from the observed data due to the difficulty of accurately modeling the wind field in the simulation, the results indicate that the CFD method can effectively reproduce the ship motions observed in the experiments. Simulations reveal that the previously proposed L-shaped and T-shaped sail arrangements, which were designed to maximize thrust without considering maneuvering effects, remain effective even when ship motion is included. However, the results also show that conventional sail arrangements can achieve higher steady-state speeds due to reduced leeway-related resistance, while the L-shaped and T-shaped arrangements yield distinct steady-state leeway (drift) characteristics under heading control. These findings suggest that dynamically adjusting sail arrangements according to operational requirements may help manage the ship’s trajectory (lateral offset) and mitigate maneuvering difficulties, contributing to the practical application of fully wind-powered ships. The study provides quantitative insights into the relationship between sail arrangement, acceleration, and leeway/drift behavior, supporting the design of next-generation wind-powered ships.

1. Introduction

In recent years, environmental regulations for ships have been strengthened, as exemplified by the Greenhouse Gas (GHG) reduction strategy adopted by the International Maritime Organization (IMO) in July 2023 [1]. As one means of addressing these regulations, research and development of ships that utilize wind power as the main or auxiliary propulsion force have been progressing. In particular, fully wind-powered ships are expected to be environmentally friendly vessels that do not use fossil fuels. However, there are several challenges, including:
  • Variation of propulsion force
  • Low-speed maneuverability
  • Uncertainty in operational schedules, such as large deviations in estimated arrival time due to unexpected changes in wind conditions
  • Stability
  • Design and structural constraints
  • Lack of established regulations and certification systems
Focusing on the first two points, there are issues such as variation of propulsion force due to fluctuations in wind direction and speed, insufficient rudder force at low speeds due to the absence of propellers or other propulsion devices, and difficulty in maneuvering within restricted waters, such as ports.
The authors [2] have previously used CFD (FINETM/Marine 10.1) to investigate combinations of angles of attack for two rigid wing sails, aiming to maximize the thrust (force along the ship’s heading) acting on the sails. As a result, it was shown that for a relative wind direction of 150°, the optimal arrangement is an “L-shaped arrangement”, where the fore sail is set at a small angle of attack dominated by lift and the aft sail at a large angle of attack dominated by drag. For a relative wind direction of 180°, the optimal arrangement is a “T-shaped arrangement”, where the fore sail is set at a large angle of attack dominated by drag and the aft sail at a small angle of attack dominated by lift. However, these investigations are limited to static thrust optimization and do not consider the effects of lateral forces or maneuvering motions, such as leeway and yaw, which are critical for real-world ship operation.
Kume et al. [3] evaluated the aerodynamic characteristics of a ship equipped with Flettner rotors, and Kramer et al. [4] investigated the hull and rudder resistance that counteracts the lateral forces generated by rigid wing sails. Both studies treated the above-water structures and underwater parts separately, neglecting the effects of the free surface and hull inclination. Kramer et al. [5] developed a coupled CFD model of the hull, rudder and propeller, while sail forces were supplied separately and incorporated into an MMG-based route simulation model. On the other hand, Li et al. [6] evaluated the performance of an unmanned small yacht using CFD model including the hull, rudder, and sails. Zhang et al. [7] investigated the effect of heel angle of the hull on the aerodynamic characteristics above the water surface and showed that the aerodynamic performance of rigid wing sails decreases as the heel angle increases. However, the dynamic relationship between sail arrangement and maneuvering motions remains insufficiently explored.
Therefore, this study aims to bridge this gap by employing a CFD method that comprehensively models the rudder and sails. Using this method, unsteady sailing simulations are conducted from a stationary state to a sailing state, where a wind-powered ship accelerates solely by wind power. In particular, the objective is to quantitatively evaluate the effects of L-shaped and T-shaped arrangements [2] on maneuvering motions, acceleration performance, and heading-controlled drift/leeway behavior, and to clarify, through comparison with conventional arrangements (see Section 3.2.3). The contributions of this study are as follows:
  • Quantitative evaluation of how different sail arrangements affect the generation of lateral forces and the resulting leeway and yaw motions using unsteady CFD simulations.
  • Systematic investigation of the effects of sail arrangement on heading-controlled drift/leeway behavior, acceleration, and drift behavior.
Table 1 lists the nomenclature used throughout this paper.

2. Wind-Powered Ship

The target ship in this study is a vessel propelled solely by the thrust generated on the rigid wing sails by wind. The concept assumes an unmanned autonomous ship as a future concept, with no crew accommodation on the deck, and only rigid wing sails as deck structures.

2.1. Hull Form

Figure 1 shows the coordinate systems employed in this study. The space-fixed coordinate system is denoted as O - x 0 y 0 z 0 , and the ship-fixed coordinate system is denoted as G - x y z . Both the z 0 -axis and the z -axis are positive downward in the vertical direction. The center of gravity G is located 3 m aft of the midship position along the centerline of the hull and 8.25 m above the bottom of the hull (at the waterline).
Figure 2 shows the body plan of the hull used in this study, and Table 2 lists the principal dimensions. The hull form is symmetric about the midship position, with the fore and aft parts being mirror images of each other. The moments of inertia I x x , I y y , I z z and radii of gyration K x x , K y y , K z z are calculated using Equation (1):
I x x = K x x 2 × m ,   I y y = K y y 2 × m ,   I z z = K z z 2 × m K x x = 0.37 × B ,   K y y = 0.25 × L o a ,   K z z = 0.25 × L o a

2.2. Rigid Wing Sails

The geometry of rigid wing sails is identical to the geometry used in previous research [2] to reproduce the L-shaped and T-shaped arrangements. The left side of Figure 3 shows the shape of the rigid wing sail, which is the same as that used by Kanai et al. [8] and adopted in previous research [2], with a chord length of c a = 20 m and height of h a = 50 m. The right side of Figure 3 shows the positional relationship between the sails and the hull. The bottom end of the rigid wing sail is 1.5 m above the deck, connected by a cylindrical column with a 1 m radius. The fore sail (Sail-1) and aft sail (Sail-2) are positioned 65 m and 25 m forward of the midship position along the centerline, respectively, with a spacing of 40 m between the two sails. Since the sails are integrated with the hull, their weights and moments of inertia are treated as parts of the hull.

2.3. Rudder

The left side of Figure 4 shows the rudder shape, and the right side shows the positional relationship between the rudder and the hull. The rudder cross-section is a NACA0012 airfoil, with a chord length c r of 3.5 m and height h r of 7 m. The rudder area is determined based on the actual ratio of rudder area to the principal dimensions [9]. The rudder is placed on the centerline, with its rotation center located 0.25 c r from the leading edge and 64.375 m aft of the midship position. Since there is no underwater propeller on this vessel, the rudder force cannot be increased by the inflow velocity from a propeller. To increase the inflow velocity to the rudder, it is attached to the bottom of the hull. For computational convenience, the upper surface of the rudder is placed 1 m below the bottom of the hull.

3. CFD Method

3.1. Computational Grid

Figure 5 shows cross-sectional computational grid schematic diagrams for each direction. The grid is unstructured generated by using HexpressTM 10.1-2 [10]. The domain extends from the midship position at the waterline as the reference: ±3 L o a in the x -direction, ±1.5 L o a in the y -direction, and ±1.5 L o a in the z -direction. The entire computational domain moves together with the ship’s surge, sway, and yaw motions. The first layer of the boundary layer mesh on the object surface is set to a dimensionless height of y + = 1. The boundary layer mesh is constructed with a growth rate of 1.3, and the number of layers in the boundary layer region ranges from 29 to 42, depending on the local geometry. Figure 6 shows the y + distribution at the end of Step 1 (see Section 3.2). Over the entire object surface, y + 1 is achieved. To ensure uniform mesh near the water surface, a mesh refinement region is set for the entire x - y domain in the range −15 z   m 75. To control the rudder angle (see Section 3.2.2), an overset grid is used for the rudder region. The overset grid region extends ±0.5 m in the thickness direction, 0.5 m from the leading and trailing edges in the chordwise direction, and 0.5 m from the upper and lower surfaces in the height direction. The total number of cells, including the overset grid, is approximately 4.01 million.

3.2. Computational Settings

Table 3 provides a summary of the CFD calculation settings. The CFD software used is FINETM/Marine 10.1 [11]. The CFD solver ISIS-CFD, which is widely used in the maritime field and supports 3D unstructured grids, and the k- ω SST turbulence model, which is commonly used as a standard in the field of ship hydrodynamics, are employed.
The ship model scale is at full scale 1/1. Figure 7 shows the boundary conditions of the computational domain for a true wind direction of γ = 150°. The boundary conditions are changed according to γ .
The computational settings are changed in two steps depending on the elapsed time. Step 1 (0 < t   [ s ] 100) is a calculation to make the wind speed distribution uniform within the computational domain. The hull is fixed in space, the rudder angle δ   = 0°, and the inflow velocity at the boundary is set according to Section 3.2.1. Step 2 ( t   [ s ] > 100) is the calculation for the sailing state. After Step 1, the six degrees of freedom motion of the hull and the rudder angle control described in Section 3.2.2 are started. All six degrees of freedom of ship motion—surge, sway, heave, roll, pitch and yaw—are free. In Step 2, the steady-state condition is defined as the time variation of the rudder angle δ being less than 0.1°/s and that of the ship speed V being less than 0.005 m/s2, and the calculation is continued until this state is maintained for more than 100 s. This steady-state condition is based on the criterion adopted by Li et al. [6] The time step t is set to 0.05 s following Li et al. [6] and is selected to keep the Courant number (Equation (2)) below 1 in most regions of the computational domain. Here, x denotes the cell size.
C o u r a n t   n u m b e r = V t / x

3.2.1. Inflow Velocity

Figure 8 shows the vertical distribution of true wind speed U A input at the inflow boundary (Far Field). The velocity below the water surface ( z 0 > 0 m) is 0 m/s. The velocity distribution above the water surface ( z 0 < 0 m) follows the equation of Kume et al. [12] (Equation (3)). The wind speed at z 0   = 10 m, U A 10 m , is set to 10 m/s. This distribution is consistent with that used in previous research [2].
U A z 0 = U A 10 m z 0 / 10 1 / 9

3.2.2. Rudder Angle Control Method

The rudder angle is controlled using PID (Proportional-Integral-Derivative) control, following the approach of Li et al. [6]. Figure 9 shows the flowchart of the rudder angle control. To maintain the yaw angle ψ near 0°, δ is controlled according to ψ . The control parameters are set as K P = 2.0, K I = 0.01 and K D = 0.5 based on preliminary trials, in which several combinations of K P , K I and K D have been tested. Around the selected values, it has been confirmed that ψ could be maintained without oscillation, while ensuring both responsiveness and stability. The rudder angle is limited to the typical operational range: −35° δ °   35°.

3.2.3. Wind Direction and Sail Angles

In this study, the true wind direction γ is used because ψ changes during the calculation. As described in Section 3.2.2, since δ is controlled to keep ψ near 0°, the relative wind direction almost coincides with the true wind direction. Table 4 shows the values of γ , and the sail angles α 1 (Sail-1) and α 2 (Sail-2) for each case. Figure 10 shows the sail arrangements for each case. The settings of α 1 and α 2 are based on the optimal angles of attack for each relative wind direction obtained in previous research [2] and the optimal angles determined by Bordogna [13] from wind tunnel test results (hereafter referred to as the conventional arrangement) rounded to the nearest 5° for simplification as the angle relative to the hull.
In previous studies [2], the combinations of angles of attack for two rigid wing sails that maximize the thrust acting on the sails have been investigated. Specifically, for a relative wind direction of 150°, the L-shaped arrangement—where the fore sail is set at a small angle of attack dominated by lift and the aft sail at a large angle of attack dominated by drag—maximizes thrust. Conversely, for a relative wind direction of 180°, the T-shaped arrangement—where the fore sail is set at a large angle of attack dominated by drag and the aft sail at a small angle of attack dominated by lift—is most effective [2]. In contrast, Bordogna’s wind tunnel test results [13] indicate that the conventional arrangement which both the fore and aft wing sails are set at a large angle of attack dominated by drag is most effective for a relative wind direction of 150° and 180°.
Case 1 is the L-shaped arrangement at γ   = 150°, Case 2 is the conventional arrangement at γ   = 150°, Case 3 is the T-shaped arrangement at γ   = 180°, and Case 4 is the conventional arrangement at γ   = 180°.

4. Comparison of Drift Model Tests and CFD

In this chapter, we compare the present CFD results with the published free-drift model test data of Yasukawa et al. [14] as a benchmark. Because the wind field in the towing tank is inherently non-uniform and the present CFD omits bilge keels, the comparison is intended to confirm whether the main time-evolution trends and order of magnitude of the drifting speed V ( t ) and heading ψ (t) are reproduced, and to discuss plausible sources of the remaining discrepancies.

4.1. Target Model Tests

Yasukawa et al. [14] investigated, both experimentally and theoretically, how a ship unable to navigate under its own power drifts in the wind. The CFD results in this study are benchmarked against the drift experiments by comparing the results of wind-induced ship motion calculations with the results of drift experiments under full-load conditions and a Beaufort 8 wind. Figure 11 shows the model shape used to reproduce the drift test by Yasukawa et al. [14], and Table 5 lists its principal dimensions. The bilge keel (length 0.87 m, width 0.01 m) equipped on the model ship is not modeled in the CFD calculation to reduce computational load. The accuracy of the reproduced model is within +0.05% for displacement in the fully loaded condition, +2.9% for frontal projected area, and −4.4% for side projected area.

4.2. CFD Method for Comparison

Only the settings changed from the CFD method in Section 3 are described below for this calculation.
The true wind direction γ is 0°, and the boundary condition for the port side is changed to zero pressure gradient from that shown in Figure 7. The total number of cells in the computational domain is about 8 million. Figure 12 shows the y + distribution at the end of Step 1, with y + 1 over the entire object surface.
Yasukawa et al. [14] measured wind speed at a height of 0.456 m above the water surface and confirmed that the wind speed distribution in the x 0 - y 0 direction is non-uniform due to attenuation with distance from the blower and friction with the water surface. Reproducing such a non-uniform wind speed distribution in the x 0 - y 0 direction is challenging in CFD. Therefore, in this calculation, the input wind speed is adjusted so that the wind speed at the initial position of the hull matches the experimental value. Since it is difficult to impose a vertical wind speed distribution as in Figure 8 while also adjusting the wind speed, a uniform wind speed of 3.79 m/s is applied for z 0 < 0 m. As a result, the difference between the wind speed entering the hull in the CFD calculation and that in the experiment increases as the hull moves away from its initial position.
The time required for the wind speed in the domain to become uniform in Step 1 is set to 10 s (with t   = 0.05 s). This duration, 10 s is set longer than the time required for the input wind to travel from the inlet to the outlet. Since this is a free-drift experiment, rudder angle control is not required, and the overset grid for the rudder is not used. As in the experiment by Yasukawa et al. [14], the ship motion is started from a state with ψ   = 2°. The time histories of V and ψ over 150 s ( t   = 0.01 s), as read from the graphs in reference [14], are compared with the CFD results.

4.3. Comparison of the Results

Figure 13 and Figure 14 compare the present CFD results with the free-drift model test data reported by Yasukawa et al. [14]. The experimental time histories of the drifting speed V and heading angle ψ were digitized from the published plots; therefore, small reading uncertainties are unavoidable. In addition, it should be noted that Yasukawa et al. [14] explicitly reported that generating a spatially uniform wind field in the towing tank was impossible because the wind speed significantly decreases with the distance from the blowers, with the field-averaged wind speed being approximately 16–18% lower than the target value depending on the Beaufort number. Accordingly, even in their own time-domain simulations that considered a measured wind-velocity distribution, the drifting trajectories did not perfectly match the experiments, and they attributed the residual discrepancy mainly to limited accuracy in predicting the ship speed and to possible omissions such as memory effects and wind-speed/direction fluctuations [14].
In the present CFD, the inflow wind speed is calibrated to match the experimental wind speed at the initial hull position, while the wind field in the computational domain is treated as spatially uniform thereafter. Consequently, as the hull drifts away from its initial location, the difference between the wind experienced by the hull in CFD and that in the experiment is expected to increase, which can directly affect the subsequent drift speed and yaw development. This tendency is consistent with the directions of the discrepancies observed in Figure 13 and Figure 14: the CFD slightly underpredicts V in the growth phase but becomes higher than the experiment in the decay phase (showing a slower reduction after the peak), while the magnitude of the left-turning (negative ψ ) becomes smaller than the experiment at later times. A plausible explanation is that the experimental hull encounters a progressively weaker and spatially varying wind field as it moves away from the blowers, whereas the CFD continues to apply the calibrated wind level without spatial attenuation, resulting in higher late-time drift speed and a reduced yaw accumulation.
Finally, the model ship in Yasukawa et al. [14] is equipped with bilge keels, whereas the present CFD omits them to avoid a substantial increase in grid complexity and computational cost. Although the heel (roll) angle observed in the simulations is very small (maximum about 0.1°), this does not necessarily imply that the bilge-keel effects on sway/yaw are negligible, because bilge keels can modify the lateral-force and yaw-moment derivatives and thereby alter the drift/yaw response even under small heel/roll conditions (see, e.g., [15]). Therefore, the omission of bilge keels should be regarded as one potential contributor to the remaining differences between CFD and experiment in Figure 13 and Figure 14, together with the unavoidable wind-field non-uniformity in the towing-tank tests reported in [14].

5. Grid Independence Study

A grid independence study was conducted for Case 1. Table 6 shows the number of cells for three different grid densities (coarse, base, fine) and the average value of ship speed V during the last 10 s in Step 2, from 1490 s to 1500 s. Step 2 was calculated up to t   = 1500 s to satisfy the steady-state conditions described in Section 3.2. Figure 15 shows the time histories of V for each grid. The difference in V between the base and fine grids is smaller than that between the coarse and base grids, indicating convergence as the grid is refined. The difference in V between the base and the fine grids is less than 1%, so the influence of grid dependency is considered sufficiently small, and the base grid is adopted.

6. Results and Discussion of Sailing Performance Calculations

Table 7 shows the average values of ship speed V , drift angle β , heel angle ϕ , yaw angle ψ , and rudder angle δ during the last 10 s of Step 2 for each case. A negative β indicates drift to starboard relative to the bow, whereas a positive β indicates drift to port. In all cases, ψ is within ±3°, indicating that the rudder angle control is functioning properly. Figure 16 shows the time histories of δ for each case. At t   = 1500 s, the condition described in Section 3.2 as steady state is attained. Figure 17 shows the time histories of ψ . At t   = 1500 s, ψ is maintained at 0° by the rudder control described in Section 3.2.2.

6.1. Comparison of Acceleration Performance and Steady-State Speed

Figure 18 shows the time histories of V for each case. In Case 1, which is the L-shaped arrangement at γ   = 150°, the initial acceleration immediately after the start of motion is greater than that of Case 2, which is the conventional arrangement at γ   = 150°. Similarly, in Case 3, which is the T-shaped arrangement at γ   = 180°, the initial acceleration is greater than that of Case 4, which is the conventional arrangement at γ   = 180°. In both cases, as acceleration progresses, the value of V for the conventional arrangement eventually exceeds that of the L-shaped or T-shaped arrangement.
Figure 19 and Figure 20 show the time histories of the longitudinal force (force in the x -direction) acting on each wing sail for all cases. A comparison of Cases 1 and 2 shows that the longitudinal force on Sail-2 converges to a similar value in both cases, while the force on Sail-1 is smaller in Case 1 due to the difference in α 1 . This results in a lower V in Case 1. In contrast, although α 2 differs between Cases 3 and 4, the total longitudinal force acting on both sails is approximately the same in both cases. Consequently, the difference in V between Cases 3 and 4 is smaller than that between Cases 1 and 2.

6.2. Comparison of Drift Behavior

Figure 21 shows the time histories of β for each case. The large fluctuation in β observed immediately after t   = 100 s, at the onset of ship motion, is due to V being nearly zero, which emphasizes the motion in the y -direction. The values are excessively large and would not be acceptable for a typical commercial ship. In Case 1 (L-shaped at γ   = 150°), the initial value of β is larger in the negative direction compared to Case 2 (conventional at γ   = 150°). Similarly, in Case 3 (T-shaped at γ   = 180°), the initial value of β is larger in the negative direction compared to Case 4 (conventional at γ   = 180°). In the steady state, Case 2 converges to a negative β , while Case 1 converges to a positive β . Case 3 converges to a negative β like Case 4.
Figure 22 and Figure 23 show the time histories of the lateral force (force in the y -direction) acting on each wing sail for all cases. At the onset of ship motion ( t = 100 s), Case 1 exhibits a larger lateral force on Sail-1 compared with Case 2. Likewise, in Case 3, the lateral force acting on Sail-2 exceeds that in Case 4. When the lateral force is large, the vessel tends to deviate from its intended course, resulting in an increased β . Consequently, a portion of the propulsive force is consumed by the resistance due to sideslip, leading to a reduction in V .
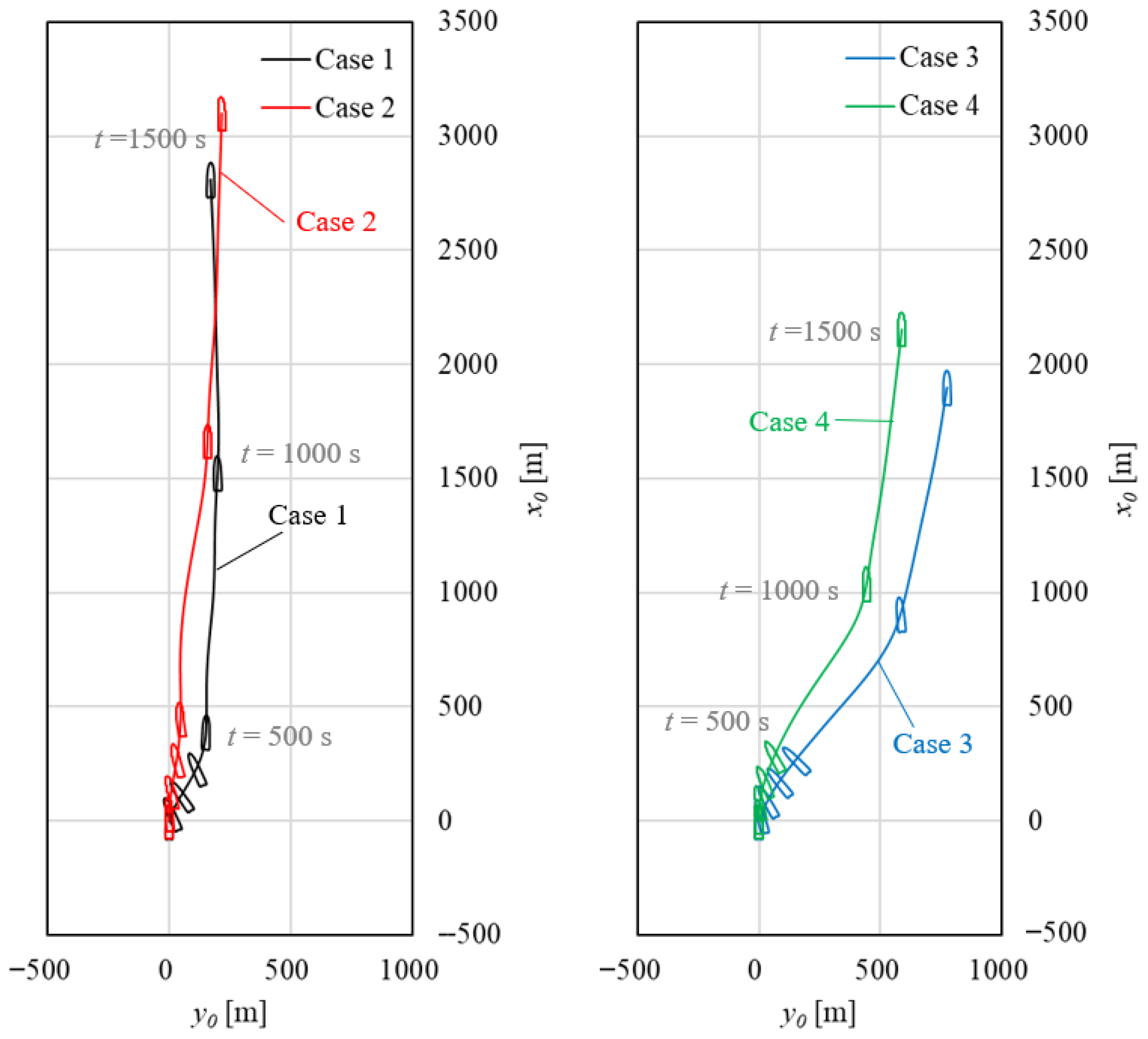
Figure 24 shows the ship trajectories and hull attitudes at 100, 200, 300, 400, 500, 1000, and 1500 s for each case. In all cases, the ship initially yaws and drifts sideways due to insufficient rudder force at low speeds. When V reaches approximately 2.0 m/s (around 500 s for Cases 1 and 2, and around 1000 s for Cases 3 and 4), rudder angle control becomes effective and ψ can be maintained. In Case 1 (L-shaped at γ   = 150°), the initial negative drift is larger than in Case 2 (conventional at γ   = 150°), causing the ship to deviate from the straight course. In the steady state, Case 2 remains at negative drift, while Case 1 converges to positive drift, indicating an opposite leeway direction in the steady state. Similarly, in Case 3 (T-shaped at γ   = 180°), the initial negative drift is larger than in Case 4 (conventional at γ   = 180°), causing deviation from the straight course. In the steady state, Case 3 remains at negative drift, and converges to a larger negative drift than that in Case 4.

6.3. Comparison of Heel, Pitch, and Heave Motions

Figure 25 and Figure 26 show the time histories of roll angle ϕ for each case. In Case 1 (L-shaped at γ   = 150°), the variation in ϕ during the first 1000 s after the start of motion is larger than in Case 2 (conventional at γ   = 150°). Similarly, in Case 3 (T-shaped at γ   = 180°), the variation in ϕ during the first 1000 s is larger than in Case 4 (conventional at γ   = 180°). This is presumed to be due to the larger lateral force acting on the wing sails in Cases 1 and 3 compared to Cases 2 and 4. The fluctuation range is ±0.1° for Cases 2 and 4, and ±0.4° for Cases 1 and 3, which is not a significant issue for operation. In the steady state, the absolute value of ϕ converges to within 0.1° for all cases.
Figure 27 and Figure 28 show the time histories of the ship’s heave motion and pitch angle θ . There are no notable differences in the heave and pitch responses of the ship among the different cases.

6.4. Practical Considerations for Sail Arrangement Selection

When focusing only on the thrust acting on the wing sails without considering maneuvering motion (including leeway and yaw), the L-shaped and T-shaped arrangements are optimal for relative wind directions of 150° and 180°, respectively [2]. However, when maneuvering motion is considered, resistance due to leeway caused by the lateral force on the sails becomes significant, making the conventional arrangement more advantageous in terms of V alone as confirmed by van der Kolk et al. [16], who investigate a systematic increase in hull resistance with increasing leeway angle.
Table 8 and Table 9 summarize the respective favorable and unfavorable tendencies of Case 1 and Case 2, and Case 3 and Case 4. As a practical application, it is possible to accelerate efficiently up to V   = 2.0 m/s with the conventional arrangement and then switch to the L-shaped arrangement to alter the steady-state leeway direction (and thus the lateral offset) with a limited loss of speed. Similarly, switching to the T-shaped arrangement after efficient acceleration with the conventional arrangement allows for a different steady-state leeway magnitude (larger β ) while maintaining nearly the same speed. Such utilization of the L-shaped and T-shaped arrangements may alleviate the maneuvering difficulties of fully wind-powered ships and suggest that overall voyage efficiency can be improved. It should be noted that the qualitative comparisons in Table 8 and Table 9 are based solely on the present CFD simulations under limited wind and sea-state conditions, and therefore should be interpreted as indicative tendencies rather than general conclusions.

7. Conclusions

Sailing simulations were conducted for a ship equipped with two rigid wing sails and a rudder, propelled solely by wind power, using a CFD method that comprehensively models the hull, rudder, and sails. The simulations covered the transition from a stationary state to a sailing state under different wind directions and sail angles, and the following findings were obtained:
  • For a relative wind direction of approximately 150°, when the aft sail angle is set to 90° to port and the fore sail angle is set to 120° to port relative to the bow, the steady-state ship speed is 0.4 m/s lower and the steady-state drift angle is in the opposite direction compared to the case where the fore sail angle is set to 90° to port.
  • For a relative wind direction of approximately 180°, when the aft sail angle is set to 160° to port and the fore sail angle is set to 90° to port relative to the bow, the steady-state ship speed is 0.2 m/s lower and the steady-state drift angle is larger in the same direction compared to the case where the aft sail angle is set to 90° to port.
  • The hull heel angle may fluctuate by approximately ±0.4° during the initial stage of ship motion, depending on the sail angles. In all four cases, the steady-state hull heel angle converges to within 0.1°.
The utilization of the differences in steady-state ship motion due to the sail angles described in points 1 and 2 contributes to solving one of the challenges of fully wind-powered ships, namely the difficulty of maneuvering.
However, this study has several limitations, including the limited range of wind directions examined, the assumption of calm-water conditions, and the simplified wind profile. Future work should incorporate irregular states and a wider variety of wind environments, including fluctuating and turbulent conditions, as well as experimental investigations, to further enhance the applicability and robustness of the proposed method.

Author Contributions

Conceptualization, A.Y., T.T. and T.K.; methodology, A.Y.; software, A.Y.; validation, A.Y.; formal analysis, A.Y.; investigation, A.Y., T.T. and T.K.; resources, A.Y.; data curation, A.Y.; writing—original draft preparation, A.Y.; writing—review and editing, A.Y., T.T. and T.K.; visualization, A.Y.; supervision, T.T. and T.K.; project administration, A.Y., T.T. and T.K.; funding acquisition, A.Y. All authors have read and agreed to the published version of the manuscript.

Funding

This research received no external funding.

Data Availability Statement

The original contributions presented in the study are included in the article, further inquiries can be directed to the corresponding author.

Acknowledgments

During the preparation of this manuscript, the authors used Microsoft 365 Copilot for the purposes of translation. The authors have reviewed and edited the output and take full responsibility for the content of this publication.

Conflicts of Interest

Author Akane Yasuda is employed by the company Nihon Shipyard Co., Ltd. The remaining authors declare that the research was conducted in the absence of any commercial or financial relationships that could be construed as a potential conflict of interest.

Abbreviations

The following abbreviations are used in this manuscript:
CFDComputational Fluid Dynamics
GHGGreenhouse Gas
IMOInternational Maritime Organization
PIDProportional-Integral-Derivative

References

  1. International Maritime Organization. 2023 IMO Strategy on Reduction of GHG Emissions from Ships; MEPC.377(80); International Maritime Organization: London, UK, 2023; pp. 1–17. [Google Scholar]
  2. Yasuda, A.; Taniguchi, T.; Katayama, T. Numerical Investigation of Aerodynamic Interactions between Rigid Sails Attached to Ship. J. Mar. Sci. Eng. 2024, 12, 1425. [Google Scholar] [CrossRef]
  3. Kume, K.; Hamada, T.; Kobayashi, H.; Yamanaka, S. Evaluation of Aerodynamic Characteristics of a Ship with Flettner Rotors by Wind Tunnel Tests and RANS-based CFD. Ocean Eng. 2022, 254, 111345. [Google Scholar] [CrossRef]
  4. Kramer, J.V.; Steen, S. Sail-induced Resistance on a Wind-powered Cargo Ship. Ocean Eng. 2022, 244, 111688. [Google Scholar] [CrossRef]
  5. Kramer, J.V.; Steen, S. Simplified test program for hydrodynamic CFD simulations of wind-powered cargo ships. Ocean Eng. 2022, 244, 110297. [Google Scholar] [CrossRef]
  6. Li, H.; Kuang, L.; Yang, X.; Tian, Q.; Su, X.; Song, X.; Yang, S.; Wang, Z.; Ma, W. RANSE Simulations for Unmanned Sailboat Performance Prediction: Coupling Aerodynamics and Hydrodynamics in Self-sailing. Ocean Eng. 2024, 308, 118287. [Google Scholar] [CrossRef]
  7. Zhang, R.; Huang, L.; Ma, R.; Peng, G.; Ruan, Z.; Wang, C.; Zhao, H.; Li, B.; Wang, K. Numerical Investigation on the Effects of Heel on the Aerodynamic Performance of Wing Sails. Ocean Eng. 2024, 305, 117897. [Google Scholar] [CrossRef]
  8. Kanai, A.; Ouchi, K.; Yoshimura, Y.; Takasu, S. Model Test and CFD Prediction with a Rigged Sail. In Proceedings of the JASNAOE Annual Spring Meeting, Miyagi, Japan, 26–27 May 2014; pp. 7–10. (In Japanese). [Google Scholar]
  9. Ogiwara, S.; Yamasaki, S.; Yoshimura, Y.; Adachi, H. Ship Performance Design—11th of Marine Engineering Series; Seizando-Shoten Publishing Co., Ltd.: Tokyo, Japan, 2013; p. 153. (In Japanese) [Google Scholar]
  10. NUMECA International. USER GUIDE HexpressTM 10.1-2; Cadence Design Systems, Inc.: San Jose, CA, USA, 2021; pp. 1–362. [Google Scholar]
  11. NUMECA International. USER GUIDE FINETM/Marine 10.1; Cadence Design Systems, Inc.: San Jose, CA, USA, 2021; pp. 1–981. [Google Scholar]
  12. Kume, K.; Ohba, H.; Orihara, H.; Mizokami, S. Wind Velocity Profile and Representative Wind Velocity for Wind Resistance Measurement of Ship Models. J. Jpn. Soc. Nav. Archit. Ocean Eng. 2019, 30, 1–13. [Google Scholar] [CrossRef]
  13. Bordogna, G. Aerodynamics of Wind Assisted Ships—Interaction Effects on the Aerodynamic Performance of Multiple Wind-Propulsion Systems. Ph.D. Thesis, Delft University of Technology, Delft, The Netherlands, 2020. [Google Scholar]
  14. Yasukawa, H.; Hirata, N.; Nakayama, Y.; Matsuda, A. Drifting of a Dead Ship in Wind. Ship Technol. Res. 2023, 70, 26–45. [Google Scholar] [CrossRef]
  15. Yasukawa, H.; Hirata, N.; Yamazaki, Y. Effect of bilge keels on maneuverability of a fine ship. J. Mar. Sci. Technol. 2018, 23, 302–318. [Google Scholar] [CrossRef]
  16. van der Kolk, N.J.; Keuning, J.A.; Huijsmans, R.H.M. Experimental validation of a RANS-CFD methodology for the hydrodynamics of wind-assisted ships operating at leeway angles. Ocean Eng. 2019, 178, 375–387. [Google Scholar] [CrossRef]
Figure 1. Coordinate systems in this study.
Figure 1. Coordinate systems in this study.
Jmse 14 00121 g001
Figure 2. Body plan of the hull.
Figure 2. Body plan of the hull.
Jmse 14 00121 g002
Figure 3. Schematic view of the hull and the two rigid wing sails (left: dimension of the sail, right: position of the sails on the hull).
Figure 3. Schematic view of the hull and the two rigid wing sails (left: dimension of the sail, right: position of the sails on the hull).
Jmse 14 00121 g003
Figure 4. Schematic view of the hull with the rudder and the sails (left: dimension of the rudder, right: position of the rudder on the hull).
Figure 4. Schematic view of the hull with the rudder and the sails (left: dimension of the rudder, right: position of the rudder on the hull).
Jmse 14 00121 g004
Figure 5. Cross-sectional computational grid schematic diagrams for each direction.
Figure 5. Cross-sectional computational grid schematic diagrams for each direction.
Jmse 14 00121 g005
Figure 6. y + distribution on the surface.
Figure 6. y + distribution on the surface.
Jmse 14 00121 g006
Figure 7. Boundary conditions of the computational domain in the case of γ = 150°.
Figure 7. Boundary conditions of the computational domain in the case of γ = 150°.
Jmse 14 00121 g007
Figure 8. Vertical distribution of U A .
Figure 8. Vertical distribution of U A .
Jmse 14 00121 g008
Figure 9. Flowchart of the rudder angle control.
Figure 9. Flowchart of the rudder angle control.
Jmse 14 00121 g009
Figure 10. Sail arrangements for each case.
Figure 10. Sail arrangements for each case.
Jmse 14 00121 g010
Figure 11. The shape of the model for the drift tests.
Figure 11. The shape of the model for the drift tests.
Jmse 14 00121 g011
Figure 12. y + distribution on the surface for the calculation of the comparison.
Figure 12. y + distribution on the surface for the calculation of the comparison.
Jmse 14 00121 g012
Figure 13. Time histories of V comparing model test results by Yasukawa et al. [14] with CFD results.
Figure 13. Time histories of V comparing model test results by Yasukawa et al. [14] with CFD results.
Jmse 14 00121 g013
Figure 14. Time histories of ψ comparing model test results by Yasukawa et al. [14] with CFD results.
Figure 14. Time histories of ψ comparing model test results by Yasukawa et al. [14] with CFD results.
Jmse 14 00121 g014
Figure 15. Time histories of V for each grid in Case 1.
Figure 15. Time histories of V for each grid in Case 1.
Jmse 14 00121 g015
Figure 16. Time histories of δ for Cases 1–4.
Figure 16. Time histories of δ for Cases 1–4.
Jmse 14 00121 g016
Figure 17. Time histories of ψ for Cases 1–4.
Figure 17. Time histories of ψ for Cases 1–4.
Jmse 14 00121 g017
Figure 18. Time histories of V for Cases 1–4.
Figure 18. Time histories of V for Cases 1–4.
Jmse 14 00121 g018
Figure 19. Time histories of the longitudinal force (force in the x -direction) acting on each wing sail for Cases 1 and 2.
Figure 19. Time histories of the longitudinal force (force in the x -direction) acting on each wing sail for Cases 1 and 2.
Jmse 14 00121 g019
Figure 20. Time histories of the longitudinal force (force in the x -direction) acting on each wing sail for Cases 3 and 4.
Figure 20. Time histories of the longitudinal force (force in the x -direction) acting on each wing sail for Cases 3 and 4.
Jmse 14 00121 g020
Figure 21. Time histories of β for Cases 1–4.
Figure 21. Time histories of β for Cases 1–4.
Jmse 14 00121 g021
Figure 22. Time histories of the lateral force (force in the y -direction) acting on each wing sail for Cases 1 and 2.
Figure 22. Time histories of the lateral force (force in the y -direction) acting on each wing sail for Cases 1 and 2.
Jmse 14 00121 g022
Figure 23. Time histories of the lateral force (force in the y -direction) acting on each wing sail for Cases 3 and 4.
Figure 23. Time histories of the lateral force (force in the y -direction) acting on each wing sail for Cases 3 and 4.
Jmse 14 00121 g023
Figure 24. Ship trajectories for Cases 1–4, with ship positions and orientations at t = 100, 200, 300, 400, 500, 1000, and 1500 s.
Figure 24. Ship trajectories for Cases 1–4, with ship positions and orientations at t = 100, 200, 300, 400, 500, 1000, and 1500 s.
Jmse 14 00121 g024
Figure 25. Time histories of ϕ for Cases 1 and 2.
Figure 25. Time histories of ϕ for Cases 1 and 2.
Jmse 14 00121 g025
Figure 26. Time histories of ϕ for Cases 3 and 4.
Figure 26. Time histories of ϕ for Cases 3 and 4.
Jmse 14 00121 g026
Figure 27. Time histories of the ship’s heave motion for Cases 1–4.
Figure 27. Time histories of the ship’s heave motion for Cases 1–4.
Jmse 14 00121 g027
Figure 28. Time histories of θ for Cases 1–4.
Figure 28. Time histories of θ for Cases 1–4.
Jmse 14 00121 g028
Table 1. Nomenclature.
Table 1. Nomenclature.
SymbolUnitDescription
B mship’s breadth
c a msail’s chord length
c r mrudder’s chord length
G -center of gravity
G M mmetacentric height
h a msail’s height
h r mrudder’s height
I x x ,   I y y ,   I z z kg∙m2inertia moment around each axis
K x x ,   K y y ,   K z z mradius of gyration around each axis
L o a mship’s overall length
L r e f mreference length
m kgship’s weight
O -origin
R e -Reynolds number
t stime
u m/sship’s speed in the x -axis direction
U A m/strue wind speed
U A 10 m m/strue wind speed at z 0 = 10 m
U r e f m/sreference speed
v m/sship’s speed in the y -axis direction
V m/sship’s speed
x 0 ,   y 0 ,   z 0 -space-fixed coordinate axis
x ,   y ,   z -ship-fixed coordinate axis
y w a l l mheight of the first cell close to the wall
y + -dimensionless quantity of y w a l l
α 1 °Sail-1’s sail angle
α 2 °Sail-2’s sail angle
β °ship’s drift angle
γ °true wind direction
δ °rudder angle
δ ˙ °/srudder turning rate
Δ t stime step
Δ x mcell size
θ °ship’s pitch angle
ν m2/skinematic viscosity
ϕ °ship’s roll angle
ψ °ship’s heading angle
ψ ˙ °/syaw rate
Table 2. Principal dimensions of the hull.
Table 2. Principal dimensions of the hull.
ItemUnitValue
Length, L o a m150.00
Breadth, B m25.00
Depthm12.50
Draftm8.25
GMm2.24
m kg2.723   × 10 7
Table 3. CFD calculation settings.
Table 3. CFD calculation settings.
ItemSettings
CFD solverISIS-CFD
Time configurationUnsteady
Turbulence model k - ω SST
Free surface treatment methodVOF
Table 4. Settings of γ , α 1 , and α 2 for each Case.
Table 4. Settings of γ , α 1 , and α 2 for each Case.
UnitCase 1Case 2Case 3Case 4
γ °150150180180
α 1 °120909090
α 2 °909016090
Table 5. Principal dimensions of the drifting model [14].
Table 5. Principal dimensions of the drifting model [14].
ItemUnitValue
Length, L o a m3.038
Breadth, B m0.527
Depthm0.236
Draftm0.189
Block coefficient-0.840
Table 6. Number of cells and average V in last 10 s for each grid.
Table 6. Number of cells and average V in last 10 s for each grid.
UnitCoarseBaseFine
number of cellsmillion2.64.06.3
V m/s3.02.52.5
difference relative to the base V -20.2%-0.3%
Table 7. Average V , β , ϕ , ψ , and δ in last 10 s for Cases 1–4.
Table 7. Average V , β , ϕ , ψ , and δ in last 10 s for Cases 1–4.
UnitCase 1Case 2Case 3Case 4
V m/s2.52.92.02.2
β °2.7−4.0−8.8−6.8
ϕ °0.00.10.00.0
ψ °0.4−2.6−0.6−1.1
δ °−1.86.12.23.2
Table 8. Comparison between Case 1 and Case 2 at γ = 150°.
Table 8. Comparison between Case 1 and Case 2 at γ = 150°.
Case 1: L-Shaped ArrangementCase 2: Conventional Arrangement
Favorable tendenciesTends to converge to a positive steady-state drift (leeway) angle ( β > 0), indicating an opposite leeway direction compared with Case 2 under the present conditionsTends to achieve a higher steady-state speed
Unfavorable tendenciesTends to result in a lower steady-state ship speed, likely due to increased leeway-related resistanceTends to converge to a negative steady-state drift (leeway) angle ( β < 0) under the present conditions
Table 9. Comparison between Case 3 and Case 4 at γ = 180°.
Table 9. Comparison between Case 3 and Case 4 at γ = 180°.
Case 3: T-Shaped ArrangementCase 4: Conventional Arrangement
Favorable tendenciesTends to converge to a larger-magnitude steady-state drift (leeway) angle than Case 4 under the present conditionsTends to achieve a higher steady-state speed
Unfavorable tendenciesTends to result in a lower steady-state ship speed, likely due to increased leeway-related resistanceTends to converge to a smaller-magnitude steady-state drift (leeway) angle than Case 3 under the present conditions, which may be unfavorable when a larger leeway magnitude is required
Disclaimer/Publisher’s Note: The statements, opinions and data contained in all publications are solely those of the individual author(s) and contributor(s) and not of MDPI and/or the editor(s). MDPI and/or the editor(s) disclaim responsibility for any injury to people or property resulting from any ideas, methods, instructions or products referred to in the content.

Share and Cite

MDPI and ACS Style

Yasuda, A.; Taniguchi, T.; Katayama, T. Motion Analysis of a Fully Wind-Powered Ship by Using CFD. J. Mar. Sci. Eng. 2026, 14, 121. https://doi.org/10.3390/jmse14020121

AMA Style

Yasuda A, Taniguchi T, Katayama T. Motion Analysis of a Fully Wind-Powered Ship by Using CFD. Journal of Marine Science and Engineering. 2026; 14(2):121. https://doi.org/10.3390/jmse14020121

Chicago/Turabian Style

Yasuda, Akane, Tomoki Taniguchi, and Toru Katayama. 2026. "Motion Analysis of a Fully Wind-Powered Ship by Using CFD" Journal of Marine Science and Engineering 14, no. 2: 121. https://doi.org/10.3390/jmse14020121

APA Style

Yasuda, A., Taniguchi, T., & Katayama, T. (2026). Motion Analysis of a Fully Wind-Powered Ship by Using CFD. Journal of Marine Science and Engineering, 14(2), 121. https://doi.org/10.3390/jmse14020121

Note that from the first issue of 2016, this journal uses article numbers instead of page numbers. See further details here.

Article Metrics

Back to TopTop