Abstract
This work addresses the automatic berthing control problem of underactuated ships under false data injection (FDI) attack, and an event-sampled automatic berthing control scheme is proposed. To avoid the FDI attack signals from entering the closed-loop system through the sensor–controller channel and worsening the berthing control performance as much as possible, a novel event-sampled adaptive neural network state observer is developed, which is independent of the controller. To solve the control design problem of berthing caused by underactuated features, an equivalent motion model of underactuated ships under FDI attack is established by differential homeomorphic transformation. Furthermore, under the backstepping design framework, using the state observer and adaptive neural network technology, a single-parameter learning-based automatic berthing control solution is developed. Meanwhile, to further reduce the network resource consumption and load caused by the transmission of control signals, an event-triggered mechanism for the controller–actuator channel is established. The theoretical analysis by Lyapunov indicates that the constructed closed-loop system for automatic berthing control is stable, and all the signals are bounded. Simulation and comparison are carried out to verify the effectiveness and superiority of proposed control scheme, and the results verify the conclusions and theoretical feasibility of this work.
1. Introduction
Automatic berthing control presents a ship maneuvering and positioning challenge within confined waters. In practice, to achieve the automatic shift berthing, many practical challenges must be overcome, such as precise attitude control, environmental disturbance compensation, trajectory planning and tracking, actuator constraint optimization, berthing contact force control, model uncertainty handling, communication reliability, and so on. However, for automatic berthing control design, the core contradiction for the automatic berthing of ships lies in the confrontation between “high-precision attitude control” and “strong environmental disturbances/model uncertainties” [1], which is also one of the fundamental motivations for this work.
In practical berthing operations, ships often require external propulsion or tug assistance to provide lateral forces/moments for arrival at designated berths [2]. However, most current intelligent ships are underactuated—equipped only with propellers and rudders without dedicated lateral thrusters—making them inherently susceptible to drifting motion [3]. Traditional manual berthing, heavily reliant on the captains’ experience and piloting skills, struggles to mitigate these risks effectively. Relying on tug collaboration is also impractical for autonomous ship berthing [4]. Collectively, these factors render automatic berthing control for underactuated ships highly challenging. Thus, developing advanced techniques for automatic underactuated ship berthing is crucial and urgent. The goal of automatic berthing control is for ships to autonomously reach target berthing positions with zero final velocity and acceleration, achieving desired positions and headings without overshooting. Three primary berthing strategies exist: pre-berth stabilization [5], the direct approach [6], and stabilize-then-align [7]. Ref. [5] indicates that 1.5 times the ship’s length (LBP) is the minimum distance required for safe berthing initiation; stabilization at this point defines the pre-berth stabilization method. Ref. [6] describes the direct approach, using coordinated propeller and bow thruster actions to move the ship directly toward the berth. Conversely, ref. [7] details the stabilize-then-align strategy: employing rudder, propeller, and bow/stern thrusters, the ship first stabilizes position and heading at a transition point outside the berth, aligns parallel to the berth, and finally moves laterally toward it. For underactuated ships lacking lateral thrusters, executing a direct parallel approach is difficult, making stabilize-then-align the generally preferred method.
Currently, most operational vessels are underactuated—lacking dedicated lateral thrusters—and represent typical second-order nonholonomic systems. This inherent underactuation significantly increases system complexity, rendering controllers designed for fully actuated ships largely unsuitable. To address this, Zhang et al. proposed a three-degrees-of-freedom (DOF) berthing control strategy for underactuated ships using simplified backstepping [8]. However, this approach does not account for dynamic uncertainties or environmental disturbances. Subsequently, Liu et al. incorporated neural networks and a minimal learning parameter technique to approximate these unknown dynamics and disturbances, allowing for effective underactuated berthing control of the ship [9]. Furthermore, to mitigate underactuation challenges, References [8,9] employed diffeomorphic transformations to simplify the ship model, effectively eliminating sway velocity influence. The additional control (AC) method [10] is another technique frequently applied to address control design difficulties in the automatic berthing of underactuated ships. While prior research predominantly focuses on control performance issues arising from underactuation and uncertainties, less attention has been paid to challenges caused by abnormal variations in heading and its rate of change during berthing. In practice, complex berthing operations impose stringent requirements on both heading and speed control [11]. Wave-induced disturbances can cause significant heading and speed deviations during berthing, degrading control performance, destabilizing the ship, and potentially causing collisions with the dock or shore [12]. Consequently, constraining ships’ heading and yaw rate is practically essential. For this purpose, the Barrier Lyapunov function (BLF) [13] and prescribed performance control (PPC) [14] have emerged as widely adopted and effective tools. For instance, Liu and Guo et al. successfully applied BLF to constrain heading deviation and achieve automatic berthing control for underactuated vessels [15,16]. Compared to BLF, PPC generally offers a more flexible design process and broader applicability, evidenced by its extensive use across domains. However, its application to automatic berthing control remains relatively unexplored. A key reason is that—from the perspective of relative positioning between an underactuated vessel and the berth—ships must dynamically adjust their approach, potentially compromising standard PPC design effectiveness and indicating that direct application may be infeasible. Notably, all aforementioned control algorithms assume ideal signal transmission conditions. Such ideal communication environments are rarely achievable in practice, inevitably introducing complications like network resource constraints and cyberattacks.
Within established networked environments, automatic berthing control systems inherently rely on shared networks and face significant threats from malicious cyberattacks. While network communication offers advantages, its inherent openness and passive defenses facilitate increasingly stealthy attacks that are difficult to prevent. This poses a serious challenge to the stable operation of automatic berthing systems, particularly in busy ports where attack vectors are growing in sophistication [17]. Common attack types include Denial-of-Service (DoS) [18], replay attacks [19], and False Data Injection (FDI) attacks [20]. Among these, FDI attacks pose a greater threat to ship motion control due to their prevalence, enhanced stealth (making detection by anomaly detectors difficult), targeted and disruptive impact, and the inherent difficulty in compensating for them within ship control designs. Consequently, designing secure control schemes to specifically counter FDI attacks for underactuated ship automatic berthing systems is critically important. To address control design challenges under FDI attacks, methods like resilient control [21], adaptive control [22], and sliding mode control (SMC) [23] have been widely applied. He et al. investigated a resilient predictive control strategy for defending against FDI attacks [21]. Yang et al. proposed an adaptive control scheme under FDI attacks, incorporating a novel feedback sigmoid function [22]. Subsequently, Xue et al. developed an adaptive sliding mode controller to handle FDI attack behavior [23]. However, the approaches in Refs. [21,22,23] assume fully known system models, making them unsuitable for complex underactuated ship systems. Addressing this, Ren et al. introduced fuzzy logic systems, proposing a fuzzy adaptive resilient control scheme to tackle FDI attacks in cyber–physical systems (CPSs) with unknown nonlinear dynamics [24]. Zhang and Fan et al. explored adaptive neural network control for CPSs suffering from unknown nonlinearities and FDI attacks, utilizing novel Nussbaum functions to handle the unknown time-varying state feedback gains caused by the attacks [25,26]. These methods have subsequently been extended and applied in various control domains such as trajectory/path following, heading control, cooperative control, and dynamic positioning. For instance, Wu and Chen et al. addressed trajectory and path following control for unmanned surface vessels (USVs) under FDI attacks [27,28]. Zhu et al. designed a defense strategy for distributed networked USV formation control under FDI attacks targeting hybrid communication channels [29]. Zhang et al. studied heading control for USVs under FDI attacks, achieving satisfactory performance [30]. Notably, these studies primarily focus on fully actuated ships and assume attacks are injected solely into the controller–actuator (C-A) channel. In reality, the automatic berthing control relies heavily on sensor data (position, heading, speed), which are also prime targets for attacks. Therefore, researching FDI attacks targeting the sensor–controller (S-C) channel is equally vital. Such attacks in the S-C channel generally manifest in two forms: targeting position/attitude or velocity. From a control design perspective, FDI attacks on position/attitude states introduce significant uncertainty that cannot be directly compensated for within the controller. The concept of event-triggered control (ETC) has garnered significant attention as a potential solution [31]. ETC ensures sampling occurs only when predefined conditions are met, effectively preventing corrupted position sensor signals from entering the control loop and thereby enhancing overall berthing performance. Ref. [31] further proposed a bidirectional event-triggering protocol, achieving path-following control for underactuated USVs in the horizontal plane. For FDI attacks targeting velocity states, observer-based control methods are prominent. Their key advantage lies in estimating or reconstructing accurate velocity information to ensure proper system operation [32,33]. Zhang et al. designed an extended state observer to estimate unmeasured velocities, enabling trajectory tracking and stabilization control for USVs [32]. Further advancing this, Deng et al. [33] proposed a neural network-based adaptive observer control method that not only recovers unmeasured velocities for USVs but also compensates for internal uncertainties. Critically, however, the observers in Refs. [32,33] are specifically tailored for fully actuated ships. Therefore, ensuring the berthing safety and stability of underactuated vessel control systems under malicious FDI attacks remains a pressing challenge.
As for the analysis above, this work investigates an automatic berthing control method for underactuated ships under FDI attacks in the S-C channel. To address controller design infeasibility caused by abrupt signal corruption from FDI-induced position/heading measurement jumps, one establishes a dynamic transmission mechanism between S-C position channels. This mechanism incorporates a non-periodic event sampling mechanism driven by ship position and heading measurement errors, simultaneously reducing network traffic and blocking attack signals from entering the closed-loop system. Concurrently, to compensate for compromised velocity signals, we design a novel adaptive neural network state observer for velocity reconstruction. Furthermore, a dual-channel event-triggered protocol integrating sensing, control, and actuation is implemented to minimize network transmission resources and alleviate bandwidth constraints. The synthesized event-triggered berthing control scheme enables underactuated ships to autonomously complete berthing operations while advancing networked control paradigms for autonomous berthing systems. The main contributions of this work are summarized as follows:
- A new adaptive neural network state observer is proposed, which achieves decoupling design with the controller and only relies on the sampled signals of the position and heading information of ships.
- For the automatic control system under FDI attack, an event-sampled berthing control scheme is developed for the first time, which only relies on the ship’s position and heading data.
2. Problem Formulation and Preliminaries
2.1. Problem Formulation
In general, the movement of the ship’s horizontal plane only considers three degrees of freedom, namely, heave, sway, and yaw. In this regard, the motion model of an underactuated ship can generally be described by the following dynamic equations [34].
where is the attitude vector for the position and heading of ships, is the velocity vector, including the surge velocity, the sway velocity, and the yaw rate of the ship, is the vector of control input, is the vector of disturbance of the marine environment caused by wind, waves, and currents, and is the rotation matrix, which is given by
and it is a feature of . M is the inertial matrix, is the Coriolis and centripetal force matrix, is the damping matrix, and is the unknown nonlinear part.
As shown in Figure 1, during the operation of ships, the cooperation and information transmission of all physical components rely on the network. In the berthing control system of an underactuated ship, sensors collect real-time status information and on ships and transmit it to the controller to construct control commands. However, when the S-C channel of the control system is subjected to FDI attack, the data collected by the sensors is prone to being tampered with or damaged. Moreover, due to the inherent physical limitations of sensor equipment, it is difficult to detect and identify FDI attack signals in real time and accurately, and it is unable to accurately measure and transmit correct status information. As a result, the controller receives incorrect attitude and speed data and , and generates incorrect control commands, preventing the actuators from being able to correctly manipulate the ship to complete the berthing task, thereby reducing the reliability and safety of the berthing system. Therefore, this work mainly discusses how to ensure that underactuated ships can safely and stably complete berthing operations when the S-C channel of the control system is subjected to FDI attack.
Figure 1.
The schematic diagram for the auto-berthing control system under FDI attack in the S-C channel.
To reduce the data transmission situation of FDI attacks in the S-C channel, weaken the interference of attack signals to the system, and improve the stability of the system, only the ship’s position and heading data signals are used in the control design. In this paper, the attacked position and heading signals are described as
where is the vector of the attacked position and heading of ships, and represents time-varying FDI attack signals.
Remark 1.
During the berthing operation stage, ships are subject to the combined influence of various complex factors such as port conditions, meteorology, hydrology, and network attacks. Moreover, due to the physical limitations of sensors themselves, it is difficult to obtain accurate speed information. In this case, if the forged or incorrect ship speed information is directly used in the controller design stage, it is easy to cause sudden changes in other state information of the ship, making it impossible for the ship to maintain the predetermined attitude and heading, resulting in a decline in berthing accuracy and stability, and seriously affecting berthing safety. Therefore, to prevent FDI attack signals from entering the design of the berthing controller through the S-C speed channel, a state observer is subsequently selected to estimate the real speed data of the vessel online. For details, please refer to the subsequent design.
Since automatic berthing control requires precise position information to ensure that ships dock accurately in designated berths, position information after being attacked by FDI lacks reliability and cannot be used directly in controller design. Therefore, to minimize the entry of FDI attack signals into the closed-loop system, the idea of event triggering is introducedin this work, i.e., the following event-sampled mechanism (ESM) with the error between the ship attitude (ship position and heading) and the berth as the driving condition is developed in the S-C channel:
where (t) represents the sampled position/heading information, represents the sampling error, ιη,i is the design constant, and is the sampling instant.
In addition, due to the constraint of network bandwidth, the problem of restricted network resources is also an inevitable factor. Therefore, from the perspective of system control design, the measurement error (the error between the calculated value of the control command and its sampled value) is adopted as the trigger driving condition to establish the ETM of the C-A channel, which is designed as
where represents the design value input by the controller, represents the measurement error, is the design constant, and is the trigger instant.
To facilitate the control of design and analysis, the following assumptions are presented.
Assumption 1.
The nonlinear term is unknown.
Assumption 2.
The disturbance term is bounded, i.e., it satisfies , with being an unknown constant.
Assumption 3.
The sway velocity v is passive and bounded.
Assumption 4.
The target berth and heading are constant.
Assumption 5.
The attack signal and its derivatives are bounded, and satisfy with and . In addition, an unknown constant satisfies .
Remark 2.
According to Equation (3), if , one has . In this case, the position status signal is completely cancelled out, and there is no position information available for the design of the system controller. As a result, the berthing control system is uncontrollable. For ease of understanding, the control design principle is shown in Figure 2.
Figure 2.
Control scheme design schematic.
Control objective: Under Assumptions 1–5, for the berthing control problem of the underactuated ship motion model described by Equation (1), one designs adaptive neural network control laws and to enable the underactuated ship to operate normally from the specified initial position and dock at the target berth, and all signals in the berthing closed-loop system are bounded.
2.2. Preliminaries
Lemma 1 ([19]).
For any given nonlinear function , there exists a radial basis function neural network (RBF NN) such that the following equation holds
where is the input of RBF NN, is the ideal weight vector satisfying , with being a constant, and is the basis function satisfying , with q being the node number, and ε is the approximate error, which satisfies , with being an unknown constant.
Lemma 2 ([35]).
For a given nonlinear system , , if there exists a function with continuous first-order derivatives where satisfies and and as , one can say that the system is stable.
Lemma 3 ([20]).
For any real number a, b and a normal numberϵ, the following inequality holds
where m and n are real numbers greater than 1 and satisfy .
2.3. Performance Function
Definition 1 ([36]).
A continuous function is termed a performance function if it meets the following criteria:
- Strictly Positive: for all .
- Non-Increasing: Its derivative satisfies .
- Converges to Positive Limit: .
The most commonly used performance function has the form
where , and k are positive constants.
Definition 2 ([18]).
A performance function is a continuous function such that
- ;
- ;
- .
then is called a predefined-time performance function. The form is as below
where ℏ, ℓ, , and are design parameters.
3. Control Design and Stability Analysis
3.1. State Observer Design
Under the network environment, to prevent FDI attack signals from entering the control system through the speed channel, a new adaptive neural network state observer is designed to reconstruct the speed information. First, the estimation errors of x, y, and are defined as
where , , and are the estimation of x, y, and , respectively, which are generated by
and,
where , , , , , and are design constants; , , and are intermediate variables, which are generated by
Here, , , and ; is the estimation of , and the estimation is . Furthermore, one defines the estimation error of velocity as , and . From Equations (10)–(13), one can get
where , , and . According to Equations (1) and (10)–(13), the adaptive laws of the weight of neural networks can be designed as
Furthermore, according to the dynamic error of the state observer, the following form of Lyapunov function is constructed
Using Lemma 3, one can get
Substituting inequality Equation (18) into Equation (17) yields
If , , , , , , , , and all are positive and satisfy the following relationship
using Equation (20), the following inequality holds
where
From Equation (21), one has . As , . Thus, is uniform bound, i.e., the dynamic errors of the state observe , , , , and are bounded.
Remark 3.
From Equations (11)–(13), one can find that the state observer only relies on the intermittent position and heading data. In addition, from the stability analysis one can see that, the state observer is independent of the design of control law, which achieves the decoupling of control and state estimation, and to a certain extent, it reduces the influence of control on the state estimation. In the existing literature, this observer is novel and is the first of its kind.
3.2. Control Law Design
To facilitate the design and analysis of output feedback control law, the differential diffeomorphism transformation is utilized to solve the design problems caused by the underactuation characteristics. Following that, the following equivalent motion model of underactuated ships under FDI attack is established
where is the attacked position information, and is the attacked heading information.
To eliminate the influence of the sway velocity v, one defines the vector with
According to reference [37], one can get
According to the underactuated feature of ships, the design of berthing control can be carried out for the surge and yaw channels as follows
Step 1: Control law design
Let and . Using Equation (27) yields
According to Equation (29) and the backstepping design framework, one defines the error variable as
where is the desired heading angle, and is the filtered version of virtual control law. Here, the first-order filter is
where is the time constant, and the filter error is . Differentiating yields
where is a continuous bounded function satisfying with being constant.
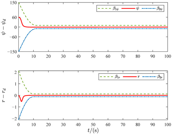
When the S-C channel of the berthing control system is attacked by FDI, the position and velocity information of ships is prone to being tampered with or even lost, and the data jumps, causing the berthing control system to execute incorrect commands. As a result, abnormal deviation or loss of control of the ship’s heading and velocity leads to a decline in system performance. Therefore, it is considered to impose constraints on the yaw and yaw rate to prevent the ship from yawing.
To implement the constraint on the heading, the following transformation is established
Differentiating yields
where and .
Constructing the following Lyapunov function
From Equations (29) and (30), one has and . Furthermore, differentiating and using Equation (34) yields
According to Equation (36), the virtual control law can be designed as , with being the design constant. Substituting into Equation (36) yields
Furthermore, to constrain the yaw rate r, one has
Differentiating Equation (38) yields
where , , and .
Construct the following Lyapunov function:
Differentiating Equation (40) and using Equations (29), (37), and (39) yields
where . Let
where . Here, one reconstructs the unknown term using RBFNN technology. According to Lemma 2, one has
Here, the following transformation is carried out using the single-parameter learning method
where and .
Thus, from Equation (41), one designs the control law
with adaptive law
where , and are design constants.
Step 2: Control law design
Let and . Recalling Equation (27), one has
Before the design process, one defines the following error variables
where , with being the desired berth, is the desired heading, is the desired velocity, and is the filter version of the virtual control law generated by the following filter
where is the time constant, and the filter error is , with .Then, the derivative of is
where is a continuous bounded function satisfying , with being a constant.
Construct the following Lyapunov function:
From Equation (53), one design the virtual control law , where is a design constant. Using Equation (53), one has
Constructing the following Lyapunov function
Differentiating Equation (55), and using Equations (48), (49), and (54), one has
Here, is the unknown item of the model part.
With the aid of single-parameter learning method, one has
where , , and . Furthermore, one can obtain
From Equation (60), one can design the control law
and the adaptive laws
where , , , , and are design constants.
3.3. Stability Analysis
According to the above control design and analysis, one summarizes the following Theorem.
Theorem 1.
For the berthing control issue of underactuated ships described by Equation (1) with dynamic uncertainty, unknown environmental disturbances, and the adverse effects of FDI attack, under Assumptions 1–5, based on the designed berthing control laws, Equations (46) and (61), and the adaptive laws, Equations (47) and (62), the following statements can be held: (1) The ship can be stabilized at the target berth point. (2) All signals in the berthing closed-loop system are bounded. (3) The ESM Equation (4) and ETM Equation (5) will not exhibit the Zeno phenomenon.
Proof.
For the whole closed-loop control system, one constructs the following Lyapunov function
Using Lemma 4, one gets
Solving (62), one has
From Equation (68) and Lemma 2, one can see that is uniform and bounded. Following that, using Equations (29), (48), and (63), one finds that , , , and () are also bounded. Furthermore, according to Equation (24), the boundedness of u, r, and , as well as x and y, satisfies , which implies that x and y are bounded. Thus, all signals in the berthing closed-loop system are bounded, i.e., the states of berthing ships are convergent, and the berthing closed-loop system is stable.
It is now demonstrated that the output feedback control scheme for the event-sampled automatic berthing control of underactuated ships can effectively eliminate the Zeno phenomenon. The specific process is as follows:
From , , and , one can get
In the previous analysis, we established the boundedness of u, v, r, and , which implies that is also bounded, i.e., there exists a constant such that can be held. In addition, according to ESM Equation (4), one has . Thus, one can get , which means that there must be a constant satisfying , i.e., the Zeno phenomenon does not occur, caused by the ESM Equation (4). According to Equations (46) and (61), one has proved that is a differentiable function. In addition, one has proved that all signals in the berthing closed-loop control system are bounded, which implies that is bounded by , with being a constant, i.e., . Similar to ESM (4), one has from ETM Equation (5), which means that is true, and . Thus, the Zeno phenomenon does not occur caused by the ETM Equation (5). □
4. Simulation and Analysis
To verify the effectiveness of the control strategies mentioned above, the “Cyber ship I” model ship is still selected for the starboard berthing simulation test, and the specific parameters of the model ship can be found in [34]. In the simulation, the initial value of berthing is taken as , with L being the length of the ship, = 60°, and . The target berth is and the target heading is . In addition, to meet the actual berthing requirements, the heading angle and yaw rate of ships are, respectively, limited to between 10° and rad/s. The design constants of the ontroller are taken as , , , , , , , , , , , , , , , , , , and .
In the simulation, the external environmental disturbance is set as , and the attack signal is set as .
To further highlight the superiority of the event-sampled control scheme designed in this work, we propose conductinga comparative experiment between it and the continuous control algorithm (ANNC) in [15] under an ideal signal transmission environment. To ensure the fairness and rationality of the simulation results, the initial state and related simulation parameters of the ship system model are the same as those shown in Figure 2. The simulation results are shown in Figure 3, Figure 4, Figure 5, Figure 6, Figure 7, Figure 8, Figure 9, Figure 10, Figure 11 and Figure 12.
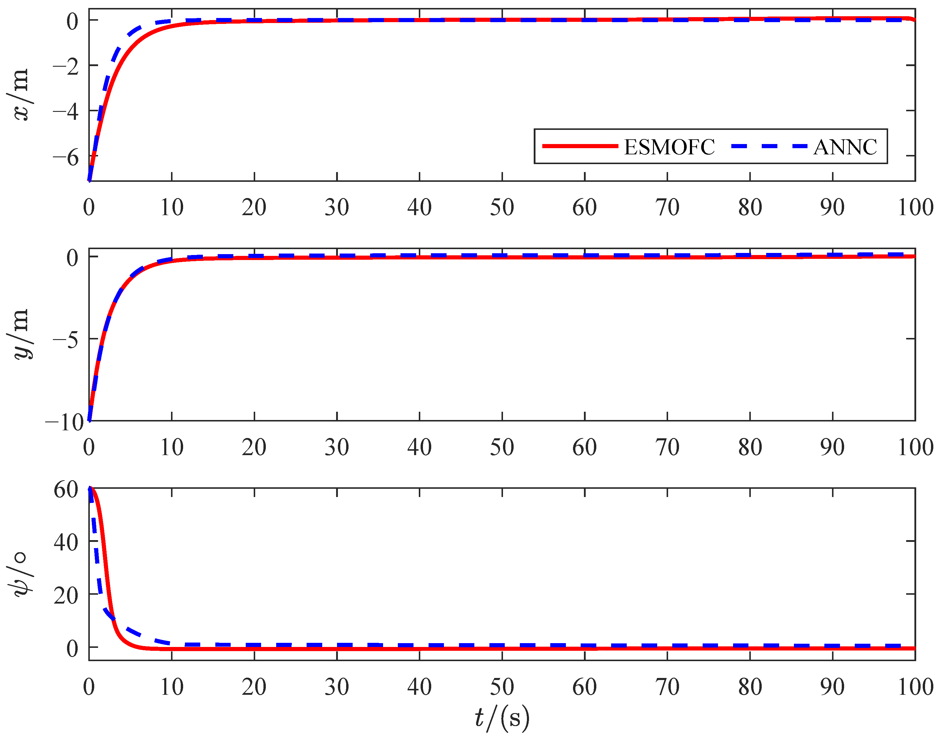
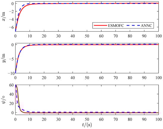
Figure 3.
The actual position of ships.
Figure 4.
The actual velocities of ships.
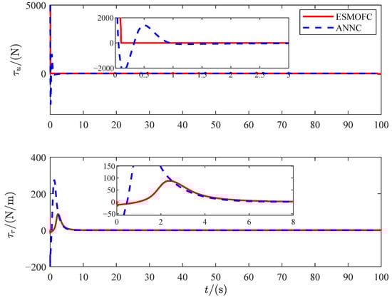
Figure 5.
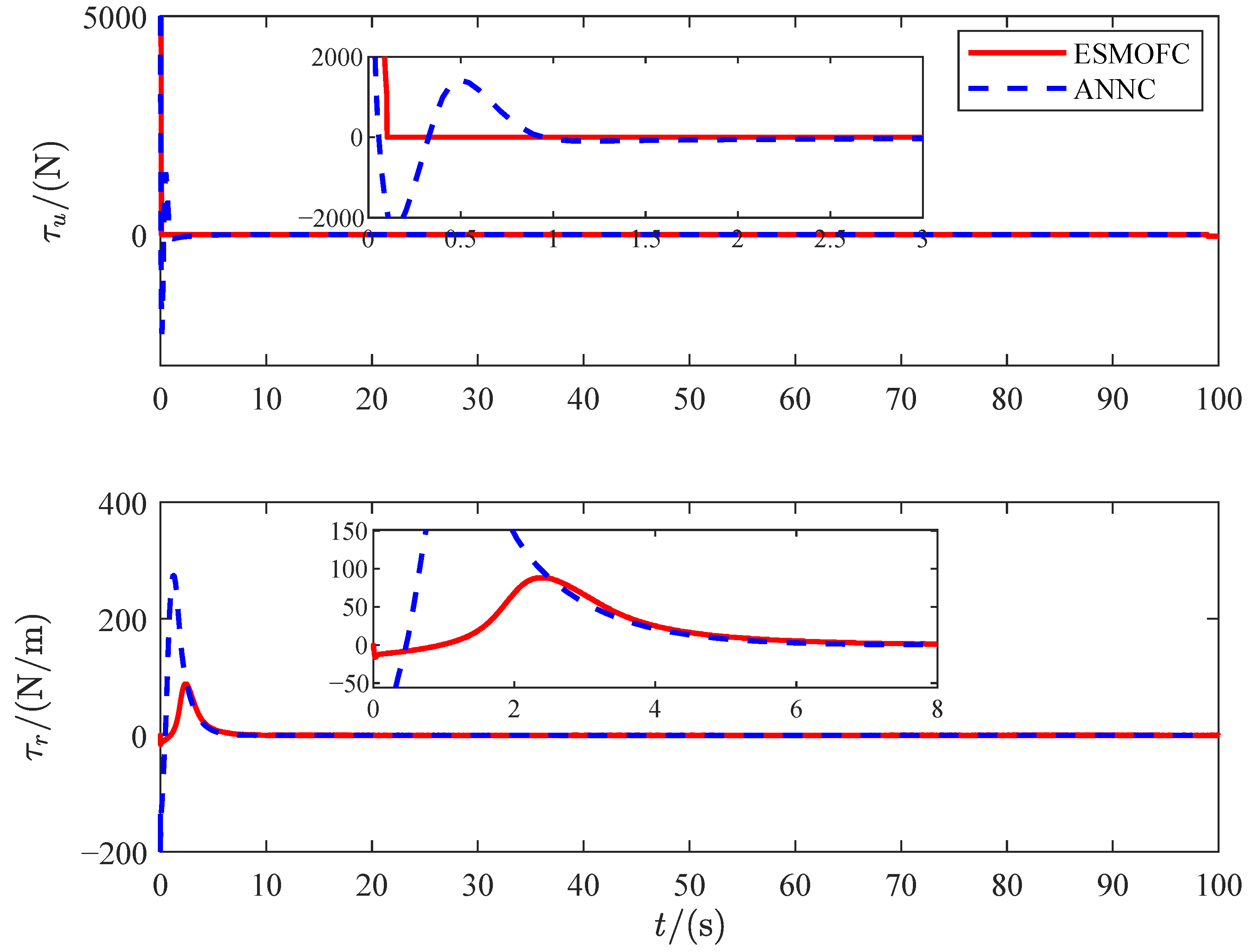
The control input.
Figure 6.
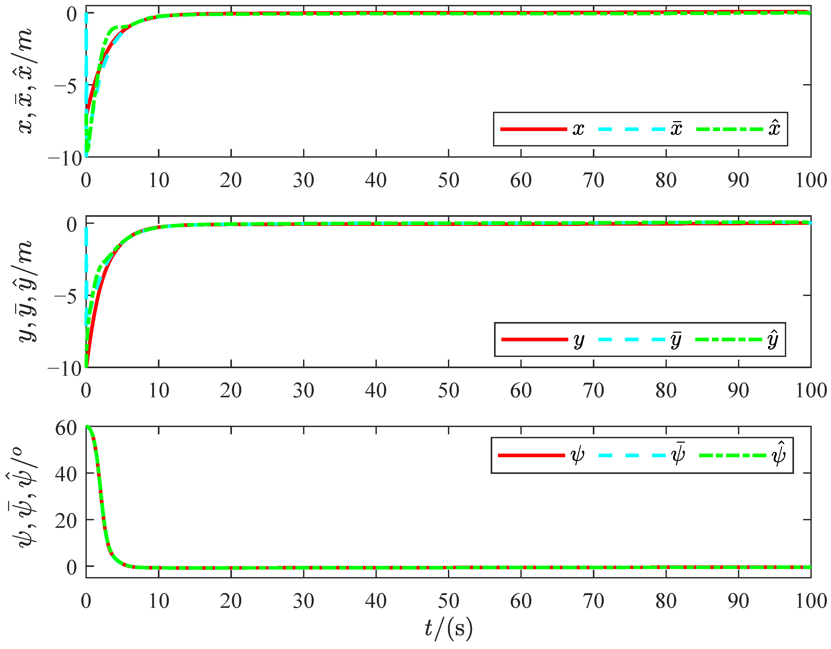
Comparison of the ship’s position.
Figure 7.
The actual and estimated value of the velocities of ships.
Figure 8.
The adaptive parameters.
Figure 9.
The norm of the neural network weight vector.
Figure 10.
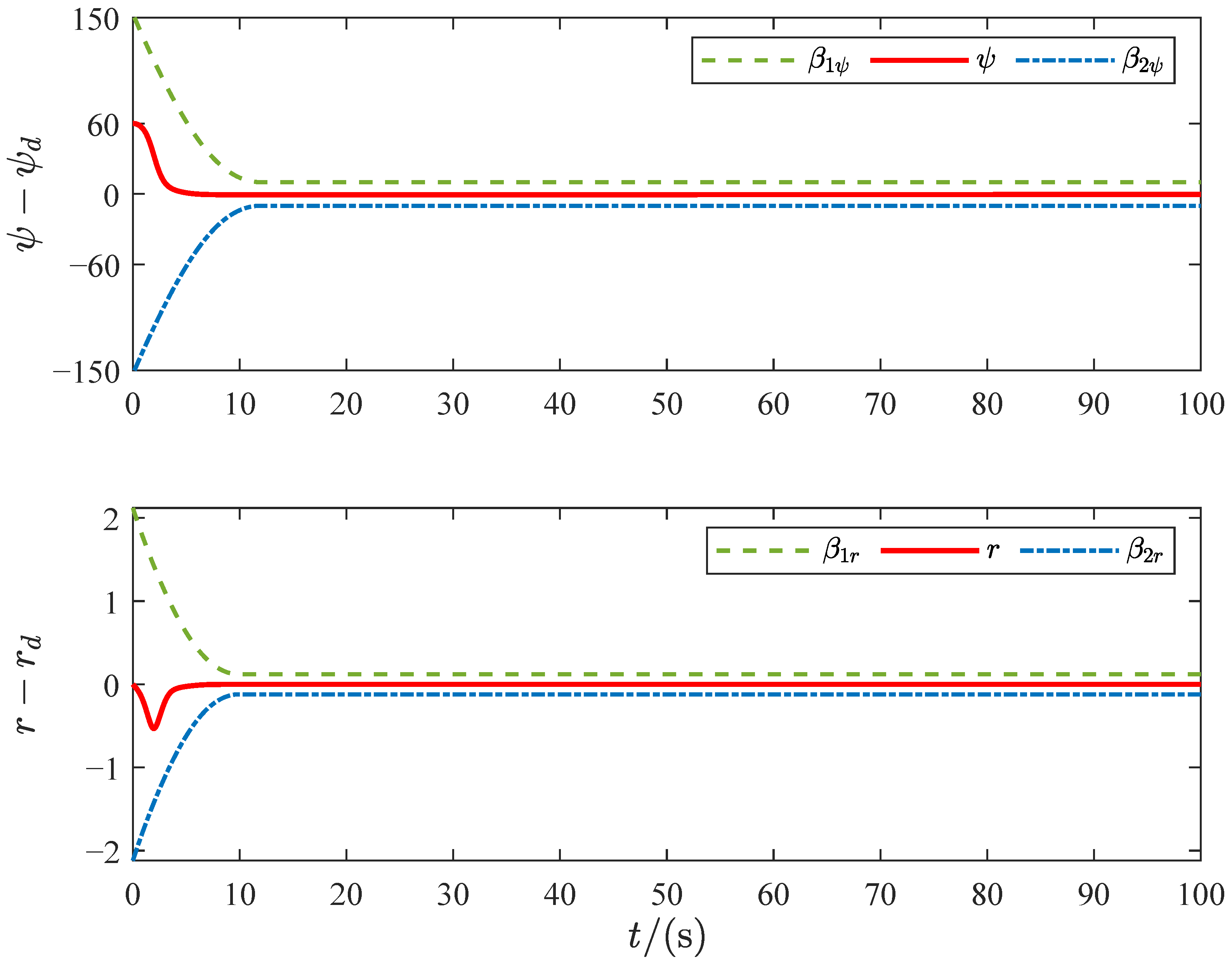
The heading error and yaw rate error .
Figure 11.
The event-sampled time interval of the position channel.
Figure 12.
The event-triggered time interval in the C-A channel.
Figure 3 and Figure 4 compare the actual position and speed of the ship. The results show that there is no significant difference in berthing time between the ship positions under the two schemes. Both reach the target point within about 10s and remain stable throughout the subsequent period. However, under the ESM scheme, the heading stabilizes to 0 at 8 s, while under the ANNC scheme, it tends to 0 at 10 s. In contrast, the yaw angle under the ESM control scheme converges more rapidly in the X-Y direction and tends to be more stable within the specified time. Furthermore, the speed change processes under the two schemes are similar; that is, both the speed and the sum show a trend of first increasing and then decreasing. Under the ESM scheme, u rapidly reaches the maximum value of 5.1 m/s at the beginning and drops to the expected value of 0 m/s at 10 s, then v reaches the maximum value of 1.1 m/s at 3 s, and drops to 0 m/s at 15 s. Meanwhile, the yaw speed curves under the two schemes show a trend of first decreasing and then increasing, and the one under the ESM scheme tends to zero in around 8 s. In contrast, under the ANNC scheme, the overshoot of the surge, sway, and yaw rate is too large. Figure 6 shows the time history curves of the actual control inputs and . The results indicate that the control inputs under the control laws Equations (46) and (61), as well as the ETM Equation (5), are bounded and reasonable. Meanwhile, although the longitudinal thrust and the moment under the ANNC scheme are greater than those under the ESM scheme, both can converge to 0 and are also bounded and reasonable. In summary, combined with Figure 3, Figure 4 and Figure 5, it can be seen that the ESM scheme proposed in this chapter for when the S-C channel is subject to FDI attacks does not show a significant difference in berthing effect compared with the ANNC scheme in an ideal environment. Therefore, it further verifies the superiority of the proposed control strategy.
Figure 6 presents a comparison chart of the actual position of the ship, the sampling position, and the estimated position of the observer. Figure 7 shows a comparison chart of the real speeds of ships. As can be seen from the figure, they are all bounded and reasonable. Figure 9 presents the diachronic curve of the velocity estimation error . The results show that the error between the estimated speed and the actual speed gradually approaches zero and eventually stabilizes around the zero value. Figure 8 shows the curve graph of the adaptive parameter estimates and , which are bounded. Figure 9 shows the norm values of the weight vectors of the state observer neural network. It can be seen that the norms of estimation values , , and all converge to a value tending towards 0, which indicates the boundedness of the adaptive update law. Figure 10 presents the diachronic curves of the error between the heading and yaw rate r of ships and their expected values. The results show that the heading and velocity r of the ship can be maintained within the prescribed constraint area. Therefore, the FDI attack signal solution proposed in this work can ensure the berthing tasks of underactuated vessels. Figure 11 compares the signal trigger times of and under ESM and continuous control schemes, and implies that the number of transmissions is significantly reduced, effectively lowering the update frequency of control signals and alleviating the network. Figure 12 shows the update time intervals of control commands and under the ETM scheme. The results show that the trigger time interval of and is bounded, which can prevent the occurrence of Zeno behavior.
According to the simulation results in Figure 3, Figure 4, Figure 5, Figure 6, Figure 7, Figure 8, Figure 9, Figure 10, Figure 11 and Figure 12, it can be known that the output feedback berthing control scheme based on event sampling proposed in this paper has strong robustness and adaptive ability for the uncertainties inside and outside the ship. It can effectively suppress the interference of FDI attacks in the S-C channel to the system, reduce the waste of network resources, and achieve a satisfactory berthing effect.
5. Conclusions
This work developed an ESM automatic berthing control strategy for the berthing control issue of underactuated ships under FDI attack. To minimize the deterioration of control performance by FDI attack signals entering the closed-loop system, an event-sampled adaptive neural network state observer is designed, where a non-periodic event-sampling in the position channel is implemented, and mitigates stability degradation from position FDI attacks. By means of differential homeomorphic transformation, an equivalent motion model of underactuated ships considering FDI attack is established. On this basis, by using the designed observer, adaptive neural network technology, and the preset performance control method under the backstepping design framework, a new nonlinear error transformation is proposed to constrain the bow direction and yaw rate of the ship, and an automatic berthing control solution with offline predefined performance is developed. Meanwhile, to further reduce the network resource consumption and load caused by the transmission of control signals, an ETM in the C-A channel is established. The entire design implements integrated S-C and C-A dual-channel triggering, which alleviates network bandwidth constraints. Lyapunov-based stability analysis proves that the uniform ultimate boundedness of all closed-loop signals is ensured. The simulation test also proved that this scheme is effective, and the results imply that the developed control scheme can force underactuated ships to complete berthing operations and reduce the impact of FDI attacks on berthing tasks in practical engineering applications, and has good control performance.
It should be pointed out that, to avoid the FDI attack signals from entering the closed-loop system through the sensor–controller channel and worsening the berthing control performance as much as possible, the event-sampled mechanism is used to sample the position and heading data. In this context, some position and heading data must inevitably be lost, which could lead to the degradation of control performance. To improve control performance, further work is needed to develop a novel algorithm to compensate for the signal loss caused by the event-sampled mechanism.
Author Contributions
Conceptualization, F.X. and G.Z.; methodology, P.Z. and C.L.; software, P.Z. and C.L.; validation, P.Z., F.X., C.L., and G.Z.; formal analysis, P.Z., F.X., C.L., and G.Z.; investigation, P.Z., F.X., C.L., and G.Z.; resources, F.X. and G.Z.; data curation, F.X. and G.Z.; writing—original draft preparation, P.Z., F.X., C.L., and G.Z.; writing—review and editing, F.X., C.L., and G.Z.; visualization, F.X. and G.Z.; supervision, F.X. and G.Z.; project administration, F.X. and G.Z.; funding acquisition, F.X. and G.Z. All authors have read and agreed to the published version of the manuscript.
Funding
This research was funded by National Key R&D plan 2023YFB4302300.
Data Availability Statement
The original contributions presented in this study are included in the article. Further inquiries can be directed to the corresponding author.
Conflicts of Interest
All authors declare no conflicts of interest.
References
- Peng, Z.; Wang, C.; Yin, Y.; Wang, J. Safety-certified constrained control of maritime autonomous surface ships for automatic berthing. IEEE Trans. Veh. Technol. 2023, 72, 8541–8552. [Google Scholar] [CrossRef]
- Sawada, R.; Hirata, K.; Kitagawa, Y.; Saito, E.; Ueno, M.; Tanizawa, K.; Fukuto, J. Path following algorithm application to automatic berthing control. J. Mar. Sci. Technol. 2021, 26, 541–554. [Google Scholar] [CrossRef]
- Chen, G.; Ding, C.; Yin, J.; Zhu, H.; Li, Y. Study on automatic berthing of large under-actuated vessel with multi-tug collaboration. Ocean. Eng. 2025, 325, 120709. [Google Scholar] [CrossRef]
- Liu, H.; Peng, Z.; Gu, N.; Wang, H.; Liu, L.; Wang, D. Collision-free automatic berthing of maritime autonomous surface ships via safety-certified active disturbance rejection control. ISA Trans. 2024, 148, 24–31. [Google Scholar] [CrossRef]
- Ahmed, Y.; Hasegawa, K. Automatic ship berthing using artificial neural network trained by consistent teaching data using nonlinear programming method. Eng. Appl. Artif. Intell. 2013, 26, 2287–2304. [Google Scholar] [CrossRef]
- Park, J.; Kim, N. Design of an adaptive backstepping controller for auto-berthing a cruise ship under wind loads. Int. J. Nav. Archit. Ocean. Eng. 2014, 6, 347–360. [Google Scholar] [CrossRef]
- Tran, V.; Im, N.K. A study on ship automatic berthing with assistance of auxiliary devices. Int. J. Nav. Archit. Ocean. Eng. 2012, 4, 199–210. [Google Scholar] [CrossRef][Green Version]
- Zhang, Y.; Zhang, M.J.; Zhang, Q. Auto-berthing control of marine surface vehicle based on concise backstepping. IEEE Access 2020, 8, 197059–197067. [Google Scholar] [CrossRef]
- Liu, Y.; Im, N.K. Event-triggered auto-berthing finite-time control for underactuated surface vessel. IEEE Access 2022, 10, 131867–131875. [Google Scholar] [CrossRef]
- Zhang, Q.; Zhu, G.B.; Hu, X.; Yang, R.M. Adaptive neural network auto-berthing control of marine ships. Ocean. Eng. 2019, 177, 40–48. [Google Scholar] [CrossRef]
- Han, S.; Wang, Y.; Wang, L.; He, H. Automatic berthing for an underactuated unmanned surface vehicle: A real-time motion planning approach. Ocean. Eng. 2021, 235, 109352. [Google Scholar] [CrossRef]
- Sawada, R.; Hirata, K.; Kitagawa, Y. Automatic berthing control under wind disturbances and its implementation in an embedded system. J. Mar. Sci. Technol. 2023, 28, 452–470. [Google Scholar] [CrossRef]
- Tee, K.P.; Ge, S.S.; Tay, E.H. Barrier Lyapunov functions for the control of output-constrained nonlinear systems. Automatica 2009, 45, 918–927. [Google Scholar] [CrossRef]
- Zhu, G.; Ma, Y.; Li, Z.; Malekian, R.; Sotelo, M. Adaptive neural output feedback control for MSVs with predefined performance. IEEE Trans. Veh. Technol. 2021, 70, 2994–3006. [Google Scholar] [CrossRef]
- Liu, Y.; Im, N.-k.; Zhang, Q.; Zhu, G. Adaptive auto-berthing control of underactuated vessel based on barrier lyapunov function. J. Mar. Sci. Eng. 2022, 10, 279. [Google Scholar] [CrossRef]
- Guo, G.; Zhang, P. Asymptotic stabilization of USVs with actuator dead-zones and yaw constraints based on fixed-time disturbance observer. IEEE Trans. Veh. Technol. 2020, 69, 302–316. [Google Scholar] [CrossRef]
- Yang, X.; Hao, L.Y.; Xiao, Y.; Li, T. Lyapunov matrix-based adaptive resilient control for unmanned marine vehicles with sensor and thruster attacks. ISA Trans. 2024, 153, 70–77. [Google Scholar] [CrossRef]
- Zhu, G.; Wu, C.; Ma, Y.; Hu, S. Resource-constrained adaptive neural output feedback security control for networked USVs under dual-channel malicious attacks. IEEE Trans. Veh. Technol. 2025, 74, 10109–10121. [Google Scholar] [CrossRef]
- Zhu, G.; Xu, Z.; Gao, Y.; Yu, Y.; Li, L. Periodic event-triggered adaptive neural output feedback tracking control of unmanned surface vehicles under replay attacks. Eng. Appl. Artif. Intell. 2025, 146, 110237. [Google Scholar] [CrossRef]
- Wu, C.; Zhu, G.; Liu, Y.; Li, F. Self-triggered adaptive neural control for USVs with sensor measurement sensitivity under deception attacks. J. Field Robot. 2025, 42, 153–168. [Google Scholar] [CrossRef]
- He, N.; Ma, K.; Li, P. Resilient predictive control strategy of cyber-physical systems against FDI attack. IET Control Theory Appl. 2022, 16, 1098–1109. [Google Scholar] [CrossRef]
- Yang, Y.; Huang, J.; Su, X.; Deng, B. Adaptive control of cyber-physical systems under deception and injection attacks. J. Frankl. Inst. 2021, 358, 6174–6194. [Google Scholar] [CrossRef]
- Xue, Y.; Ren, W.; Zhang, B.; Han, J. Event-triggered adaptive sliding mode control of cyber-physical systems under false data injection attack. Appl. Math. Comput. 2022, 433, 127403. [Google Scholar] [CrossRef]
- Ren, X.; Yang, G. Adaptive control for nonlinear cyber-physical systems under false data injection attacks through sensor networks. Int. J. Robust Nonlinear Control 2020, 30, 65–79. [Google Scholar] [CrossRef]
- Zhang, Q.; He, D. Adaptive neural control of nonlinear cyber-physical systems against randomly occurring false data injection attacks. IEEE Trans. Syst. Man Cybern. Syst. 2023, 53, 2444–2455. [Google Scholar] [CrossRef]
- Fan, X.; Tong, S. Fuzzy adaptive resilient decentralized control of nonlinear interconnected cyber-physical systems under false data injection attacks. Appl. Math. Comput. 2024, 469, 128531. [Google Scholar] [CrossRef]
- Zhu, G.; Wu, C.; Ma, Y. Adaptive neural output feedback control for USVs under false-data-injection attacks. Acta Autom. Sin. 2024, 50, 1472–1484. [Google Scholar]
- Chen, L.; Sun, M.; Wang, L. Practical finite-time event-triggered control of underactuated surface vessels in presence of false data injection attacks. Pol. Marit. Res. 2024, 31, 114–126. [Google Scholar] [CrossRef]
- Zhu, C.; Wang, M.; Huang, B. Weight-based distributed formation control for networked marine surface vehicles with hybrid communication channel deception attacks. IEEE Trans. Ind. Inform. 2024, 20, 12979–12993. [Google Scholar] [CrossRef]
- Zhang, G.; Dong, X.; Wang, X. Event-based adaptive control for unmanned surface vehicle subject to deception attacks. In Proceedings of the 41st Chinese Control Conference (CCC), Hefei, China, 25–27 July 2022; pp. 2082–2086. [Google Scholar]
- Zhi, H.; Pan, B.; Zhu, G. Event-sampled adaptive neural course keeping control for USVs using intermittent course data. Appl. Sci. 2023, 13, 10035. [Google Scholar] [CrossRef]
- Zhang, J.; Yu, S.; Yan, Y. Fixed-time extended state observer-based trajectory tracking and point stabilization control for marine surface vessels with uncertainties and disturbances. Ocean. Eng. 2019, 186, 106109. [Google Scholar] [CrossRef]
- Deng, Y.; Zhang, X. Event-triggered composite adaptive fuzzy output feedback control for path following of autonomous surface vessels. IEEE Trans. Fuzzy Syst. 2021, 29, 2701–2713. [Google Scholar] [CrossRef]
- Fossen, T.I. Marine Control Systems: Guidance, Navigation, and Control of Ships, Rigs, and Underwater Vehicles; Marine Cybernetics AS, 2002. [Google Scholar]
- Mazenc, F.; PEttersen, K.; Nijmeijer, H. Global uniform asymptotic stabilization of an underactuated surface vessel. IEEE Trans. Autom. Control 2002, 47, 1759–1762. [Google Scholar] [CrossRef]
- Bechlioulis, C.P.; George, A. Robust adaptive control of feedback linearizable MIMO nonlinear systems with prescribed performance. IEEE Trans. Autom. Control 2008, 53, 2090–2099. [Google Scholar] [CrossRef]
- Li, C.; Zhu, G.; Zhang, Q. Event-triggered adaptive fault-tolerant auto-berthing control of underactuated vessels with predefined performance. In Ships and Offshore Structures; Taylor & Francis: Abingdon, UK, 2025; pp. 1–16. [Google Scholar]
Disclaimer/Publisher’s Note: The statements, opinions and data contained in all publications are solely those of the individual author(s) and contributor(s) and not of MDPI and/or the editor(s). MDPI and/or the editor(s) disclaim responsibility for any injury to people or property resulting from any ideas, methods, instructions or products referred to in the content. |
© 2025 by the authors. Licensee MDPI, Basel, Switzerland. This article is an open access article distributed under the terms and conditions of the Creative Commons Attribution (CC BY) license (https://creativecommons.org/licenses/by/4.0/).











