Next Article in Journal
From Efficiency to Safety: A Simulation-Based Framework for Evaluating Empty-Container Terminal Layouts
Previous Article in Journal
A Virtual-Beacon-Based Calibration Method for Precise Acoustic Positioning of Deep-Sea Sensing Networks
 
 
Font Type:
Arial Georgia Verdana
Font Size:
Aa Aa Aa
Line Spacing:
Column Width:
Background:
Article

A Strong Misalignment Tolerance Wireless Power Transfer System for AUVs with Hybrid Magnetic Coupler

1
School of Electrical Engineering, Xi’an University of Technology, Xi’an 710048, China
2
School of Marine Science and Technology, Northwestern Polytechnical University, Xi’an 710072, China
3
Xi’an Weiguang Energy Technology Co., Ltd., Xi’an 710199, China
*
Author to whom correspondence should be addressed.
J. Mar. Sci. Eng. 2025, 13(8), 1423; https://doi.org/10.3390/jmse13081423
Submission received: 22 June 2025 / Revised: 30 June 2025 / Accepted: 23 July 2025 / Published: 25 July 2025
(This article belongs to the Section Ocean Engineering)

Abstract

Wireless power transfer systems require not only strong coupling capabilities but also stable output under various misalignment conditions. This paper proposes a hybrid magnetic coupler for autonomous underwater vehicles (AUVs), featuring two identical arc-shaped rectangular transmitting coils and a combination of an arc-shaped rectangular receiving coil and two anti-series connected solenoid coils. The arc-shaped rectangular receiving coil captures the magnetic flux generated by the transmitting coil, which is directed toward the center, while the solenoid coils capture the axial magnetic flux generated by the transmitting coil. The parameters of the proposed magnetic coupler have been optimized to enhance the coupling coefficient and improve the system’s tolerance to misalignments. To verify the feasibility of the proposed magnetic coupler, a 300 W prototype with LCC-S compensation topology is built. Within a 360° rotational misalignment range, the system’s output power maintains around 300 W, with a stable power transmission efficiency of over 92.14%. When axial misalignment of 40 mm occurs, the minimum output power is 282.8 W, and the minimum power transmission efficiency is 91.6%.

1. Introduction

Autonomous underwater vehicles (AUVs) are indispensable transport carriers and observation nodes for the exploration and management of oceans. An AUV not only has delivery capability but can also be equipped with sonar, manipulators, and various functions detection devices or sensors, to perform environment monitoring, resource extraction, and sampling. Due to the limited internal space and weight, the onboard battery cannot sustain the long-term continuous operation of underwater vehicles in deep-sea environments. At present, battery replacement and wet-plug charging are the leading employed power replenishment approaches for AUVs [1]. The former method involves salvaging and recovering the vehicle, replacing the battery, all the procedures highly depend on manual operations. The latter approach involves docking and installing a wet-pluggable interface, wear issue, the strict demand on docking and manipulating process are the vital challenges.
Wireless power transfer (WPT), based on electromagnetic induction, has emerged as a novel means for power transmission in recent years [2,3]. As a non-contact power transfer technique, where the transmitting and receiving sides do not have physical contact and can be separated independently [4]. This offers strengths such as convenience, safety, and ease of maintenance [5,6]. In recent decades, WPT technology has gradually matured and is widely utilized in electric vehicles, biomedical implants, industrial manufacturing, smart homes, and other fields [7,8,9,10]. Recently, wireless power transfer technology was attempted to apply in power supply for underwater vehicles [11,12,13].
The misalignments, including axial, rotational, and inclined offsets, caused by docking errors, ocean current, and movement posture deviation, are the primary obstacles faced by WPT technology. The magnetic coupler is a key component of the WPT system. The system’s output power and transmission efficiency are affected by the magnetic coupler [14,15,16]. Various magnetic couplers have been proposed for the WPT system of AUVs with a cylindrical structure. Yan et al. [17] designed a coil-wound structure suitable for the cylindrical hull of AUV, integrating ferrite material on the back of the coil to enhance coupling and suppress electromagnetic radiation. The design provided certain resistance to rotational misalignment within the 0–45° range. A 1000 W system was built, achieving 95% power transfer efficiency with fluctuations below 2%. Wang et al. [18] proposed a novel pendulum-type magnetic coupler, where the transmitting coil was a common D-shaped arc coil, and the receiving coil was a multi-layer solenoid wound around a magnetic core, significantly increasing coupling. Nanocrystalline material at the bottom was added to concentrate the magnetic flux, while nanocrystalline material at the top was employed for electromagnetic shielding and enhancing coupling. Stable output was achieved within the ±30 mm rotational and axial misalignment range, with dc-dc efficiency maintained at over 95% and efficiency fluctuation below 1%. A dipole coil-type magnetic coupler with a circumferential coupling means was designed in [19], the magnetic coupler has capable of limiting the magnetic flux. The 630 W underwater experimental system was conducted, where the output power reached a maximum of 950 W within a rotational misalignment range of 10°, with a minimum efficiency of 87.08%. The above proposed magnetic couplers could be adapted to the cylindrical or arc-shaped structure of AUVs and charging station. However, the insufficient resistance to rotational misalignment was the main weakness that limited the application. As a result, it struggled to dramatically decrease power transmission efficiency when large-angle rotational misalignments occur.
In reference [20], a solenoid-double combination planar coil coupling structure was designed. Compared to the single-pole planar coil, this structure improves the axial misalignment tolerance. In seawater environment, the power fluctuation was less than 4.15%, and the transmission efficiency fluctuation was below 6.74% within an axial misalignment range of 40 mm. In order to mitigate electromagnetic interference on electronic devices of AUV, a three-phase transmitting coil, consisting of three identical transmitting coils, each fed with 120° degree phase difference excitation currents, was proposed in [21]. Under rotational angles ranging from 0 to 25°, the misalignments tolerance exceeded that coaxial circular coil with same size. However, when the rotation misalignments exceeded 25°, the mutual inductance sharply drops, and system stability can only be restored through mechanical adjustments. Zeng et al. [22] introduced a transmitting coil composed of solenoid and conical coils. The concave magnetic field generated by the conical coil is complemented by the convex magnetic field created by specific turns and spacing of the planar solenoid coil, resulting in a uniform magnetic field. A transmitting coil composed of multiple solenoid coils arranged in alternating directions, which enhances tolerance to axial misalignment, was proposed in [23]. A magnetic coupler consisting of a single-layer arc-shaped rectangular transmitting coil and a double-layer arc-shaped receiving coil was introduced by Zhang et al. [24]. The transmitting coil is capable of expanding and contracting in synchronization with the charging platform, thereby accommodating a wide range of rotational misalignment. However, this design necessitates a complex mechanical control system. Li et al. [25] proposed an LCC-N compensation topology that employed fewer components on the secondary side. By adjusting the value of the switching capacitor on the primary side, the system can maintain a stable output current under misalignment conditions. However, this method requires sampling the primary-side current and voltage, as well as estimating the mutual inductance under misalignment. However, the above-mentioned magnetic coupler designed did not take axial, rotational, and inclined misalignments into account, resulting in lower adaptability to dynamic marine environment.
To address the composite and complex misalignment AUVs faced under ocean environment, this paper proposes a hybrid magnetic coupler. The transmitting coil is composed of two identical arc-shaped rectangular coils, and the receiving coil consists of two overlapped arc-shaped rectangular coils combined with two anti-series connected solenoid coils wound on both sides. The arc-shaped rectangular coils are intended to capture magnetic fields oriented radially outward from the center, whereas the solenoid coils are used to capture axial magnetic fields. The proposed magnetic coupler is shown in Figure 1. The transmitting coil is fixed to the seabed charging station, while the arc-shaped rectangular coils and solenoid coils are connected in series and wound in the hull of AUVs. The effects of various parameters on the misalignment tolerance and coupling coefficient of the magnetic coupler are simulated using COMSOL5.5 software. Based on the analysis, the parameters of the magnetic coupler are optimized. Additionally, a 300 W experimental prototype is constructed to validate the proposed magnetic coupler.

2. Magnetic Coupler Design

The DD coil is a typical type of bipolar coil, in which two identical sub-coils are employed, and they are winded in opposite directions, thus a bipolar magnetic field is be generated. The DD coil magnetic coupler exhibits excellent misalignment tolerance, particularly when lateral misalignments occur, thus, it is widely employed in WPT system of electric vehicle [26]. This paper initially selected the arc-shaped DD-DD coil magnetic coupler for the design. The mutual inductance fluctuation of the arc-shaped DD magnetic coupler during rotation is shown in Figure 2. θ represents the rotation angle. As the rotation angle increases, the mutual inductance first decreases and then increases, with the mutual inductance approaching zero when the receiving coil is rotated to 90°. This point is referred to as the zero-coupling point of mutual inductance.
To eliminate the instability in power transmission caused by the zero-coupling point, the direction of current in the coils is altered to a consistent winding orientation. The mutual inductance variation curve of the modified magnetic coupler within a 180° rotation range is shown in Figure 3. Compared to the arc-shaped DD coil, the modified magnetic coupler does not exhibit a zero-coupling point, and the mutual inductance fluctuations are significantly reduced. However, when the receiving coil experiences rotational misalignment and moves away from the aligned position, the mutual inductance decreases. The mutual inductance remains stable when the rotation angle ranges from 30° to 150°. Furthermore, the maximum mutual inductance between DD coils with the same winding orientation significantly decreases, thereby reducing the coupling capability of the magnetic coupler.
Considering the above-mentioned issues, the proposed magnetic coupler, as shown in Figure 1, features a transmitting coil with the same winding orientation as the DD coil. The receiving coil consists of a DD coil with the same winding orientation and two anti-series connected solenoid coils. To mitigate mutual inductance fluctuations when the rotation angle ranges from 0° to 30°, the arc-shaped receiving coil is overlapped.
Figure 4a,b illustrate the magnetic field vector diagrams in the XOY plane when the receiving coil at aligned position (0°) and rotation angle of 45°, respectively. It can be observed that the transmitting coil primarily generates a magnetic field directed towards the center of the circle in the XOY plane. At the junction of the two coils, the magnetic field direction points outward from the center. The arc-shaped coil mainly picks up magnetic flux directed towards the center. However, when the arc-shaped DD coil undergoes rotational misalignment, the receiving coil picks up additional magnetic flux directed outward from the center through the junction with the transmitting coil. This results in a decrease in the total magnetic flux through the receiving coil. With the rotation angle below 180°, the captured flux remains relatively unchanged. Considering the rotational symmetry structure of the magnetic coupler, we only explore the misalignment tolerance within 180°. The overlapped pickup area can be enlarged as the length of the arc-shaped coil increases, allowing a more outward-directed flux from the center to be captured when aligned. However, further increasing the coil length results in more flux directed towards the center be captured. When the overlapping receiving coil undergoes rotational misalignment, the flux directed towards the center would be increased. Therefore, by optimizing the length of the overlapping section, the mutual inductance of the magnetic coupler can be adjusted both in the aligned and misaligned states, reducing the mutual inductance fluctuations caused by the rotation of the receiving coil. This will be discussed in detail in Section 3.
The magnetic field vector diagram in the XOZ plane is shown in Figure 5. The transmitting coil generates a magnetic field directed towards the center in XOZ plane, which consists of both horizontal and vertical components, with the field strength being weaker near the center. Based on the above analysis, the arc-shaped DD overlapping coils can effectively capture the horizontal magnetic flux components. A pair of anti-series connected solenoid coils are positioned at each end of the arc-shaped coil. By ensuring that the magnetic flux components from the two solenoid coils are equal in magnitude but opposite in direction, the hybrid receiving coil can effectively capture the vertical and horizontal magnetic flux components, further enhancing the coupling capability.

3. Optimization of Magnetic Coupler Structure Parameters

Based on the dimensions of AUVs and its charging station, the diameter of the transmitting coil is set to 280 mm, and the height is set as 300 mm, the radius of the receiving coil is set to 200 mm, and the height of the curved DD receiving coil is set as 200 mm. To simplify the optimization of the overlapping section length of the arc-shaped DD receiving coil, this process is transformed into an optimization of the central angle of the arc-shaped DD coil, as shown in Figure 6a. λ is the central angle of arc-shaped DD coil.
The mutual inductance between the transmitting coil and the receiving coil as a function of the central angle of the arc-shaped DD coil is shown in Figure 6b. It can be inferred that when the magnetic coupler is aligned, the mutual inductance first decreases and then increases as the central angle λ grows. However, within the rotational misalignment range of 30° to 150°, the mutual inductance continues to increase as the central angle λ expand. It is important to note that changes in the central angle λ do not affect the mutual inductance fluctuation within the misalignment range. This behavior is consistent with the analysis of mutual inductance variation resulting from changes in the overlapping section size and the corresponding magnetic flux absorption, as discussed in Section 2.
The coupling coefficient k is denoted as
k = M L T L S ,
where M is the mutual inductance of magnetic coupler, LT and LS are the self-inductance of transmitting coil, receiving coil, respectively.
Define the mutual inductance fluctuation ΔM as
Δ M = M max M min M max × 100 % ,
where Mmax and Mmin are the maximum and minimum mutual inductance of magnetic coupler, respectively.
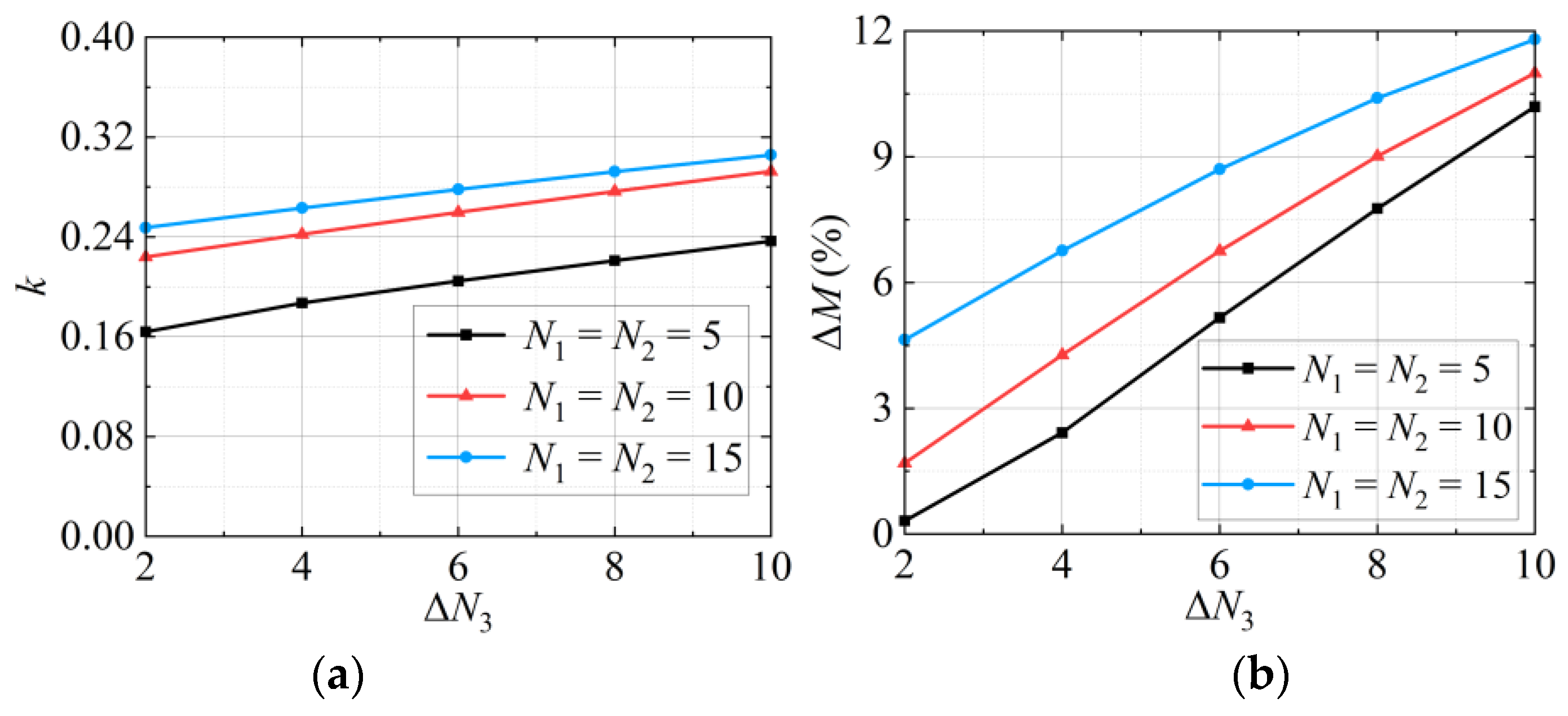
Figure 7 exhibits the coupling coefficient k and the mutual inductance fluctuation ΔM vary with the number of turns of solenoid coil N3 when the axial misalignment increases from 0 to 40 mm, where k and ΔM are calculated from Equations (1) and (2). Although the value of k increases with N3, the ΔM also increases as N3 increases. This indicates that the increase of N3 enhances the coupling capability of the coupler, it also reduces the misalignment tolerance of the coupler. Under the axial misalignment of 0 to 40 mm, both k and ΔM increase with the growth of the transmitting coil turn number N1 and the arc-shaped DD receiving coil turn number N2, while the increasing rate of k gradually diminishes.
Based on the principles of minimal mutual inductance fluctuation and maximum coupling coefficient k, the design and optimization flowchart of the magnetic coupler is shown in Figure 8. Considering the dimensional constraints of the coils imposed by the AUV and its charging station, as well as the requirements for cost limit, the number of turns cannot be infinitely large, and the overlapped length of the arc-shaped receiving coil must not be excessive. The maximum values for N1, N2, N3, and the central angle λ are set to 15, 15, 10, and 220°, respectively. The initial values for N1, N2, N3 and the central angle λ are set to 5, 5, 2, and 180°. To ensure the stability of the system’s power transmission, the mutual inductance fluctuation ΔM1 is below 5%. The increasing step of central angle λ set as 10°. For the values of N1, N2, and λ that meet the design requirements, the coupling coefficient and axial misalignment mutual inductance fluctuation are calculated for different N3 values at the aligned position. A set of parameter combinations is then obtained. To reduce the number of simulations and simplify the optimization process, N1 and N2 are set to the same value, and after each simulation, both values are incremented by 1. The optimization results of N1, N2, N3, and λ are 10, 10, 5, and 200°, respectively.

4. The System’s Output with LCC-S Topology

The LCC-S compensation topology features low voltage stress on the primary-side compensation capacitors and requires only a single compensation capacitor on the secondary side, which is advantageous for achieving the lightweight design requirements of AUVs. The LCC-S compensation topology utilized in this paper is shown in Figure 9. It includes a DC power source Uin, an inverter (S1S4), a transmitting coil LT connected to a primary compensation network, a receiving coil LS with series compensation, a bridge rectifier (D1D4), and a DC load RL. LF is the primary-side compensation inductor. LT, and LS represent the self-inductances of the respective coils. CF, CT, and CS are the compensation capacitors. RT and RS are the coil resistances. IF, IT, and IS are the corresponding loop currents. UT is the DC-side voltage of the inverter, U1 is the AC-side voltage of the rectifier, and UL is the voltage across the load.
It can be derived based on the fundamental wave analysis method [27].
U i n = 2 2 π U T R eq = 8 π 2 R L U 1 = 2 π U o
The system’s resonant angular frequency satisfies
ω = 1 L F C F = 1 ( L T L F ) C T = 1 L S C S = f 2 π .
Neglecting (3) and (4), it can be derived based on Kirchhoff’s law.
U in = ( j ω L F + 1 j ω C F ) I F + 1 j ω C F I T 0 = 1 j ω C F I F + ( j ω L T + 1 j ω C F + 1 j ω C T ) I T j ω M TR L T L S I S 0 = j ω M TR L T L S I T + ( j ω L S + 1 j ω C S + R eq ) I S
where MTR represents the mutual inductance between the transmitting coil and the receiving coil.
The output voltage UO and output power P can be expressed as
U o = ω 2 C F M TR U in P = ω 4 M TR C F 2 2 R eq U in 2

5. Experimental Verification

To verify the feasibility of the proposed magnetic coupler, a 300 W experimental prototype was developed. As shown in Figure 10, the prototype consists of a DC power supply, an inverter, a compensation network, a transmitting coil, a hybrid receiving coil, a rectifier, an electronic load, an oscilloscope, and a power analyzer. The self-inductance and mutual inductance were measured by LCR meter, and the oscilloscope was employed to display the waveforms of input/output voltage and current, the output power and power transmission efficiency could be acquired by the power analyzer. The electrical parameters for the experiment are listed in Table 1.
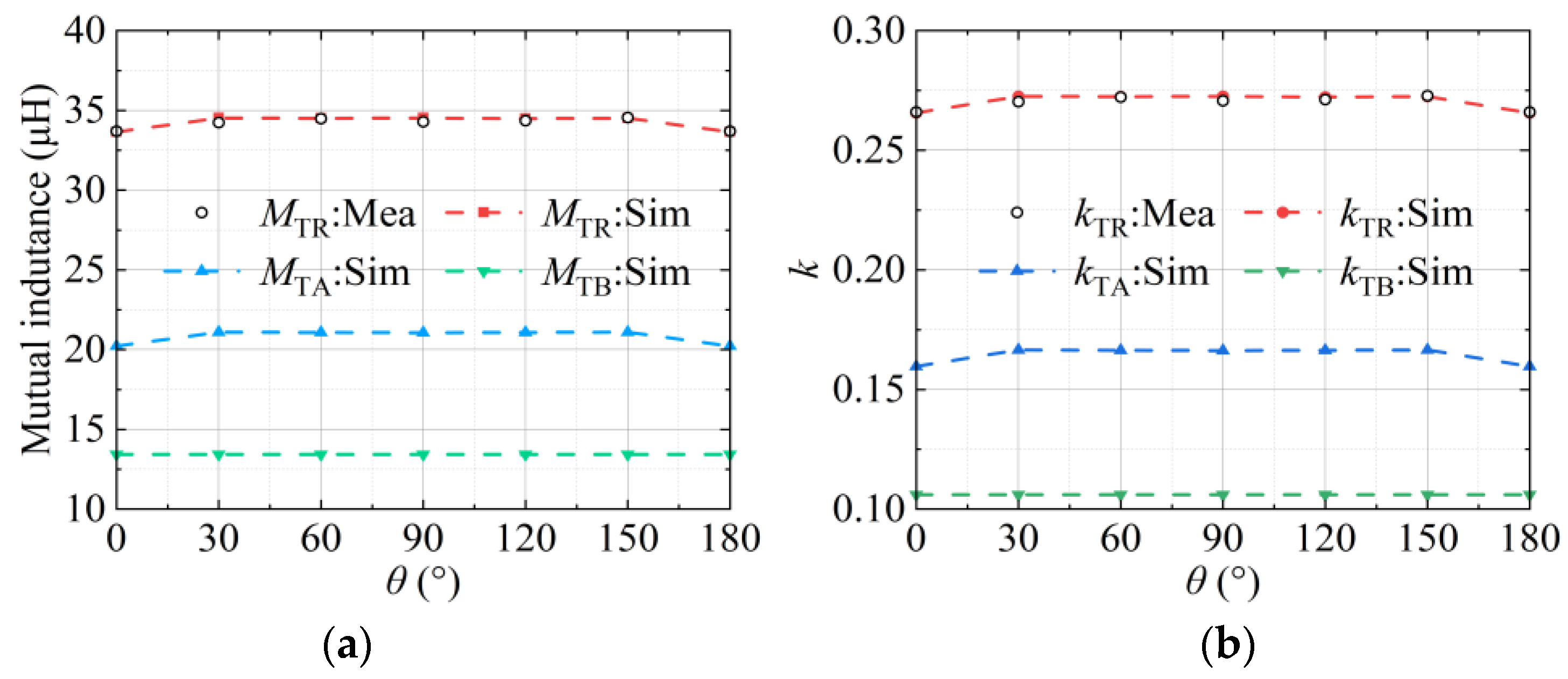
The variation in mutual inductance when the rotation angle ranges from 0° to 180° is shown in Figure 11a. MTR represents the total mutual inductance between the magnetic coupler, MTA represents the mutual inductance between the transmitting coil and the arc-shaped DD coil, and MTB represents the mutual inductance between the transmitting coil and the solenoid coil. Since the arc-shaped DD coil and the solenoid coil are wound with a single wire, MTA and MTB cannot be directly measured in the experiment; thus, both MTA and MTB in the figure are based on simulation data. From the figure, it can be observed that the overall mutual inductance, MTR, remains stable during rotation. The measured result is matched with the simulation values. The maximum ΔMTR is 2.3%. The mutual inductance fluctuation primarily occurs when the receiving coil deviates from the aligned position with angle of 0° to 30°. The simulation data show that MTB remains stable across the entire misalignment range, and the variation in MTR follows the same trend as MTA. Figure 11b displays the variation in the coupling coefficient when the rotation angle increases from 0° to 180°. The trend of the coupling coefficient change corresponds to the mutual inductance variation shown in Figure 11a, with the minimum kTR value of 0.266.
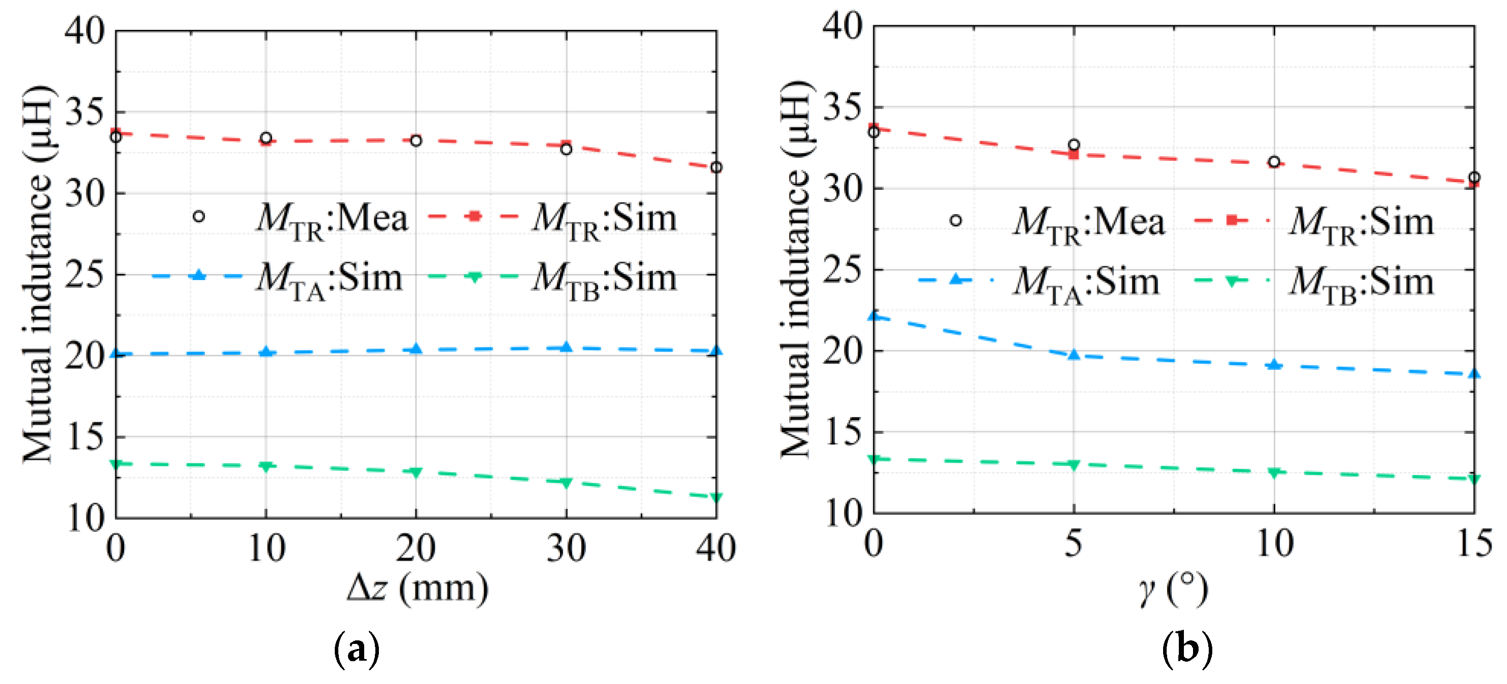
Figure 12a illustrates the variation in mutual inductance of the proposed magnetic coupler as the axial misalignment ranges from 0 mm to 40 mm. MTR decreases as misalignment distance increases, with a maximum mutual inductance fluctuation ΔMTR of 6.3%. Figure 12b shows the variation in mutual inductance of the proposed magnetic coupler under the tilt misalignment range of 15°. Mutual inductance fluctuation MTR decreases as the misalignment angle increases, with a maximum ΔMTR of 9.8%.
The voltage and current waveforms on the primary and secondary sides when the system is aligned are shown in Figure 13. It can be observed that both the primary and secondary sides have achieved a resonant state, and zero phase angle (ZPA) operating characteristics are exhibited. The output power is rated at 300 W, with a transmission efficiency of 92.162%. A screenshot from the power analyzer is shown in Figure 14.
Figure 15 shows the variations in output power and power transmission efficiency when the system is misaligned. The trends in output power and power transmission efficiency follow the same pattern as mutual inductance. The system demonstrates strong resistance to rotational misalignment. The output power remains around 300 W, while the power transmission efficiency stays above 92.1%. However, when axial or inclination misalignments occur, both output power and power transmission efficiency gradually decrease. The minimum output power values are 282.8 W and 260 W, while the minimum transmission efficiencies are 91.78% and 91.6%, respectively. However, due to the eddy current loss in seawater, the power transmission efficiency would degrade. Fortunately, the eddy current loss is proportional to the operation frequency, according to references [28,29]. In this research, the operation frequency is selected as 85 kHz, the eddy current loss is relatively slight under this frequency. As reported by the studies in [30,31], the power transmission efficiency would degrade by 1%~2% when transitioning from air to underwater environments.
Figure 16 shows the voltage and current waveforms on the DC side when the resistance load is changed from 35Ω to 30Ω. As the resistance decreases, the output current increases while the output voltage remains relatively unchanged, demonstrating the voltage regulation characteristics of the LCC-S compensation topology.

6. Conclusions

A novel magnetic coupler for the AUV WPT system is proposed in the paper, in which the transmitting coil is composed of two identical arc-shaped rectangular coils, and the receiving coil consists of a combination of arc-shaped rectangular coils and solenoid coils. By analyzing the impact of various parameters on the performance of the magnetic coupler, a reasonable parameter optimization process is developed, which not only improves the system’s misalignment tolerance but also enhances the coupling capability of the magnetic coupler. Experimental results show that the proposed magnetic coupler provides stable power transfer within the possible misalignment range. Within the 360° rotational misalignment range, the output power remains above 300 W, and the power transmission efficiency stays stable at around 92%. In cases of axial or inclination misalignments, the output power drops to a minimum of 260 W, and the power transmission efficiency decreases to 91.6%.

Author Contributions

Contributions: conceptualization, H.W. and X.Z.; methodology, H.W., X.Z. and Y.W.; software, X.Z. and Y.W.; validation, X.Z., Y.W. and J.W.; formal analysis, K.Z. and Y.Z.; investigation, H.W. and K.Z.; resources, L.Y. and X.T.; data curation, X.Z., Y.W. and Y.L.; writing—original draft preparation, H.W., X.Z. and Y.W.; writing—review and editing, H.W., X.Z., Y.W. and Y.Z.; visualization, Y.L. and J.W.; supervision, K.Z. and X.T.; project administration, H.W. and L.Y.; funding acquisition, H.W. and Z.Y. All authors have read and agreed to the published version of the manuscript.

Funding

This work was supported in part by the National Natural Science Foundation of China under Grant 52301403 and 52171338, in part by the China Postdoctoral Science Foundation under Grant 2021M702638, in part by the Science and Technology Plan Project of the Education Department of Shaanxi Provincial Government under Grant 24JC066, in part by the Xi’an Science and Technology Plan Project under Grant 24GXFW0052, and in part by the Beilin Science and Technology Plan Project under Grant GX2443.

Data Availability Statement

The original contributions presented in this study are included in the article. Further inquiries can be directed to the corresponding author.

Conflicts of Interest

Author Yang Liu was employed by the company Xi’an Weiguang Energy Technology Co., Ltd. The remaining authors declare that the research was conducted in the absence of any commercial or financial relationships that could be construed as a potential conflict of interest.

References

  1. Teeneti, C.R.; Truscott, T.T.; Beal, D.N.; Pantic, Z. Review of Wireless Charging Systems for Autonomous Underwater Vehicles. IEEE J. Ocean. Eng. 2021, 46, 68–87. [Google Scholar] [CrossRef]
  2. Hui, S.Y.R.; Zhong, W.; Lee, C.K. A Critical Review of Recent Progress in Mid-Range Wireless Power Transfer. IEEE Trans. Power Electron. 2014, 29, 4500–4511. [Google Scholar] [CrossRef]
  3. Zhang, Y.; Chen, S.; Li, X.; Tang, Y. Design of high-power static wireless power transfer via magnetic induction: An overview. CPSS Trans. Power Electron. Appl. 2021, 6, 281–297. [Google Scholar] [CrossRef]
  4. Maheswaran, V.; Carter, S.; Vijay, V. Study and implementation of constant current-constant voltage (CC-CV) charger for lithium-Ion (Li-Ion) battery using machine learning (ML). In Proceedings of the 2024 IEEE 4th International Conference on Sustainable Energy and Future Electric Transportation (SEFET), Hyderabad, India, 31 July–3 August 2024; pp. 1–5. [Google Scholar]
  5. Cai, C.; Wang, J.; Liu, R. Resonant wireless charging system design for 110-kV high-Voltage transmission line monitoring equipment. IEEE Trans. Ind. Electron. 2019, 66, 4118–4129. [Google Scholar] [CrossRef]
  6. Li, Y.; Hu, J.; Li, X. A flexible load-independent multi-output wireless power transfer system based on cascaded double T-resonant circuits: Analysis, design and experimental verification. IEEE Trans. Circuits Syst. I Regul. Pap. 2019, 66, 2803–2812. [Google Scholar] [CrossRef]
  7. Mahesh, A.; Chokkalingam, B.; Mihet-Popa, L. Inductive Wireless Power Transfer Charging for Electric Vehicles–A Review. IEEE Access 2021, 9, 137667–137713. [Google Scholar] [CrossRef]
  8. Agarwal, K.; Jegadeesan, R.; Guo, Y.X.; Thakor, N.V. Wireless Power Transfer Strategies for Implantable Bioelectronics. IEEE Rev. Biomed. Eng. 2017, 10, 136–161. [Google Scholar] [CrossRef]
  9. Mou, X.; Gladwin, D.; Jiang, J.; Li, K.; Yang, Z. Near-Field Wireless Power Transfer Technology for Unmanned Aerial Vehicles: A Systematical Review. IEEE J. Emerg. Sel. Top. Ind. Electron. 2023, 4, 147–158. [Google Scholar] [CrossRef]
  10. Wen, H.; Li, J.; Zhang, K.; Wang, P.; Yang, J.; Zhou, X. A Switchable Dual-Frequency LCC-S-S Compensated Three-Coil WPT System for Mobile Desktop Charging With Constant Current and Constant Voltage Outputs. IEEE Trans. Power Electron. 2025, 40, 7586–7598. [Google Scholar] [CrossRef]
  11. Zhou, J.; Yao, P.; Chen, Y.; Guo, K.; Hu, S.; Sun, H. Design Considerations for a Self-Latching Coupling Structure of Inductive Power Transfer for Autonomous Underwater Vehicle. IEEE Trans. Ind. Appl. 2021, 57, 580–587. [Google Scholar] [CrossRef]
  12. Yan, Z.; Song, B.; Zhang, Y.; Zhang, K.; Mao, Z.; Hu, Y. A Rotation-Free Wireless Power Transfer System With Stable Output Power and Efficiency for Autonomous Underwater Vehicles. IEEE Trans. Power Electron. 2019, 34, 4005–4008. [Google Scholar] [CrossRef]
  13. Zhang, K.; Zhang, X.; Zhu, Z.; Yan, Z.; Song, B.; Mi, C.C. A New Coil Structure to Reduce Eddy Current Loss of WPT Systems for Underwater Vehicles. IEEE Trans. Veh. Technol. 2019, 68, 245–253. [Google Scholar] [CrossRef]
  14. Wen, H.; Song, B.; Zhang, K. Underwater Magnetically-Coupled Resonant Wireless Power Transfer Technology and Its Applications: A Review. J. Underw. Unmanned Syst. 2019, 27, 361–368. [Google Scholar]
  15. Wu, S.; Cai, C.; Chai, W.; Li, J.; Cui, Q.; Yang, S. Uniform Power IPT System With Quadruple-Coil Transmitter and Crossed Dipole Receiver for Autonomous Underwater Vehicles. IEEE Trans. Ind. Appl. 2022, 58, 1289–1297. [Google Scholar] [CrossRef]
  16. Qiao, K.; Pan, S.; Enguo, R.; Jun, S.; Hang, Z.; Xu, S. Anti-misalignment and lightweight magnetic coupler with H-shaped receiver structure for AUV wireless power transfer. IET Power Electron. 2022, 15, 1843–1857. [Google Scholar] [CrossRef]
  17. Yan, Z.; Zhang, Y.; Zhang, K.; Song, B.; Mi, C. Underwater wireless power transfer system with a curly coil structure for AUVs. IET Power Electron. 2019, 12, 2559–2565. [Google Scholar] [CrossRef]
  18. Wang, D.; Chen, F.; Zhang, J.; Cui, S.; Bie, Z.; Zhu, C. A Novel Pendulum-Type Magnetic Coupler With High Misalignment Tolerance for AUV Underwater Wireless Power Transfer Systems. IEEE Trans. Power Electron. 2023, 38, 14861–14871. [Google Scholar] [CrossRef]
  19. Wang, D.; Cui, S.; Zhang, J.; Bie, Z.; Song, K.; Zhu, C. A Novel Arc-Shaped Lightweight Magnetic Coupler for AUV Wireless Power Transfer. IEEE Trans. Ind. Appl. 2022, 58, 1315–1329. [Google Scholar] [CrossRef]
  20. Wen, H.; Wang, P.; Li, J.; Yang, J.; Zhang, K.; Yang, L.; Zhao, Y.; Tong, X. Improving the Misalignment Tolerance of Wireless Power Transfer System for AUV with Solenoid-Dual Combined Planar Magnetic Coupler. J. Mar. Sci. Eng. 2023, 11, 1571. [Google Scholar] [CrossRef]
  21. Kan, T.; Mai, R.; Mercier, P. Design and analysis of a three-Phase wireless charging system for lightweight autonomous underwater vehicles. IEEE Trans. Power Electron. 2018, 33, 6622–6632. [Google Scholar] [CrossRef]
  22. Zeng, Y.; Rong, C.; Lu, C.; Tao, X.; Liu, X.; Liu, R.; Liu, M. Misalignment Insensitive Wireless Power Transfer System Using a Hybrid Transmitter for Autonomous Underwater Vehicles. IEEE Trans. Ind. Appl. 2022, 58, 1298–1306. [Google Scholar] [CrossRef]
  23. Yan, Z.; Peng, B.; Wang, J. An Underwater Wireless Power Transfer System with Improved Misalignment Tolerance. IEEE J. Emerg. Sel. Top. Power Electron. 2025; early access. [Google Scholar]
  24. Zhang, B.; Jiang, C.Q.; Yang, F.; Chen, C.; Lu, Y.; Zhou, J. An Antirotation Wireless Power Transfer System With a Flexible Magnetic Coupler for Autonomous Underwater Vehicles. IEEE Trans. Power Electron. 2025, 40, 2593–2603. [Google Scholar] [CrossRef]
  25. Li, J.; Zhang, K.; Yan, Z.; Wen, H.; Peng, B.; Wang, J. A Compact Underwater WPT System With Load-Independent Current Output Characteristic Under Wide Range of Coupling Coefficient. IEEE Trans. Power Electron. 2025, 40, 10198–10208. [Google Scholar] [CrossRef]
  26. Feng, H.; Tavakoli, R.; Onar, O.C.; Pantic, Z. Advances in High-Power Wireless Charging Systems: Overview and Design Considerations. IEEE Trans. Transp. Electrif. 2020, 6, 886–919. [Google Scholar] [CrossRef]
  27. Deng, J.; Li, S.; Hu, S. Design methodology of LLC resonant converters for electric vehicle battery chargers. IEEE Trans. Veh. Technol. 2014, 63, 1581–1592. [Google Scholar] [CrossRef]
  28. Zhang, K.; Ma, Y.; Yan, Z.; Di, Z.; Song, B.; Hu, A.P. Eddy Current Loss and Detuning Effect of Seawater on Wireless Power Transfer. IEEE J. Emerg. Sel. Top. Power Electron. 2020, 8, 909–917. [Google Scholar] [CrossRef]
  29. Fei, Y.; Tang, C.; Deng, R.; Wu, Y.; Wang, Z. Universal Eddy Current Loss Modeling for Seawater WPT Systems via Pattern Extraction and Curve Fitting. IEEE Trans. Power Electron. 2025, 40, 14000–14013. [Google Scholar] [CrossRef]
  30. Cheng, Z.; Lei, Y.; Song, K.; Zhu, C. Design and Loss Analysis of Loosely Coupled Transformer for an Underwater High-Power Inductive Power Transfer System. IEEE Trans. Magn. 2015, 51, 8401110. [Google Scholar]
  31. Yan, Z.; Zhang, Y.; Kan, T.; Lu, F.; Zhang, K.; Song, B. Frequency Optimization of a Loosely Coupled Underwater Wireless Power Transfer System Considering Eddy Current Loss. IEEE Trans. Ind. Electron. 2019, 66, 3468–3476. [Google Scholar] [CrossRef]
Figure 1. The proposed magnetic coupler for AUV’s WPT system.
Figure 1. The proposed magnetic coupler for AUV’s WPT system.
Jmse 13 01423 g001
Figure 2. The mutual inductance fluctuation of the arc-shaped DD magnetic coupler during rotation.
Figure 2. The mutual inductance fluctuation of the arc-shaped DD magnetic coupler during rotation.
Jmse 13 01423 g002
Figure 3. The mutual inductance fluctuation of DD magnetic coupler with same winding orientation during rotation.
Figure 3. The mutual inductance fluctuation of DD magnetic coupler with same winding orientation during rotation.
Jmse 13 01423 g003
Figure 4. The magnetic field vector diagram in XOY plane: (a) 0°; (b) 45°.
Figure 4. The magnetic field vector diagram in XOY plane: (a) 0°; (b) 45°.
Jmse 13 01423 g004
Figure 5. The magnetic field vector diagram in XOZ plane.
Figure 5. The magnetic field vector diagram in XOZ plane.
Jmse 13 01423 g005
Figure 6. (a) Schematic diagram of circular center angle of curved receiving coil. (b) Mutual inductance variation curve with center angle of receiving coil.
Figure 6. (a) Schematic diagram of circular center angle of curved receiving coil. (b) Mutual inductance variation curve with center angle of receiving coil.
Jmse 13 01423 g006
Figure 7. (a) The coupling coefficient k varying with solenoid coil turn number N3. (b) The mutual inductance fluctuation ΔM varying with N3.
Figure 7. (a) The coupling coefficient k varying with solenoid coil turn number N3. (b) The mutual inductance fluctuation ΔM varying with N3.
Jmse 13 01423 g007
Figure 8. Design and optimization flowchart of magnetic coupler.
Figure 8. Design and optimization flowchart of magnetic coupler.
Jmse 13 01423 g008
Figure 9. LCC-S topology diagram.
Figure 9. LCC-S topology diagram.
Jmse 13 01423 g009
Figure 10. Experimental prototype.
Figure 10. Experimental prototype.
Jmse 13 01423 g010
Figure 11. (a) Mutual inductance varying with rotational misalignment; (b) k varying with rotational misalignment.
Figure 11. (a) Mutual inductance varying with rotational misalignment; (b) k varying with rotational misalignment.
Jmse 13 01423 g011
Figure 12. (a) Mutual inductance varying with axial misalignment; (b) mutual inductance varying with tilt angle.
Figure 12. (a) Mutual inductance varying with axial misalignment; (b) mutual inductance varying with tilt angle.
Jmse 13 01423 g012
Figure 13. The waveforms of input/output voltage and current of the WPT system.
Figure 13. The waveforms of input/output voltage and current of the WPT system.
Jmse 13 01423 g013
Figure 14. Screenshot of power analyzer under aligned state.
Figure 14. Screenshot of power analyzer under aligned state.
Jmse 13 01423 g014
Figure 15. Variations in output power and power transmission efficiency under different misalignments: (a) rotation angle; (b) axial offset; (c) tilt angle.
Figure 15. Variations in output power and power transmission efficiency under different misalignments: (a) rotation angle; (b) axial offset; (c) tilt angle.
Jmse 13 01423 g015
Figure 16. Output voltage and current waveforms during load mutation.
Figure 16. Output voltage and current waveforms during load mutation.
Jmse 13 01423 g016
Table 1. The parameters of proposed WPT system.
Table 1. The parameters of proposed WPT system.
ParametersDefinitionsValue
fSystem frequency85 kHz
LTSelf-inductance of Tx coil120.142 μH
LFThe compensation inductance1203.1 μH
CTThe compensation capacitance40.558 nF
CFThe compensation capacitance104.03 nF
LSSelf-inductance of Rx coil133.542 μH
CSThe compensation capacitance26.253 nF
Disclaimer/Publisher’s Note: The statements, opinions and data contained in all publications are solely those of the individual author(s) and contributor(s) and not of MDPI and/or the editor(s). MDPI and/or the editor(s) disclaim responsibility for any injury to people or property resulting from any ideas, methods, instructions or products referred to in the content.

Share and Cite

MDPI and ACS Style

Wen, H.; Zhou, X.; Wang, Y.; Yan, Z.; Zhang, K.; Wen, J.; Yang, L.; Zhao, Y.; Liu, Y.; Tong, X. A Strong Misalignment Tolerance Wireless Power Transfer System for AUVs with Hybrid Magnetic Coupler. J. Mar. Sci. Eng. 2025, 13, 1423. https://doi.org/10.3390/jmse13081423

AMA Style

Wen H, Zhou X, Wang Y, Yan Z, Zhang K, Wen J, Yang L, Zhao Y, Liu Y, Tong X. A Strong Misalignment Tolerance Wireless Power Transfer System for AUVs with Hybrid Magnetic Coupler. Journal of Marine Science and Engineering. 2025; 13(8):1423. https://doi.org/10.3390/jmse13081423

Chicago/Turabian Style

Wen, Haibing, Xiaolong Zhou, Yu Wang, Zhengchao Yan, Kehan Zhang, Jie Wen, Lei Yang, Yaopeng Zhao, Yang Liu, and Xiangqian Tong. 2025. "A Strong Misalignment Tolerance Wireless Power Transfer System for AUVs with Hybrid Magnetic Coupler" Journal of Marine Science and Engineering 13, no. 8: 1423. https://doi.org/10.3390/jmse13081423

APA Style

Wen, H., Zhou, X., Wang, Y., Yan, Z., Zhang, K., Wen, J., Yang, L., Zhao, Y., Liu, Y., & Tong, X. (2025). A Strong Misalignment Tolerance Wireless Power Transfer System for AUVs with Hybrid Magnetic Coupler. Journal of Marine Science and Engineering, 13(8), 1423. https://doi.org/10.3390/jmse13081423

Note that from the first issue of 2016, this journal uses article numbers instead of page numbers. See further details here.

Article Metrics

Back to TopTop