Experimental and Numerical Investigation of Localized Wind Effects from Terrain Variations at a Coastal Bridge Site
Abstract
1. Introduction
2. Wind Tunnel Experimental
2.1. Geographic Information
2.2. Wind Tunnel Experimental Setup
3. Numerical Methods
3.1. Turbulence Model
3.2. Numerical Model
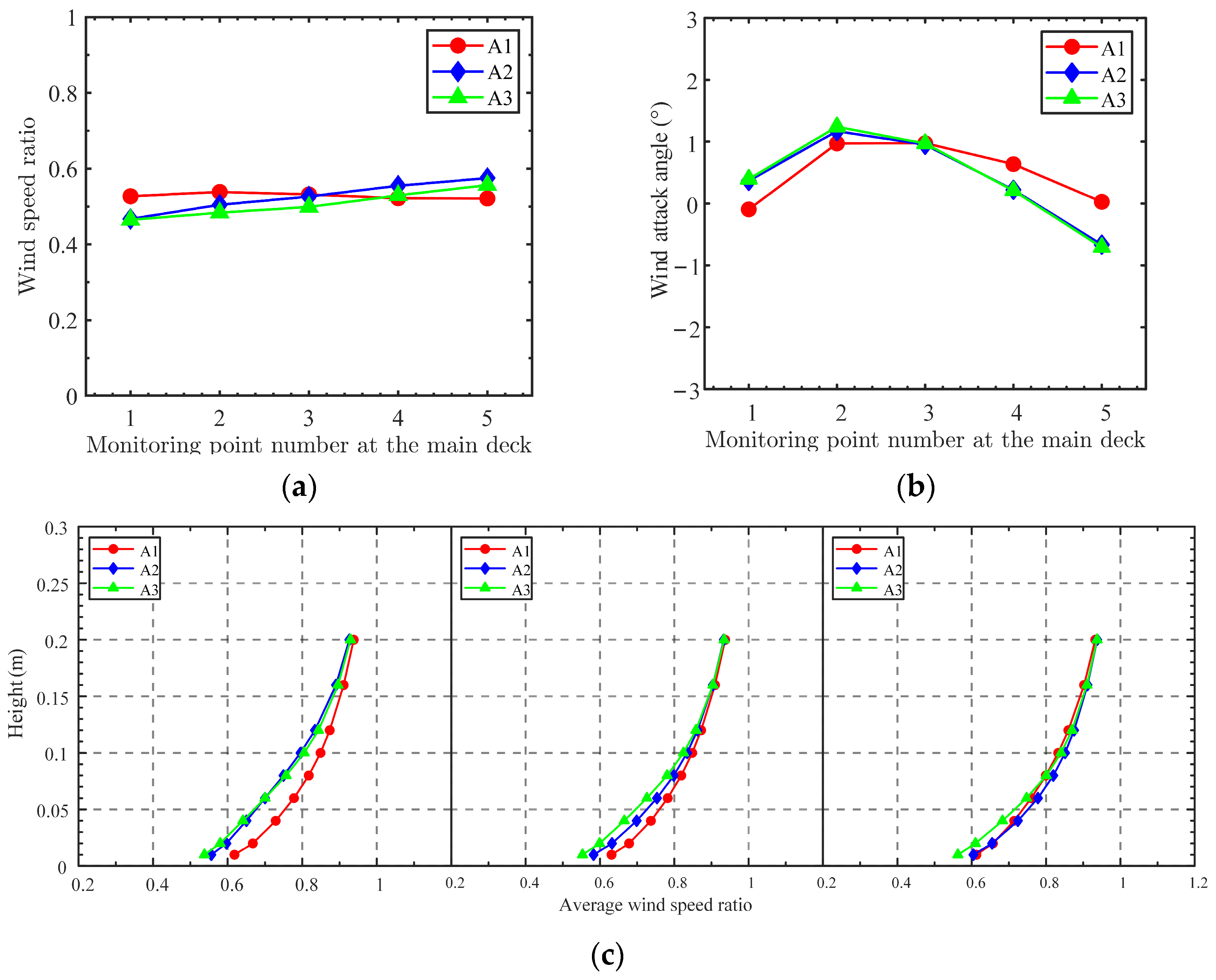
3.3. Terrain Model Meshing
3.4. Equilibrium Atmospheric Boundary Layer (ABL) Analysis
4. Results and Discussion
4.1. Transverse Wind Velocity at the Main Deck Height
4.2. Angle of Attack at the Main Girder Level
4.3. Mean Wind Profiles
4.4. Error Analysis of the Experimental and Numerical Results
4.5. Localized Wind Effects at the Bridge Site
5. Conclusions
- (1)
- When the inflow direction formed a substantial angle with the mountain orientation, the mountain significantly influenced the wind field at the bridge site, producing either a pronounced shielding or acceleration effect. Under the original terrain scenario, the cross-bridge wind speed and wind angle of attack at the main girder height displayed a maximum difference of approximately 12% (increasing to as much as 25% in numerical simulations). Conversely, under the modified terrain scenario (where a portion of the mountain was removed), the wind speed distribution became more uniform, and these differences were markedly reduced. This suggests that the wind field disturbances induced by terrain variations are highly dependent on the inflow direction.
- (2)
- Under the original terrain scenario, the main deck angle of attack exhibited a wider fluctuation range, particularly on the side closer to the mountain, where under different wind direction conditions, both the experimental and simulation results indicated that the maximum fluctuation range was between −6° and 6°. In contrast, under the modified terrain scenario, the fluctuation range of the main deck angle of attack was significantly narrowed, suggesting that terrain variations mitigated the nonuniformity of the wind field. Under vertical inflow conditions, the influence of terrain variations on the main deck angle of attack remained relatively minor.
- (3)
- The impact of terrain variations on the mean wind profile was primarily concentrated in the near-ground region. At the starting point near the mountain, the wind speed under the original terrain scenario was approximately 20% lower than that under the modified terrain scenario, with simulations indicating a reduction of up to 30%. As the height increased, the wind speed disparity between the two conditions gradually diminished and ultimately converged. At locations farther from the terrain variation zone (e.g., the L/2 position), the terrain effect was significantly attenuated.
- (4)
- Error analysis revealed that, under the original terrain conditions, significant discrepancies existed between the numerical simulations and wind tunnel experiments for the wind speed and wind attack angle near the mountain region, with relative errors reaching 30% and 50%, respectively. In contrast, under modified terrain conditions, errors were substantially reduced, with wind speed errors controlled within ±10%, demonstrating the enhanced accuracy of numerical simulations following terrain levelling. These findings validate the reliability and engineering applicability of the SST k-ω turbulence model in simulating wind fields over complex terrain.
- (5)
- Numerical simulation results revealed that in the near-ground region, approximately 1H to 3H from the mountain, the local wind speed disparity between the two terrain scenarios reached as high as 60%. Notably, on the leeward side, a “reverse amplification” phenomenon emerged: at specific measurement points, the wind speed under the original terrain scenario can surpass that under the modified terrain scenario, underscoring the intricate vortex or wake effects in the leeward region.
- (6)
- Based on the findings of this study, future research should explore the impact of high winds (such as typhoons) on wind effects caused by terrain variations, particularly in the context of large-scale terrain modifications. For practitioners, when designing wind-resistant structures, especially bridges in coastal or mountainous areas, it is crucial to consider the impact of terrain changes on local wind conditions to ensure accurate wind load assessments and improve structural safety.
Author Contributions
Funding
Data Availability Statement
Acknowledgments
Conflicts of Interest
References
- Wei, K.; Zhong, X.; Cai, H.; Li, X.; Xiao, H. Dynamic response of a sea-crossing cable-stayed suspension bridge under simultaneous wind and wave loadings induced by a landfall typhoon. Ocean. Eng. 2024, 293, 116659. [Google Scholar] [CrossRef]
- Song, L.; Pang, J.; Jiang, C.; Huang, H.; Qin, P. Field measurement and analysis of turbulence coherence for Typhoon Nuri at Macao Friendship Bridge. Sci. China Technol. Sci. 2010, 53, 2647–2657. [Google Scholar] [CrossRef]
- Tao, T.; Xu, Y.-L.; Huang, Z.; Zhan, S.; Wang, H. Buffeting analysis of long-span bridges under typhoon winds with time-varying spectra and coherences. J. Struct. Eng. 2020, 146, 04020255. [Google Scholar] [CrossRef]
- Wang, H.; Li, A.; Niu, J.; Zong, Z.; Li, J. Long-term monitoring of wind characteristics at Sutong Bridge site. J. Wind Eng. Ind. Aerodyn. 2013, 115, 39–47. [Google Scholar] [CrossRef]
- Liu, M.; Liao, H.-l.; Li, M.-s.; Ma, C.-m.; Yu, M. Long-term field measurement and analysis of the natural wind characteristics at the site of Xi-hou-men Bridge. J. Zhejiang Univ. Sci. A 2012, 13, 197–207. [Google Scholar] [CrossRef]
- Tang, S.; Wang, K.; Yu, H.; Li, T.; Tang, J. A comparative study on wind profiles and surface aerodynamic parameters of typhoons over coastland and coastal sea. J. Geophys. Res. Atmos. 2024, 129, e2023JD040449. [Google Scholar] [CrossRef]
- Dai, G.; Xu, Z.; Chen, Y.F.; Flay, R.G.; Rao, H. Analysis of the wind field characteristics induced by the 2019 Typhoon Bailu for the high-speed railway bridge crossing China’s southeast bay. J. Wind Eng. Ind. Aerodyn. 2021, 211, 104557. [Google Scholar] [CrossRef]
- Zhang, J.; Zhang, M.; Li, Y.; Fang, C. Comparison of wind characteristics at different heights of deep-cut canyon based on field measurement. Adv. Struct. Eng. 2020, 23, 219–233. [Google Scholar] [CrossRef]
- Chen, Q.; Yu, C.; Li, Y.; Zhang, X.; He, P. Directional wind characteristics analysis in the mountainous area based on field measurement. J. Wind Eng. Ind. Aerodyn. 2022, 229, 105162. [Google Scholar] [CrossRef]
- Jing, H.; Liao, H.; Ma, C.; Tao, Q.; Jiang, J. Field measurement study of wind characteristics at different measuring positions in a mountainous valley. Exp. Therm. Fluid Sci. 2020, 112, 109991. [Google Scholar] [CrossRef]
- Hui, M.; Larsen, A.; Xiang, H. Wind turbulence characteristics study at the Stonecutters Bridge site: Part I—Mean wind and turbulence intensities. J. Wind Eng. Ind. Aerodyn. 2009, 97, 22–36. [Google Scholar] [CrossRef]
- Hu, P.; Li, Y.; Han, Y.; Cai, C.; Xu, G. Wind tunnel tests on the characteristics of wind fields over a simplified gorge. Adv. Struct. Eng. 2017, 20, 1599–1611. [Google Scholar] [CrossRef]
- Kamada, Y.; Maeda, T.; Yamada, K. Wind tunnel experimental investigation of flow field around two-dimensional single hill models. Renew. Energy 2019, 136, 1107–1118. [Google Scholar] [CrossRef]
- Meroney, R.N. Wind-tunnel simulation of the flow over hills and complex terrain. J. Wind Eng. Ind. Aerodyn. 1980, 5, 297–321. [Google Scholar] [CrossRef]
- Jubayer, C.M.; Hangan, H. A hybrid approach for evaluating wind flow over a complex terrain. J. Wind Eng. Ind. Aerodyn. 2018, 175, 65–76. [Google Scholar] [CrossRef]
- An, L.-S.; Alinejad, N.; Kim, S.; Jung, S. Experimental study on wind characteristics and prediction of mean wind profile over complex heterogeneous terrain. Build. Environ. 2023, 243, 110719. [Google Scholar] [CrossRef]
- Tang, H.; Li, Y.; Shum, K.M.; Xu, X.; Tao, Q. Non-uniform wind characteristics in mountainous areas and effects on flutter performance of a long-span suspension bridge. J. Wind Eng. Ind. Aerodyn. 2020, 201, 104177. [Google Scholar] [CrossRef]
- Zhang, M.; Zhang, J.; Li, Y.; Yu, J.; Zhang, J.; Wu, L. Wind characteristics in the high-altitude difference at bridge site by wind tunnel tests. Wind Struct. 2020, 30, 547–558. [Google Scholar]
- Li, Y.; Hu, P.; Xu, X.; Qiu, J. Wind characteristics at bridge site in a deep-cutting gorge by wind tunnel test. J. Wind Eng. Ind. Aerodyn. 2017, 160, 30–46. [Google Scholar] [CrossRef]
- Zou, Y.; Yue, P.; Liu, Q.; He, X.; Wang, Z. Wind field characteristics of complex terrain based on experimental and numerical investigation. Appl. Sci. 2022, 12, 5124. [Google Scholar] [CrossRef]
- Chen, F.; Wang, W.; Gu, Z.; Zhu, Y.; Li, Y.; Shu, Z. Investigation of hilly terrain wind characteristics considering the interference effect. J. Wind Eng. Ind. Aerodyn. 2023, 241, 105543. [Google Scholar] [CrossRef]
- Yan, L.; Guo, Z.S.; Zhu, L.D.; Flay, R.G. Wind tunnel study of wind structure at a mountainous bridge location. Wind Struct. 2016, 23, 191–209. [Google Scholar] [CrossRef]
- Li, Y.; Xu, X.; Zhang, M.; Xu, Y. Wind tunnel test and numerical simulation of wind characteristics at a bridge site in mountainous terrain. Adv. Struct. Eng. 2017, 20, 1223–1231. [Google Scholar] [CrossRef]
- Zhang, M.; Yu, J.; Zhang, J.; Wu, L.; Li, Y. Study on the wind-field characteristics over a bridge site due to the shielding effects of mountains in a deep gorge via numerical simulation. Adv. Struct. Eng. 2019, 22, 3055–3065. [Google Scholar]
- Song, J.-L.; Li, J.-W.; Flay, R.G.; Pirooz, A.A.S.; Fu, J.-Y. Validation and application of pressure-driven RANS approach for wind parameter predictions in mountainous terrain. J. Wind Eng. Ind. Aerodyn. 2023, 240, 105483. [Google Scholar] [CrossRef]
- Zhu, X.-q.; Weng, J.-t.; Wu, Y.-q.; Gao, W.-j.; Wang, Z. Wind suitability in site analysis of coastal concave terrains using computational fluid dynamics simulation: A case study in East Asia. J. Zhejiang Univ. -Sci. A 2017, 18, 741–756. [Google Scholar] [CrossRef]
- Abdi, D.S.; Bitsuamlak, G.T. Wind flow simulations on idealized and real complex terrain using various turbulence models. Adv. Eng. Softw. 2014, 75, 30–41. [Google Scholar] [CrossRef]
- Chen, X.; Liu, Z.; Wang, X.; Chen, Z.; Xiao, H.; Zhou, J. Experimental and numerical investigation of wind characteristics over mountainous valley bridge site considering improved boundary transition sections. Appl. Sci. 2020, 10, 751. [Google Scholar] [CrossRef]
- Nabil, M.; Guo, F.; Jiang, L.; Yu, Z.; Long, Q. Numerical Investigation of Wind Flow and Speedup Effect at a Towering Peak Extending out of a Steep Mountainside: Implications for Landscape Platforms. Mathematics 2024, 12, 467. [Google Scholar] [CrossRef]
- Song, J.-L.; Li, J.-W.; Xu, R.-Z.; Flay, R.G. Field measurements and CFD simulations of wind characteristics at the Yellow River bridge site in a converging-channel terrain. Eng. Appl. Comput. Fluid Mech. 2022, 16, 58–72. [Google Scholar] [CrossRef]
- Hu, P.; Li, Y.; Han, Y.; Cai, S.C.; Xu, X. Numerical simulations of the mean wind speeds and turbulence intensities over simplified gorges using the SST k-ω turbulence model. Eng. Appl. Comput. Fluid Mech. 2016, 10, 359–372. [Google Scholar] [CrossRef]
- Yang, W.; Quan, Y.; Jin, X.; Tamura, Y.; Gu, M. Influences of equilibrium atmosphere boundary layer and turbulence parameter on wind loads of low-rise buildings. J. Wind Eng. Ind. Aerodyn. 2008, 96, 2080–2092. [Google Scholar] [CrossRef]
- Yang, Y.; Xie, Z.; Gu, M. Consistent inflow boundary conditions for modelling the neutral equilibrium atmospheric boundary layer for the SST k-ω model. Wind Struct. 2017, 24, 465–480. [Google Scholar] [CrossRef]
- JTG/T 3360-01—2018; Wind-Resistant Design Specification for Highway Bridges. Tongji University: Shanghai, China, 2019.



















| Case | Contrast/Original Terrain (A/B) | Bridge Span Location |
|---|---|---|
| Case 1 | without/with mountains | starting point, 4/L, 2/L, 3/4L, finishing point |
| Case 2 | without/with mountains | starting point, 4/L, 2/L, 3/4L, finishing point |
| Case 3 | without/with mountains | starting point, 4/L, 2/L, 3/4L, finishing point |
| Case 4 | without/with mountains | starting point, 4/L, 2/L, 3/4L, finishing point |
| Case 5 | without/with mountains | starting point, 4/L, 2/L, 3/4L, finishing point |
| Case 6 | without/with mountains | starting point, 4/L, 2/L, 3/4L, finishing point |
| Mesh | Min. Grid Size on Terrain (m) | Min. Grid Size (m) | First-Layer Boundary Height (m) | Growth Rate | Total Cells |
|---|---|---|---|---|---|
| A1 | 0.03 | 0.1 | 0.0009 | 1.13 | 1,549,914 |
| A2 | 0.02 | 0.05 | 0.0007 | 1.13 | 3,202,482 |
| A3 | 0.01 | 0.04 | 0.0003 | 1.13 | 6,579,340 |
Disclaimer/Publisher’s Note: The statements, opinions and data contained in all publications are solely those of the individual author(s) and contributor(s) and not of MDPI and/or the editor(s). MDPI and/or the editor(s) disclaim responsibility for any injury to people or property resulting from any ideas, methods, instructions or products referred to in the content. |
© 2025 by the authors. Licensee MDPI, Basel, Switzerland. This article is an open access article distributed under the terms and conditions of the Creative Commons Attribution (CC BY) license (https://creativecommons.org/licenses/by/4.0/).
Share and Cite
Lin, Z.; Xia, D.; Jiang, Y.; Yuan, Z.; Wang, H.; Lin, L. Experimental and Numerical Investigation of Localized Wind Effects from Terrain Variations at a Coastal Bridge Site. J. Mar. Sci. Eng. 2025, 13, 1223. https://doi.org/10.3390/jmse13071223
Lin Z, Xia D, Jiang Y, Yuan Z, Wang H, Lin L. Experimental and Numerical Investigation of Localized Wind Effects from Terrain Variations at a Coastal Bridge Site. Journal of Marine Science and Engineering. 2025; 13(7):1223. https://doi.org/10.3390/jmse13071223
Chicago/Turabian StyleLin, Ziyong, Dandan Xia, Yan Jiang, Zhiqun Yuan, Huaifeng Wang, and Li Lin. 2025. "Experimental and Numerical Investigation of Localized Wind Effects from Terrain Variations at a Coastal Bridge Site" Journal of Marine Science and Engineering 13, no. 7: 1223. https://doi.org/10.3390/jmse13071223
APA StyleLin, Z., Xia, D., Jiang, Y., Yuan, Z., Wang, H., & Lin, L. (2025). Experimental and Numerical Investigation of Localized Wind Effects from Terrain Variations at a Coastal Bridge Site. Journal of Marine Science and Engineering, 13(7), 1223. https://doi.org/10.3390/jmse13071223

