Fatigue Reliability Analysis of Offshore Wind Turbines Under Combined Wind–Wave Excitation via Direct Probability Integral Method
Abstract
1. Introduction
2. FOWT Model and Fatigue Reliability Analysis Approach
2.1. Numerical Model of FOWT
2.2. Probabilistic Modeling of Long-Term Joint Wind and Wave Loads
2.3. Fatigue Damage Location and Stress Calculation
2.4. Rainflow Counting Method
2.5. S–N Curve
2.6. Fatigue Cumulative Damage Theory
2.7. Fatigue Reliability Analysis via DPIM
3. Numerical Examples
3.1. Stochastic Response Analysis of FOWTs Under Combined Wind–Wave Excitation
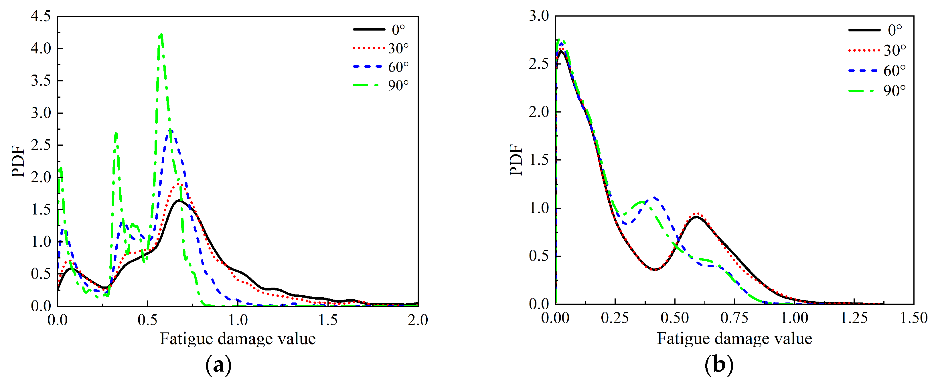
3.2. Fatigue Damage Analysis of FOWTs Under Combined Wind–Wave Excitation
3.3. Fatigue Reliability Analysis of FOWTs Under Combined Wind–Wave Excitation
4. Conclusions
- (1)
- This paper develops the DPIM to analyze the stochastic response and structural fatigue reliability analyses of key components for FOWTs under combined wind–wave excitation. The proposed uncertainty quantification method serves as an alternative approach for analyzing FOWT structures with multiple uncertainties.
- (2)
- Compared to the typical MCS, the DPIM has a high accuracy and significantly improves computational efficiency, making the assessment for the fatigue reliability analysis of key components for FOWT structures more efficient.
- (3)
- The fatigue reliability of the tower base and blade root declines significantly over time under aligned wind–wave conditions, decreasing from 0.855 and 0.864 at 20 years to 0.704 and 0.746 at 25 years. This necessitates more frequent inspections and maintenance as the end of the service life approaches, to ensure operational safety.
Author Contributions
Funding
Institutional Review Board Statement
Informed Consent Statement
Data Availability Statement
Acknowledgments
Conflicts of Interest
References
- Toft, H.S.; Sørensen, J.D. Reliability-based design of wind turbine blades. Struct. Saf. 2011, 33, 333–342. [Google Scholar] [CrossRef]
- Colone, L.; Natarajan, A.; Dimitrov, N. Impact of turbulence induced loads and wave kinematic models on fatigue reliability estimates of offshore wind turbine monopiles. Ocean Eng. 2018, 155, 295–309. [Google Scholar] [CrossRef]
- Wilkie, D.; Galasso, C. Gaussian process regression for fatigue reliability analysis of offshore wind turbines. Struct. Saf. 2021, 88, 102020. [Google Scholar] [CrossRef]
- Fu, B.; Zhao, J.B.; Li, B.Q.; Yao, J.; Teifouet, A.R.M.; Sun, L.Y.; Wang, Z.Y. Fatigue reliability analysis of wind turbine tower under random wind load. Struct. Saf. 2020, 87, 101982. [Google Scholar] [CrossRef]
- Zhao, G.H.; Dong, S.; Zhao, Y.L. Fatigue reliability analysis of floating offshore wind turbines under the random environmental conditions based on surrogate model. Ocean Eng. 2024, 314, 119686. [Google Scholar] [CrossRef]
- Castro, O.; Yeniceli, S.C.; Berring, P.; Semenov, S.; Branner, K. Experimental demonstration of strain-based damage method for optimized fatigue testing of wind turbine blades. Compos. Struct. 2022, 293, 115683. [Google Scholar] [CrossRef]
- Luczak, M.M.; Riva, R.; Yeniceli, S.C.; Madsen, S.H.; Lorenzo, E.D. Identification of the test setup influence on the modal properties of a short wind turbine blade during fatigue test. Measurement 2021, 174, 108960. [Google Scholar] [CrossRef]
- Chen, L.; Basu, B. Fatigue load estimation of a spar-type floating offshore wind turbine considering wave-current interactions. Int. J. Fatigue 2018, 116, 421–428. [Google Scholar] [CrossRef]
- Liang, J.; Wang, Y.; Li, C.; Ou, J.P. Fatigue analysis of monopile-supported offshore wind turbine under varied supported conditions. Ocean Eng. 2025, 320, 120279. [Google Scholar] [CrossRef]
- Valdebenito, M.A.; Jensen, H.A.; Labarca, A.A. Estimation of first excursion probabilities for uncertain stochastic linear systems subject to Gaussian load. Comput. Struct. 2014, 138, 36–48. [Google Scholar] [CrossRef]
- Li, J.; Chen, J.B. Stochastic Dynamics of Structures; John Wiley & Sons, Ltd.: Singapore, 2009; pp. 192–195. [Google Scholar] [CrossRef]
- Melchers, R.E.; Beck, A.T. Structural Reliability Analysis and Prediction, 2nd ed.; John Wiley & Sons: New York, NY, USA, 2017; pp. 95–130. [Google Scholar] [CrossRef]
- Chen, G.H.; Yang, D.X. Direct probability integral method for stochastic response analysis of static and dynamic structural systems. Comput. Methods Appl. Mech. Eng. 2019, 357, 112612. [Google Scholar] [CrossRef]
- Chen, G.H.; Yang, D.X. A unified analysis framework of static and dynamic structural reliabilities based on direct probability integral method. Mech. Syst. Signal Process. 2021, 158, 107783. [Google Scholar] [CrossRef]
- Jonkman, J.M.; Butterfield, S.; Musial, W.; Scott, G. Definition of a 5-MW Reference Wind Turbine for Offshore System Development; National Renewable Energy Lab (NREL): Golden, CO, USA, 2009. [Google Scholar] [CrossRef]
- DNV-RP-C203: Fatigue Design of Offshore Steel Structures. 2011. Available online: https://www.dnv.com/ (accessed on 1 October 2011).
- Miner, M.A. Cumulative Damage in Fatigue. J. Appl. Mech. 1945, 12, A159–A164. [Google Scholar] [CrossRef]
- Jonkman, J.M. Definition of the Floating System for Phase IV of OC3; National Renewable Energy Lab (NREL): Golden, CO, USA, 2005. [Google Scholar] [CrossRef]
- Jonkman, J.M.; Buhl, J.M. FAST User’s Guide; National Renewable Energy Lab (NREL): Golden, CO, USA, 2005. [Google Scholar] [CrossRef]
- Roald, L.; Jonkman, J.M.; Robertson, A.; Chokani, N. The Effect of Second-Order Hydrodynamics on Floating Offshore Wind Turbines. Energy Procedia 2013, 35, 253–264. [Google Scholar] [CrossRef]
- Wind Energy Generation Systems-Part 3-2: Design Requirements for Floating Offshore Wind Turbines. Available online: https://webstore.iec.ch/en/publication/29244 (accessed on 5 April 2019).
- Dee, D.P.; Uppala, S.M.; Simmons, A.J.; Berrisford, P.; Poli, P.; Kobayashi, S.; Andrae, U.; Balmaseda, M.A.; Balsamo, G.; Bauer, P.; et al. The ERA-Interim reanalysis: Configuration and performance of the data assimilation system. Q. J. R. Meteorol. Soc. 2011, 137, 553–597. [Google Scholar] [CrossRef]
- Song, Y.P.; Sun, T.; Zhang, Z.L. Fatigue reliability analysis of floating offshore wind turbines considering the uncertainty due to finite sampling of load conditions. Renew. Energy 2023, 212, 570–588. [Google Scholar] [CrossRef]
- Kvittem, M.I.; Moan, T. Time domain analysis procedures for fatigue assessment of a semi-submersible wind turbine. Mar. Struct. 2015, 40, 38–59. [Google Scholar] [CrossRef]
- Matsuichi, M.; Endo, T. Fatigue of Metals Subjected to Varying Stress; John Wiley & Sons: New York, NY, USA, 1968. [Google Scholar]










| Parameter | Value |
|---|---|
| Rating | 5 MW |
| Rotor and hub diameter, hub height | 126 m, 3 m, 90 m |
| Cut-in, rated, cut-out wind speed | 3 m/s, 11.4 m/s, 25 m/s |
| Cut-in, rated root speed | 6.9 rpm, 12.1 rpm |
| Elevation to tower base above SWL | 10 m |
| Tower base diameter, tower base thickness | 6.5 m, 0.027 m |
| Variable | Distribution Type | Distribution Parameters | K-S Test | |
|---|---|---|---|---|
| Truncated Weibull | Pass | |||
| Lognormal | Pass | |||
| Lognormal | Pass |
| Input Parameter | Load Case | Fatigue Damage | |||
|---|---|---|---|---|---|
| Tower Base | Blade Root | ||||
| mean wind speed | 5 | 1 | 8 | 6.74 × 10−8 | 1.28 × 10−10 |
| 11.4 | 1 | 8 | 6.24 × 10−7 | 3.38 × 10−7 | |
| 20 | 1 | 8 | 1.08 × 10−6 | 1.76 × 10−7 | |
| significant wave height | 11.4 | 0.5 | 8 | 5.02 × 10−7 | 3.24 × 10−7 |
| 11.4 | 1 | 8 | 6.24 × 10−7 | 3.38 × 10−7 | |
| 11.4 | 2 | 8 | 1.23 × 10−6 | 3.93 × 10−7 | |
| spectral peak period | 11.4 | 1 | 5 | 6.43 × 10−7 | 3.42 × 10−7 |
| 11.4 | 1 | 8 | 6.24 × 10−7 | 3.38 × 10−7 | |
| 11.4 | 1 | 11 | 5.89 × 10−7 | 3.48 × 10−7 | |
| Method | Fatigue Reliability | CPU Time (s) | ||||||
|---|---|---|---|---|---|---|---|---|
| 0° | 30° | 60° | 90° | 0° | 30° | 60° | 90° | |
| DPIM | 0.704 | 0.782 | 0.950 | 0.999 | 22910 | 22910 | 22910 | 22910 |
| SSM | 0.714 | 0.776 | 0.955 | 0.995 | 76749 | 80185 | 88204 | 194732 |
Disclaimer/Publisher’s Note: The statements, opinions and data contained in all publications are solely those of the individual author(s) and contributor(s) and not of MDPI and/or the editor(s). MDPI and/or the editor(s) disclaim responsibility for any injury to people or property resulting from any ideas, methods, instructions or products referred to in the content. |
© 2025 by the authors. Licensee MDPI, Basel, Switzerland. This article is an open access article distributed under the terms and conditions of the Creative Commons Attribution (CC BY) license (https://creativecommons.org/licenses/by/4.0/).
Share and Cite
Ding, J.; Chen, H.; Liu, X.; Rashed, Y.F.; Fu, Z. Fatigue Reliability Analysis of Offshore Wind Turbines Under Combined Wind–Wave Excitation via Direct Probability Integral Method. J. Mar. Sci. Eng. 2025, 13, 506. https://doi.org/10.3390/jmse13030506
Ding J, Chen H, Liu X, Rashed YF, Fu Z. Fatigue Reliability Analysis of Offshore Wind Turbines Under Combined Wind–Wave Excitation via Direct Probability Integral Method. Journal of Marine Science and Engineering. 2025; 13(3):506. https://doi.org/10.3390/jmse13030506
Chicago/Turabian StyleDing, Jingyi, Hanshu Chen, Xiaoting Liu, Youssef F. Rashed, and Zhuojia Fu. 2025. "Fatigue Reliability Analysis of Offshore Wind Turbines Under Combined Wind–Wave Excitation via Direct Probability Integral Method" Journal of Marine Science and Engineering 13, no. 3: 506. https://doi.org/10.3390/jmse13030506
APA StyleDing, J., Chen, H., Liu, X., Rashed, Y. F., & Fu, Z. (2025). Fatigue Reliability Analysis of Offshore Wind Turbines Under Combined Wind–Wave Excitation via Direct Probability Integral Method. Journal of Marine Science and Engineering, 13(3), 506. https://doi.org/10.3390/jmse13030506

