Acoustic Emission and Electromagnetic Radiation Caused by Compression and Bending Destruction of Ice
Abstract
1. Introduction
2. Acoustic Emission Method for Monitoring of Materials
3. Electromagnetic Radiation Method for Monitoring of Materials
4. Acoustic Emission in Ice Experiments
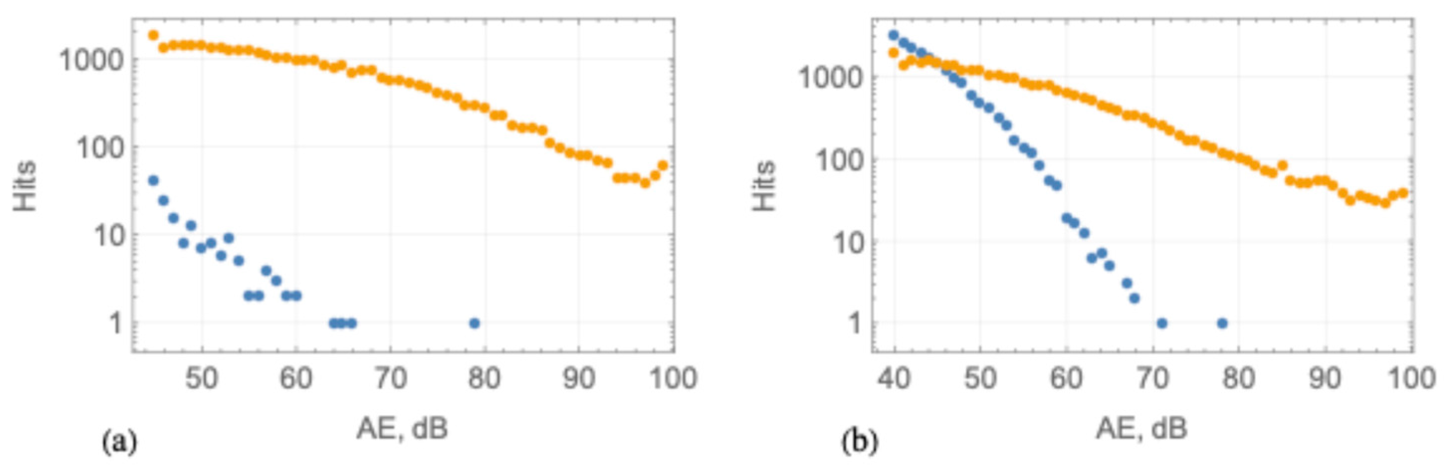
4.1. Uniaxial Compression of Ice Specimens
4.2. Bending Tests
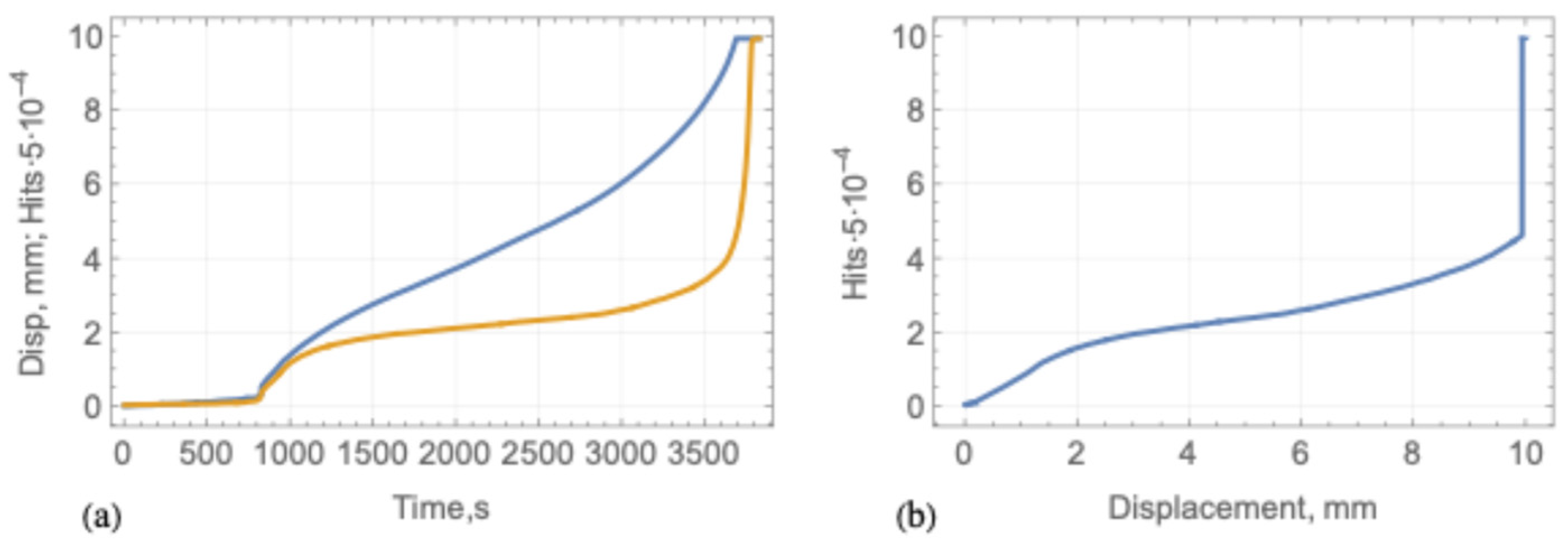
4.3. Fixed-End Beam Tests
5. Electromagnetic Radiation in Ice Experiments
5.1. Uniaxial Compression of Ice Specimens
5.2. Fixed-End Beam Tests
6. Discussion
7. Conclusions
- Both AE and EMR methods are useful for studying ice destruction processes under compression and bending.
- The development of specialized equipment, including antennas and recording units detecting the EMR from ice, can improve the quality of remote sensing of sea ice by the monitoring of stressed ice subjected to failure.
- Further analysis of the shape and spectrum of the EMR signals from deformed ice is needed for the development of new methods of remote sensing of stressed ice subjected to failure.
- A gradual increase in AE and EMR before ice failure can be considered as a predictor of floating ice destruction under the action of concentrated load.
Funding
Data Availability Statement
Acknowledgments
Conflicts of Interest
References
- ISO 19906: 2019; Petroleum and National Gas Industries—Arctic Offshore Structures. ISO: Geneva, Switzerland.
- Roberts, A.; Hunke, E.; Allard, R.; Bailey, D.; Craig, A.; Lemieux, J.-F.; Turner, M. Quality control for community-based sea-ice model development. Philos. Trans. R. Soc. A 2018, 376, 17. [Google Scholar] [CrossRef] [PubMed]
- Yadav, J.; Kumar, A.; Mohan, R. Dramatic decline of Arctic sea ice linked to global warming. Nat. Hazards 2020, 103, 2617–2621. [Google Scholar] [CrossRef]
- Squire, V.A. Ocean wave interactions with sea ice: A reappraisal. Annu. Rev. Fluid Mech. 2020, 52, 37–60. [Google Scholar] [CrossRef]
- Ardhuin, F.; Sutherland, P.; Doble, M.; Wadhams, P. Ocean waves across the Arctic: Attenuation due to dissipation dominates over scattering for periods longer than 19 s. Geophys. Res. Lett. 2016, 43, 5775–5783. [Google Scholar] [CrossRef]
- Li, S.; Babanin, A.; Liu, Q.; Liu, J.; Li, R.; Voermans, J. Effect of ocean surface waves on sea ice using coupled wave-ice-ocean modelling. Ocean Model. 2025, 196, 102540. [Google Scholar] [CrossRef]
- Sun, H.; Li, C.; Cheng, Y. Monitoring Polar Sea Ice Using Optical and SAR Data. Mar. Technol. Soc. J. 2019, 53, 35–41. [Google Scholar] [CrossRef]
- Stepaniuk, I.A.; Smirnov, V.N. Methods of Measurements of Ice Dynamics Characteristics; Hydrometeoizdat: St.-Peterburg, Russian, 2001; 136p. (In Russian) [Google Scholar]
- Pritchard, R.S. Arctic ocean background noise caused by ridging of sea ice. J. Acoust. Soc. Am. 1984, 75, 419–427. [Google Scholar] [CrossRef]
- Kinda, G.B.; Simrad, Y.; Gervaise, C.; Mars, J.I.; Fortier, L. Arctic underwater noise transients from sea ice deformation: Characteristics, annual time series, and forcing in Beaufort Sea. J. Acoust. Soc. Am. 2015, 138, 2034–2045. [Google Scholar] [CrossRef] [PubMed]
- Williams, K.L.; Boyd, M.L.; Soloway, A.G.; Thorsos, E.I.; Kargl, S.G.; Odom, R.I. Noise Background Levels and Noise Event Tracking/Characterization Under the Arctic Ice Pack: Experiment, Data Analysis, and Modeling. IEEE J. Ocean. Eng. 2018, 43, 145–159. [Google Scholar] [CrossRef]
- Betlaos, S. Collapse of floating ice covers under vertical loads: Test data vs. theory. Cold Reg. Sci. Technol. 2002, 34, 191–207. [Google Scholar] [CrossRef]
- Cole, D.M.; Dempsey, J.P. In situ sea ice experiments in McMurdo Sound: Cyclic loading, fracture, and acoustic emissions. J. Cold Reg. Eng. 2004, 18, 155–174. [Google Scholar] [CrossRef]
- Zhang, G.; Li, H.; Wang, M.; Li, X.; Wang, Z.; Deng, S. Crack-induced acoustic emission and anisotropy variation of brittle rocks containing natural fractures. J. Geophys. Eng. 2019, 16, 599–610. [Google Scholar] [CrossRef]
- Khan, T.I.; Rashid, A.A.; Nanami, T. Theoretical and experimental analysis of acoustic emission signal for resonant sensor on homogenous material. Sens. Bio-Sens. Res. 2023, 39, 100550. [Google Scholar] [CrossRef]
- Gutenberg, B.; Richter, C.F. Frequency of earthquakes in California. Bull. Seismologic. Soc. Am. 1944, 34, 185–188. [Google Scholar] [CrossRef]
- Sammonds, P.R.; Meredith, P.G.; Murrell, S.A.F.; Main, I.G. Modelling the damage evolution in rock containing pore fluid by acoustic emission. In Rock Mechanics in Petroleum Engineering; Society of Petroleum Engineers: Houston, TX, USA, 1994. [Google Scholar]
- Lawrence, F.S.; Cole, D.M. Acoustic emission from polycrystalline ice. In CRREL Report 82-21; U.S. Army Corps of Engineers, Cold Regions Research and Engineering Laboratory: Hanover, NH, USA, 1982; 26p. [Google Scholar]
- Langhorne, P.J.; Haskell, T.G. Acoustic emission during fatigue experiments on first year sea ice. Cold Reg. Sci. Technol. 1996, 24, 237–250. [Google Scholar] [CrossRef]
- Li, D.; Du, F. Monitoring and evaluating the failure behavior of ice structure using the acoustic emission technique. Cold Reg. Sci. Technol. 2016, 129, 51–59. [Google Scholar] [CrossRef]
- Marchenko, A.; Chistyakov, P.; Cole, D.; Karulin, E.; Karulina, M.; Markov, V.; Marchenko, N.; Sakharov, A.; Sliusarenko, A.; Sodhi, D. Ice failure properties in fixed-ends beam tests. In Proceedings of the 26th IAHR International Symposium on Ice, Montreal, QC, Canada, 19–23 June 2022. [Google Scholar]
- Sinha, N.K. Acoustic emission and microcracking in ice. In Proceedings of the 1982 Joint Conference on Experimental Mechanics, Society of Experimental Stress Analysis/Japan Society for Mechanical Engineers, Honolulu/Maui, Hawaii, 23–28 May 1982; Part 11, pp. 767–772. [Google Scholar]
- Lishman, B.; Marchenko, A.; Sammonds, P.; Murdza, A. Acoustic emissions from in situ compression and indentation experiments on sea ice. Cold Regions Sci. Technol. 2020, 172, 102987. [Google Scholar] [CrossRef]
- Stavrianaki, K.; Shortt, M.; Sammonds, P. Source Location and Dataset Incompleteness in Acoustic Emissions from Ice Tank Tests on Ice-Rubble-Ice Friction. In IUTAM Symposium on Physics and Mechanics of Sea Ice; Tuhkuri, J., Polojärvi, A., Eds.; IUTAM Bookseries 39; Springer: Cham, Switzerland, 2022. [Google Scholar] [CrossRef]
- Weiss, J.; Grasso, J.-R. Acoustic emission in single crystal of ice. J. Phys. Chem. B 1997, 101, 6113–6117. [Google Scholar] [CrossRef]
- McLaskey, G.C.; Glaser, S.D. Acoustic emission sensor calibration for absolute source measurements. J. Nondestruct. Eval. 2012, 31, 157–168. [Google Scholar] [CrossRef]
- Langlebben, M.P.; Pounder, E.R. Elastic parameters of sea ice. In Ice and Snow: Properties, Processes, and Application; Kingery, W.E., Ed.; MIT Press: Cambridge, MA, USA, 1963; pp. 69–78. [Google Scholar]
- Bogorodskii, V.V. Elastic moduli of ice crystals. Sov. Phys. Acoust. 1964, 10, 124–126. [Google Scholar]
- Dantl, G. Elastic moduli of ice. In Physics of Ice; Riehl, N., Builemer, B., Engelhardt, H., Eds.; Plenum Press: New York, NY, USA, 1969; pp. 223–230. [Google Scholar]
- Skatulla, S.; Audh, R.R.; Cook, A.; Hepworth, E.; Johnson, S.; Lupascu, D.C.; MacHutcchon, K.; Marquart, R.; Mielke, T.; Omatuku, E.; et al. Physical and mechanical properties of winter first-year ice in the Antarctic marginal ice zone along the Good Hope Line. Cryosphere 2022, 16, 2899–2925. [Google Scholar] [CrossRef]
- Marchenko, A. Elastic moduli of first-year sea ice calculated from tests with vibrating beams. Ocean Model. 2024, 189, 102365. [Google Scholar] [CrossRef]
- Sharma, S.K.; Chauhan, V.S.; Sinapius, M. A review on deformation-induced electromagnetic radiation detection: History and current status of the technique. J. Mater. Sci. 2021, 56, 4500–4551. [Google Scholar] [CrossRef]
- Mori, Y.; Obata, Y.; Sikula, J. Acoustic and electromagnetic emission from crack created in rock sample under deformation. Acoust. Emiss. 2009, 27, 157–166. [Google Scholar]
- Gokhberg, M.; Morgounov, V.; Yoshino, T.; Tomizawa, I. Experimental measurement of electromagnetic emissions possibly related to earthquakes in Japan. J. Geophys. Res. Solid Earth 1982, 87, 7824–7828. [Google Scholar] [CrossRef]
- Petrenko, V.F.; Colbeck, S.C. Generation of electric fields by ice and snow friction. J. Appl. Phys. 1995, 77, 4518–4521. [Google Scholar] [CrossRef]
- Wang, E.; Jia, H.; Song, D.; Li, N.; Qian, W. Use of ultralow-frequency electromagnetic emission to monitor stress and failure in coal mines. Int. J. Rock Mech. Min. Sci. 2014, 70, 16–25. [Google Scholar] [CrossRef]
- Frid, V. Electromagnetic radiation method for rock and gas outburst forecast. J. Appl. Geophys. 1997, 38, 97–104. [Google Scholar] [CrossRef]
- Frid, V.; Rabinovitch, A.; Bahat, D. Fracture induced electromagnetic radiation. J. Phys. D Appl. Phys. 2003, 36, 1620–1628. [Google Scholar] [CrossRef]
- Rabinovitch, A.; Frid, V.; Bahat, D. Surface oscillations-a possible source of fracture induced electromagnetic radiation. Tectonophysics 2007, 431, 15–21. [Google Scholar] [CrossRef]
- Rabinovitch, A.; Frid, V.; Bahat, D. Directionality of electromagnetic radiation from fractures. Int. J. Fract. 2017, 204, 239–244. [Google Scholar] [CrossRef]
- Song, D.Z.; Wang, E.Y.; Song, X.Y.; Jin, P.J.; Oiu, L.M. Changes in frequency of electromagnetic radiation from Loaded coal. Rock Mech. Rock Eng. 2016, 49, 291–302. [Google Scholar] [CrossRef]
- Mastrogiannis, D.; Antsygina, T.N.; Chishko, K.A.; Mavromatou, C.; Hadjicontis, V. Relationship between electromagnetic and acoustic emissions in deformed piezoelectric media: Microcracking signals. Int. J. Solids Struct. 2015, 56–57, 118–125. [Google Scholar] [CrossRef]
- Yudin, P.V.; Tagantsev, A.K. Fundamentals of flexoelectricity in solids. Nanotechnology 2013, 24, 432001. [Google Scholar] [CrossRef] [PubMed]
- Wang, H.; Jiang, X.; Wang, Y.; Stark, R.W.; van Aken, P.A.; Mannhart, J.; Boschker, H. Direct Observation of Huge Flexoelectric Polarization around Crack Tips. Nano Lett. 2020, 20, 88–94. [Google Scholar] [CrossRef]
- Wu, M.; Zhang, X.; Li, X.; Qu, K.; Sun, Y.; Han, B.; Zhu, R.; Gao, X.; Zhang, J.; Liu, K.; et al. Engineering of atomic-scale flexoelectricity at grain boundaries. Nat. Commun. 2022, 13, 216. [Google Scholar] [CrossRef]
- Daigle, H. Structure of the electrical double layer at the ice-water interface. J. Chem. Phys. 2021, 154, 214703. [Google Scholar] [CrossRef]
- Wen, X.; Ma, Q.; Mannino, A.; Fernandez-Serra, M.; Shen, S.; Catalan, G. Flexoelectricity and surface ferroelectricity of water ice. Nat. Phys. 2023, 21, 1587–1593. [Google Scholar] [CrossRef]
- Wen, X.; Ma, Q.; Liu, J.; Saeed, U.; Shen, S.; Catalan, G. Streaming flexoelectricity in saline ice. Nat. Mater. 2024, 24, 1533–1537. [Google Scholar] [CrossRef]
- Marchenko, A.; Karulin, E.; Karulina, M.; Sakharov, A.; Chistyakov, P.; Sodhi, D.; Sliusarenko, A. Scale effects in compressive strength of sea ice. In Proceedings of the 24th IAHR International Symposium on Ice, Vladivostok, Russia, 4–10 June 2018; p. 18-004. [Google Scholar]
- Marchenko, A.; Karulin, E.; Sakharov, A.; Chistyakov, P. On the influence of the hydraulic characteristics of the rig during full-scale compression and indentation tests on sea ice. In Proceedings of the Port and Ocean Engineering under Arctic Conditions, Delft, The Netherlands, 9–13 June 2019; p. 32. [Google Scholar]
- Moreau, L.; Boué, P.; Serripierri, A.; Weiss, J.; Hollis, D.; Pondaven, I.; Garambois, S.; Larose, É.; Helmstetter, A.; Stehly, L.; et al. Sea ice thickness and elastic properties from the analysis of multimodal guided wave propagation measured with a passive seismic array. J. Geophys. Res. Oceans 2020, 125, e2019JC015709. [Google Scholar] [CrossRef]
- Marchenko, A.; Tanurkov, A. Full-scale measurements of deflection and stresses in floating sea ice subjected to long-term concentrated load. In Proceedings of the International Conference on Port and Ocean Engineering under Arctic Conditions, St. John’s, NL, Canada, 13–17 June 2025; p. 38. [Google Scholar]
- Mansurov, V.A. Acoustic emission from failing rock behavior. Rock Mech. Rock Eng. 1994, 27, 173–182. [Google Scholar] [CrossRef]
- Marchenko, A.; Haase, A.; Jensen, A.; Lishman, B.; Rabault, J.; Evers, K.-U.; Shortt, M.; Thiel, T. Laboratory Investigations of the Bending Rheology of Floating Saline Ice and Physical Mechanisms of Wave Damping in the HSVA Hamburg Ship Model Basin Ice Tank. Water 2021, 13, 1080. [Google Scholar] [CrossRef]
- Sodhi, D.S. Breakthrough loads of floating ice sheets. ASCE J. Cold Reg. Eng. 1995, 9, 4. [Google Scholar] [CrossRef]
- Sodhi, D.S. Vertical penetration of floating ice sheets. Int. J. Solids Struct. 1998, 35, 4275–4294. [Google Scholar] [CrossRef]
- Tanurkov, A.G.; Marchenko, A.V. Electromagnetic radiation at ice compression and failure. Vesti gazovoy nauki: Modern approach and promising technologies within the projects for development of oil-and-gas fields at the Russian continental shelf. Mosc. Gazprom VNIIGAZ LLC 2023, 3, 159–171. (In Russian) [Google Scholar]
- Evtushenko, A.A.; Petrenko, V.F.; Ryzhkin, I.A. Electric polarization of ice at nonuniform elastic strains. Phys. Status Solidi (a) 1984, 86, K31. [Google Scholar] [CrossRef]
- Petrenko, V.; Whitworth, R. Electric currents associated with dislocation motion in ice. J. Phys. Chem. 1983, 87, 4022–4024. [Google Scholar] [CrossRef]
- Fifolt, D.A.; Petrenko, V.F.; Schulson, E.M. Electrical signals from cracks in ice. In Physics and Chemistry of Ice; Maeno, N., Hondoh, T., Eds.; Hokkaido University Press: Sapporo, Japan, 1992; pp. 470–475. [Google Scholar]
- Fifolt, D.A.; Petrenko, V.F.; Schulson, E.M. A preliminary study of electro-magnetic emissions from cracks in ice. Philos. Mag. B 1993, 673, 289–299. [Google Scholar] [CrossRef]
- Jaccard, C. Thermodynamics of irreversible processes applied to ice. Phys. Der Kondens. Mater. 1964, 3, 99–118. [Google Scholar] [CrossRef]
- Petrenko, V.F. Electromechanical phenomena in ice. In Special Report 96-2; CRREL: Hanover, NH, USA, 1996; 30p. [Google Scholar]
- del Pennino, U.; Loria, A.; Mantovani, S.; Mazzega, E. Polarization phenomena induced by cracks in Ih ice crystals. Nuovo C. 1974, 24, 108–120. [Google Scholar] [CrossRef]
- Petrenko, V.F. The surface of ice. In USA Cold Regions Research and Engineering Laboratory; Special Report 94-22; CRREL: Hanover, NH, USA, 1994. [Google Scholar]
- Thiel, D.V. Electromagnetic emission (EME) from ice crack formation: Preliminary observations. Cold Reg. Sci. Technol. 1992, 21, 49–60. [Google Scholar] [CrossRef]
- O’Keefe, S.G.; Thiel, D.V. Conductivity effects on electromagnetic emissions (EME) from ice fracture. J. Electrost. 1996, 36, 225–234. [Google Scholar] [CrossRef]
- Shibkov, A.A.; Zheltov, M.A.; Skvortsov, V.V.; Kol’tsov, R.Y.; Shuklinov, A.V. Electromagnetic Emission under Uniaxial Compression of Ice: I. Identification of Nonstationary Processes of Structural Relaxation by Electromagnetic Signals. Crystallogr. Rep. 2005, 50, 994–1004. [Google Scholar] [CrossRef]
- Shibkov, A.A.; Kol’tsov, R.Y.; Zheltov, M.A. Electromagnetic Emission under Uniaxial Compression of Ice: II. Analysis of the relationship between an electromagnetic signal and the dynamics of charged dislocation pile-ups. Crystallogr. Rep. 2006, 51, 96–103. [Google Scholar] [CrossRef]
- Head, A.K. Dislocation Group Dynamics, I: Similarity Solutions of the n-body Problem. Philos. Mag. 1972, 26, 43–53. [Google Scholar] [CrossRef]
- Frank, F.C.; Read, W.T., Jr. Multiplication Processes for Slow Moving Dislocations. Phys. Rev. 1950, 79, 722–723. [Google Scholar] [CrossRef]
- Shibkov, A.A.; Kazakov, A.A. Electromagnetic Emission under Uniaxial Compression of Ice: II. Dynamics and statistic of dislocation avalanches and cracks. Crystallogr. Rep. 2009, 54, 299–305. [Google Scholar] [CrossRef]
- Schulson, E.M.; Duval, P. Creep and Fracture of Ice; Cambridge University Press: Cambridge, UK, 2009. [Google Scholar]
- Frid, V.; Wang, E.Y.; Mulev, S.N.; Li, D.X. The Fracture Induced Electromagnetic Radiation: Approach and Protocol for the Stress State Assessment for Mining. Geotech. Geol. Eng. 2021, 39, 3285–3291. [Google Scholar] [CrossRef]
- Maniak, K.; Mydlikowski, R. Autonomous Instrumentation for Measuring Electromagnetic Radiation from Rocks in Mine Conditions-A Functional Analysis. Sensors 2022, 22, 600. [Google Scholar] [CrossRef] [PubMed]
- Sinha, N.K.; Shkhinek, K.; Smirnov, V. On borehole indenter (BHI) measurements and analysis. Cold Reg. Sci. Technol. 2012, 76–77, 109–120. [Google Scholar] [CrossRef]






























| N | L, m | w, m | h, m | S, ppt | T, C |
|---|---|---|---|---|---|
| 1 | 7.84 | 0.9 | 0.8 | 5.9 | −6 |
| 2 | 8.28 | 0.88 | 0.8 | 6.7 | −10 |
| N | |||
|---|---|---|---|
| 1 | −0.4 | −1 | 0.31 |
| 2 | −0.35 | −0.93 | 0.42 |
Disclaimer/Publisher’s Note: The statements, opinions and data contained in all publications are solely those of the individual author(s) and contributor(s) and not of MDPI and/or the editor(s). MDPI and/or the editor(s) disclaim responsibility for any injury to people or property resulting from any ideas, methods, instructions or products referred to in the content. |
© 2025 by the author. Licensee MDPI, Basel, Switzerland. This article is an open access article distributed under the terms and conditions of the Creative Commons Attribution (CC BY) license (https://creativecommons.org/licenses/by/4.0/).
Share and Cite
Marchenko, A. Acoustic Emission and Electromagnetic Radiation Caused by Compression and Bending Destruction of Ice. J. Mar. Sci. Eng. 2025, 13, 2352. https://doi.org/10.3390/jmse13122352
Marchenko A. Acoustic Emission and Electromagnetic Radiation Caused by Compression and Bending Destruction of Ice. Journal of Marine Science and Engineering. 2025; 13(12):2352. https://doi.org/10.3390/jmse13122352
Chicago/Turabian StyleMarchenko, Aleksey. 2025. "Acoustic Emission and Electromagnetic Radiation Caused by Compression and Bending Destruction of Ice" Journal of Marine Science and Engineering 13, no. 12: 2352. https://doi.org/10.3390/jmse13122352
APA StyleMarchenko, A. (2025). Acoustic Emission and Electromagnetic Radiation Caused by Compression and Bending Destruction of Ice. Journal of Marine Science and Engineering, 13(12), 2352. https://doi.org/10.3390/jmse13122352
