Adaptive Fuzzy Human-in-the-Loop Control for Unmanned Surface Vehicles in Environmental Monitoring Applications
Abstract
1. Introduction
- 1.
- This paper proposes a novel HiTL intelligent control strategy for USVs used in marine pollution monitoring. Compared with existing methods [33,34,35], the proposed approach leverages human intelligence to better address the challenges of USVs’ navigation and control in complex marine environments, thereby achieving more effective pollutant monitoring. Furthermore, based on the HiTL control framework, a potential field-based obstacle avoidance strategy is designed to achieve effective coordination between autonomous avoidance and manual control, enhancing the security performance of the USVs.
- 2.
- Based on convex optimization theory, this paper designs an adaptive fuzzy control strategy for USVs to effectively compensate for uncertain dynamics. Moreover, a novel adaptive update mechanism is proposed to address the potential issue of excessive parameter growth under the HiTL framework. Compared with existing approaches [36,37,38], the proposed method effectively mitigates the adverse effects of uncertainties on control performance.
2. Model and Problem Statement
2.1. Dynamic Model
2.2. Control Objective
3. Human-in-Loop Control Adaptive Fuzzy Strategy
4. Navigation Law Design
4.1. Surge Velocity Controller
4.2. Heading Angle Controller
5. System Stability Analysis
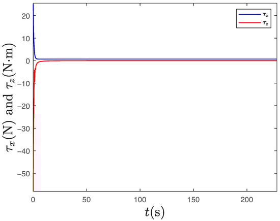
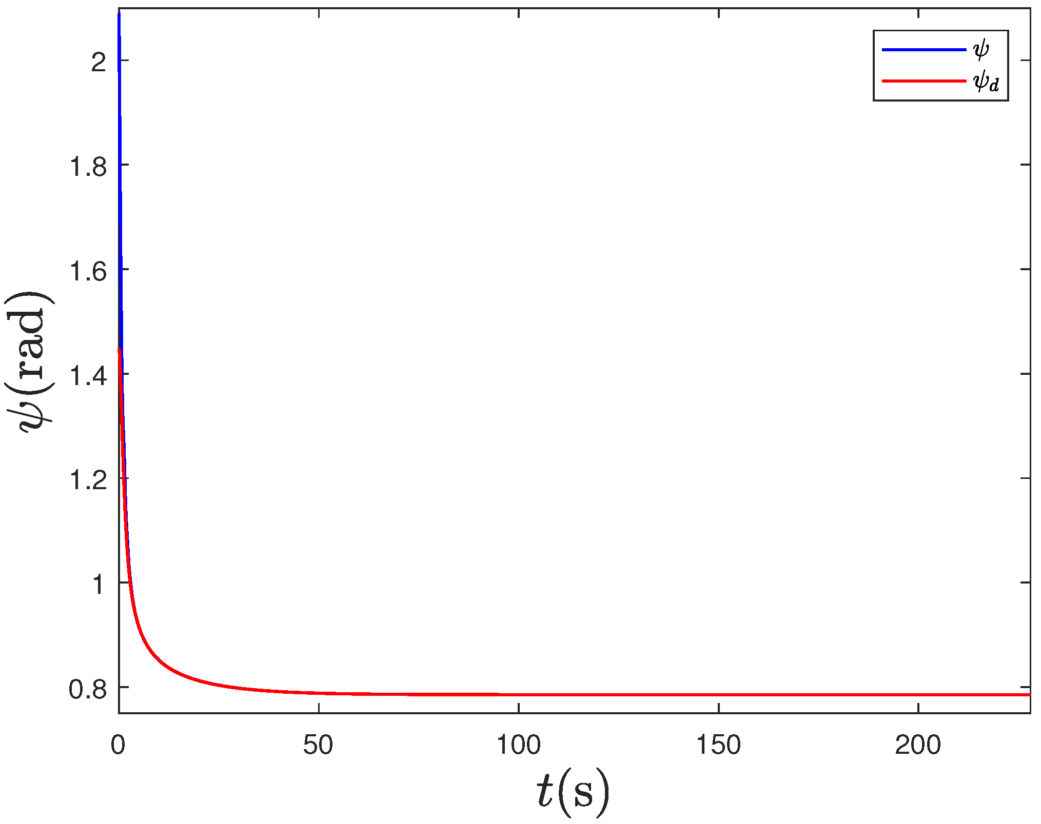
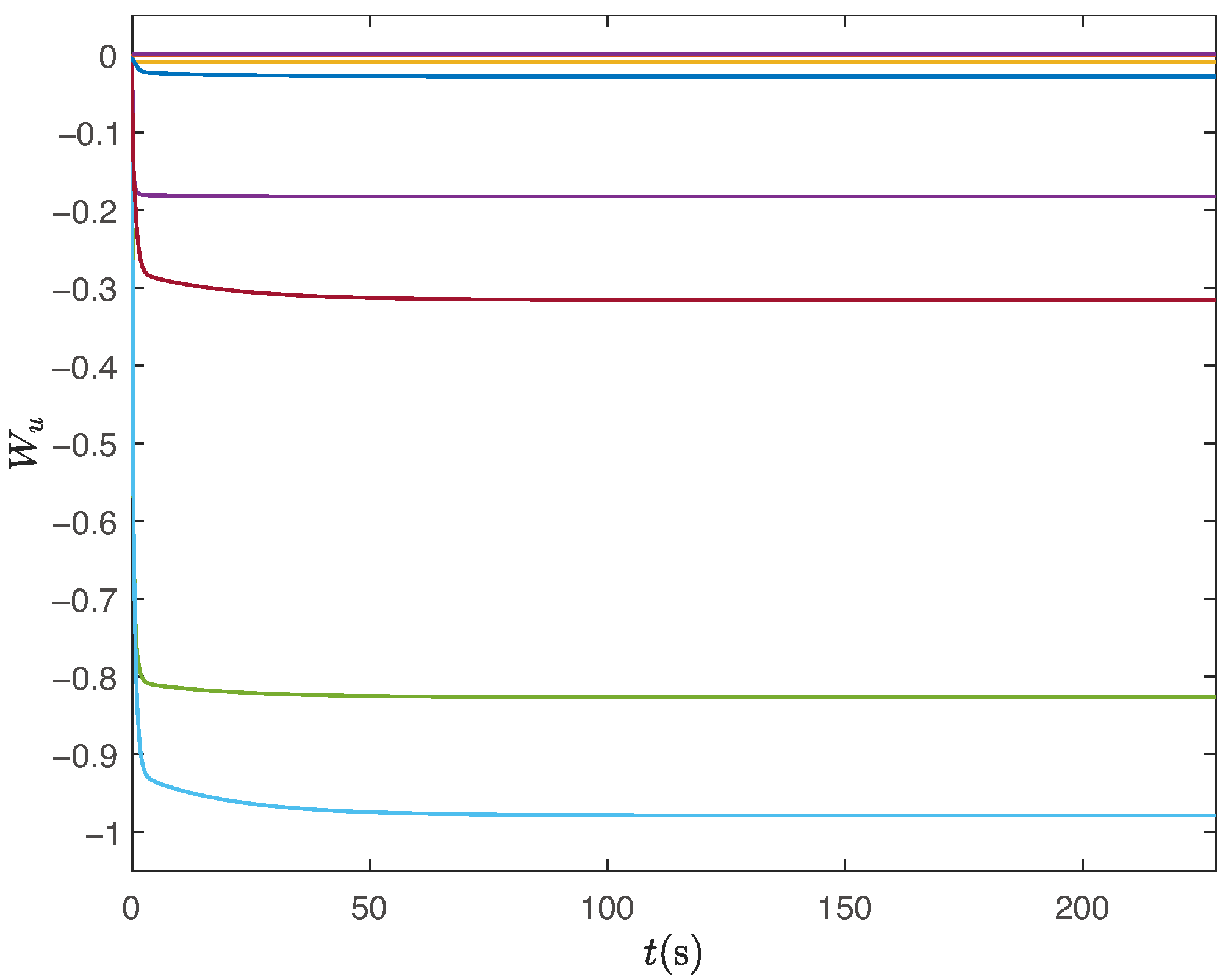
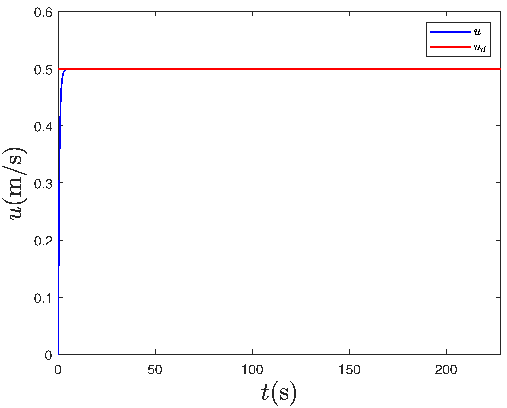
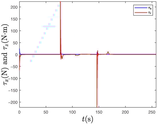
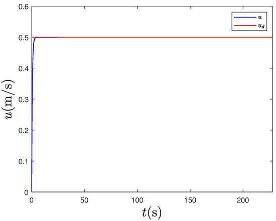
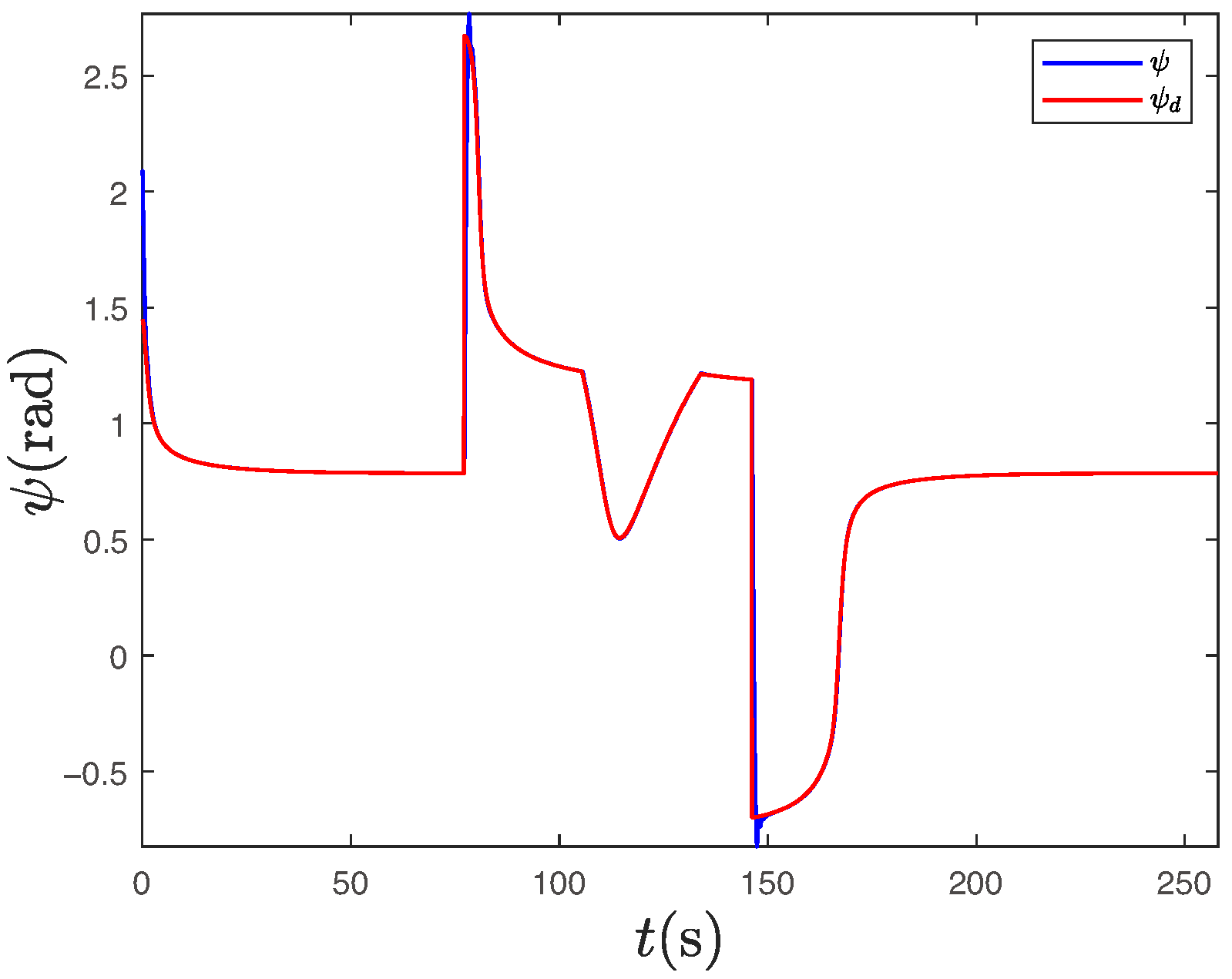
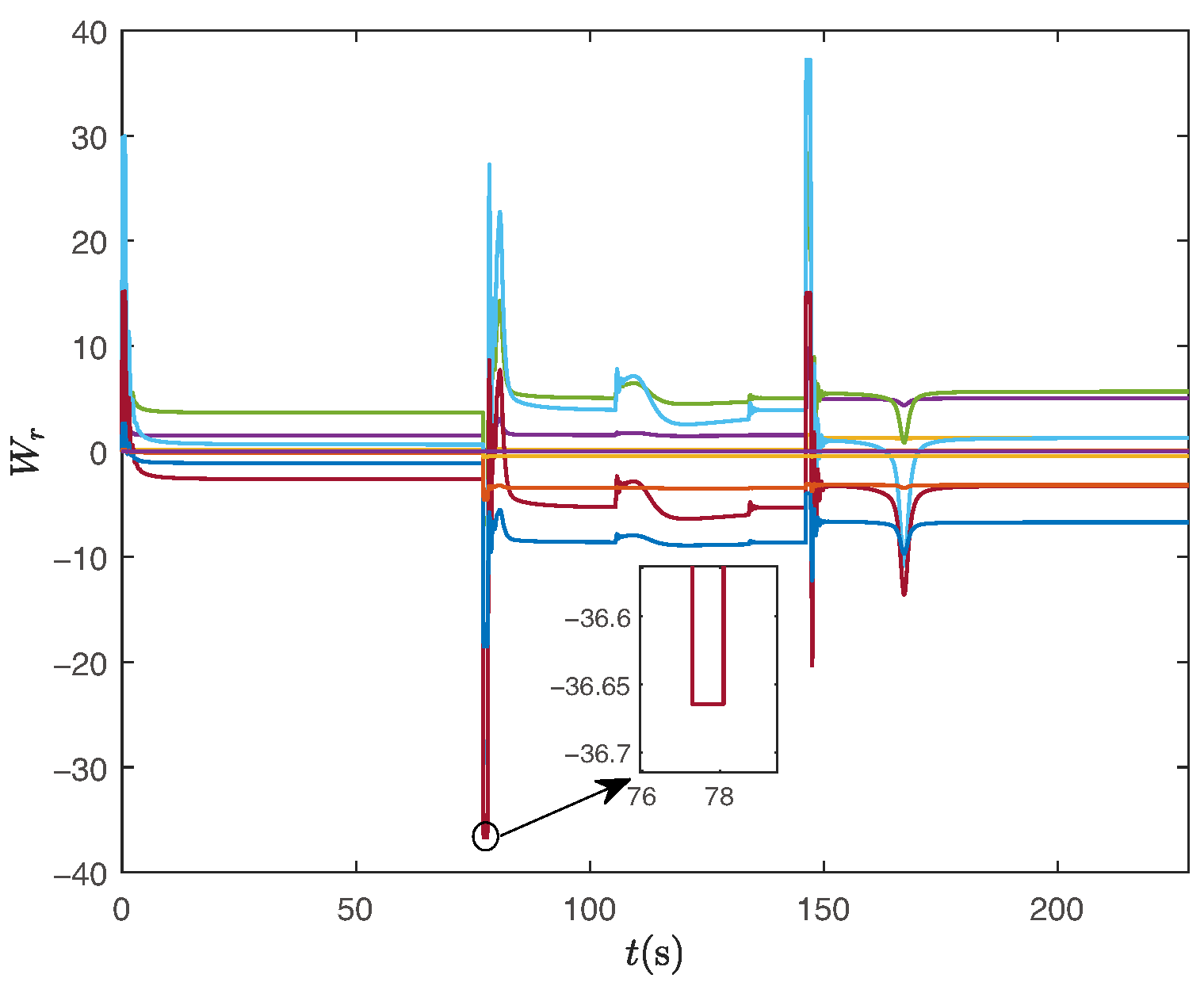
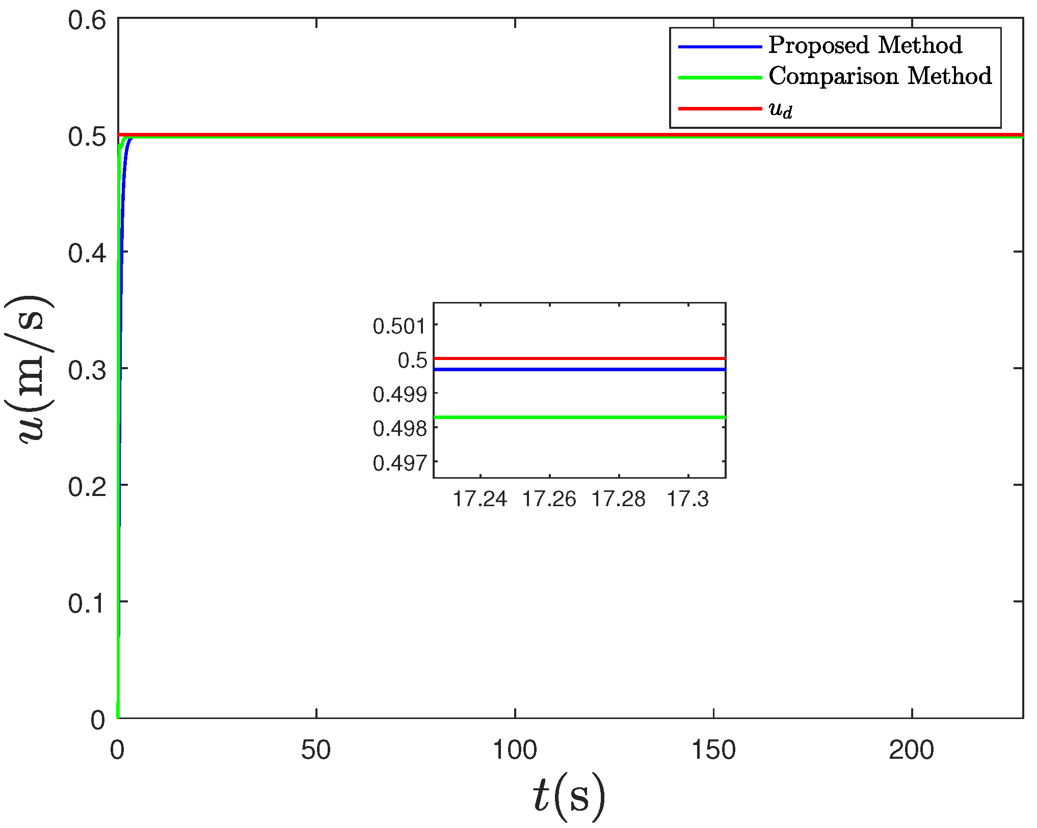
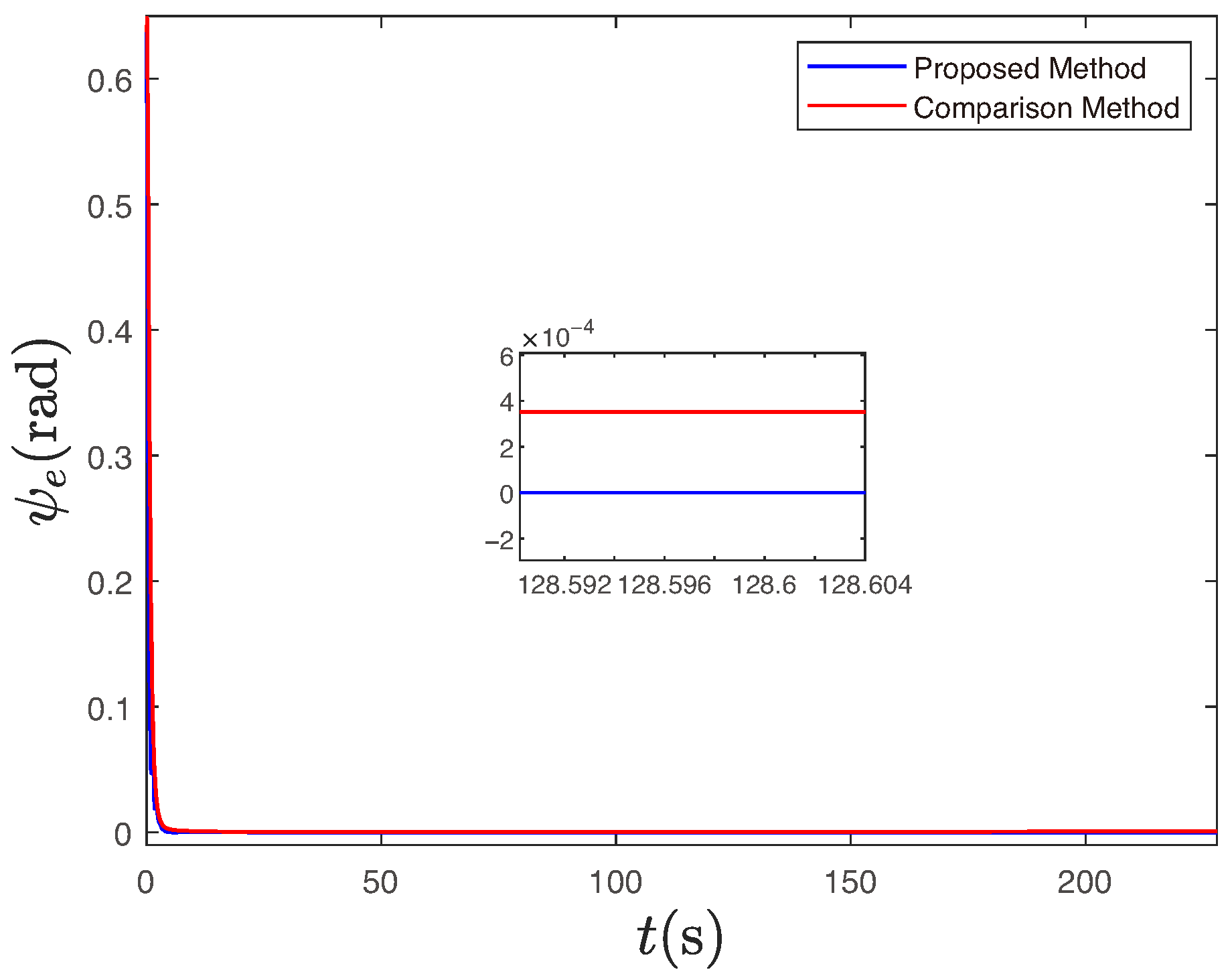
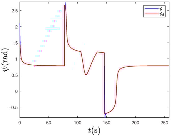
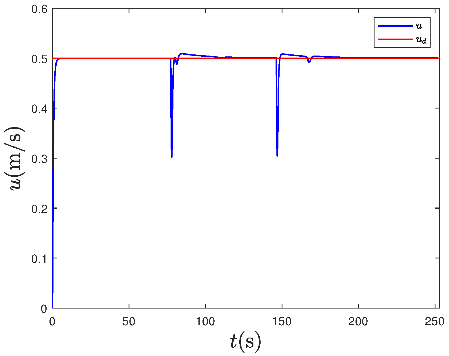
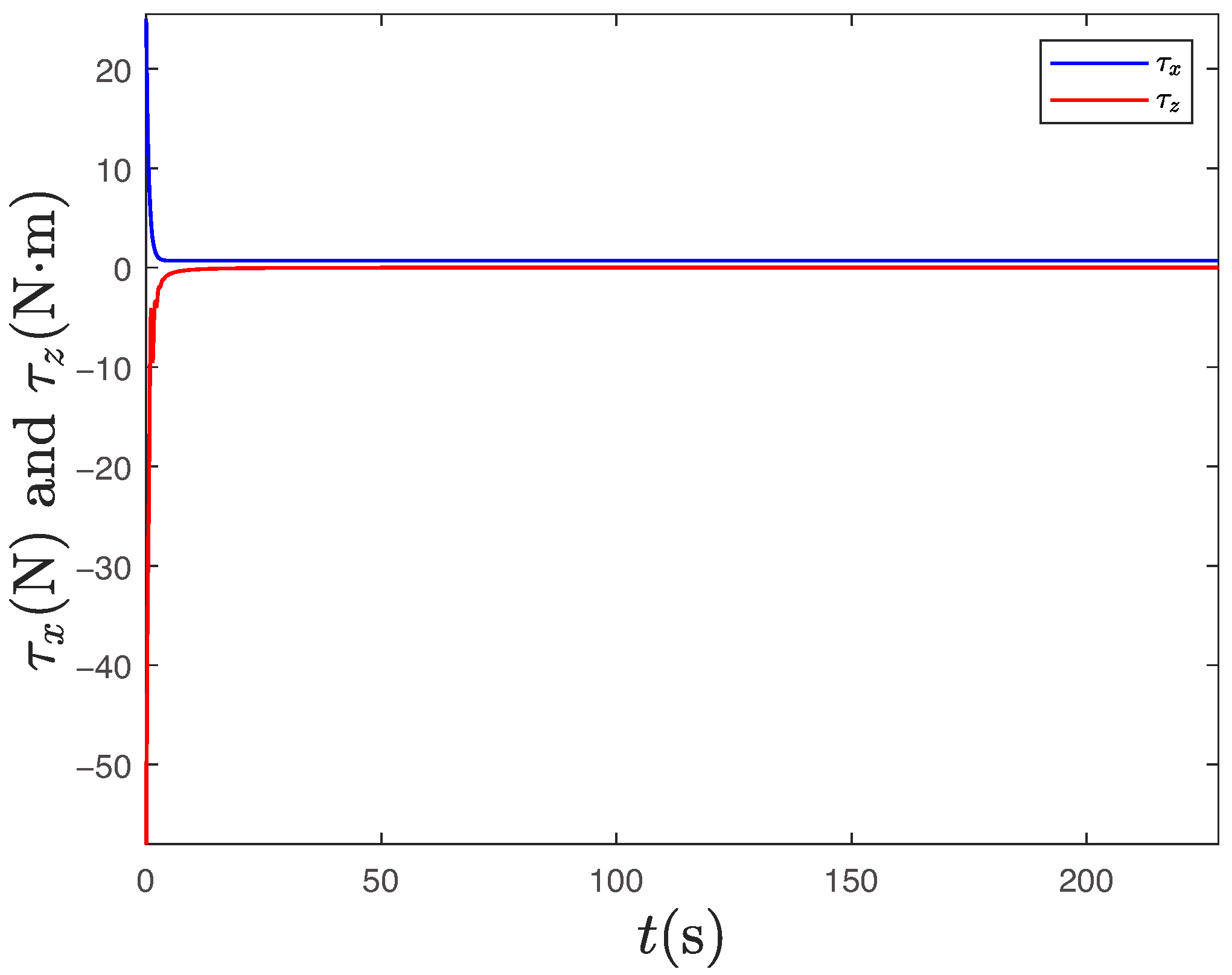
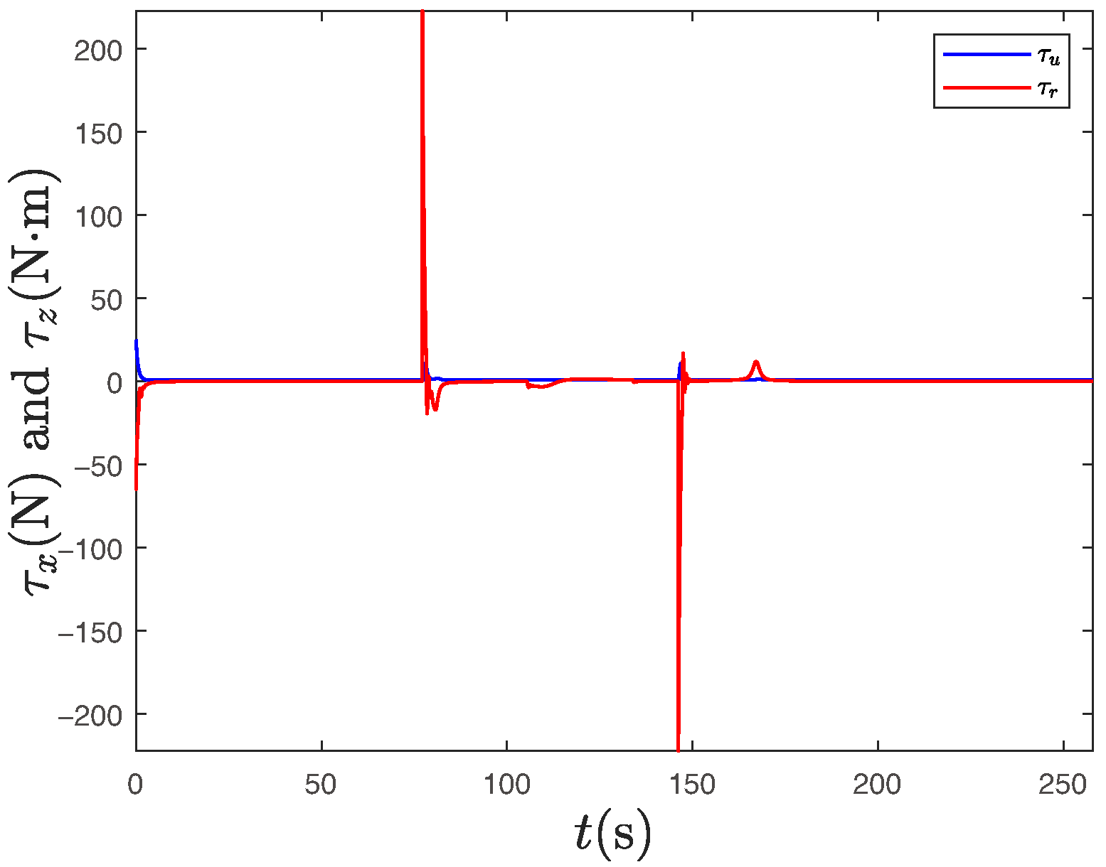
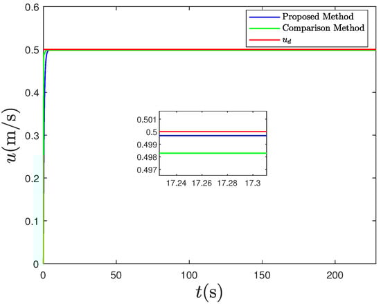
6. Method Validation and Analysis
7. Conclusions
Author Contributions
Funding
Data Availability Statement
Conflicts of Interest
References
- Demopoulos, A.W.J.; Bourque, J.R.; Cordes, E.; Stamler, K.M. Impacts of the Deepwater Horizon oil spill on deep-sea coral-associated sediment communities. Mar. Ecol. Prog. 2016, 561, 51–68. [Google Scholar] [CrossRef]
- Berke, S.; Dorgan, K.; Kiskaddon, E.; Bell, S.; Gadeken, K.J.; Clemo, W.C.; Keller, E.L.; Caffray, T. Shallow infaunal responses to the Deepwater Horizon event: Implications for studying future oil spills. Front. Environ. Sci. 2022, 10, 950458. [Google Scholar] [CrossRef]
- Kurniawan, S.B.; Roziqin, A.; Ahmad, A.; Ahmad, M.M.; Alfanda, B.D.; Pambudi, D.S.A.; Said, N.S.M.; Abdul, P.M.; Imron, M.F. Tackling marine pollution in the blue economy: Synergies between wastewater treatment technologies and governmental policies. Mar. Pollut. Bull. 2026, 222, 118627. [Google Scholar] [CrossRef]
- Guerrero-Sánchez, M.E.; Montoya-Morales, J.R.; Valencia-Palomo, G.; Hernández-González, O. Robust IDA-PBC for non-separable PCH systems under time-varying external disturbances. Nonlinear Dyn. 2025, 113, 3499–3510. [Google Scholar] [CrossRef]
- Cheng, L.; Li, Y.; Qin, M.; Liu, B. A marine oil spill detection framework considering special disturbances using Sentinel-1 data in the Suez Canal. Mar. Pollut. Bull. 2024, 208, 117012. [Google Scholar] [CrossRef]
- Wang, Y.; Liu, S.; He, Y.; Zhang, Y. YOLO11-YX: An efficient algorithm for marine debris target detection. Mar. Pollut. Bull. 2025, 221, 118511. [Google Scholar] [CrossRef] [PubMed]
- Guerrero-Sánchez, M.E.; Hernández-González, O.; Lozano, R.; García-Beltrán, C.D.; Valencia-Palomo, G.; López-Estrada, F.R. Energy-Based Control and LMI-Based Control for a Quadrotor Transporting a Payload. Mathematics 2019, 7, 1090. [Google Scholar] [CrossRef]
- Wang, Q.; Hu, S.; Yang, Z.; Wu, G. HAUV-USV Collaborative Operation System for Hydrological Monitoring. J. Mar. Sci. Eng. 2025, 13, 1540. [Google Scholar] [CrossRef]
- Elmakis, O.; Degani, A. USV Port Oil Spill Cleanup Using Hybrid Multi-Destination RL-CPP. IEEE Access 2023, 11, 122722–122735. [Google Scholar] [CrossRef]
- Lu, J. Research on Intelligent Collision Avoidance Decision-Making Algorithm for Multi-Unmanned Surface Vehicles (USVs) Based on COLREGs. IEEE Access 2025, 13, 168420–168432. [Google Scholar] [CrossRef]
- Liu, D.; Liu, J.; Sun, C.; Dai, B. Convex Optimization-Based Adaptive Neural Network Control for Unmanned Surface Vehicles Considering Moving Obstacles. J. Mar. Sci. Eng. 2025, 13, 587. [Google Scholar] [CrossRef]
- Zhang, G.; Chu, S.; Jin, X.; Zhang, W. Composite Neural Learning Fault-Tolerant Control for Underactuated Vehicles with Event-Triggered Input. IEEE Trans. Cybern. 2021, 51, 2327–2338. [Google Scholar] [CrossRef]
- Peng, H.; Huang, B.; Jin, M.; Zhu, C.; Zhuang, J. Distributed finite-time bearing-based formation control for underactuated surface vessels with Levant differentiator. ISA Trans. 2024, 147, 239–251. [Google Scholar] [CrossRef] [PubMed]
- Qin, J.; Du, J.; Li, J. Adaptive finite-time trajectory tracking event-triggered control scheme for underactuated surface vessels subject to input saturation. IEEE Trans. Intell. Transp. Syst. 2023, 24, 8809–8819. [Google Scholar] [CrossRef]
- Wen, G.; Lam, J.; Fu, J.; Wang, S. Distributed MPC-based robust collision avoidance formation navigation of constrained multiple USVs. IEEE Trans. Intell. Veh. 2024, 9, 1804–1816. [Google Scholar] [CrossRef]
- Li, J.; Zhang, G.; Cabecinhas, D.; Pascoal, A.M.; Zhang, W. Prescribed performance path following control of USVs via an output-based threshold rule. IEEE Trans. Intell. Veh. 2024, 73, 6171–6182. [Google Scholar]
- Liu, D.; Liu, J.; Yu, J.; Sun, C. Adaptive neural network-based obstacle avoidance control for USVs with uncertain dynamics. Ocean. Eng. 2025, 332, 121390. [Google Scholar] [CrossRef]
- Zhang, G.; Yao, M.; Chu, S.; Zou, Z. Composite neural learning event-triggered control for dynamic positioning vehicles with the fault compensation mechanism. Ocean. Eng. 2022, 252, 111108. [Google Scholar] [CrossRef]
- Durán-Delfín, J.; García-Beltrán, C.; Guerrero-Sánchez, M.; Valencia-Palomo, G.; Hernández-González, O. Modeling and Passivity-Based Control for a convertible fixed-wing VTOL. Appl. Math. Comput. 2024, 461, 128298. [Google Scholar] [CrossRef]
- Chen, L.; Cui, R.; Yang, C.; Yan, W. Adaptive neural network control of underactuated surface vessels with guaranteed transient performance: Theory and experimental results. IEEE Trans. Ind. Electron. 2020, 67, 4024–4035. [Google Scholar] [CrossRef]
- Ning, J.; Ma, Y.; Li, T.; Chen, C.L.P.; Tong, S. Event-triggered based trajectory tracking control of under-actuated unmanned surface vehicle with state and input quantization. IEEE Trans. Intell. Veh. 2024, 9, 3127–3139. [Google Scholar] [CrossRef]
- Fan, Y.; Qiu, B.; Liu, L.; Yang, Y. Global fixed-time trajectory tracking control of underactuated USV based on fixed-time extended state observer. ISA Trans. 2023, 132, 267–277. [Google Scholar] [CrossRef]
- Song, X.; Wu, C.; Stojanovic, V.; Song, S. 1 bit encoding-ecoding-based event-triggered fixed-time adaptive control for unmanned surface vehicle with guaranteed tracking performance. Control Eng. Pract. 2023, 135, 105513. [Google Scholar] [CrossRef]
- Huang, B.; Peng, H.; Zhang, C.; Ahn, C.K. Distributed optimal coordinated control for unmanned surface vehicles with interleaved periodic event-based mechanism. IEEE Trans. Veh. Technol. 2024, 73, 18073–18086. [Google Scholar] [CrossRef]
- Chen, L.; Liang, H.; Pan, Y.; Li, T. Human-in-the-loop consensus tracking control for UAV systems via an improved prescribed performance approach. IEEE Trans. Aerosp. Electron. Syst. 2023, 59, 8380–8391. [Google Scholar] [CrossRef]
- Lin, G.; Li, H.; Ahn, C.K.; Yao, D. Event-based finite-time neural control for human-in-the-loop UAV attitude systems. IEEE Trans. Neural Netw. Learn. Syst. 2023, 34, 10387–10397. [Google Scholar] [CrossRef]
- Ma, L.; Zhu, F.; Zhao, X. Human-in-the-loop consensus control for multiagent systems with external disturbances. IEEE Trans. Neural Netw. Learn. Syst. 2024, 35, 11024–11034. [Google Scholar] [CrossRef]
- Lu, Y.; Xie, F.; Ji, T. Human-in-the-loop reinforcement learning for dynamic soaring: A trajectory planning and control integrated system. Eng. Appl. Artif. Intell. 2025, 157, 111219. [Google Scholar] [CrossRef]
- Zhang, Q.; Zhao, A.; Zhao, F.; Wu, W. A Human-in-the-Loop Study of Eye-Movement-Based Control for Workload Reduction in Delayed Teleoperation of Ground Vehicles. Machines 2025, 13, 735. [Google Scholar] [CrossRef]
- Han, M.; Wang, J.; Yuan, J.; Wang, Z.; Yu, D.; Zhang, Q.; Wang, H. Man-in-the-Loop Control and Mission Planning for Unmanned Underwater Vehicles. J. Mar. Sci. Eng. 2024, 12, 420. [Google Scholar] [CrossRef]
- Yang, L.; Zhao, J.; Chi, P.; Wang, Y. Resilient Human-in-the-Loop Containment of Multiagent Systems Against Actuator Fault Attack Based on Reinforcement Learning. IEEE Syst. J. 2025, 19, 813–824. [Google Scholar] [CrossRef]
- Lv, M.; Gu, N.; Wang, D.; Han, B.; Peng, Z. Human-in-the-Loop Coordinated Path Following of Marine Vehicles Based on Continuous Twisting Control. IEEE Trans. Ind. Inform. 2025, 21, 465–474. [Google Scholar] [CrossRef]
- Zhao, S.; Mu, J.; Liu, H.; Sun, Y.; Cajo, R. Heading control of USV based on fractional-order model predictive control. Ocean. Eng. 2025, 322, 120476. [Google Scholar] [CrossRef]
- Li, W.; Zhang, X. Data-driven model predictive control for underactuated USV path tracking with unknown dynamics. Ocean. Eng. 2025, 333, 121457. [Google Scholar] [CrossRef]
- Xu, W.; Zhang, X.; Miao, Z. Cooperative trajectory tracking control of USV-UAV with non-singular sliding mode surface and RBF neural network. Ocean. Eng. 2025, 337, 121872. [Google Scholar] [CrossRef]
- Wu, G.X.; Ding, Y.; Tahsin, T.; Atilla, I. Adaptive neural network and extended state observer-based non-singular terminal sliding modetracking control for an underactuated USV with unknown uncertainties. Appl. Ocean. Res. 2023, 135, 103560. [Google Scholar] [CrossRef]
- Ye, H.; Wu, S.; Liu, W.; Yang, X.; Du, Z.; Xue, W. Adaptive neural synergetic heading control for USVs with unknown dynamics and disturbances. Ocean. Eng. 2024, 300, 117438. [Google Scholar] [CrossRef]
- Zhang, J.; Zhang, W.; Tong, S. Adaptive neural optimal tracking control for uncertain unmanned surface vehicle. Ocean. Eng. 2024, 312, 119031. [Google Scholar] [CrossRef]
- Gonzalez-Garcia, A.; Castañeda, H. Guidance and Control Based on Adaptive Sliding Mode Strategy for a USV Subject to Uncertainties. IEEE J. Ocean. Eng. 2021, 46, 1144–1154. [Google Scholar] [CrossRef]
- Wang, H.; Ma, J.; Zhao, X.; Niu, B.; Chen, M.; Wang, W. Adaptive Fuzzy Fixed-Time Control for High-Order Nonlinear Systems with Sensor and Actuator Faults. IEEE Trans. Fuzzy Syst. 2023, 31, 2658–2668. [Google Scholar] [CrossRef]
- Liu, W.; Liu, Y.; Bucknall, R. A Robust Localization Method for Unmanned Surface Vehicle (USV) Navigation Using Fuzzy Adaptive Kalman Filtering. IEEE Access 2019, 7, 46071–46083. [Google Scholar] [CrossRef]
- Wang, Z.; Zhao, Y.; Mu, D.; Sun, X.; Wang, Y. Fixed-time fuzzy formation control for underactuated surface vehicles based on a novel trajectory-guiding strategy under model uncertainties. Ocean. Eng. 2025, 327, 120715. [Google Scholar] [CrossRef]
- Su, Y.; Teng, F.; Li, T.; Sun, Q. Adaptive Prescribed-Time Tracking Control for an Unmanned Surface Vehicle Considering Motor-Driven Propellers. IEEE Trans. Ind. Inform. 2025, 21, 1665–1673. [Google Scholar] [CrossRef]
- Du, X.; Yuan, X.; Yang, B.; Zhao, X. Event-Triggered Trajectory Tracking Control for Unmanned Surface Vessels with Prescribed Performance Using Barrier Lyapunov Functions. IEEE Trans. Fuzzy Syst. 2025, 33, 1466–1474. [Google Scholar] [CrossRef]
- Liu, B.; Liu, J.; Yu, J. Finite-time command-filtered autonomous docking control of underactuated unmanned surface vehicles with obstacle avoidance. ISA Trans. 2025, 164, 116–124. [Google Scholar] [CrossRef]
- Deng, Y.; Zhang, Z.; Ni, G.T. Event-Triggered Asymptotic Tracking Control of Underactuated Ships with Prescribed Performance. IEEE Trans. Intell. Transp. Syst. 2023, 24, 645–656. [Google Scholar] [CrossRef]
- Sun, C.; Liu, J.; Yu, J. Improved adaptive fuzzy control for unmanned surface vehicles with uncertain dynamics using high-power functions. Ocean. Eng. 2024, 312, 119168. [Google Scholar] [CrossRef]




















| Parameter | Value | Unit | Parameter | Value | Unit |
|---|---|---|---|---|---|
| m | 23.8000 | kg | kg/s | ||
| 1.7600 | kg·m2 | kg/m | |||
| 0.0460 | m | 0.1079 | kg·m/s | ||
| kg/s | 0.1052 | kg·m/s | |||
| kg/m | 5.0437 | kg·m | |||
| kg/m3 | kg | ||||
| kg | 0.0 | kg·m | |||
| 0.0 | kg·m | kg·m2 |
| Indexes | Proposed Method | Comparison Method |
|---|---|---|
| MAE () | ||
| MAE () |
| Control Strategy | Model Dependency | Environments Adaptability | Obstacle Avoidance | Computational Complexity |
|---|---|---|---|---|
| Our Method | Low | High | High | Low |
| Model Predictive Control [33] | High | Low | Low | High |
| HiTL Continuous Twisting Control [32] | Medium | High | Low | Medium |
| Adaptive Fuzzy Control [47] | Low | Medium | Low | Medium |
Disclaimer/Publisher’s Note: The statements, opinions and data contained in all publications are solely those of the individual author(s) and contributor(s) and not of MDPI and/or the editor(s). MDPI and/or the editor(s) disclaim responsibility for any injury to people or property resulting from any ideas, methods, instructions or products referred to in the content. |
© 2025 by the authors. Licensee MDPI, Basel, Switzerland. This article is an open access article distributed under the terms and conditions of the Creative Commons Attribution (CC BY) license (https://creativecommons.org/licenses/by/4.0/).
Share and Cite
Liu, J.; Dai, B.; Liu, S.; Liu, J.; Li, T. Adaptive Fuzzy Human-in-the-Loop Control for Unmanned Surface Vehicles in Environmental Monitoring Applications. J. Mar. Sci. Eng. 2025, 13, 2270. https://doi.org/10.3390/jmse13122270
Liu J, Dai B, Liu S, Liu J, Li T. Adaptive Fuzzy Human-in-the-Loop Control for Unmanned Surface Vehicles in Environmental Monitoring Applications. Journal of Marine Science and Engineering. 2025; 13(12):2270. https://doi.org/10.3390/jmse13122270
Chicago/Turabian StyleLiu, Jiaang, Baobin Dai, Shucheng Liu, Jiapeng Liu, and Tong Li. 2025. "Adaptive Fuzzy Human-in-the-Loop Control for Unmanned Surface Vehicles in Environmental Monitoring Applications" Journal of Marine Science and Engineering 13, no. 12: 2270. https://doi.org/10.3390/jmse13122270
APA StyleLiu, J., Dai, B., Liu, S., Liu, J., & Li, T. (2025). Adaptive Fuzzy Human-in-the-Loop Control for Unmanned Surface Vehicles in Environmental Monitoring Applications. Journal of Marine Science and Engineering, 13(12), 2270. https://doi.org/10.3390/jmse13122270

