Numerical Modeling of Wave Hydrodynamics Around Submerged Artificial Reefs on Fringing Reefs in Weizhou Island of Northern South China Sea
Abstract
1. Introduction
- The novel integration of in situ bathymetric measurements with submerged artificial reef data, thereby enabling the systematic quantification of morphology–hydrodynamic interactions.
- A comprehensive analysis of wave hydrodynamics at fringing reef sites using field hydrological data, which evaluates the wave attenuation efficacy of deployed artificial reef configurations under diverse wave regimes.
2. Field Investigation
3. Numerical Model
3.1. Governing Equations
3.2. Numerical Setup and Mesh Scheme
3.3. Model Validation
3.3.1. Validation 1
3.3.2. Validation 2
3.3.3. Validation 3
3.4. Data Analysis
4. Results and Discussion
4.1. Spatial Variation in Wave Height and Setup Across the Reef Profile
4.1.1. Effect of Wave Conditions for Various Return Periods
4.1.2. The Effect of the Number of Rows
4.1.3. The Effect of the Spacing of Rows
4.2. Characteristics of Wave Reflection and Transmission
5. Conclusions
- (1)
- The transformation of wave energy across coral reef systems is modulated by reef flat water depth, where wave dissipation is enhanced on the gentle fore-reef slope. Under constant incident wave conditions, transmission coefficients () increase significantly as reflection coefficients () decrease with greater reef flat water depth, which demonstrates the critical control of depth-limited breaking on wave energy redistribution.
- (2)
- Tidal conditions modulate how reef configuration influences wave transformation processes. The spacing of the reef significantly affects the reflection of the waves during low tide, while the number of rows of reefs exhibits limited influence. In contrast, the transmission coefficients show substantial variation during high tide, indicating that the tidal stage determines the relative importance of different structural parameters in the dissipation of wave energy.
- (3)
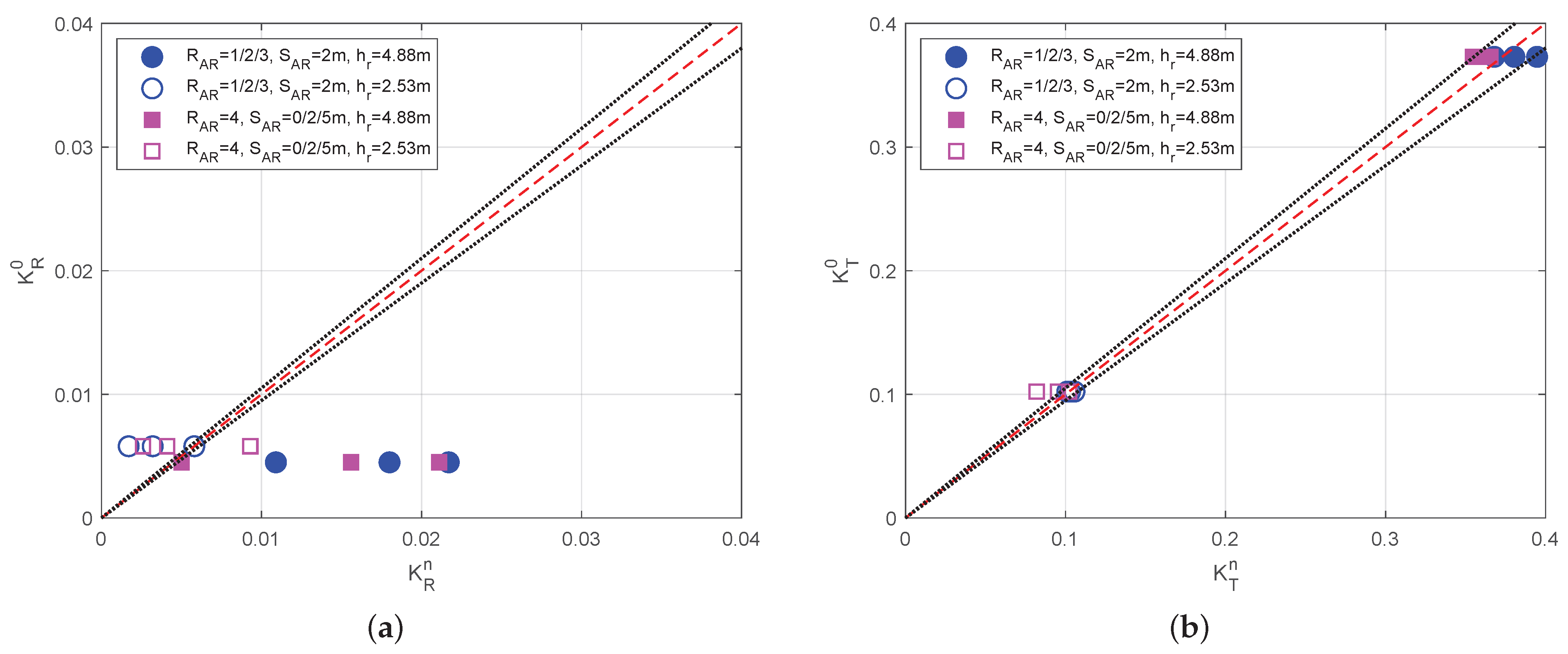
- Existing reef design configurations markedly affect wave reflection, particularly during high-tide conditions. However, their impact on wave transmission remains minimal, with values of varying less than 5% compared to scenarios without artificial reefs under identical hydrodynamic conditions. This limited effect suggests that structural modifications, such as increasing reef height or implementing fore-reef deployment, are necessary to achieve improved wave attenuation performance.
- (4)
- This study quantitatively analyzes the wave dissipation performance of existing artificial reefs under regular wave conditions; however, certain limitations persist. Subsequent investigations will incorporate irregular wave regimes to examine distinct reef configurations, such as those transplanted with varying-sized Acropora coral canopies, thereby elucidating the impact mechanisms of reef structures on wave energy components, including short-crested waves and infragravity waves.
Author Contributions
Funding
Data Availability Statement
Acknowledgments
Conflicts of Interest
References
- Ferrario, F.; Beck, M.W.; Storlazzi, C.D.; Micheli, F.; Shepard, C.C.; Airoldi, L. The effectiveness of coral reefs for coastal hazard risk reduction and adaptation. Nat. Commun. 2014, 5, 3794. [Google Scholar] [CrossRef]
- Monismith, S.G. Hydrodynamics of coral reefs. Annu. Rev. Fluid Mech. 2007, 39, 37–55. [Google Scholar] [CrossRef]
- Young, I.R. Wave transformation over coral reefs. J. Geophys. Res. Ocean. 1989, 94, 9779–9789. [Google Scholar] [CrossRef]
- Hardy, T.A.; Young, I.R. Field study of wave attenuation on an offshore coral reef. J. Geophys. Res. Ocean. 1996, 101, 14311–14326. [Google Scholar] [CrossRef]
- Vetter, O.; Becker, J.M.; Merrifield, M.A.; Pequignet, A.C.; Aucan, J.; Boc, S.J.; Pollock, C.E. Wave setup over a Pacific Island fringing reef. J. Geophys. Res. Ocean. 2010, 115, C12066. [Google Scholar] [CrossRef]
- Gourlay, M.R. Wave transformation on a coral reef. Coast. Eng. 1994, 23, 17–42. [Google Scholar] [CrossRef]
- Gourlay, M.R. Wave set-up on coral reefs. 1. Set-up and wave-generated flow on an idealised two dimensional horizontal reef. Coast. Eng. 1996, 27, 161–193. [Google Scholar] [CrossRef]
- Gourlay, M. Wave set-up on coral reefs. 2. Set-up on reefs with various profiles. Coast. Eng. 1996, 28, 17–55. [Google Scholar] [CrossRef]
- Demirbilek, Z.; Nwogu, O.G.; Ward, D.L. Laboratory Study of Wind Effect on Runup over Fringing Reefs. Report 1. Data Report; Technical Report; U.S. Army Engineer Research and Development Center: Vicksburg, MS, USA, 2007. [Google Scholar]
- Yao, Y.; Lo, E.Y.; Huang, Z.; Monismith, S.G. An experimental study of wave-induced set-up over a horizontal reef with an idealized ridge. In Proceedings of the International Conference on Offshore Mechanics and Arctic Engineering, Honolulu, HI, USA, 31 May–5 June 2009; Volume 43468, pp. 383–389. [Google Scholar]
- Nwogu, O.; Demirbilek, Z. Infragravity wave motions and runup over shallow fringing reefs. J. Waterw. Port Coastal Ocean. Eng. 2010, 136, 295–305. [Google Scholar] [CrossRef]
- Yao, Y.; Huang, Z.; Monismith, S.G.; Lo, E.Y. 1DH Boussinesq modeling of wave transformation over fringing reefs. Ocean. Eng. 2012, 47, 30–42. [Google Scholar] [CrossRef]
- Ma, G.; Su, S.F.; Liu, S.; Chu, J.C. Numerical simulation of infragravity waves in fringing reefs using a shock-capturing non-hydrostatic model. Ocean. Eng. 2014, 85, 54–64. [Google Scholar] [CrossRef]
- Shi, J.; Zhang, C.; Zheng, J.; Tong, C.; Wang, P.; Chen, S. Modelling wave breaking across coral reefs using a non-hydrostatic model. J. Coast. Res. 2018, 85, 501–505. [Google Scholar] [CrossRef]
- Lowe, R.J.; Buckley, M.L.; Altomare, C.; Rijnsdorp, D.P.; Yao, Y.; Suzuki, T.; Bricker, J. Numerical simulations of surf zone wave dynamics using Smoothed Particle Hydrodynamics. Ocean. Model. 2019, 144, 101481. [Google Scholar] [CrossRef]
- Liu, Y.; Li, S.; Liao, Z.; Liu, K. Physical and numerical modeling of random wave transformation and overtopping on reef topography. Ocean. Eng. 2021, 220, 108390. [Google Scholar] [CrossRef]
- Yao, Y.; Li, Z.; Xu, C.; Jiang, C. A study of wave-driven flow characteristics across a reef under the effect of tidal current. Appl. Ocean. Res. 2023, 130, 103430. [Google Scholar] [CrossRef]
- Watanabe, M.; Kan, H.; Toguchi, K.; Nakashima, Y.; Roeber, V.; Arikawa, T. Effect of the structural complexity of a coral reef on wave propagation: A case study from Komaka Island, Japan. Ocean. Eng. 2023, 287, 115632. [Google Scholar] [CrossRef]
- Wang, C.; Qu, K.; Li, J.; Li, W. Physical and modelling analysis on hydrodynamic transforming processes of tsunami-like wave over an uneven coral reef. Ocean. Eng. 2025, 320, 120326. [Google Scholar] [CrossRef]
- Fadli, N.; Campbell, S.J.; Ferguson, K.; Keyse, J.; Rudi, E.; Riedel, A.; Baird, A.H. The role of habitat creation in coral reef conservation: A case study from Aceh, Indonesia. Oryx 2012, 46, 501–507. [Google Scholar] [CrossRef]
- Blakeway, D.; Byers, M.; Stoddart, J.; Rossendell, J. Coral colonisation of an artificial reef in a turbid nearshore environment, Dampier Harbour, western Australia. PLoS ONE 2013, 8, e75281. [Google Scholar] [CrossRef]
- Tanaya, T.; Iwamura, S.; Okada, W.; Kuwae, T. Artificial structures can facilitate rapid coral recovery under climate change. Sci. Rep. 2025, 15, 9116. [Google Scholar] [CrossRef]
- Knoester, E.; Rienstra, J.; Schürmann, Q.; Wolma, A.; Murk, A.; Osinga, R. Community-managed coral reef restoration in southern Kenya initiates reef recovery using various artificial reef designs. Front. Mar. Sci. 2023, 10, 1152106. [Google Scholar] [CrossRef]
- Reguero, B.G.; Beck, M.W.; Agostini, V.N.; Kramer, P.; Hancock, B. Coral reefs for coastal protection: A new methodological approach and engineering case study in Grenada. J. Environ. Manag. 2018, 210, 146–161. [Google Scholar] [CrossRef] [PubMed]
- Webb, B.M.; Allen, R. Wave transmission through artificial reef breakwaters. In Coastal Structures and Solutions to Coastal Disasters Joint Conference 2015; American Society of Civil Engineers: Reston, VA, USA, 2015; pp. 432–441. [Google Scholar]
- Srineash, V.; Murali, K. Functional performance of modular porous reef breakwaters. J.-Hydro-Environ. Res. 2019, 27, 20–31. [Google Scholar] [CrossRef]
- van Gent, M.R.; Buis, L.; van den Bos, J.P.; Wüthrich, D. Wave transmission at submerged coastal structures and artificial reefs. Coast. Eng. 2023, 184, 104344. [Google Scholar] [CrossRef]
- Ghiasian, M.; Carrick, J.; Rhode-Barbarigos, L.; Haus, B.; Baker, A.C.; Lirman, D. Dissipation of wave energy by a hybrid artificial reef in a wave simulator: Implications for coastal resilience and shoreline protection. Limnol. Oceanogr. Methods 2021, 19, 1–7. [Google Scholar] [CrossRef]
- Huang, J.; Lowe, R.J.; Ghisalberti, M.; Hansen, J.E. Wave transformation across impermeable and porous artificial reefs. Coast. Eng. 2024, 189, 104488. [Google Scholar] [CrossRef]
- Huang, J.; Lowe, R.J.; Ghisalberti, M.; Hansen, J.E. Parametric modelling of wave transformation across porous artificial reefs. Coast. Eng. 2025, 200, 104754. [Google Scholar] [CrossRef]
- Jacobsen, N.G.; Fuhrman, D.R.; J, F. A wave generation toolbox for the open-source CFD library: OpenFOAM. Int. J. Numer. Methods Fluids 2012, 70, 1073–1088. [Google Scholar] [CrossRef]
- Yu, W.; Wang, W.; Yu, K.; Wang, Y.; Huang, X.; Huang, R.; Liao, Z.; Xu, S.; Chen, X. Rapid decline of a relatively high latitude coral assemblage at Weizhou Island, northern South China Sea. Biodivers. Conserv. 2019, 28, 3925–3949. [Google Scholar] [CrossRef]
- Liang, W.; Zhou, H.; Wang, X.; Rongyong, H.; Kefu, Y. Studies on scleractinian coral community structure characteristics in the southwest seawaters of the Weizhou Island. Haiyang Xuebao 2021, 43, 123–135. [Google Scholar]
- Yang, Z.; Zhang, J.; Lv, X.; Zheng, Y.; Jiang, G.; Shi, X.; Tao, W.; Li, X.; Lv, Y. The ecological succession of scleratinian coral communites and their environmental factors in Weizhou Island. Acta Ecol. Sin. 2021, 41, 7168–7179. [Google Scholar]
- Li, G.; Liang, W.; Nong, H.; Liu, J. Preliminary Study on Conditions of Coral Reef Ecological Environment along the Coast of Weizhou Island. Guangxi Sci. 2004, 11, 379–384. [Google Scholar]
- Huang, Z.; Zhang, C.; Shen, Y.; Jiang, S. Analysis of the climatic characteristics of wind and wave in Weizhou Island sea area. Mar. Forecast. 2021, 38, 62–68. [Google Scholar]
- Industry Standard JTS 145-2015; Hydrological Code for Port and Waterway Engineering. China Communications Press: Beijing, China, 2015.
- Launder, B.E.; Spalding, D.B. The numerical computation of turbulent flows. Comput. Methods Appl. Mech. Eng. 1974, 3, 269–289. [Google Scholar] [CrossRef]
- Chen, L.F.; Ning, D.Z.; Teng, B.; Zhao, M. Numerical and Experimental Investigation of Nonlinear Wave-Current Propagation over a Submerged Breakwater. J. Eng. Mech. ASCE 2017, 143, 04017061. [Google Scholar] [CrossRef]
- Willmott, C.J. On the validation of models. Phys. Geogr. 1981, 2, 184–194. [Google Scholar] [CrossRef]
- Mansard, E.P.; Funke, E. The measurement of incident and reflected spectra using a least squares method. In Coastal Engineering 1980; American Society of Civil Engineers: Reston, VA, USA, 1980; pp. 154–172. [Google Scholar]
- Yao, Y.; He, F.; Tang, Z.; Liu, Z. A study of tsunami-like solitary wave transformation and run-up over fringing reefs. Ocean. Eng. 2018, 149, 142–155. [Google Scholar] [CrossRef]












| Characteristics | Value | Unit |
|---|---|---|
| Wave and tide characteristics | ||
| Wave height () | 2.76, 3.15, 3.55, 3.86 | [m] |
| Wave period () | 7.82, 8.4, 8.97, 9.43 | [s] |
| Deep water depth () | 16 | [m] |
| Tidal range () | 0, 1.2, 2.35 | [m] |
| Fringing reef characteristics | ||
| Slope1 () | 1:23 | [-] |
| Slope2 () | 1:23 | [-] |
| Slope3 () | 1:378 | [-] |
| Length1 () | 67.62 | [m] |
| Length2 () | 190.26 | [m] |
| Length3 () | 891.83 | [m] |
| Reef flat water depth () | 2.53, 3.68, 4.88 | [m] |
| Artificial reef characteristics | ||
| Porosity () | 0.867 | [-] |
| Reef top width () | 0.614 | [m] |
| Reef bottom width () | 2 | [m] |
| Reef height () | 0.716 | [m] |
| Submerged crest depth () | 1.814, 2.964, 4.164 | [m] |
| Effective crest depth () | 2.435, 3.585, 4.785 | [m] |
| Spacing () | 0, 2, 5 | [m] |
| Row () | 1, 2, 3, 4 | [-] |
Disclaimer/Publisher’s Note: The statements, opinions and data contained in all publications are solely those of the individual author(s) and contributor(s) and not of MDPI and/or the editor(s). MDPI and/or the editor(s) disclaim responsibility for any injury to people or property resulting from any ideas, methods, instructions or products referred to in the content. |
© 2025 by the authors. Licensee MDPI, Basel, Switzerland. This article is an open access article distributed under the terms and conditions of the Creative Commons Attribution (CC BY) license (https://creativecommons.org/licenses/by/4.0/).
Share and Cite
Liang, Z.; Huang, G.; Huang, W.; Chen, H.; Yu, K.; Jeng, D.-S. Numerical Modeling of Wave Hydrodynamics Around Submerged Artificial Reefs on Fringing Reefs in Weizhou Island of Northern South China Sea. J. Mar. Sci. Eng. 2025, 13, 2031. https://doi.org/10.3390/jmse13112031
Liang Z, Huang G, Huang W, Chen H, Yu K, Jeng D-S. Numerical Modeling of Wave Hydrodynamics Around Submerged Artificial Reefs on Fringing Reefs in Weizhou Island of Northern South China Sea. Journal of Marine Science and Engineering. 2025; 13(11):2031. https://doi.org/10.3390/jmse13112031
Chicago/Turabian StyleLiang, Zuodong, Guangxian Huang, Wen Huang, Hailun Chen, Kefu Yu, and Dong-Sheng Jeng. 2025. "Numerical Modeling of Wave Hydrodynamics Around Submerged Artificial Reefs on Fringing Reefs in Weizhou Island of Northern South China Sea" Journal of Marine Science and Engineering 13, no. 11: 2031. https://doi.org/10.3390/jmse13112031
APA StyleLiang, Z., Huang, G., Huang, W., Chen, H., Yu, K., & Jeng, D.-S. (2025). Numerical Modeling of Wave Hydrodynamics Around Submerged Artificial Reefs on Fringing Reefs in Weizhou Island of Northern South China Sea. Journal of Marine Science and Engineering, 13(11), 2031. https://doi.org/10.3390/jmse13112031

