Next Article in Journal
Unsteady Hydrodynamic Analysis and Experimental Methodology for Voith Schneider Propeller
Previous Article in Journal
The Seakeeping Performance of the Tritor Unmanned Surface Vehicle
 
 
Font Type:
Arial Georgia Verdana
Font Size:
Aa Aa Aa
Line Spacing:
Column Width:
Background:
Article

Influence of Bottom Substrate, Bottom Depth and Day/Night on In Situ Coloration Variability of Pomatoschistus minutus (Pallas, 1770) (Actinopterygii: Oxudercidae)

1
Natural History Museum Rijeka, Lorenzov Prolaz 1, 51000 Rijeka, Croatia
2
Department of Natural History, Stavanger Museum, Musegata 16, 4010 Stavanger, Norway
3
Faculty of Mathematics, Natural Sciences and Information Technologies, University of Primorska, Glagoljaška 8, 6000 Koper, Slovenia
4
Faculty of Civil Engineering, University of Rijeka, Radmile Matejčić 3, 51000 Rijeka, Croatia
5
Faculty for Tourism Studies—Turistica, University of Primorska, Obala 11a, 6320 Portorož, Slovenia
*
Author to whom correspondence should be addressed.
J. Mar. Sci. Eng. 2025, 13(10), 1932; https://doi.org/10.3390/jmse13101932
Submission received: 10 September 2025 / Revised: 29 September 2025 / Accepted: 4 October 2025 / Published: 9 October 2025
(This article belongs to the Section Marine Biology)

Abstract

Individuals of sand goby, Pomatoschistus minutus (Pallas, 1770), were photographed underwater in their natural habitat at Breivika, Norway, from October 2022 to January 2023. Of the 67 individuals collected, 58 were subsequently confirmed in the laboratory as P. minutus. Quantified coloration profiles were generated and statistically tested for the influence of substrate type, depth, time of day (daylight vs. night-time), and the sex and developmental stage of the individuals on the in situ coloration variability of P. minutus. Lateral body coloration showed a significant difference across bottom substrates but no significant difference for the factors of sex, developmental stage, time of day, or depth. Dorsal body coloration showed no significant difference across substrates, sex, or developmental stage; however, a significant difference was found for depth and time of day. This study provides the first detailed description of the live coloration patterns of P. minutus in its natural habitat, including a documented analysis of its qualitative variability in relation to background substrate. The found coloration plasticity highlights a sophisticated and rapid adaptation for crypsis. The ability to adjust coloration to both substrate and light conditions likely represents a significant survival strategy for this small, benthic fish against visual predators.

1. Introduction

Fish coloration has been claimed to serve diverse functions, including crypsis, mimicry, and poster coloration for the conspicuous identification of conspecifics [1]. The body coloration is typically generated by skin chromatophores. However, the coloration of small, relatively transparent fishes, like gobies, is also formed by chromatophores in various internal tissues, such as the ear, brain, abdominal cavity, and around internal organs and the skeleton [2]. Descriptions of fish coloration, including internal chromatophores, are common in the taxonomy of small gobiid species [3]. Coloration characters are used in the new species description and sometimes they are crucial characters used for distinguishing species [4,5].
Although used in identifying fish species, the fish coloration can also show considerable intraspecific variation. The coloration can vary according to developmental stage, sex, social status, and ecology, including color polymorphism [6]. In cichlids, color patterns vary within and among populations of the same species, presenting as geographic variation, sexual dichromatism, or other polychromatisms [7]. In gobies, distinctive geographic color morphs within a single species have been described [8], as well as sexual dimorphism and non-sexual variability (a number of examples of sexual dimorphism in Mediterranean gobies were illustrated by [5]). Nevertheless, body coloration in many poikilothermic animals is plastic and can be adjusted at the individual level [9]. Therefore, different color morphs in fishes may not always be fixed, as individuals can manipulate their body coloration through both morphological and physiological color change [9]. Furthermore, individual body coloration can be adjusted rapidly via physiological color change, i.e., the synchronous movement of pigment organelles within chromatophores [9,10]. This rapid physiological color change in fishes is important for background matching and signaling to other fish [9].
Sand goby, Pomatoschistus minutus (Pallas, 1770) is a small, benthic goby that lives on soft bottoms at depths from less than 1 m to 70 m [5]. It is widespread along the European coasts of the North-eastern Atlantic, the Mediterranean, and the Black Sea [5,11,12]. Published data on the coloration of P. minutus, including characters used for species identification and sexual dichromatism, have been restricted to preserved or freshly dead individuals [13,14,15,16]. Swedmark [13] examined coloration in freshly dead material from a wide range of localities and reported sexual dichromatism, including male breeding coloration, and observed individual differences unrelated to age or sex. Swedmark [13] also dismissed geographical coloration variability reported by other authors as being influenced by bottom color or, in one case, based primarily on males in spawning livery. Very brief descriptions or key characters of the live coloration of P. minutus have been published in identification keys [5] and guides [17], but no extensive description of its in situ coloration exists. Accordingly, there is no published study on in situ coloration variability in P. minutus populations, and to the authors’ best knowledge, no adequate underwater collection of samples and data for this purpose has been performed. However, a study by [18] under aquarium conditions reported changes in eye and skin coloration of live individuals in response to white or black backgrounds.
Examples of publications where individual gobies are photographed in situ in their natural habitats and then collected, thereby linking a photograph to a specific voucher specimen, are rare. Such instances are only used qualitatively, e.g., in new species descriptions. However, the photograph explicitly linked to a particular type specimen are rare [3]. More commonly, a random individual is photographed at the type locality with the image not attributed to any specific type specimen [19].
The aim of the present work is to quantitatively analyze the in situ coloration variability of P. minutus and the influence of habitat (substrate composition, depth, and time of day), sex, and developmental stage on this variability. Furthermore, the live coloration pattern of P. minutus in its natural habitat is described in detail for the first time, including its variability across different background colorations.

2. Materials and Methods

2.1. Studied Area and Sampling

Sampling was carried out at Breivika, Hundvåg, Norway (45°0′14.5″ N, 5°42′53.3″ E) during autumn and winter, from 23 October 2022 to 5 January 2023. The locality contained five distinct bottom areas (herein designated Areas A–E) with different substrate compositions in close underwater proximity. During each SCUBA diving survey, every individual of P. minutus was photographed in situ on the substrate from both dorsal and lateral views and then immediately collected (Figure 1). Photographs were taken using a Nikon D500 SLR camera with a Nikkor 60 mm micro lens, housed in a Subal underwater housing. Two external Sea & Sea flashes were used in TTL mode for both daytime and nighttime collections. This setup ensured that the captured coloration of individuals reflected their acclimatization to ambient daytime or nighttime conditions, while the flashes provided consistent illumination at the moment of capture. Camera settings were generally ISO 400, f/22, and a fast shutter speed, with minor adjustments to ISO and exposure made in some cases.
The total diving effort comprised ten SCUBA dives. Two dives were performed at each of the five bottom areas: one during the day and one at night (Table 1). During each dive, the diver collected individuals in addition to photographing them. Immediately following each dive, fish were euthanized with an overdose of the anesthetic Quinaldine, fixed in 70% ethanol, 5 mL added to 1 L of sea water, and subsequently stored.

2.2. Morphological Identification

Preserved specimens were identified by species, sex, and developmental stage through morphological examination under an Olympus SZX10 stereomicroscope. Scale counts and fin ray and spine counts follow [20]. Terminology of the lateral-line system follows [21]. Sex and developmental stage were determined based on the size and shape of the urogenital papilla. When necessary for positive identification based on fin counts, scales, head canals, and sensory papilla rows, material was reversibly stained in a 2% solution of Cyanine Blue in distilled water following the methods in [22]. Species identification was based on a combination of characters that positively distinguish fresh or preserved individuals of P. minutus from congeneric species [11,12,15]: (1) second dorsal fin I/10–12; anal fin I/9–12; (2) pectoral fin rays 18–21; (3) branchiostegal membrane attached along half of the isthmus to below the preopercular edge; (4) anterior transverse membrane with a villose edge; (5) caudal fin truncate; (6) scales in lateral series 55–75; (7) predorsal area posteriorly scaled; (8) breast scaled; (9) the entire first and second dorsal fin base scaled; (10) pore δ present; (11) suborbital longitudinal row a with numerous transverse rows below the eye; (12) suborbital longitudinal row a extending from below the anterior edge of the eye to below the posterior edge, with the posteriormost transverse row a the longest and distant from pore α; (13) suborbital row b beginning anteriorly below the anterior eye; (14) suborbital row b ending posteriorly near pore δ; (15) 10 to 11 suborbital transverse rows c; (16) transverse rows c with 10 or more papillae; (17) suborbital transverse rows c placed anterior to longitudinal row b with the upper end at the level of row b or above it; (18) 5 to 9 suborbital transverse rows c below row b; (19) only one posterior suborbital transverse row c extending below the level of row d; (20) suborbital row d continuous; (21) oculoscapular transverse row q behind pore ρ, variable in length but extending above pore ρ and ending downwards below the level of pore ρ; (22) anterior dorsal transversal row o long, closer to row n than to row g and distant middorsally from other row o. All specimens were cataloged and deposited in the Natural History Museum Rijeka (Prirodoslovni muzej Rijeka, PMR).

2.3. Sediment Analysis

Granulometric composition was estimated according to [23]. Areas A–D were analyzed from size-calibrated photographs, while the finer sediment composition in Area E was analyzed from two collected samples. The five studied areas (A–E) ranged in depth from 2 to 11.5 m (Table 1). Area A consisted of fine uniform sand (FSa; grain size: 0.063–0.2 mm) with several grains of gravel (2–3 mm). Area B sediment was medium to coarse sand (MSa, CSa; grain size: 0.2–2.0 mm) with ~10% rounded grains of fine gravel (2–6.3 mm). Shell fragments were visible, though photographs could not determine if they were only on the surface or part of the sediment body. Area C sediment was coarse sand (CSa; grain size: 0.63–2.0 mm) with 10–20% angular grains of fine gravel (2–6 mm). Several shell fragments were visible within this area. Area D consisted of fine uniform sand (FSa; grain size: 0.063–0.2 mm). Area E consisted of fine uniform sand (FSa; grain size: 0.063–0.2 mm) mixed with silty particles (Si; grain size: <0.063–0.002 mm). Granulometric analysis indicated that sediments from Areas A and D, as well as those from Areas B and C, had similar compositions. Areas A–D had a rare biocover of scattered brownish algae, while Area E was clear of any biocover. For analysis, Areas A and D were grouped into a single category: “Fine sand with scattered brownish algae”. Similarly, the substrates of Area B (medium to coarse sand with algae) and Area C (coarse sand with algae) were merged into a single category: “Coarse sand with scattered brownish algae”. The number of collected P. minutus individuals by sex and developmental stage at each area is presented in Table 1.

2.4. Image Processing and Data Analysis

2.4.1. Dataset Description

The analyzed dataset consists of 58 entries, each representing an individual of P. minutus observed in a particular area under specific environmental conditions (Table 2). Each entry includes metadata about the individual and its habitat: species; museum catalog number; bottom area (A–E); time of collection (day or night); depth (categorized as 2–5 m or 11–11.5 m); bottom substrate and biocover (categorized as: “fine sand with scattered brownish algae”; “fine sand with silty particles”; and “coarse sand with scattered brownish algae”—the latter category merged very similar substrates of coarse sand and medium to coarse sand with scattered brownish algae); sex (male or female); developmental stage (adult or juvenile); and a combined sex/developmental stage variable (e.g., male adult, female juvenile). Each fish was photographed underwater from lateral and dorsal perspectives. Each entry was split into two separate records (lateral and dorsal), resulting in a total of 116 photographs and records (Table 2; Supplementary Materials Figures S1 and S2).

2.4.2. Image Processing and Color Detection

The acquired fish images exhibited minor variations in photographic parameters. ISO values ranged between 320 and 800 (mean 455, SD 151), and shutter speeds between 0.005 and 0.0167 s (mean 0.0064 s, SD 0.0038 s). Aperture settings and ambient light conditions also varied slightly across sampling events, reflecting natural differences in the underwater environment. To ensure consistent color representation, we applied a standardization procedure using “colorChecker()” function from colordistance R package version 1.1.2 [24]. The function adjusted the mean and standard deviation of each RGB channel in the target images to match those of a reference image. Additional details on the algorithm are provided in the package manual [24]. This approach reduced the influence of technical artifacts, increasing confidence that observed differences primarily reflected biological variation.
Afterwards, we performed manual delineation to separate fish from their backgrounds. Manual delineation was chosen because the fins of P. minutus are frequently semi-transparent and therefore difficult to detect reliably using automated methods. In unsupervised approaches, these regions were often misclassified as background, leading to incomplete representations of the fish body. For each image, we: (1) created a precise mask outlining the fish body (including all fins and tail); (2) extracted this foreground element and placed it onto a new black background (RGB: 0,0,0); (3) in the original image, filled the masked fish area with the same black value. This produced two corresponding images for each individual: a foreground image containing only the fish, and a background image showing the original environment with the fish region nulled (Figure 2). The black pixel value was chosen because it was infrequently present in the native images, minimizing the risk of unintentional masking. Black mask areas were excluded from all subsequent analyses.
The described procedure was applied to both dorsal and lateral images. We then used the aforementioned colordistance R package [24] to compute a color histogram for each image. Each RGB channel (range 0–255) was divided into 9 equal-width bins (intervals of ~28–29 units), resulting in 93 = 729 discrete color categories. Each pixel was assigned to a bin based on its RGB values, and the resulting 3D histogram was normalized so that bin values represented the proportion of total (unmasked) pixels in each category (Figure 2).

2.4.3. Statistical Analysis of Color Variation

To relate fish coloration to various factors, we compared the coloration of all possible pairs of fish bodies separately for lateral and dorsal photographs. The “getColorDistanceMatrix()” function was used to compute a pairwise Earth Mover’s Distance (EMD) matrix (58 × 58), which quantifies dissimilarities in color distributions. EMD was chosen over the Chi-squared (χ2) distance as it accounts for both the similarity between color bins and the “effort” required to transform one distribution into another [24].
The resulting EMD matrix was combined with the environmental descriptor dataset to evaluate differences in coloration across the factors of Bottom substrate, Sex, Developmental stage, Time of day, and Depth. Permutational multivariate analysis of variance (PERMANOVA; [25]) was conducted using the adonis() function from the vegan R package [26] to test for significant differences among factor levels, separately for lateral and dorsal photographs. Where significant effects were detected (p < 0.05), we conducted post hoc pairwise PERMANOVAs, where appropriate, and assessed homogeneity of multivariate dispersion (PERMDISP) using the functions betadisper() and permutest() from the vegan R package [26]. For graphical representation, non-metric multidimensional scaling (nMDS) with convex hulls was used. An additional analysis was performed for the combined factor of Sex and developmental stage (male adult, female adult, male juvenile, female juvenile) for only bottom substrates where juveniles of both sexes were present (Areas A and D). This tested for differences in coloration among these groups under the same substrate conditions.
In a final step, we compared fish body coloration to the background coloration within the same image. As both components originated from the same image, this method minimized variation from camera settings or lighting. Color histograms were computed and their dissimilarity quantified using EMD. Within-image body-to-background analyses were conducted to assess the degree of substrate matching for each individual fish. The same PERMANOVA procedure was applied separately to lateral and dorsal photographs, with Bottom substrate included as a factor.

2.5. Coloration Description

The description of fish coloration followed the detailed style applied in recent descriptions of new European goby species (the references of recent descriptions of new European goby species reviewed in [5]). The coloration description includes coloration pattern and colors of body and head for lateral, dorsal and ventral sides, and of fins. The coloration was checked separately for sexes and developmental stages, and eventual differences were summarized at the end of the description. Additionally, the descriptions were provided for each bottom substrate, and the coloration differences between fish from different bottom substrates were summarized at the end of the description.

3. Results

3.1. Species Identification and Sample Composition

During the ten SCUBA dives, a total of 67 individuals resembling P. minutus were photographed in situ from dorsal and lateral views and collected. Of the 67 individuals collected, eight were identified as Pomatoschistus pictus (Malm, 1865) and excluded from the analysis. One individual exhibited a mix of characters of P. minutus and Pomatoschistus lozanoi (de Buen, 1923) and was also excluded. The remaining 58 individuals were positively identified as P. minutus, comprising 22 adult males, 26 adult females, 2 juvenile males, and 8 juvenile females (Table 1 and Table 2).

3.2. Influence of Bottom Composition, Depth, Time of Day, Sex, and Developmental Stage on Quantified Coloration Variability of P. minutus

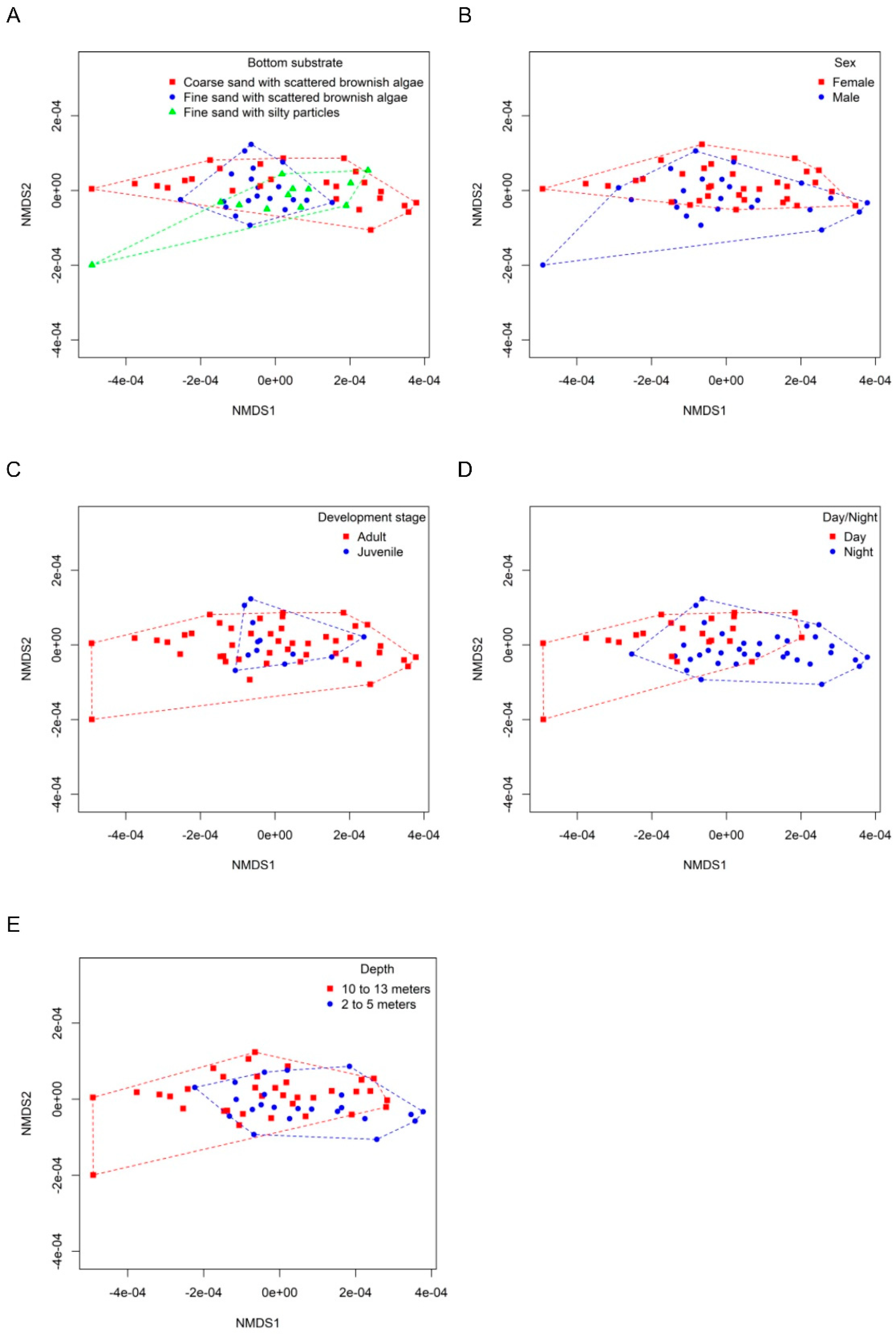
A one-way PERMANOVA on the quantified dissimilarities in lateral body coloration indicated a significant difference among bottom substrates, but no significant difference for the factors of Sex, Developmental stage, Time of day, or Depth (Table 3). For the bottom substrates, PERMDISP indicated that group dispersions were homogeneous (F2 = 0.218, p = 0.805), suggesting that the significant bottom substrate effect reflects differences in centroids rather than dispersion. Pairwise comparisons confirmed that each substrate type had significantly different lateral body coloration from the other two. nMDS plots effectively illustrated this body coloration differentiation among bottom substrates (Figure 3A), but not for other factors (Figure 3B–E). nMDS plot (Figure 3A) showed a larger separation of convex hulls among bottom substrates, especially between Fine sand with silty particles and the other two bottom substrates. An additional PERMANOVA for the combined factor of sex and developmental stage on the same substrate (Areas A and D) again showed no significant differences in lateral body coloration among groups (Table 3).
The one-way PERMANOVA on dorsal body coloration yielded different results. No significant difference was found for Bottom substrate, Sex, or Developmental stage. However, dorsal coloration differed significantly between individuals collected at different depths and between those collected during the day versus at night (Table 4); PERMDISP indicated that group dispersions were homogeneous (Depth: F1 = 0.445, p = 0.507; Time of day: F1 = 0.216, p = 0.648). nMDS plots for these factors showed less clear separation than for lateral coloration, though the overlap of convex hulls appeared smaller for Time of day and Depth compared to other factors (Figure 4). An additional PERMANOVA for the combined sex/developmental stage factor on the same substrate (Areas A and D) showed no significant differences in dorsal body coloration (Table 4).
A one-way PERMANOVA on the dissimilarities between fish body and background coloration within the same image indicated significant difference among bottom types for both lateral and dorsal photographs (Table 5). However, both PERMDISP tests indicated that the assumption of homogeneous dispersion for PERMANOVA was violated (Dorsal: F2 = 8.907, p < 0.001; Lateral: F2 = 5.918, p = 0.004), suggesting that the PERMANOVA results may have been influenced by heterogeneous dispersions. Therefore, these results should be interpreted with caution, as the apparent differences may partly reflect unequal group variances rather than true location effects.

3.3. Qualitative Description of In Situ Live Coloration Pattern of P. minutus

Coloration on Fine sand with scattered brownish algae biocover (Figure 5): Head and body semi-translucent, with whitish vertebrae and peritoneum, white otoliths, and reddish gills visible. Upper body surface light grayish-brown to light greenish-brown, whitish below, with brown pigmentation. Body with a reticulate brown pattern following scale edges on the upper half. Seven to eight dusky whitish to yellowish dorsal saddles: predorsal, at anterior and posterior ends of first dorsal fin base, at anterior and posterior ends of the second dorsal fin, and two to three posterior marks on the caudal peduncle. Lateral midline with four diffuse brown marks, poorly to moderately visible, roughly corresponding to some saddles above, and a fifth “─┤” shaped brown mark at the end of the caudal peduncle, extending onto fin-ray origins. The reticulate brown pattern between midlateral spots extends slightly to moderately below their level. The lower body has white irregular marks, otherwise semi-translucent. Head is similar to the body. Predorsal area and nape light brown with scattered melanophores. Snout medially light brown with scattered melanophores, with a lateral brown bar from eye to upper lips. Iris mostly golden brown, whitish only below the pupil; pupil dark. Cheek, from the snout lateral bar backwards, whitish with scattered melanophores, continuing onto the preoperculum and operculum. Dorsal and anal fins similar to body. Pectoral and pelvic fins partly pigmented white, otherwise translucent. A dark spot with a bluish-white edge at the posterior of the first dorsal fin was present in adults of both sexes but absent in juveniles. Juvenile coloration was less intensive; midlateral marks were sometimes invisible. The lower cheek, preoperculum, and operculum had almost no melanophores in juveniles. Juveniles were more semi-translucent due to weaker skin surface pigmentation.
Coloration on Fine sand with silty particles (Figure 6): Head and body poorly semi-translucent; whitish vertebrae and otoliths visible, but whitish peritoneum and reddish gills not visible. Upper body surface is light grayish-brown, whitish below. Body with a reticulate brown pattern on the upper half. Seven dusky whitish to yellowish dorsal saddles, as above, except for always two posterior marks on the caudal peduncle. Lateral midline with four rounded, moderately prominent brown marks, roughly corresponding to some saddles above, and a “─┤” shaped mark on the caudal peduncle. In most individuals, smaller midlateral spots were visible between the main marks. The reticulate pattern extends slightly to moderately below the midlateral spots. The lower body has white irregular marks and, in some individuals, a longitudinal row of 7–10 smaller brown spots. Head similar to body. Predorsal area and nape light brown with scattered melanophores. Snout medially light brown with scattered melanophores, with a lateral brown bar from eye to upper lips. Iris golden brown; pupil dark to green. Cheek whitish with scattered melanophores, continuing onto the preoperculum and operculum. Dorsal and anal fins similar to body. Pectoral and pelvic fins partly white, otherwise translucent. The dark spot on the first dorsal fin was present in adults of both sexes. No juveniles were collected on this substrate.
Coloration on Medium to coarse sand with scattered brownish algae biocover and Medium to coarse sand with scattered brownish algae showed no qualitative differences in coloration pattern between them (Figure 1): Head and body semi-translucent; whitish vertebrae and otoliths visible, but whitish peritoneum and reddish gills not visible. Upper body surface is brown, whitish below, with dark brown pigmentation. Body with a reticulate dark brown pattern on the upper half. Seven prominent white dorsal saddles, placed as above. Lateral midline with four prominent, intense, rounded dark brown marks and an intense “─┤” shaped mark on the caudal peduncle. In most individuals, smaller midlateral brown spots or short stripes were visible between the main marks. The reticulate brown pattern extends below the midlateral spots to the bottom of the lateral side. The lower body has white irregular marks and a longitudinal row of 8–10 smaller brown spots. Head similar to body. Predorsal area and nape marbled brown. Snout medially marbled brown, with a lateral brown bar from eye down to upper lips. Iris golden brown; pupil dark to green. Cheek, preoperculum, and operculum with a marbled brown pattern and scattered melanophores. Dorsal and anal fins similar to body. Pectoral and pelvic fins are partly white, otherwise translucent. The dark spot on the first dorsal fin was present in adults of both sexes. One juvenile female was collected, matching adult coloration.
Coloration pattern gradient across habitats: Coloration showed gradual intensification across habitats. Individuals from Fine sand with algae had the least prominent pattern. Those from Fine sand with silt were less translucent, with a more intense and coarse pattern, more prominent midlateral marks, often with smaller midlateral spots between the main marks, and sometimes a row of spots on the lower side; the iris lacked whitish parts. Individuals from coarse sand substrates (areas B & C) showed the most intensified pattern: upper body brown to grayish-brown with a dark brown reticulate pattern, prominent white saddles, pronounced midlateral marks with midlateral spots between them, a row of spots on the lower side, and marbled brown pigmentation on the head. No qualitative differences were observed between males and females on any substrate. Juveniles on Fine sand with algae were generally less pigmented and more translucent from adults, though the single juvenile female from Medium to coarse sand with scattered brownish algae biocover and single juvenile female from Coarse sand with scattered brownish algae biocover showed no qualitative differences in coloration pattern to adults.

4. Discussion

Despite the recent development of methods for quantifying coloration from digital photographs, such as color pattern analysis [27] or analyses of color amount and similarity [24], the application of these techniques in fish studies remains relatively rare [28,29,30,31]. Existing quantitative studies on single species primarily focus on intraspecific [32] or interspecific interactions and signaling [33], while the influence of environmental factors on coloration is seldom examined using quantitative methods [34]. To our knowledge, no quantified single-species coloration studies exist for gobies, despite their high species richness and abundance in tropical and warm-temperate seas [12].
In the present study, quantitative analysis focused on the total color amount and similarity of colors among fish bodies and between fish and their environment. Homologous landmarks are needed for the analysis of color patterns [27]. This was not feasible in the present research with images of free-moving gobies taken in their natural habitat, varying in the distance and orientation of shooting. An alternative approach involves collecting fish and photographing them in a container with a fixed camera during SCUBA dives [35]. However, that would influence the natural coloration of fish due to stress and alternation of the background. Therefore, in addition to quantitative analysis, we provided a qualitative description and comparison of coloration patterns. This description represents the first detailed account of live coloration and its variability in P. minutus, which was not provided in the original description or subsequent studies [13,15,16].
Live coloration of gobies has become a more common component of species descriptions in recent decades, coinciding with the increased use of SCUBA diving to collect type material and the prevalence of underwater photography [3,19]. It has proven a valuable source of taxonomic characters in fish species descriptions (for Mediterranean gobies, see [5]). The degree of intraspecific coloration variability across different substrates observed in our study highlights the need for caution when using live coloration in new species descriptions based on type material from limited habitat diversity. Until now, unlike color differences between geographically distinct populations (e.g., ref. [8]), color variation resulting from habitat acclimatization to background coloration has not been acknowledged or described in the new species description of gobies. Our research revealed significant quantitative differences in lateral body coloration of P. minutus across bottom substrates, but not in dorsal view (Table 3 and Table 4, Figure 3 and Figure 4). The finding suggests that substrate-induced changes in color quantity occur primarily on the lateral side. However, qualitative analysis indicated that the size and intensity of dorsal markings also varied among substrates. The gradual increase in mark size and intensity progressed from medium-sized particles (Fine sand with algae) to finer particles (Fine sand with silt) and then to larger particles (Coarse sand with algae) (Figure 1, Figure 5 and Figure 6). The generally darker background appearance of the Fine sand with silt substrate compared to Fine sand with algae may explain the direction of increased mark intensity. Nilsson Sköld et al. [18], in an aquarium study of P. minutus eye coloration, also reported whole-body pale adaptation to a white background. Swedmark [13], studying freshly dead material, dismissed earlier reports of geographical color variation in P. minutus, attributing them instead to the influence of bottom coloration, a conclusion supported by our findings on live fish. The quantitative comparisons between fish and background coloration showed similar adjustment success of fish coloration to the substrate coloration across different substrates, since the evidence found on the different degree of success in coloration matching of fish body to background among different substrates probably reflects unequal group variances rather than true location effects (Table 5).
In contrast to the effect of substrate, time of day and depth significantly influenced dorsal, but not lateral, coloration (Table 3 and Table 4, Figure 3 and Figure 4). Both factors relate to ambient light intensity, which decreases with depth and at night. To our knowledge, no published data exist on the influence of natural light intensity on P. minutus coloration. The significant differences in dorsal coloration suggest that P. minutus adjusts its appearance in response to varying light conditions. A change in light intensity is known to provoke a color change in marine shallow-water fishes [36]. The lack of a significant effect on lateral coloration may be due to the bright, reflective body surface below the lateral midline (Figure 1, Figure 5 and Figure 6). This surface likely reflected the flash illumination, thereby masking subtle coloration differences caused by ambient light in the lateral view. We presume, as noted in the Methods, that the captured coloration resulted from acclimatization to natural light intensity, while the flashes provided standardized illumination at the moment of capture without allowing time for fish to adjust to this momentary light.
No significant quantitative differences in coloration were found between sexes, across developmental stages, or among combined sex/developmental stage groups (Table 3 and Table 4, Figure 3 and Figure 4). Qualitative analysis also revealed no sexual dichromatism in mark distribution or intensity. The dark spot at the posterior of the first dorsal fin was present in both adult males and females on all substrates. No lateral dark bars, reported in males by [11,13], were observed in either sex. Our results contradict the sexual dichromatism described by [11], who did not specify the seasonal nature of this coloration in Pomatoschistus species. However, ref. [13] described a seasonal breeding coloration in males, including lateral bars, as part of a temporary external appearance. Louisy [17] also mentions lateral bars only in mating males. Contrary to quantitative results, juveniles on Fine sand with algae exhibited less intensive coloration and greater translucency than adults. However, juveniles found on other substrates did not share this difference, suggesting that substrate may modulate ontogenetic patterns. In general, ontogenetic color change in benthic fishes involves a transition from transparent pelagic larvae to more intensely colored benthic juveniles and adults [37] and only the latter two stages were included in the present research.
The proximity of the sampled bottom areas indicates a single P. minutus population at the study locality, since intraspecific isolation on such a small scale is not known among marine fishes. Therefore, the observed consistent color differences between samples are probably caused by the individual manipulation of body coloration rather than being fixed differences among individuals or populations. This study suggests significant and recognizable intraspecific variation in the live coloration of P. minutus, driven by acclimatization to habitat background and ambient light intensity, with no effect of sex or developmental stage on individual color differences.

5. Conclusions

This study provides the first quantitative evidence of pronounced intraspecific coloration plasticity in a gobiid fish, Pomatoschistus minutus, directly linking its live appearance to environmental conditions. We demonstrate that its coloration is influenced by two key factors: habitat substrate (driving changes in lateral coloration) and ambient light intensity (driving changes in dorsal coloration). We found no evidence of sexual dichromatism in the studied population, suggesting that descriptions of sexual dichromatism in the literature may reflect temporary breeding coloration. The implications of these findings are twofold. First, for taxonomy, our results sound a note of caution. The valuable taxonomic characters derived from live goby coloration must be used with an awareness of their potential plasticity. Species descriptions and identifications based on material from a single habitat type risk misinterpreting environmentally induced variation as fixed, diagnostic characters. Second, for ecology, this plasticity indicate possible sophisticated and rapid adaptation for crypsis. The ability to adjust coloration to both substrate and light conditions could represent a significant survival strategy for this small, benthic fish against visual predators.

Supplementary Materials

The following supporting information can be downloaded at: https://www.mdpi.com/article/10.3390/jmse13101932/s1, Figure S1: The originals of underwater photographs of P. minutus from lateral side used in this study, catalog numbers match those in Table 2. Figure S2: The originals of underwater photographs of P. minutus from dorsal side used in this study, catalog numbers match those in Table 2.

Author Contributions

Conceptualization, M.K., R.S. and D.P.; methodology, M.K., R.S., Č.B. and D.P.; software, D.P. and V.M.; validation, M.K. and D.P.; formal analysis, D.P. and V.M.; investigation, R.S. and Č.B.; resources, M.K. and R.S.; data curation, M.K., D.P. and V.M.; writing—original draft preparation, M.K. and D.P.; writing—review and editing, M.K., R.S., V.M., Č.B. and D.P.; visualization, M.K. and D.P.; supervision, M.K. and D.P.; project administration, M.K.; funding acquisition, M.K. and R.S. All authors have read and agreed to the published version of the manuscript.

Funding

M.K. was funded by the Croatian Science Foundation under the project IP-2022-10-7542. Č.B. was funded by University of Rijeka under project PU-113 uniri-iz-25-68.

Institutional Review Board Statement

This study was conducted at the Natural History Museum Rijeka, where researchers have a state permit to study fish. All applicable international, national and/or institutional guidelines for the care and use of animals were followed. The sampling scheme followed a standardized protocol approved by international authorities (EU/DG Mare, FAO/GFCM). No specimen of a species subject to conservation measures was caught. The fish were euthanized by administering an overdose of anesthetic in compliance with the recommendation of European Union Directive 2010/63/EU [38] on the protection of animals used for scientific purposes. All efforts were made to minimize fish suffering.

Informed Consent Statement

Not applicable.

Data Availability Statement

The raw data supporting the conclusions of this article will be made available by the authors on request.

Acknowledgments

No GenAI has been used for purposes such as generating text, data, or graphics, or for study design, data collection, analysis, or interpretation of data, only for superficial text editing.

Conflicts of Interest

The authors declare no conflicts of interest.

Abbreviation

The following abbreviation is used in this manuscript:
PMRPrirodoslovni muzej Rijeka/the Natural History Museum Rijeka

References

  1. Puebla, O.; Bermingham, E.; Guichard, F.; Whiteman, E. Color pattern as a single trait driving speciation in Hypoplectrus coral reef fishes? Proc. R. Soc. B 2007, 274, 1265–1271. [Google Scholar] [CrossRef]
  2. Nilsson Sköld, H.; Svensson, P.A.; Zejlon, C. The capacity for internal color change is related to body transparency in fishes. Pigment Cell Melanoma Res. 2010, 23, 292–295. [Google Scholar] [CrossRef]
  3. Kovačić, M.; Bogorodsky, S.V. A new species of Hetereleotris (Perciformes: Gobiidae) from the Red Sea. Zootaxa 2014, 3764, 475–481. [Google Scholar] [CrossRef] [PubMed]
  4. Maeda, K.; Kobayashi, H.; Palla, H.P.; Shinzato, C.; Koyanagi, R.; Montenegro, J.; Nagano, A.J.; Saeki, T.; Kunishima, T.; Yamahira, K. Do color-morphs of an amphidromous goby represent different species? Taxonomy of Lentipes (Gobiiformes) from Japan and Palawan, Philippines, with phylogenomic approaches. Syst. Biodivers. 2021, 19, 1080–1112. [Google Scholar] [CrossRef]
  5. Kovačić, M.; Renoult, J.P.; Pillon, R.; Svensen, R.; Bogorodsky, S.; Engin, S.; Louisy, P. Identification of Mediterranean marine gobies (Actinopterygii: Gobiidae) of the continental shelf from photographs of “in situ” individuals. Zootaxa 2022, 5144, 1–103. [Google Scholar] [CrossRef]
  6. Salis, P.; Lorin, T.; Laudet, V.; Frédérich, B. Magic Traits in Magic Fish: Understanding Color Pattern Evolution Using Reef Fish. Trends Genet. 2019, 35, 265–278. [Google Scholar] [CrossRef]
  7. Maan, M.E.; Sefc, K.M. Color variation in cichlid fish: Developmental mechanisms, selective pressures and evolutionary consequences. Semin. Cell Dev. Biol. 2013, 24, 516–528. [Google Scholar] [CrossRef]
  8. Herler, J.; Patzner, R.A.; Sturmbauer, C. A preliminary revision of the Gobius auratus species complex with redescription of Gobius auratus Risso, 1810. J. Nat. Hist. 2005, 39, 1043–1075. [Google Scholar] [CrossRef]
  9. Nilsson Sköld, H.; Aspengren, S.; Wallin, M. Rapid color change in fish and amphibians—Function, regulation, and emerging applications. Pigment Cell Melanoma Res. 2012, 26, 29–38. [Google Scholar] [CrossRef]
  10. Sumner, F.B. Quantitative changes in pigmentation resulting from visual stimuli in fishes and amphibia. Biol. Rev. Camb. Philos. Soc. 1940, 15, 351–375. [Google Scholar] [CrossRef]
  11. Miller, P.J. Gobiidae. In Fishes of the North-Eastern Atlantic and the Mediterranean; Whitehead, P.J.P., Bauchot, M.L., Hureau, M.L., Nielsen, J., Tortonese, E., Eds.; UNESCO: Paris, France, 1986; Volume 3, pp. 1019–1085. [Google Scholar]
  12. Kovačić, M.; Svensen, R.; Renoult, J.P.; Patzner, R.A. Checklist key and latitudinal distribution of the eastern Atlantic marine gobies along the European coast (Actinopterygii: Gobiidae and Oxudercidae). Zootaxa 2025, 5609, 1–28. [Google Scholar] [CrossRef]
  13. Swedmark, M. Sur la variation geographique de Gobius minutus Pallas. II. Caractères morphologiques, chromatiques et numeriques. Cah. Biol. Mar. 1968, 9, 297–345. [Google Scholar]
  14. Webb, C.J.; Miller, P.J. A redescription of Pomatoschistus norvegicus (Collett, 1903) (Teleostei: Gobioidei) based on syntype material. J. Fish Biol. 1974, 7, 735–747. [Google Scholar] [CrossRef]
  15. Webb, C.J. Systematics of the Pomatoschistus minutus complex (Teleostei: Gobioidei). Philos. Trans. R. Soc. B 1980, 291, 201–241. [Google Scholar]
  16. Hamerlynck, O. The identification of Pomatoschistus minutus (Pallas) and Pomatoschistus lozanoi (de Buen) (Pisces, Gobiidae). J. Fish Biol. 1990, 37, 723–728. [Google Scholar] [CrossRef]
  17. Louisy, P. Europe and Mediterranean Marine Fish Identification Guide, 3rd ed.; Eugen Ulmer: Paris, France, 2015; 512p. [Google Scholar]
  18. Nilsson Sköld, N.; Yngsell, D.; Mubashishir, M.; Wallin, M. Hormonal regulation of color change in eyes of a cryptic fish. Biol. Open 2015, 4, 206–211. [Google Scholar] [CrossRef]
  19. Engin, S.; Seyhan Öztürk, D. A new species of Pomatoschistus (Teleostei, Gobiidae): The Mediterranean’s smallest marine fish. J. Fish Biol. 2017, 91, 1208–1223. [Google Scholar] [CrossRef] [PubMed]
  20. Schliewen, U.K.; Wirtz, P.; Kovačić, M. Didogobius janetarum sp. nov., a new cryptobenthic goby species from the Cape Verde Islands (Teleostei: Gobiidae). Zootaxa 2018, 4438, 381–393. [Google Scholar] [CrossRef]
  21. Kovačić, M.; Svensen, R. Revision of Sanzo’s head lateral-line system (HLLS) classification and nomenclature based on its re-evaluation of almost all native Mediterranean and European Atlantic marine gobies. Spixiana 2024, 46, 229–295. [Google Scholar]
  22. Saruwatari, T.; López, J.A.; Pietsch, T.W. Cyanine Blue: A versatile and harmless stain for specimen observation. Copeia 1997, 1997, 840–841. [Google Scholar] [CrossRef]
  23. ISO 14688-1:2002; Geotechnical Investigation and Testing—Identification and Classification of Soil. ISO: Geneva, Switzerland, 2002. Available online: https://www.iso.org/standard/25260.html (accessed on 1 July 2025).
  24. Weller, H.I.; Westneat, M.W. Quantitative color profiling of digital images with earth mover’s distance using the R package colordistance. PeerJ 2019, 7, e6398. [Google Scholar] [CrossRef]
  25. Anderson, M.J. A new method for non-parametric multivariate analysis of variance. Austral Ecol. 2017, 26, 32–46. [Google Scholar]
  26. Oksanen, J.; Simpson, G.L.; Blanchet, F.G.; Kindt, R.; Legendre, P.; Minchin, P.R.; O‘Hara, R.G.; Solymos, P.; Stevens, M.H.H.; Szoecs, E.; et al. Vegan: Community Ecology Package, R package Version 2.5-7. 2020. Available online: https://CRAN.R-project.org/package=vegan (accessed on 1 September 2025).
  27. Van Belleghem, S.M.; Papa, R.; Ortiz- Zuazaga, H.; Hendrickx, F.; Jiggins, C.D.; McMillan, W.O.; Counterman, B.A. patternize: An R package for quantifying color pattern variation. Methods Ecol. Evol. 2018, 9, 390–398. [Google Scholar] [CrossRef] [PubMed]
  28. Hemingson, C.R.; Cowman, P.F.; Hodge, J.R.; Bellwood, D.R. Color pattern divergence in reef fish species is rapid and driven by both range overlap and symmetry. Ecol. Lett. 2019, 22, 190–199. [Google Scholar] [CrossRef]
  29. Hemingson, C.R.; Mihalitsis, M.; Bellwood, D.R. Are fish communities on coral reefs becoming less colorful? Glob. Change Biol. 2022, 28, 3321–3332. [Google Scholar] [CrossRef]
  30. Gerwin, J.; Urban, S.; Meyer, A.; Kratochwil, C.F. Of bars and stripes: A Malawi cichlid hybrid cross provides insights into genetic modularity and evolution of modifier loci underlying color pattern diversification. Mol. Ecol. 2021, 30, 4789–4803. [Google Scholar] [CrossRef]
  31. Deville, D.; Kawai, K.; Umino, T. Quantitative analysis of body coloration in Sebastes rockfishes. Mar. Biol. 2024, 171, 123. [Google Scholar] [CrossRef]
  32. John, L.; Rick, I.P.; Vitt, S.; Thünken, T. Body coloration as a dynamic signal during intrasexual communication in a cichlid fish. BMC Zool. 2021, 6, 9. [Google Scholar] [CrossRef]
  33. Marom, S.; Kiflawi, M.; Akkaynak, D.; Roi, R. Dynamic color change in the grouper Variola louti during interspecific interactions and swimming. Behav. Ecol. 2025, 36, araf005. [Google Scholar] [CrossRef]
  34. Williams, B.L.; Pintor, L.M.; Toomey, M.B.; Gray, S.M. Intraspecific Variation in Color and Carotenoids across Environmental Extremes in an African Cichlid. Ecol. Evol. Physiol. 2025, 98, 57–69. [Google Scholar] [CrossRef] [PubMed]
  35. Coulmance, F.; Akkaynak, D.; Le Poul, Y.; Höppner, M.P.; McMillan, W.O.; Puebla, O. Phenotypic and genomic dissection of color pattern variation in a reef fish radiation. Mol. Ecol. 2024, 33, e17047. [Google Scholar] [CrossRef] [PubMed]
  36. Yasir, I.; Qin, J.G. Effect of Light Intensity on Color Performance of False Clownfish, Amphiprion ocellaris Cuvier. J. World Aquac. Soc. 2009, 40, 337–350. [Google Scholar] [CrossRef]
  37. Cortesi, F.; Musilová, Z.; Stieb, S.M.; Hart, N.S.; Siebeck, U.E.; Cheney, K.L.; Salzburger, W.; Marshall, N.J. From crypsis to mimicry: Changes in color and the configuration of the visual system during ontogenetic habitat transitions in a coral reef fish. J. Exp. Biol. 2016, 219, 2545–2558. [Google Scholar] [CrossRef] [PubMed]
  38. European: Parliament; Council of the European Union. Directive 2010/63/EU of the European Parliament and of the e375Legislative Decree on experiments with animals Council of 22 September 2010 on the protection of animals used for scientific purposes. Off. J. Eur. Union 2010, L276, 33–79. [Google Scholar]
Figure 1. Example of the original underwater photographs of Pomatoschistus minutus. PMR VP5410, adult male, 46.8 + 10.1 mm, Breivika, Hundvaag, Norway, Area B, medium to coarse sand with scattered brownish algae biocover, 18 November 2022. (A) Lateral side. (B) Dorsal side. Photos by R. Svensen.
Figure 1. Example of the original underwater photographs of Pomatoschistus minutus. PMR VP5410, adult male, 46.8 + 10.1 mm, Breivika, Hundvaag, Norway, Area B, medium to coarse sand with scattered brownish algae biocover, 18 November 2022. (A) Lateral side. (B) Dorsal side. Photos by R. Svensen.
Jmse 13 01932 g001
Figure 2. Example of (A) the body and the background mask used to separate fish body on underwater photographs of Pomatoschistus minutus from the background and (B) vice versa. Example of 3D color histogram of (C) the fish body and (D) the background on photographs of Pomatoschistus minutus.
Figure 2. Example of (A) the body and the background mask used to separate fish body on underwater photographs of Pomatoschistus minutus from the background and (B) vice versa. Example of 3D color histogram of (C) the fish body and (D) the background on photographs of Pomatoschistus minutus.
Jmse 13 01932 g002
Figure 3. Non-metric multi-dimensional scaling (nMDS) ordination plot comparing body coloration of lateral side photographs for (A) Bottom substrate, (B) Sex, (C) Developmental stage, (D) Time of day, and (E) Depth, with levels explained in graphs.
Figure 3. Non-metric multi-dimensional scaling (nMDS) ordination plot comparing body coloration of lateral side photographs for (A) Bottom substrate, (B) Sex, (C) Developmental stage, (D) Time of day, and (E) Depth, with levels explained in graphs.
Jmse 13 01932 g003
Figure 4. Non-metric multi-dimensional scaling (nMDS) ordination plot comparing body coloration of dorsal side photographs for (A) Bottom substrate, (B) Sex, (C) Developmental stage, (D) Time of day, and (E) Depth, with levels explained in graphs.
Figure 4. Non-metric multi-dimensional scaling (nMDS) ordination plot comparing body coloration of dorsal side photographs for (A) Bottom substrate, (B) Sex, (C) Developmental stage, (D) Time of day, and (E) Depth, with levels explained in graphs.
Jmse 13 01932 g004
Figure 5. Example of the original underwater photographs of Pomatoschistus minutus. PMR VP5405, adult male, 45.2 + 9.9 mm, Breivika, Hundvaag, Norway, Area A, Fine sand with scattered brownish algae biocover, 18 November 2022. (A) lateral side. (B) dorsal side. Photos by R. Svensen.
Figure 5. Example of the original underwater photographs of Pomatoschistus minutus. PMR VP5405, adult male, 45.2 + 9.9 mm, Breivika, Hundvaag, Norway, Area A, Fine sand with scattered brownish algae biocover, 18 November 2022. (A) lateral side. (B) dorsal side. Photos by R. Svensen.
Jmse 13 01932 g005
Figure 6. Example of the original underwater photographs of Pomatoschistus minutus. PMR VP5585, adult female, 56.2 + 9.9 mm, Breivika, Hundvaag, Norway, Area E, the Fine sand with silty particles, 5 January 2023. (A) Lateral side. (B) Dorsal side. Photos by R. Svensen.
Figure 6. Example of the original underwater photographs of Pomatoschistus minutus. PMR VP5585, adult female, 56.2 + 9.9 mm, Breivika, Hundvaag, Norway, Area E, the Fine sand with silty particles, 5 January 2023. (A) Lateral side. (B) Dorsal side. Photos by R. Svensen.
Jmse 13 01932 g006
Table 1. The number of individuals of Pomatoschistus minutus collected at each area at day and night by sex and development stage. Bottom substrate and biocover: Areas A and D with fine sand with scattered brownish algae; area B with medium to coarse sand with scattered brownish algae; area C with coarse sand with scattered brownish algae; area E with fine sand with silty particles.
Table 1. The number of individuals of Pomatoschistus minutus collected at each area at day and night by sex and development stage. Bottom substrate and biocover: Areas A and D with fine sand with scattered brownish algae; area B with medium to coarse sand with scattered brownish algae; area C with coarse sand with scattered brownish algae; area E with fine sand with silty particles.
Adult MaleAdult FemaleJuvenile MaleJuvenile FemaleTotal
Area D night30058
Area D day21003
Area C night53008
Area C Day03014
Area A day20013
Area A night22206
Area B day26008
Area B night23016
Area E day32005
Area E night16007
Total22272758
Table 2. The individuals of Pomatoschistus minutus used for the data analysis.
Table 2. The individuals of Pomatoschistus minutus used for the data analysis.
Catalog NumberAreaDay/NightDepth (Meters)SexDevelopment Stage
PMR VP5367DDay2maleadult
PMR VP5369DDay2femaleadult
PMR VP5371DDay2maleadult
PMR VP5384CDay5femalejuvenile
PMR VP5385CDay5femaleadult
PMR VP5386CDay5femaleadult
PMR VP5388CDay5femaleadult
PMR VP5390ANight11maleadult
PMR VP5391ANight11maleadult
PMR VP5392ANight11malejuvenile
PMR VP5393ANight11malejuvenile
PMR VP5394ANight11femalejuvenile
PMR VP5395ANight11femalejuvenile
PMR VP5396BNight11femaleadult
PMR VP5397BNight11femaleadult
PMR VP5398BNight11femalejuvenile
PMR VP5399BNight11femaleadult
PMR VP5400BNight11maleadult
PMR VP5401BNight11maleadult
PMR VP5405ADay11maleadult
PMR VP5408ADay11maleadult
PMR VP5409ADay11femalejuvenile
PMR VP5410BDay11maleadult
PMR VP5411BDay11femaleadult
PMR VP5412BDay11femaleadult
PMR VP5413BDay11maleadult
PMR VP5414BDay11femaleadult
PMR VP5415BDay11femaleadult
PMR VP5416BDay11femaleadult
PMR VP5417BDay11femaleadult
PMR VP5418DNight2maleadult
PMR VP5419DNight2maleadult
PMR VP5420DNight2femalejuvenile
PMR VP5421DNight2femalejuvenile
PMR VP5422DNight2femalejuvenile
PMR VP5423DNight2femalejuvenile
PMR VP5424DNight2maleadult
PMR VP5425DNight2femalejuvenile
PMR VP5568CNight5maleadult
PMR VP5569CNight5femaleadult
PMR VP5570CNight5maleadult
PMR VP5571CNight5maleadult
PMR VP5572CNight5maleadult
PMR VP5573CNight5femaleadult
PMR VP5574CNight5maleadult
PMR VP5575CNight5femaleadult
PMR VP5577EDay11.5femaleadult
PMR VP5578EDay11.5maleadult
PMR VP5579EDay11.5femaleadult
PMR VP5580EDay11.5maleadult
PMR VP5581EDay11.5maleadult
PMR VP5582ENight11.5femaleadult
PMR VP5583ENight11.5femaleadult
PMR VP5584ENight11.5femaleadult
PMR VP5585ENight11.5femaleadult
PMR VP5587ENight11.5femaleadult
PMR VP5588ENight11.5femaleadult
PMR VP5589ENight11.5maleadult
Table 3. Summary of PERMANOVA results assessing differences in lateral body coloration of fish with respect to bottom substrate, sex, developmental stage, time of day, and depth: (a) one-way PERMANOVA, (b) post hoc pairwise comparisons for bottom substrates, and (c) one-way PERMANOVA for Sex and Developmental Stage in areas A and D. FS: fine sand with scattered brownish algae; FSSP: fine sand with silty particles; CMS: coarse sand with scattered brownish algae. Significant values are indicated as *** p < 0.001.
Table 3. Summary of PERMANOVA results assessing differences in lateral body coloration of fish with respect to bottom substrate, sex, developmental stage, time of day, and depth: (a) one-way PERMANOVA, (b) post hoc pairwise comparisons for bottom substrates, and (c) one-way PERMANOVA for Sex and Developmental Stage in areas A and D. FS: fine sand with scattered brownish algae; FSSP: fine sand with silty particles; CMS: coarse sand with scattered brownish algae. Significant values are indicated as *** p < 0.001.
Source of VariationDfMSPseudo-Fp (perm)
(a)
Bottom substrate24.6437 × 10−718.771 × 10−4 ***
Sex13.7060 × 10−80.92150.3432
Developmental stage14.6900 × 10−90.11490.894
Time of day11.1090 × 10−80.27250.7102
Depth12.9340 × 10−81.0000.4124
(b)
Bottom substrate: FS vs. CMS 14.4990 × 10−67.09530.002 ***
Bottom substrate: FS vs. FSSP16.5679 × 10−69.33259 × 10−4 ***
Bottom substrate: CMS vs. FSSP14.088 × 10−527.8481 × 10−4 ***
(c)
Sex & developmental stage
31.0844 × 10−80.86160.5063
Table 4. Summary of PERMANOVA results assessing differences in dorsal body coloration of fish with respect to bottom substrate, sex, developmental stage, time of day, and depth: (a) one-way PERMANOVA, (b) one-way PERMANOVA for Sex and Developmental Stage in areas A and D. Significant values are indicated as * p < 0.05, *** p < 0.001.
Table 4. Summary of PERMANOVA results assessing differences in dorsal body coloration of fish with respect to bottom substrate, sex, developmental stage, time of day, and depth: (a) one-way PERMANOVA, (b) one-way PERMANOVA for Sex and Developmental Stage in areas A and D. Significant values are indicated as * p < 0.05, *** p < 0.001.
Source of VariationDfMSPseudo-Fp (perm)
(a)
Bottom substrate24.6090 × 10−81.07660.356
Sex11.5330 × 10−80.35310.603
Developmental stage18.3000 × 10−100.0190.981
Time of day15.7596 × 10−717.240.001 ***
Depth11.7471 × 10−74.30610.036 *
(b)
Sex & developmental stage
35.2220 × 10−80. 65180.74
Table 5. Summary of PERMANOVA results assessing differences in fish body coloration relative to background coloration for the factor Bottom Substrate: (a) lateral side photographs, (b) dorsal side photographs. Significant values are indicated as ** p < 0.01.
Table 5. Summary of PERMANOVA results assessing differences in fish body coloration relative to background coloration for the factor Bottom Substrate: (a) lateral side photographs, (b) dorsal side photographs. Significant values are indicated as ** p < 0.01.
Source of VariationDfMSPseudo-Fp (perm)
Lateral side26.4875 × 10−85.22970.009 **
Dorsal side21.60745 × 10−77.52270.002 **
Disclaimer/Publisher’s Note: The statements, opinions and data contained in all publications are solely those of the individual author(s) and contributor(s) and not of MDPI and/or the editor(s). MDPI and/or the editor(s) disclaim responsibility for any injury to people or property resulting from any ideas, methods, instructions or products referred to in the content.

Share and Cite

MDPI and ACS Style

Kovačić, M.; Svensen, R.; Milosaljević, V.; Benac, Č.; Paliska, D. Influence of Bottom Substrate, Bottom Depth and Day/Night on In Situ Coloration Variability of Pomatoschistus minutus (Pallas, 1770) (Actinopterygii: Oxudercidae). J. Mar. Sci. Eng. 2025, 13, 1932. https://doi.org/10.3390/jmse13101932

AMA Style

Kovačić M, Svensen R, Milosaljević V, Benac Č, Paliska D. Influence of Bottom Substrate, Bottom Depth and Day/Night on In Situ Coloration Variability of Pomatoschistus minutus (Pallas, 1770) (Actinopterygii: Oxudercidae). Journal of Marine Science and Engineering. 2025; 13(10):1932. https://doi.org/10.3390/jmse13101932

Chicago/Turabian Style

Kovačić, Marcelo, Rudolf Svensen, Vera Milosaljević, Čedomir Benac, and Dejan Paliska. 2025. "Influence of Bottom Substrate, Bottom Depth and Day/Night on In Situ Coloration Variability of Pomatoschistus minutus (Pallas, 1770) (Actinopterygii: Oxudercidae)" Journal of Marine Science and Engineering 13, no. 10: 1932. https://doi.org/10.3390/jmse13101932

APA Style

Kovačić, M., Svensen, R., Milosaljević, V., Benac, Č., & Paliska, D. (2025). Influence of Bottom Substrate, Bottom Depth and Day/Night on In Situ Coloration Variability of Pomatoschistus minutus (Pallas, 1770) (Actinopterygii: Oxudercidae). Journal of Marine Science and Engineering, 13(10), 1932. https://doi.org/10.3390/jmse13101932

Note that from the first issue of 2016, this journal uses article numbers instead of page numbers. See further details here.

Article Metrics

Back to TopTop