Abstract
To analyze the impacts of groins, sandbars, and channels on the three-dimensional features of rip currents, we conducted experimental investigations on the vertical distribution of rip currents under intersecting waves along barred beaches with channels. This study employed ADV flow velocity measurements at two distinct locations: within channel and on a sandbar. The results indicate that in nodal sections within channel and on a sandbar, the rip head region manifests surface flow characteristics, characterized by high velocities near water surface. In a rip neck location, the vertical distribution of rip currents on a sandbar exhibits greater variability, whereas within channel, the distribution is more homogeneous. The vertical distribution of rip currents in nodal sections within channel aligns with the logarithmic distribution law. The vertical distributions of the alongshore velocity of rip currents display a consistent pattern of higher at the top and lower at the bottom. However, this pattern varies slightly depending on the wave period. The presence of groins influences the fluctuation characteristics of the alongshore velocity of rip currents by regulating the nearshore circulation system. This results in the alongshore velocity of rip currents in channel pointing towards the groin. In contrast, the alongshore velocity of rip currents on sandbar, situated farther away from groin, exerts a weaker effect on the alongshore velocity of a rip current.
1. Introduction
Rip currents are strong, narrow offshore currents caused by wave breaking on nearshore coasts, which are the single largest cause of beach safety incidents globally []. Since a rip current can be very high (up to 2 m/s) and can carry a large fluid flow, this has a significant impact on nearshore water exchange, pollutant transport and diffusion, coastal sediment transport, and submarine deformation, as well as on the personal safety of swimmers in the sea [,]. Rip currents can lead swimmers into deep offshore water and drown them, and are a dangerous “killer” of coastal visitors, affecting coastal safety []. For example, according to the Summary of Natural Hazard Statistics for 2022 in the United States, 69 people died from rip currents and the average number of deaths per year over the past ten years is approximately 71 (https://www.weather.gov/hazstat/, accessed on 1 April 2024). A serious rip current incident occurred at Haeundae Beach in South Korea, in which more than 100 tourists were swept into the sea in 2012 []. A significant rip current incident occurred in Zhangzhou, Fujian Province, China, in 2021, sweeping 17 tourists out to sea and resulting in 11 people dying from rip currents. (http://www.people.com.cn/n1/2021/0817/c32306-32197257.html, accessed on 1 April 2024). The transient rip currents generated by intersecting waves are highly dangerous and have strong three-dimensional characteristics. Therefore, to effectively establish the beach rip current disaster prediction model, it is necessary to analyze the vertical distribution measurement and change the rule of transient rip current generated by intersecting waves [].
There are many mechanisms for the generation of rip currents, including topography-controlled rip currents generated by sandbars, sharp-angled beaches, and submerged reefs, wave-controlled rip currents generated by 3D waves, intersecting waves and wave clusters [,]. Most of the current studies on rip currents have focused on the measurement of depth-averaged velocities [,,,,,,,,] or surface velocities [,,,,]. Studies on the former mostly use Doppler acoustic point velocity (ADV) to measure velocities 1/3 of the way to the bottom of the water, and those on the latter use float tracer techniques to obtain the velocity vector field at the surface of the water (circulating flow field). Measurements of the distribution of rip currents along the bathymetry are still scarce. Sasaki [] showed that the vertical distribution of a rip current generated by fringe waves from forward-incident waves on steeply sloping terrain is uniform along the water depth. Wind and Vreugdenhil [] used a side wall in a wave tank to deflect the flow along the shoreline to create an offshore rip current and obtained vertical velocity distributions from three vertical measurement points, but the resulting velocities showed only a small tendency to increase from the bottom to the surface of the water []. Drønen et al. [] set up half a channel at the wall of a flume and measured the vertical velocity distributions of the flow in six vertical sections inside and outside rip channel, and the resulting velocity distributions outside rip channel were 0.5 m/s and 1.2 m/s, respectively. They found that the vertical change in rip current velocity was large outside the rip channel and small inside the rip channel. For a sandbar topography with a channel under positive wave incidence, Haas and Svendsen [] experimentally investigated the vertical distribution of rip current at different locations along the centerline of the rip channel, and showed that the velocity distribution was uniform in the rip channel area, while offshore from the channel, the rip current has much stronger velocities at the surface than near the bottom. For submerged reef topography, Poort [] conducted experiments on the vertical velocity distribution of rip currents along a reef coast, and showed that the vertical velocity distribution of rip currents was uniform along the water depth near the reef, and the velocity was larger near the surface away from the reef. Choi and Roh [] studied the experiments on rip currents generated by pseudo-superpositioned waves in the equilibrium-profile topography and pointed out that rip currents at the surface were slightly higher than the ones at the middle of the water depth. Sous et al. [] conducted an in situ observation study of the deflected rip current near the groin, and the results showed that rip current was uniformly distributed along the water depth in the rip neck region, with significant variations in the rip head, and maximum velocities near the surface. In addition to the above-mentioned rip currents due to underwater topography (sand-bar and channels), there are also boundary-induced and cross-wave field-induced rip currents. Existing studies on boundary-induced rip currents have focused on rip currents due to groin. Pattiaratchi et al. [] investigated rip current characteristics in the groin area by field measurements. Scott et al. [] studied the rip current field induced by a single groin and a group of groin in the field, and obtained the result that the rip current pattern generated by the reflection zone of groins would be affected by the coastal flow. However, no experimental physical modeling studies have been carried out.
Little research has been carried out on rip currents generated by intersecting waves. Dalrymple [] first proposed that cross-wave trains with the same frequency on an open, flat-slope coast would generate periodic variations in wave height and mean water surface elevation inside and outside the breaking zone and drive a series of rip system units. Dalrymple [] also calculated the interval of the rip current by using the linear theory. Shin et al. [] found that waves refracted by an offshore shoal formed cross-waves at the shore, and the coastal variation in wave height led to the observed rip current system at Haeundae Beach. Wei et al. [] more comprehensively investigated the short-crest wave and breakage-induced rip current system on a flat-slope coast by utilizing the 3D model of smooth-particle hydrodynamics (GPUSPH). They observed that the cross-waves generate rip currents and undertow at different locations of the vertical bank section. Due to the bifurcation of wave breaking and nonlinearity of waves, there are more circulation cells between the outside of the breaking zone to the shore compared to the prediction of the linear theory. Kirby and Derakhti [] simulated the rip current system generated by the breaking of cross-waves on the shore of a sandbar by using the Boussinesq equations and also found that the interval of the rip current on the shore is half of the interval of the rip current on the sandbar. Choi and Roh [] experimentally investigated the effects of cross-wave current interactions, wave energy dissipation, and vorticity on both sides of the breaking wave crest on the strength of the rip current on a planar slope. Baker et al. [] conducted experiments in a laboratory wave basin with a directionally spread wave field on an alongshore-uniform barred beach; they utilize Particle Image Velocimetry (PIV) on optical images to characterize the short-peaked waves of the flow field in the surf zone and to assess their consistency with 2D turbulence. Long and Özkan-Haller [] found that the topography of a submerged canyon offshore of La Jolla, California, induced a coastal variation in wave heights and drove multiple rip currents. Zhang et al. [] found that wave crossings and rip current cell structures on Ocean Beach, USA, were caused by wave refraction on an ebbing shoal. Dalrymple and Lanan [] experimentally observed a systematic unit of rip currents generated by intersecting waves generated by the reflection of the groin, but only measured the interval between the rip currents. From the above studies, it can be seen that the experimental study of the three-dimensional distribution of rip currents is not sufficient and the results cover a limited number of situations. The vertical distribution of rip currents controlled by the boundary (groin) is especially important, for which no experimental results are available.
The present study examines the vertical distribution and three-dimensional circulation characteristics of rip currents generated by superimposing intersecting waves in a sandbar–groin system. The groin under consideration is a fully reflective boundary; so, the effect of the intersecting wave field is also included. Comparing with previous studies, the present study provides a more comprehensive characterization of the vertical distribution of time-averaged velocity vectors along the centerline of the rip channel by increasing the number of measurement points along the bathymetry and the groin, which leads to a more comprehensive characterization of the distribution of time-averaged velocity vectors along the centerline of the rip channel. This paper is organized as follows. Following the Introduction, the experimental layout and measurements are presented in Section 2. Section 3 presents the theoretical analysis of rip current characteristics. In Section 4, the experimental results for characteristics of the vertical distribution of rip currents are presented. Section 5 is a discussion of the differences of the findings. Finally, in Section 6, the major conclusions are drawn.
2. Experimental Set-Up
2.1. Experimental Lay-Out
The experiment detailed in this paper was conducted within the multifunctional wave tank at the State Key Laboratory of Coastal and Offshore Engineering, Dalian University of Technology. Its dimensions are 55 m in length, 34 m in width, and 0.7 m in depth. At one end of the wave tank is a push-plate wave maker consisting of 70 paddles, each 0.4 m wide. A gently sloping coastal model was set in the center of the pool, with the slope model at the closest distance of 8 m from the wave generator, as shown in Figure 1a. To increase the length of coastal model and to facilitate the generation of obliquely incident waves, the coastal direction of the coastal model was set at an angle of 30° to the wave maker. The slope of the coastal model (except for sandbar) was 1:40, and the total width of the coastal model was 21 m, with a distance of 18 m from the foot of the slope to the still water line, and a wave up-rush zone of 3 m in width above the still water line. Two waveguide walls were installed perpendicular to the wave maker on both sides of the horizontal bottom to prevent the waves from diffracting, with the short guide wall terminating at the foot of the shore and the long guide wall connecting to the end of the groin at the shore. To create an intersecting wave field, a straight-walled groin with a vertical shoreline was constructed on the edge of one side of the shore. The groin was 60 cm high, 15 cm wide, and 26.5 m long, extending from the upper edge of the shore to 5.5 m below the foot of the slope. To create a fully reflective wave, the groin was constructed of bricks with a cemented wall surface. The waves were diagonally incident onto the shore at an angle of 30° to the groin, thus creating an intersecting wave field with the reflected waves from the groin (Figure 1c). The origin of the coordinate system was taken to be the intersection of the groin and still water line, with the x-axis pointing positively offshore, the y-axis pointing positively away from the groin, and the z-axis positively vertically upward.


Figure 1.
Plan view of the barred beach (a), bottom profile the barred beach and CCD Area (b) and the photo of intersecting waves near the groin (c).
In order to simulate the sandbar topography common to wave-breaking areas on sandy coasts, littoral sandbars were set up on the coastal model (Figure 1b). This setup utilizes a Gaussian sandbar model with a 1:40 slope. The sandbar’s center is situated 5 m from the still water line, spanning a width of 2 m, with a water depth of 0.045 m at the sandbar’s crest. The channel extends from 1 to 2 m from the groin. The intersecting wave, depicted in Figure 1 results from the combination of the incident wave and the reflected wave bouncing off the groin. The corresponding still water depth can be calculated as follows:
A white cement surface was used on the sloping terrain of the coastal model and a 1 m × 1 m black grid was drawn, and tracers were put in to observe the oscillation phenomenon during the experiment (right panel of Figure 1b).
2.2. Wave Fields and Measurements
In order to study the vertical distribution characteristics of the rip current formed at the intersecting wave fields, regular and irregular waves with three periods (1.0 s, 1.5 s, and 2.0 s) and different wave heights ranging from 4.53 to 6.98 cm were considered in the experiments, as shown in Table 1. The spectra of irregular waves were taken as the JOWNSAP spectra. The actual waves corresponding to these waves can be converted by using a model scale of 1:16 to 1:25. For example, the corresponding prototype wave heights’ range was from 0.72 to 1.12 m, and the periods’ range was from 4.0 to 8.0 s by using a scale of 1:16, which belong to the wave conditions under the regular wave scenarios.

Table 1.
Test conditions, y coordinates of node/anti-node points of intersecting waves and relative position of rip channel.
According to reference [], the theoretical wavelengths of experimental standing waves along the coastline (k is the wave number and is the direction of the waves) depend on the wave period, which is shown in Table 1. Since the standing wave nodes often coincide with the locations of rip currents, the locations and numbers of nodes in the table are an important basis for analyzing the characteristics of rip currents. The existence of a rip channel also determines the location of rip currents; so, the positions of the rip channel’s centerline relative to standing wave nodes and standing wave hinterland are listed in the table.
The position of the centerline of the rip channel with respect to these nodes varies with the wave period, as shown in Figure 2. For wave conditions for a wave period of 1.0 s, the center of the rip channel coincides with the 2nd antinode. For wave conditions for a wave period of 1.5 s, the center of the rip channel is close to the 1st node (0.14 m to the right). For wave conditions for a wave period of 2.0 s, the center of the rip channel is located between the 1st antinode point and the 1st node (with the 1st node located at the left edge of the rip channel). The effect of these different relative positions on the vertical distribution of the rip current is given in the following discussion.

Figure 2.
Relative position of rip channel and nodes/antinodes. (a): T = 1.0 s; (b): T = 1.5 s; (c): T = 2.0 s.
Given the above characteristics of the wave and rip current fields, wave height measurements in the experiments were carried out along the wave nodes and antinode points. Simultaneous wave height measurements were made by 46 wave gauges on three measuring frames along the vertical shore simultaneously. Wave height gauge intervals included 0.5 m, 1 m, 2 m, and 3 m and a maximum offshore distance of 20 m. The wave height meter sampling frequency was 50 Hz and the sampling period was 600 s.
To illustrate wave height variation in the cross-shore direction (x-direction) at each node and antinode point, the results of the regular wave period of 1.0 s and wave height of 5.80 cm are given in Figure 3. In addition to showing the large differences in wave heights at node and antinode points, another result used later in the discussion of the fitting equation for vertical distribution of the rip current is the location of the wave breaking point (see wave condition SRT1H2 in Table 1). Because the fitting formulas used before and after wave breaking are different, the locations of wave breaking points for other wave conditions are also given in Table 1.

Figure 3.
Wave heights and set-up for nodes and antinodes.
2.3. Measurement Methods of Vertical Distribution Measurements
To accurately gauge the vertical distribution of the rip current, flow meters were strategically positioned at various points in the cross-shore direction on rip channel’s centerline (y = 1.5 m). The distances from the still water line to each measurement point were set at 4.0 m, 5.0 m, 5.5 m, 6.0 m, 6.5 m, 7.0 m, 7.5 m, and 8.0 m, as depicted on the left panel of Figure 4. During the experiments, to minimize excessive horizontal distance between measurement points due to ADV side-by-side binding, a combination of three soft-line ADVs and two straight-rod-side ADVs was employed. These were affixed to a movable measuring frame, ensuring the ADV probes were positioned at varying heights along the vertical axis. The specific arrangement of measurement points for each wave condition is illustrated in the right panel of Figure 4.

Figure 4.
Layout of measurement points (a) and location of vertical measuring points (b).
The lowest ADV1 was positioned just 0.5 cm above the water bottom. This setup utilized three sets of such flow meter frames to enhance the efficiency of the measurements. Additionally, the experimental set for wave condition SIT2H2 at node 2 is included. Data collection for these experiments spanned 720 s, with a velocity sampling frequency of 50 Hz.
Figure 5 displays the time series and 0.05 Hz low-pass filtered lines of five Acoustic Doppler Velocimetry (ADV) for the wave condition SRT1H2 at x = 6.0 m. The left and right panels, respectively, depict the cross-shore velocity (u) in the cross-shore direction and the alongshore velocity (v) in the alongshore direction. The plots reveal a trend where the flow velocity at each measurement point initially increases from 0 to 200 s, and then gradually stabilizes after 200 s. Notably, the time series of the cross-shore velocity (u) in the left plot exhibits significant fluctuations after 350 s, indicating the time-varying nature of the rip current. It is important to find out whether the averaged velocities are sensitive to different time periods for the averaging. A hypothesis would be to change time periods for time averaging by 150–720 s, 160–720 s, 170–720 s, 200–720 s, and 250–720 s in Figure 6. From the time-averaged velocity results of above five time periods, it can be seen that the trends of the time-averaged values of alongshore velocities are basically the same in these five periods. Therefore, it can be assumed that the change in time-averaged values of alongshore velocities is not significant. The same is true for the cross-shore velocity component, as shown in Figure 6b. The authors acknowledge the importance of the observed long-period velocity oscillations (Figure 5), which will be addressed in future in-depth data analysis. Therefore, the velocity data presented in this study are derived from averages taken after the 200 s mark. This duration was selected to account for the extended oscillation periods caused by the instability of rip currents.

Figure 5.
Time series of cross-shore velocity (u) and alongshore velocity (v) for case SRT1H2. Location of measurement point x = 6.0 m, y = 1.5 m. z indicates the distance from the bottom. The vertical positions of ADV1 to ADV5 are 0.005, 0.02, 0.05, 0.09, 0.13 m relative to the bottom.

Figure 6.
Consistency check of alongshore velocity (a) and cross-shore velocity (b) in different time periods for case SRT1H2. Location of measurement point x = 6.0 m.
3. Theoretical Analysis of Rip Current Characteristics
3.1. Time-Varying Characteristic of Rip Current
The vertical distribution of time-averaged velocities () can be characterized in terms of the following circulation control equations that they satisfy (neglecting higher orders) []:
where () is the three-dimensional time-averaged radiation stress; is the average horizontal surface elevation; is the eddy viscosity coefficient; and are the fluid density and gravitational acceleration, respectively. When the eddy viscosity coefficient is taken as a constant, it is easy to evaluate the distribution characteristics of () along the water depth by the above equation, and then the equation can be integrated directly to obtain the following parabolic form of the solution:
where h is the hydrostatic water depth; () is the bed shear stress; () is the velocity at the bottom; and () is the right end term of Equations (2) and (3). If the eddy viscosity coefficient is considered to be variable along the water depth, the resulting solution can be either a logarithmic distribution or a power function distribution, a detailed discussion of which is given in the next section for the cross-shore velocity u.
The above deflection of the velocity vectors towards the groin can be explained by the overall flow field and the corresponding vortex diagrams measured using the float tracer given in Figure 7, which also gives the velocity vectors measured by the ADV arranged at a depth of 1/3 of the water depth from the bottom. These velocity vectors represent the distribution of the mean flow velocity at water depth, which is different from that of the flow velocity at the surface of the water as measured by the float tracer, and the two of them can be given at the same time to provide a more detailed understanding of the velocity of the flow field. The two are given simultaneously to give a more comprehensive display of the velocity vectors in the flow field.

Figure 7.
Drifter tracks (left) and vortex intensity (right) obtained by float tracing (case SRT1H2)
: ADV velocity
: float velocity (
: 20 cm/s).



In the figure, the shoreline is located at x = 0, and the sandbar is located at x = 4.0 m to 6.0 m. The flow velocity distribution at the rip channel is shown as follows. As can be seen from the figure near the inlet of the rip channel from x = 4.0 m to the shoreline, the vortex intensity is asymmetric on both sides of the rip channel. This asymmetric distribution of vortices is mainly caused by the truncation of the compensating flow along the shore (y-direction) to the rip current by the groin, which is pointing towards rip channel, whereas the velocity on the side close to groin is small, and the compensating flow of the rip current is small as well. This causes the velocity vectors of the upper layer of water (the float tracer only represents the velocity of the upper layer of fluid) to be deflected (v is a negative value) towards the groin in the rip channel, whereas the velocity vectors of the upper layer of fluid are deflected (v is a positive value) away from the groin as they flow out of the rip channel. This upper flow obviously affects the flow of the lower water body, i.e., it affects the vertical distribution of velocity, but in addition to this effect, it Is also affected by the vertical distribution of the eddy-viscosity coefficient and the vertical distribution of the three-dimensional radial stress gradient, as shown in Equations (2) and (3), as well as by the mean horizontal plane gradient, so that the vertical distribution of the lower water body behaves in a more complicated way, but in the rip current flume, the three vertical lines, x = 4.5 m, 5.0 m, and 5.5 m, still exhibit parabolic distribution patterns, as shown in Equation (4). However, the vertical distributions at the inlet x = 4.0 m and outlets x = 6.0 m and 7.0 m of the rip channel have deviated from this distribution pattern.
3.2. Distribution Law and Fitting of Offshore Velocity u at Channel Center Position
The vertical distribution of the rip current demonstrates a distinct pattern along the water depth. In this study, the data were analyzed using logarithmic and exponential fitting methods. The logarithmic flow velocity distribution was employed in the analysis.
where z is the vertical coordinate with the origin at the static water surface, is the static water depth, is the apparent roughness, is the shear velocity, and is the von Karman constant. To facilitate the use of curve fitting, Equation (6) can be rewritten as follows:
where , and parameters a and b were determined by curve fitting to the experimental data. The exponential fitting expression is as follows:
where m is a constant. Dyer [] provides a range of values for the exponent m from 1/7 to 1/10. The analysis of this experiment indicated that using m = 1/7 was appropriate for most cases, but for one or two profiles near the periphery of the sandbar, m = 2 was more suitable (refer to case SRT1H3 in Figure 8). This is because the velocity in these profiles generally increases from the bottom to the surface of the water.

Figure 8.
Vertical distributions and logarithmic fitted profile of cross-shore velocity u.
This fitting function is consistent with the similarity theory and the assumption of incomplete similarity proposed by Barenblatt []. The above fit is applied only to velocities below the trough; velocities above the trough are affected by the outflow from the flow meter due to water surface fluctuations. The average flow above the trough is mainly mass transport flow, but for irregular waves, the wave trough is sometimes large and sometimes small, and the depth of the average flow at smaller wave heights is greater than that at larger wave heights, i.e., the height of the depth of the average flow is constantly changing. To eliminate the contribution of the outflow portion to the mean value of velocities, the following distributions are used for velocities above the trough []:
where corresponds to the power function distribution above; is the wave surface elevation; and is the cumulative probability of the Gaussian distribution followed by the wave surface elevation, which can be calculated by the following equation:
To assess the accuracy of the fit, the root mean square error was used.
where N is the total number of flow velocity measurement points below the wave trough, is the number of flow velocity measurement points, is the measurement of the mean flow velocity at point , and is the fitting result of the mean flow velocity at point .
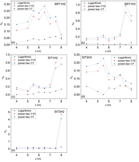
Figure 8 presents the logarithmic fit of the experimental results regarding the vertical distribution (except for the exponential fit using m = 2 for wave condition SRT1H3 at positions x = 7.5 m, 8 m). The figure illustrates that the rip current velocity remains present at x = 8.0 m and exhibits a distinct distribution pattern along the water depth. The vertical distribution of the rip current within rip channel’s measurement section (x = 4~7 m) demonstrates a pattern where velocities are higher in the lower part and diminish towards the upper part, peaking at the second and third measurement points from the bottom. In sections further from the shore (x = 7.5 m and 8 m), the vertical distribution of longitudinal flow velocity u exhibited a trend of lower velocities downwards and higher velocities upwards. However, the uppermost measurement points in these sections were 5.75 and 7 cm below the still water surface, preventing a complete measurement of the velocity distribution along the water depth, thereby rendering it impossible to precisely assess rip current distribution along this depth. Additionally, the results indicate that the logarithmic distribution provides more accurate outcomes for all measured sections.
Table 2 and Figure 9 present the fitting errors of logarithmic and exponential distributions. The table reveals that the logarithmic fits align closely with the experimental results ( is with minimal errors), indicating that logarithmic distributions effectively describe the vertical distribution of the rip current. Except for wave conditions SIT1H2 and SIT3H2 at x = 8.0 m, where the errors are 0.136 and 0.283, respectively, the errors in the other measured sections remain below 0.1. Overall, the data demonstrate that the logarithmic fitting results near the gap closely match the experimental results.

Table 2.
Logarithmic fitting results (a, b) and power-law fitting error .

Figure 9.
Logarithmic fitting and power-law fitting error . (a–e) represent test SRT1H2, SRT1H3, SIT1H2, SIT2H2, SIT3H2 respectively.
4. Characteristics of the Vertical Distribution of Rip Current
This study primarily examines the distribution characteristics of alongshore velocity (v), cross-shore velocity (u), and velocity vectors along the water depth at various measurement sections. A particular focus is on the cross-shore velocity (u) at the node. When directed offshore, it is referred to as a rip current. The analysis begins with an exploration of the patterns and disparities in the vertical distribution of the cross-shore velocity (u) across different underwater topographies, including both the sandbar and channel areas. Subsequently, this paper delves into the variation trends of the cross-shore velocity (u) at the rip channel’s center and presents an in-depth analysis of the corresponding fitting results.
4.1. Vector Characterization of Rip Current
To more effectively illustrate the vector characteristics of the rip current, Figure 10 displays the horizontal velocity vector distribution along the bathymetry in the center of the rip channel (y = 1.5 m) for case SRT1H2. In the figure, the cross-shore velocity u points positively offshore, while the alongshore velocity v points positively upstream. represents the dimensionless distance from the bottom, z is the distance of the measurement point from the bottom, and h is the water depth at the measurement section. is the value of the velocities, and and are projected on the surfaces of observation and , respectively. In this paper, are called the distribution curves of longitudinal and transverse velocities, respectively.

Figure 10.
Velocity vectors with projections of cross-shore and longshore currents in the center of the rip channel (y = 1.5 m) (case SRT1H2).
The figure illustrates that the fluid flow characteristics of a barred beach with a rip channel are characterized by a rip current, taking the form of an offshore jet along the center of the rip channel, and the value of the alongshore velocity is approximately 1/5 of the cross-shore velocity . For the high wave condition SRT1H3 with large waves, the alongshore velocity is larger, yet it remains smaller than the alongshore velocity (vector diagrams are omitted here). This indicates that the velocity at each measurement section along the rip channel’s centerline is dominated by the cross-shore velocity, with comparatively lower values in the alongshore direction. The cross-shore velocity of the rip current () demonstrates a pattern of being larger at mid-depths and smaller nearer the top and bottom, following the water depth’s variation. As the offshore distance increases, the velocity () first rises and then falls, peaking at the rip channel position x = 5.0 m. The three-dimensional characteristics of the rip current along the center of the rip channel on a barred beach with a rip channel are primarily evidenced by significant variations in alongshore velocity and cross-shore velocity components with water depth, particularly alongshore velocity, where variations in the magnitude of the velocity component () are observed at different depths. Additionally, velocity vectors from the bottom to the surface exhibit a phenomenon of lateral oscillation. This oscillation varies considerably across the vertical measurement lines along the rip current direction, highlighting the complexity of the three-dimensional distribution of the rip current.
4.2. Influencing Factors of Rip Current
The main factors affecting the three-dimensional flow of the rip current include the position of the groin, wave node, relative to the centerline of the rip channel (i.e., the period).
4.2.1. Effect of the Groin on Alongshore Velocity (v)
The distinctive feature of the 3D flow is that it is affected by the groin, which minimally affects the vertical distribution of the cross-shore velocity , but significantly impacts alongshore velocity , as discussed in the context of the 1.0 s period wave condition. At the inlet measurement point (x = 4.0 m) on the shoreward side of the rip channel, the alongshore velocity is directed towards the groin across the water depth. This occurs because the wave breaks early on the sandbar on both sides of the rip channel, resulting in the formation of a compensatory flow on the shoreward side of the sandbar to replenish the rip channel. The measurement cross-section, being close to the groin (y = 1.5 m), means that the circulating flow near the groin is influenced by the reflected wave. Furthermore, the minimal mass transport flow on the side of the groin reduces the compensatory flow on the shoreward side, consequently leading to a reduced compensatory flow on this side of the rip channel. The reduced mass transport flow on the groin side leads to a diminished alongshore compensatory flow, culminating in a more pronounced rearward flow towards the groin on the shoreward side of the rip channel. The flow velocity along the shoreline at this measurement location Is typically higher at the top and lower at the bottom. Although the flow velocity at the uppermost point of the water depth is marginally reduced, it remains higher than the velocity at the bottom, resulting in a trend where flow velocities are larger at mid-depths and smaller nearer the top and bottom. For wave conditions with period of 1.5 s and 2.0 s, the rip current’s shoreline velocity component exhibits a pattern of being higher at the top and lower at the bottom along the water column.
In the in-channel section (x = 5.0~6.0 m), the alongshore velocity v varies along the water depth, exhibiting a helical distribution. At the water surface, it points towards the groin, while at the bottom, it points away, with significant differences in velocity values between the two. In the offshore section of the rip channel (x = 6.5~8.0 m), the horizontal flow velocity along the coast, represented by , also exhibits a similar spiral distribution but with smaller velocity values. Under the large wave height condition SRT1H3 in the section (x = 7.5 m, 8.0 m), the direction of the velocity component along the coast is oriented away from the groin, as shown in Figure 11. This indicates the extent of directional oscillatory characteristics of the rip current as the incident wave height increases.

Figure 11.
Vertical distributions of longshore velocity v for case SRT1H2 (a) and case SRT1H3 (b) with T = 1.0 s.
Under the wave condition with a 1.0 s period, the current velocity at the uppermost measurement point of the water depth is marginally lower, yet remains higher than at the bottom, resulting in a tendency for the current velocity to be larger at mid-depths and smaller nearer the top and bottom. The intensity of the rip current at the lower measurement points along the water column intensifies with increasing incident wave height, predominantly reflected in the increase in alongshore velocity , whereas the rise in the cross-shore velocity is less pronounced. This is attributed to the pronounced wave–current interactions with increasing incident wave height, leading to a non-proportional increase in rip current velocity in the offshore direction relative to the wave height increment, thereby causing a significant deflection of the rip current in the coastal direction.
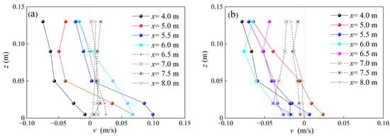
4.2.2. Effect of Wave Period on Alongshore Velocity (v)
The wave period directly influences the location of the node/antinode point. For the 1.0 s wave period, the second antinode is situated precisely at the rip channel’s centerline. Excluding the influence of the groin, the intersecting wave field is symmetric around the rip channel’s centerline; therefore, the resulting rip current should also exhibit symmetry relative to the rip channel’s centerline. It is plausible to assume that the rip channel does not affect the lateral oscillation of the alongshore velocity . The vertical distribution of the alongshore velocity in the 1.0 s period case is solely influenced by the groin. In the 1.5 s period case, the second node (y = 1.41 m) is near the rip channel’s centerline (y = 1.5 m), while for the 2.0 s period, the second node (y = 1.94 m) is positioned near the rip channel’s edge, slightly farther from the center. The vertical distributions of the alongshore velocity for the 1.5 s and 2.0 s periods are influenced by both the node/antinode (wave period) and the groin.
Figure 12 gives the vertical velocity distributions of the alongshore current v for wave conditions with wave periods of 1.5 s and 2.0 s. The alongshore component at the rip channel inlet measurement point (x = 4.0 m) exhibits a variation pattern consistent with that of wave conditions with a period of 1.0 s, attributed to its location on the shoreward side of the rip channel, where the influence of the rip channel is more pronounced than at node points of different periods in the hinterland. This is due to its position on the backward side of the rip channel, where the influence of the rip channel outweighs that of nodes from different periods. In other point conditions, the influence of the wave period is more dominant. For wave conditions with a period of 1.5 s, the shoreline velocity component within the sandbar area (x = 5.0~6.5 m) points towards the groin in the upper depth layer and away from the groin in the lower depth layer, whereas in the sections on the offshore side of the sandbar (x = 7.0 m, 7.5 m, 8.0 m), the shoreline velocity component has minimal values and is oriented away from the groin. For wave conditions with a period of 2.0 s (SIT3H2), the alongshore velocity at sections other than x = 5.0 m exhibits lower values along the water depth, decreasing nearer to the bottom. The direction of the alongshore velocity of the rip current is primarily influenced by the circulation system, which is, in turn, affected by the node/antinode (wave period) and the channel. Under the 1.5 s and 2.0 s wave conditions, the alongshore velocity of the fracture flow is higher at the upper layers and lower at the lower depths.

Figure 12.
Vertical distributions of v for case SIT2H2 of T =1.5 s (a) and case SIT3H2 of T =2.0 s (b).
4.3. Alongshore Velocity (v) for Different Underwater Topographic Conditions
The change pattern of the alongshore velocity at the rip channel’s center was previously discussed, and we now discuss the variation rule of alongshore velocity for different underwater topography cases. Figure 13 presents the variation rule of alongshore velocity at the first node (inside rip channel) and second node (on the sandbar) under wave condition SIT2H2. The figure illustrates that the alongshore velocity at the second node position is higher (reaching a maximum of 0.2 m/s) than that at the first node position. At the shoreward side of the sandbar (x = 4 m), the alongshore velocity is larger than its offshore counterpart , indicating that a rip current has not formed here, representing a compensatory flow from the upstream antinode point to the shoreward side of the second node. At x = 4.5 m, the alongshore velocity is considerably smaller, with its vertical mean being about 1/4 of the cross-shore velocity , indicating the formation of an offshore rip current here. At the sandbar peak (x = 5 m), a larger cross-shore velocity (representing rip current) forms due to the shallower water, and the alongshore velocity is directed towards the groin. At the onshore locations near the sandbar peak (x = 4 m, 4.5 m, 5 m), the alongshore velocities all point towards the groin. On the offshore side of the sandbar peak (x = 5.5, 6, 6.5 m), the alongshore velocity exhibits a rotational pattern, with the upper part pointing towards the groin and the lower part deviating from this direction. Generally, the alongshore velocity at the second node tends to point towards the groin. This is attributed to the second node being farther from the groin, with the rip neck situated on the sandbar’s topography, where the wave impact is weakened by reflected wave, resulting in the alongshore fluid flow being characterized by upstream–downstream movement in the groin’s direction.

Figure 13.
Vertical distributions of v for first node at rip channel’s center (a) and second node (b) on sandbar for case SIT2H2.
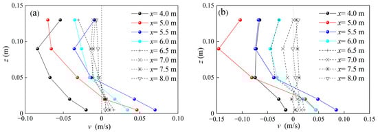
4.4. Cross-Shore Velocity (u) for Different Underwater Topographic Conditions
This paper examines the vertical distribution of the rip current at the rip channel’s centerline and presents the characteristics of its vertical distribution at the node position situated at the sandbar upstream of the rip channel (see Figure 14). The experimental results of wave condition SIT2H2 are presented. In the figure, it is observed that the cross-shore velocity (u) at the first node, located at the center of the rip channel (positions x = 4, 5~8 m), demonstrates an offshore flow trend along the water depth. Additionally, the vertical distribution indicates a trend of being smaller at both ends and larger at mid-depths (the upper measurement point at the position of x = 7.5, 8 m does not provide sufficient data to measure the flow velocity close to the water surface), which will be addressed in the following subsection. The distribution pattern from the cross-shore direction indicates that the sandbar range area represents the rip current neck, where the offshore flow velocity is the largest, which is consistent with the literature []. The offshore area of the rip channel constitutes the rip current head, where the value of the cross-shore velocity (u) progressively decreases as the offshore distance increases. Furthermore, the upper part of the offshore velocity distribution at the location of the rip current head could not be obtained due to the absence of an ADV measurement point on the water surface.

Figure 14.
Vertical distributions of cross-shore velocity u for different topography.
Figure 14 illustrates the vertical distribution of the cross-shore velocity u at the second node, located 3.95 m from the groin in the cross-shore direction, which is farther away from the groin and can approximate the vertical distribution of rip currents in a barred beach without a channel. The vertical distribution of the cross-shore velocity u within the sandbar range exhibits a pattern of being larger at mid-depths and smaller nearer the top and bottom, mirroring the findings at the first node. However, the vertical change on the offshore side of the sandbar (x = 6 m and 6.5 m) demonstrates a surface flow pattern with higher surface velocities and lacks the trend of being smaller in the upper part. Regarding the longitudinal distribution of velocity u, the offshore velocity at the onshore side of the sandbar (x = 4 m) predominantly flows towards the shore, suggesting the absence of an offshore rip current in this area and revealing pronounced characteristics of an alongshore current. Furthermore, the rip current area in the cross-shore direction is considerably smaller than that at the first node (within the rip channel). The rip current neck remains within the sandbar range area, where the flow velocity at the peak of the sandbar (x = 5 m) is noticeably greater than at locations on either side of this peak. At the offshore location of the sandbar (x = 6.5 m), the rip current velocity diminishes considerably. This corresponds with the findings in the literature [], where the change in the depth-averaged rip current displacement line of the flat sandbar is noted, highlighting the significant influence of the sandbar on the alteration in the offshore velocity u in the cross-shore direction.
5. Discussion
The vertical distribution of the rip currents due to the intersecting wave trains, shown in the present observation, was found to be poorly homogenized in the rip channel area compared with the topographical rip currents along the centerline of the rip channel, which has been observed in Drønen et al. [] and Haas and Svendsen [], as well as in other studies. This may be due to the asymmetry of the intersecting wave field with respect to the center of the rip channel under the combined influence of topographic and hydrodynamic control, resulting in the presence of the vertical vortex generation of short crest waves in the rip channel and the absence of the interference of long crest waves against the opposing vertical distribution of rip currents.
The logarithmic velocity distribution was widely used by Faria et al. [] and in other studies for alongshore currents. Zhang et al. [,] used the logarithmic and power-law velocity distributions to fit the vertical distribution of longshore currents. The application of the exponential formula with the exponent taken as 1/10 shows that the exponential formula can forecast the vertical distribution of longshore currents well. In this paper, the logarithmic and power-law velocity distributions are used to fit the vertical distribution of the rip current, and the results show that the fitting analysis of the rip current at the rip channel’s centerline indicates that its vertical distribution aligns with the logarithmic distribution law.
Here, we consider the driving force for the longshore feeding flow of the rip current, which is determined according to the longshore momentum equation of steady mean current flow. Periodic variations alongshore in wave height and water setup will generate an alongshore radiation stress gradient and an alongshore water surface gradient between neighboring nodes. From the alongshore momentum equation, the wave driving force is as follows:
where is the unbalance of longshore gradients of mean water surface (representing the static water pressure) and longshore radiation stress .
The experimental results of this compensating flow driving force and its two components (pressure gradient and radiation stress gradient), in the alongshore direction, for the experimental wave condition SIT2H2 are given in Figure 15. Coastal sections at x = 4 m, 5 m, and 6 m are shown in order to reflect the change in wave driving force outside the breaking zone. The calculation process is to firstly fit the experimental data of the alongshore direction of wave height and wave setup in each section with three times spline to obtain the continuous data. It is clear from the figure that the driving force at x = 4 m is larger than that at the other two positions. This suggests that the alongshore driving force at x = 4 m significantly increases the longshore feeding flow pointed towards the channel, resulting in a larger rise in the water level at the channel, which may why the maximum value of the rip current often occurs at the rip current neck. The authors acknowledge the importance of the wave driving force of the rip current (Figure 15), which will be addressed in future in-depth data analysis.

Figure 15.
Alongshore pressure gradient for case SIT2H2. (Blue dotted line: ; red dashed line: ; black solid line: ).
This paper focuses on the characteristics of the vertical distribution of the rip current by intersecting waves in a sandbar–groin systems and the overall variation in the vertical distribution at different horizontally located points. The intersecting wave fields occur in real seas and are commonly known as honeycomb waves []. The characteristics of the vertical distribution of the intersecting wave field situation are discussed to provide a theoretical basis for the study of the causative mechanism of coastal beach rip current disasters and disaster prevention. The influence of the vertical distribution characteristics of rip currents under the topographic conditions of simultaneous existence of a groin and rip channel is also discussed. The vertical distribution characteristics of the rip current under the combined effect of hydrodynamics and topography are considered comprehensively, which provides some help for more in-depth study of the rip current system in complex situations.
6. Conclusions
In this study, the three-dimensional distribution characteristics of a rip current formed by the intersecting wave field near a groin on a sandbar coast (along the centerline of the rip current’s depth-averaged velocity profile) are given by the experimental results of a physical model, and the effects of the relative positions of the wave node/antinode, rip channel and groin, as well as the differences in the results of the regular and irregular wave cases, are discussed, which provide experimental findings for this study of a boundary-controlled rip current formed by a groin. This study analyzes the vertical distributions of the alongshore and cross-shore velocity in a rip channel and on a sandbar, along with the vertical distribution law and the stability of these characteristics. The main conclusions of this study are as follows:
- (1)
- The vertical variation in the offshore rip current is characterized by the rip current neck being narrower at both ends and wider in the middle, with the rip current head near the water surface exhibiting high-velocity surface flow characteristics. Regarding the rip current neck, it spans two types of terrain: the sandbar and the rip channel. The vertical structure of the rip current along the rip channel’s centerline is more uniform, whereas at the sandbar, it is more variable, being narrower at the ends and wider in the middle. The fitting analysis of the rip current at the rip channel’s centerline indicates that its vertical distribution aligns with the logarithmic distribution law, while an exponential distribution better fits the offshore remote measurement points (x = 7.5 m, 8.0 m) under the SRT2H3 condition with large wave heights.
- (2)
- The alongshore velocity component of a rip current is generally higher at the top and lower at the bottom. For wave conditions with a period of 1.0 s, the current velocity at the uppermost measurement point is marginally lower, yet remains higher than at the bottom, resulting in a trend where the current velocity is larger at mid-depths and smaller nearer the top and bottom. For wave conditions with a period of 1.5 s and 2.0 s, the rip current’s alongshore velocity component exhibits a pattern of being higher at the top and lower at the bottom along the water column.
- (3)
- The alongshore velocity of a rip current fluctuates laterally. The alongshore velocity intensifies with increasing wave height, with its direction being predominantly influenced by the circulation flow. The inclination towards the groin at the rip channel entrance results from the asymmetric circulation flow induced by wave reflection at the groin. The alongshore velocity v at the second node on the sandbar predominantly points towards the groin. This is because the influence of reflected waves is weaker than that of incident waves at this location, farther from the groin. The presence of a channel destroys the symmetry of the incident plus reflected wave pattern and induces an alongshore rip-feeder current on the unbalanced side.
Author Contributions
Conceptualization, Y.W. and Z.Z.; methodology, Y.W. and Z.Z.; software, Y.W. and M.S.; validation, Y.W. and M.S.; formal analysis, Y.W. and Z.L.; investigation, Y.W.; resources, Y.W. and Z.L.; data curation, Y.W. and M.S.; writing—original draft preparation, Y.W. and M.S.; writing—review and editing, Y.W. and M.S.; visualization, Y.W. and M.S.; supervision, Z.L. and M.S.; project administration, Z.L. and M.S.; funding acquisition, Y.W. and Z.L. All authors have read and agreed to the published version of the manuscript.
Funding
This work was funded by the National Natural Science Foundation of China (grant No:52171247 and 51779022) and the State Key Laboratory of Ocean Engineering of China (Shanghai Jiao Tong University) (grant No: GKZD10084).
Institutional Review Board Statement
Not applicable.
Informed Consent Statement
Not applicable.
Data Availability Statement
The data presented in this study are available on request from the corresponding author.
Conflicts of Interest
The authors declare no conflict of interest. The funders had no role in the design of the study; in the collection, analyses or interpretation of data; in the writing of the manuscript; or in the decision to publish the results.
References
- Dalrymple, R.A.; MacMahan, J.H.; Reniers, A.J.H.M.; Nelko, V. Rip Currents. Annu. Rev. Fluid Mech. 2011, 43, 551–581. [Google Scholar] [CrossRef]
- Castelle, B.; Scott, T.; Brander, R.W.; McCarroll, R.J. Rip Current Types, Circulation and Hazard. Earth-Sci. Rev. 2016, 163, 1–21. [Google Scholar] [CrossRef]
- Hu, P.; Li, Z.; Zhu, D.; Zeng, C.; Liu, R.; Chen, Z.; Su, Q. Field Observation and Numerical Analysis of Rip Currents at Ten-Mile Beach, Hailing Island, China. Estuar. Coast. Shelf Sci. 2022, 276, 108014. [Google Scholar] [CrossRef]
- Stokes, C.; Poate, T.; Masselink, G.; Scott, T.; Instance, S. New Insights into Combined Surfzone and Estuarine Bathing Hazards. EGUsphere 2024, 482, 1–35. [Google Scholar] [CrossRef]
- Lee, J.; Cho, W.C.; Lee, J.L. The Application of a Rip Current Warning Decision-Process System, Haeundae Beach, South Korea. J. Coast. Res. 2016, 75, 1167–1171. [Google Scholar] [CrossRef]
- Sous, D.; Castelle, B.; Mouragues, A.; Bonneton, P. Field Measurements of a High-Energy Headland Deflection Rip Current: Tidal Modulation, Very Low Frequency Pulsation and Vertical Structure. J. Mar. Sci. Eng. 2020, 8, 534. [Google Scholar] [CrossRef]
- Gao, J.L.; Hou, L.H.; Liu, Y.Y.; Shi, H.B. Influences of Bragg Reflection on Harbor Resonance Triggered by Irregular Wave Groups. Ocean Eng. 2024, 305, 117941. [Google Scholar] [CrossRef]
- Haller, M.C.; Dalrymple, R.A.; Svendesen, I.A. Experimental Study of Nearshore Dynamics on a Barred Beach with Rip Channels. J. Geophys. Res. Ocean. 2002, 107, 14-1–14-21. [Google Scholar] [CrossRef]
- Drønen, N.; Karunarathna, H.; Fredsoe, J.; Sumer, B.M.; Deigaard, R. An Experimental Study of Rip Channel Flow. Coast. Eng. 2002, 45, 223–238. [Google Scholar] [CrossRef]
- Xu, J.; Yan, S.; Zou, Z.L.; Chang, C.S.; Fang, K.Z.; Wang, Y. Flow Characteristics of the Rip Current System near a Shore-Normal Structure with Regular Waves. J. Mar. Sci. Eng. 2023, 11, 1297. [Google Scholar] [CrossRef]
- Zhang, Y.; Hong, X.; Qiu, T.; Liu, X.; Sun, Y.; Xu, G. Tidal and Wave Modulation of Rip Current dynamics. Cont. Shelf Res. 2022, 243, 104764. [Google Scholar] [CrossRef]
- Wang, H.; Zhu, S.; Li, X.; Zhang, W.; Nie, Y. Numerical Simulations of Rip Currents off Arc-Shaped Coastlines. Acta Oceanol. Sin. 2018, 37, 21–30. [Google Scholar] [CrossRef]
- Chen, Q.; Dalrymple, R.A.; Kirby, J.T.; Kennedy, A.B.; Haller, M.C. Boussinesq Modeling of a Rip Current System. J. Geophys. Res. Ocean. 1999, 104, 20617–20637. [Google Scholar] [CrossRef]
- Castelle, B.; Michallet, H.; Marieu, V.; Leckler, F.; Dubardier, B.; Lambert, A.; Berni, C.; Bonneton, P.; Barthelemy, E.; Bouchette, F. Laboratory Experiment on Rip Current Circulations over a Moveable Bed: Drifter Measurements. J. Geophys. Res. Ocean. 2010, 115, 17-1–17-17. [Google Scholar] [CrossRef]
- Zheng, J.; Yao, Y.; Chen, S.; Chen, S.; Zhang, Q. Laboratory Study on Wave-Induced Setup and Wave-Driven Current in a 2DH Reef-Lagoon-Channel System. Coast. Eng. 2020, 162, 103772. [Google Scholar] [CrossRef]
- Choi, J.; Roh, M. A Laboratory Experiment of Rip Currents between the Ends of Breaking Wave Crests. Coast. Eng. 2021, 164, 103812. [Google Scholar] [CrossRef]
- Kennedy, A.B.; Thomas, D. Drifter Measurements in a Laboratory Rip Current. J. Geophys. Res. 2004, 109, 1–16. [Google Scholar] [CrossRef]
- MacMahan, J.; Brown, J.; Brown, J.; Thornton, E.; Reniers, A.; Stanton, T.; Henriquez, M.; Gallagher, E.; Morrison, J.; Austin, M.J.; et al. Mean Lagrangian Flow Behavior on an Open Coast Rip-Channeled Beach: A New Perspective. Mar. Geol. 2010, 268, 1–15. [Google Scholar] [CrossRef]
- Gallop, S.L.; Bryan, K.R.; Pitman, S.J.; Ranasinghe, R.; Sandwell, D.; Harrison, S.R. Rip Current Circulation and Surf Zone Retention on a Double Barred Beach. Mar. Geol. 2018, 405, 12–22. [Google Scholar] [CrossRef]
- McCarroll, R.J.; Brander, R.W.; Turner, I.L.; Power, H.E.; Mortlock, T.R. Lagrangian Observations of Circulation on an Embayed Beach with Headland Rip Currents. Mar. Geol. 2014, 355, 173–188. [Google Scholar] [CrossRef]
- Jeong, S.-H.; Kwon, J.H.; Lee, J. Analysis of Rip Current Flow Fields in CCTV Images Using Optimal LSPIV Parameters. J. Coast. Res. 2024, 116, 240–244. [Google Scholar] [CrossRef]
- Sasaki, M. Velocity Profiles in Nearshore Circulation Current. Coast. Eng. Jpn. 1985, 28, 125–136. [Google Scholar] [CrossRef]
- Wind, H.G.; Vreugdenhil, C.B. Rip-Current Generation near Structures. J. Fluid Mech. 1986, 171, 459–476. [Google Scholar] [CrossRef]
- Giger, M.; Dracos, T.; Jirka, G.H. Entrainment and Mixing in Plane Turbulent Jets in Shallow Water. J. Hydraul. Res. 1991, 29, 615–642. [Google Scholar] [CrossRef]
- Haas, K.A.; Svendsen, I.A. Laboratory Measurements of the Vertical Structure of Rip Currents. J. Geophys. Res. Ocean. 2002, 107, 15-1–15-15. [Google Scholar] [CrossRef]
- Poort, M. Rip Currents: A Laboratory Study of a Rip Current in the Presence of a Submerged Reef. Master’s Thesis, Delft University of Technology (TU Delft), Delft, The Netherlands, 2007. [Google Scholar]
- Pattiaratchi, C.; Olsson, D.; Hetzel, Y.; Lowe, R. Wave-Driven Circulation Patterns in the Lee of Groynes. Cont. Shelf Res. 2009, 29, 1961–1974. [Google Scholar] [CrossRef]
- Scott, T.; Austin, M.; Masselink, G.; Russell, P. Dynamics of Rip Currents Associated with Groynes-Field Measurements, Modelling and Implications for Beach Safety. Coast. Eng. 2016, 107, 53–69. [Google Scholar] [CrossRef]
- Dalrymple, R.A. A Mechanism for Rip Current Generation on an Open Coast. J. Geophys. Res. Ocean. 1975, 80, 3485–3487. [Google Scholar] [CrossRef]
- Shin, C.H.; Noh, H.K.; Yoon, S.B.; Choi, J. Understanding of Rip Current Generation Mechanism at Haeundae Beach of Korea: Honeycomb Waves. J. Coast. Res. 2014, 72, 11–15. [Google Scholar] [CrossRef]
- Wei, Z.; Dalrymple, R.A.; Xu, M.; Garnier, R.; Derakhti, M. Short-Crested Waves in the Surf Zone. J. Geophys. Res. Ocean. 2017, 122, 4143–4162. [Google Scholar] [CrossRef]
- Kirby, J.T.; Derakhti, M. Short-Crested Wave Breaking. Eur. J. Mech.—B/Fluids 2019, 73, 100–111. [Google Scholar] [CrossRef]
- Baker, C.M.; Moulton, M.; Palmsten, M.L.; Brodie, K.; Nuss, E.; Chickadel, C.C. Remotely Sensed Short-Crested Breaking Waves in a Laboratory Directional Wave Basin. Coast. Eng. Jpn. 2023, 183, 104327. [Google Scholar] [CrossRef]
- Long, J.W.; Özkan-Haller, H.T. Offshore Controls on Nearshore Rip Currents. J. Geophys. Res. Ocean. 2005, 110, 21-1–21-21. [Google Scholar] [CrossRef]
- Zhang, Y.; Shi, F.; Kirby, J.T.; Feng, X. Phase-Resolved Modeling of Wave Interference and Its Effects on Nearshore Circulation in a Large Ebb Shoal-Beach System. J. Geophys. Res. Ocean. 2022, 127, e2022JC018623. [Google Scholar] [CrossRef]
- Dalrymple, R.A.; Lanan, G.A. Beach Cusps Formed by Intersecting Waves. Geol. Soc. Am. Bull. 1976, 87, 57–60. [Google Scholar] [CrossRef]
- Svendsen, I.A. Introduction to Nearshore Hydrodynamics; World Scientific: Singapore, 2006. [Google Scholar]
- Dyer, K.R. Current Velocity Profiles in a Tidal Channel. Geophys. J. R. Astron. Soc. 1971, 22, 153–161. [Google Scholar] [CrossRef]
- Barenblatt, G.I. Scaling Laws for Fully-Developed Turbulent Shear Flows. 1. Basic Hypotheses and Analysis. J. Fluid Mech. 1993, 248, 513–520. [Google Scholar] [CrossRef]
- Faria, A.F.G.; Thornton, E.B.; Stanton, T.P.; Soares, C.K.; Lippmann, T.C. Vertical profiles of Longshore Currents and Related Bed Shear Stress and Bottom Roughness. J. Geophys. Res. 1998, 103, 3217–3232. [Google Scholar] [CrossRef]
- Wang, Y.; Zhang, Z.; Zou, Z.; Liu, Z. Rip Currents by Intersecting Wave on Barred Beach with Rip Channel. Adv. Water Sci. 2019, 30, 760–768. [Google Scholar] [CrossRef]
- Wang, Y.; Zou, Z. Experimental Study of Rip Currents by Intersecting Wave on Barred Beach. Adv. Water Sci. 2015, 26, 123–129. [Google Scholar] [CrossRef]
- Zhang, Z.-W.; Zou, Z.-L. Vertical Distribution of Longshore Currents over Plane and Barred Beaches. J. Hydrodyn. Ser. B 2012, 24, 718–728. [Google Scholar] [CrossRef]
- Zhang, Z.-W.; Zou, Z.-L. Application of Power Law to Vertical Distribution of Longshore Currents. Water Sci. Eng. 2019, 12, 73–83. [Google Scholar] [CrossRef]
Disclaimer/Publisher’s Note: The statements, opinions and data contained in all publications are solely those of the individual author(s) and contributor(s) and not of MDPI and/or the editor(s). MDPI and/or the editor(s) disclaim responsibility for any injury to people or property resulting from any ideas, methods, instructions or products referred to in the content. |
© 2024 by the authors. Licensee MDPI, Basel, Switzerland. This article is an open access article distributed under the terms and conditions of the Creative Commons Attribution (CC BY) license (https://creativecommons.org/licenses/by/4.0/).