Combined Seismic and Scoured Numerical Model for Bucket-Supported Offshore Wind Turbines
Abstract
1. Introduction
2. Materials and Methods
2.1. Numerical Model
2.1.1. Bucket Foundation Impedance Functions
2.1.2. Lumped Parameter Model Considering the SSI
2.1.3. Integral Model of the Wind Turbine System
2.1.4. Simulation of Scoured Conditions
2.2. Validation
3. Seismic Excitations
4. Results and Discussion
4.1. Effect of Seismic Intensities
4.2. Effect of Seismic Spectral Characteristics
4.3. Effect of Foundation Types
4.3.1. Dynamic Characteristics
4.3.2. Seismic Responses
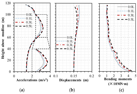
4.4. Effect of the Scour Depth
4.4.1. Dynamic Characteristics
4.4.2. Seismic Responses
5. Conclusions
- As the amplitude of the earthquake decreases from 0.30 g to 0.15 g and 0.05 g, the maximum acceleration, displacement, and bending moment increase by approximately 67% and 83%, respectively.
- The seismic responses under the Kocaeli motion (characterized by abundant low-frequency components) are more pronounced than those under the Kobe and Acc100 excitations. The seismic response is amplified when the prominent frequency of motion closely aligns with the natural frequency of the OWT.
- Compared with the monopile-supported OWT, the bucket-supported OWT demonstrates greater dynamic impedances of foundations and first-order natural frequencies. Additionally, the maximum acceleration, displacement, and bending moment of the monopile-supported OWT increase by 43.9%, 30.3%, and 19.4%, respectively.
- Increasing the scour depth (from 0 to 0.5 L) results in a decrease in the soil stiffness, causing alterations in the impedance functions and frequency characteristics of the OWT. Moreover, with increasing scour depth, the seismic response of the OWT changes significantly. The effect may be advantageous, but in most cases, it remains disadvantageous, depending on the spectral characteristics of the seismic excitations. Therefore, it is imperative to account for scour phenomena in wind turbine seismic design to mitigate potential risks.
Author Contributions
Funding
Institutional Review Board Statement
Informed Consent Statement
Data Availability Statement
Acknowledgments
Conflicts of Interest
Correction Statement
Nomenclature
| mass matrices of the bucket foundation | |
| stiffness matrices of the bucket foundation | |
| damping matrices of the bucket foundation | |
| external force vector | |
| displacement at the foundation base | |
| rotation at the foundation base | |
| mass of the bucket foundation | |
| total length of the bucket foundation | |
| mass moment of inertia | |
| impedance of the bucket foundation | |
| complex stiffness matrix of the bucket foundation | |
| horizontal impedance functions | |
| rocking impedance functions | |
| coupled horizontal-rocking impedance functions | |
| concentrated translational complex stiffness matrices | |
| concentrated rotational complex stiffness matrices | |
| distributed translational complex stiffness matrices | |
| distributed rotational complex stiffness matrices | |
| embedded length | |
| scour depth | |
| , | horizontal static and dynamic stiffness coefficients |
| horizontal damping coefficient | |
| diameter of the bucket foundation | |
| shear modulus | |
| Poisson’s ratio | |
| density | |
| shear wave velocity | |
| hysteretic damping | |
| , | rocking static and dynamic stiffness coefficients |
| rocking damping coefficient | |
| dimensionless frequency | |
| radiation damping coefficient | |
| impedance of the embedded foundation | |
| horizontal impedances of embedded foundations | |
| rocking impedances of embedded foundations | |
| coupled horizontal-rocking impedances of embedded foundations | |
| , | horizontal dynamic stiffness and damping coefficient of embedded foundations |
| horizontal embedment factor | |
| horizontal dynamic stiffness coefficient of embedded foundations | |
| ‘Lysmer’s analogue’ velocity | |
| , | rocking dynamic stiffness and damping coefficient of embedded foundations |
| rocking embedment factor | |
| rocking dynamic stiffness coefficient of embedded foundations | |
| height of transition | |
| additional mass per unit volume | |
| () | the transition radius (top radius) |
| slope angle | |
| distance of the transition element from the mudline | |
| water depth | |
| water density | |
| frequency | |
| OWT | Offshore wind turbine |
| SSI | Soil–structure interaction |
| LPM | Lumped parameter model |
| MSL | Mean sea level |
| RNA | Rotor-nacelle assembly |
| FEM | Finite element model |
References
- Global Wind Energy Council (GWEC). Global Wind Report 2024; Joyce, L., Feng, Z., Eds.; Global Wind Energy Council (GWEC): Brussels, Belgium, 2024. [Google Scholar]
- Barari, A.; Ibsen, L.B. Insight into the lateral response of offshore shallow foundations. Ocean Eng. 2017, 144, 203–210. [Google Scholar]
- Lian, J.; Zhao, Y.; Dong, X.; Lian, C.; Wang, H. An experimental investigation on long-term performance of the wide-shallow bucket foundation model for offshore wind turbine in saturated sand. Ocean Eng. 2021, 228, 108921. [Google Scholar] [CrossRef]
- Gupta, B.K.; Basu, D. Offshore wind turbine monopile foundations: Design perspectives. Ocean Eng. 2020, 213, 107514. [Google Scholar] [CrossRef]
- Ding, H.; Liu, Y.; Zhang, P.; Le, C. Model tests on the bearing capacity of wide-shallow composite bucket foundations for offshore wind turbines in clay. Ocean Eng. 2015, 103, 114–122. [Google Scholar] [CrossRef]
- Jia, N.; Zhang, P.; Liu, Y.; Ding, H. Bearing capacity of composite bucket foundations for offshore wind turbines in silty sand. Ocean Eng. 2018, 151, 1–11. [Google Scholar] [CrossRef]
- Ding, H.; Hu, R.; Zhang, P.; Le, C. Load bearing behaviors of composite bucket foundations for offshore wind turbines on layered soil under combined loading. Ocean Eng. 2020, 198, 106997. [Google Scholar] [CrossRef]
- Wang, X.; Zhang, P.; Ding, H.; Liu, Y. Experimental study on wide-shallow composite bucket foundation for offshore wind turbine under cyclic loading. Mar. Georesources Geotechnol. 2019, 37, 1–13. [Google Scholar] [CrossRef]
- Zheng, X.Y.; Li, H.; Rong, W.; Li, W. Joint earthquake and wave action on the monopile wind turbine foundation: An experimental study. Mar. Struct. 2015, 44, 125–141. [Google Scholar] [CrossRef]
- De Risi, R.; Bhattacharya, S.; Goda, K. Seismic performance assessment of monopile-supported offshore wind turbines using unscaled natural earthquake records. Soil Dyn. Earthq. Eng. 2018, 109, 154–172. [Google Scholar] [CrossRef]
- Elgamal, A.W.; Kim, K.; Zayed, M. Seismic response of suction caisson in large-scale shake table test. In Proceedings of the Conference: VII international Conference on Earthquake Geotechnical Engineering, Rome, Italy, 17–20 June 2019. [Google Scholar]
- Haddad, A.; Barari, A.; Amini, R. The remedial performance of suction caisson foundations for offshore wind turbines under seismically induced liquefaction in the seabed: Shake table testing. Mar. Struct. 2022, 83, 103171. [Google Scholar] [CrossRef]
- Zhang, P.; Li, J.; Le, C.; Ding, H. Seismic responses of two bucket foundations for offshore wind turbines based on shaking table tests. Renew. Energy 2022, 187, 1100–1117. [Google Scholar] [CrossRef]
- Houlsby, G.T.; Kelly, R.B.; Huxtable, J.; Byrne, B.W. Field trials of suction caissons in sand for offshore wind turbine foundations. Géotechnique 2006, 56, 3–10. [Google Scholar] [CrossRef]
- Yu, H.; Zeng, X.; Li, B.; Lian, J. Centrifuge modeling of offshore wind foundations under earthquake loading. Soil Dynam. Earthq. Eng. 2015, 77, 402–415. [Google Scholar] [CrossRef]
- Wang, X.; Yang, X.; Zeng, X. Seismic centrifuge modelling of suction bucket foundation for offshore wind turbine. Renew. Energy 2017, 114, 1013–1022. [Google Scholar] [CrossRef]
- Ueda, K.; Uzuoka, R.; Iai, S.; Okamura, T. Centrifuge model tests and effective stress analyses of offshore wind turbine systems with a suction bucket foundation subject to seismic load. Soils Found. 2020, 60, 1546–1569. [Google Scholar] [CrossRef]
- Zhang, P.; Ding, H.; Le, C. Seismic response of large-scale prestressed concrete bucket foundation for offshore wind turbines. J. Renew. Sustain. Energy 2014, 6, 013127. [Google Scholar] [CrossRef]
- Zhang, P.; Xiong, K.; Ding, H.; Le, C. Anti-liquefaction characteristics of composite bucket foundations for offshore wind turbines. J. Renew. Sustain. Energy 2014, 6, 053102. [Google Scholar] [CrossRef]
- Zhang, J.; Cheng, W.; Cheng, X.; Wang, P.; Wang, T. Seismic responses analysis of suction bucket foundation for offshore wind turbine in clays. Ocean Eng. 2021, 232, 109159. [Google Scholar] [CrossRef]
- Eslami, A.; Ghorbani, A. Seismic response of offshore wind turbines supported on Monopiles and Suction Buckets: Numerical modelling and soft computing study. Soil Dynam. Earthq. Eng. 2022, 159, 107284. [Google Scholar] [CrossRef]
- Wang, X.; Ma, C.; Li, J. Seismic response of suction bucket foundation for offshore wind turbines: A parametric study. Ocean Eng. 2022, 257, 111570. [Google Scholar] [CrossRef]
- Cheng, X.; Cheng, W.; Wang, P.; El Naggar, M.H.; Zhang, J.; Liu, Z. Response of offshore wind turbine tripod suction bucket foundation to seismic and environmental loading. Ocean Eng. 2022, 257, 111708. [Google Scholar] [CrossRef]
- Li, J.; Lian, J.; Guo, Y.; Wang, H. Seismic response and liquefaction characteristics of wide and shallow multi-bucket jacket foundation under scour conditions. Ocean Eng. 2023, 287, 115816. [Google Scholar] [CrossRef]
- Alati, N.; Failla, G.; Arena, F. Seismic analysis of offshore wind turbines on bottom-fixed support structures. Philos. Trans. R. Soc. A Math. Phys. Eng. Sci. 2015, 373, 20140086. [Google Scholar] [CrossRef] [PubMed]
- Seong, J.T.; Ha, J.G.; Kim, J.H.; Park, H.J.; Kim, D.S. Centrifuge modeling to evaluate natural frequency and seismic behavior of offshore wind turbine considering SFSI. Wind Energy 2017, 20, 1787–1800. [Google Scholar] [CrossRef]
- Andersen, L.; Ibsen, L.B.; Liingaard, M. Impedance of bucket foundations: Torsional, horizontal and rocking motion. In Proceedings of the Sixth International Conference on Engineering Computational Technology, Athens, Greece, 2–5 September 2008. [Google Scholar]
- Andersen, L.; Ibsen, L.B.; Liingaard, M. Lumped-parameter model of a bucket foundation. In Proceedings of the 1st International Symposium on Computational Geomechanics (COMGEO I), Juan-les-Pins, France, 29 May 2009. [Google Scholar]
- Suryasentana, S.K.; Byrne, B.W.; Burd, H.J.; Shonberg, A. An elastoplastic 1D Winkler model for suction caisson foundations under combined loading. In Proceedings of the Ninth European Conference on Numerical Methods in Geotechnical Engineering, Porto, Portugal, 25–27 June 2018. [Google Scholar]
- Antoniou, M.; Kourkoulis, R.; Gelagoti, F.; Anastasopoulos, I. Simplified method for performance-based seismic design of suction caissons supporting jacket offshore wind turbines. Soil Dynam. Earthq. Eng. 2022, 155, 107169. [Google Scholar] [CrossRef]
- Tsigginos, C.; Gerolymos, N.; Assimaki, D.; Gazetas, G. Seismic response of bridge pieron rigid caisson foundation in soil stratum. Earthq. Eng. Eng. Vib. 2008, 7, 33. [Google Scholar] [CrossRef]
- Skau, K.S.; Grimstad, G.; Page, A.M.; Eiksund, G.R.; Jostad, H.P. A macro-element for integrated time domain analyses representing bucket foundations for offshore wind turbines. Mar. Struct. 2018, 59, 158–178. [Google Scholar] [CrossRef]
- Skau, K.S.; Jostad, H.P.; Eiksund, G.; Sturm, H. Modelling of soil-structure-interaction for flexible caissons for offshore wind turbines. Ocean Eng. 2019, 171, 273–285. [Google Scholar] [CrossRef]
- Li, H.; Lian, J.; Liu, R.; Wang, H.; Yang, X. Research on the equivalent stiffness of bucket foundations for offshore wind power. Ocean Eng. 2024, 302, 117596. [Google Scholar] [CrossRef]
- Dezi, F.; Carbonari, S.; Tombari, A.; Leoni, G. Soil-structure interaction in the seismic response of an isolated three span motorway overcrossing founded on piles. Soil Dynam. Earthq. Eng. 2012, 41, 151–163. [Google Scholar] [CrossRef]
- Liang, F.; Zhang, H.; Huang, M. Influence of flood-induced scour on dynamic impedances of pile groups considering the stress history of undrained soft clay. Soil Dynam. Earthq. Eng. 2017, 96, 76–88. [Google Scholar] [CrossRef]
- Damgaard, M.; Andersen, L.V.; Ibsen, L.B. Computationally efficient modelling of dynamic soil–structure interaction of offshore wind turbines on gravity footings. Renew. Energy 2014, 68, 289–303. [Google Scholar] [CrossRef]
- Damgaard, M.; Zania, V.; Andersen, L.V.; Ibsen, L.B. Effects of soil–structure interaction on real time dynamic response of offshore wind turbines on monopiles. Eng. Struct. 2014, 75, 388–401. [Google Scholar] [CrossRef]
- Damgaard, M.; Andersen, L.V.; Ibsen, L.B. Dynamic response sensitivity of an offshore wind turbine for varying subsoil conditions. Ocean Eng. 2015, 101, 227–234. [Google Scholar] [CrossRef]
- Damgaard, M.; Andersen, L.V.; Ibsen, L.B.; Toft, H.S.; Sørensen, J.D. A probabilistic analysis of the dynamic response of monopile foundations: Soil variability and its consequences. Probabilistic Eng. Mech. 2015, 41, 46–59. [Google Scholar] [CrossRef]
- Taddei, F.; Schauer, M.; Meinerzhagen, L. A practical soil-structure interaction model for a wind turbine subjected to seismic loads and emergency shutdown. Procedia Eng. 2017, 199, 2433–2438. [Google Scholar] [CrossRef]
- Padrón, L.A.; Carbonari, S.; Dezi, F.; Morici, M.; Bordón, J.D.R.; Leoni, G. Seismic response of large offshore wind turbines on monopile foundations including dynamic soil-structure interaction. Ocean Eng. 2022, 257, 111653. [Google Scholar] [CrossRef]
- Sánchez, C.R.; Padrón, L.A. Implementation of ground input motion and dynamic Soil-Structure Interaction into Openfast for the seismic analysis of offshore wind turbines. In Proceedings of the Congress on Numerical Methods in Engineering (CMN), Las Palmas de Gran Canaria, Spain, 14–16 September 2022. [Google Scholar]
- Liang, F.; Jia, X.; Zhang, H.; Wang, C.; Shen, P. Seismic responses of offshore wind turbines based on a lumped parameter model subjected to complex marine loads at scoured sites. Ocean Eng. 2024, 297, 116808. [Google Scholar] [CrossRef]
- Zhang, H.; Liang, F.; Zheng, H. Dynamic impedance of monopiles for offshore wind turbines considering scour-hole dimensions. Appl. Ocean Res. 2021, 107, 102493. [Google Scholar] [CrossRef]
- Liang, F.; Yuan, Z.; Liang, X.; Zhang, H. Seismic response of monopile-supported offshore wind turbines under combined wind, wave and hydrodynamic loads at scoured sites. Comput. Geotech. 2022, 144, 104640. [Google Scholar] [CrossRef]
- Zhu, B.; Wu, X.; Wang, Y.; Chen, Y. Centrifuge modeling for seismic response of fixed-end model piles considering local scour. J. Waterway Port Coastal Ocean Eng. 2020, 146, 04020041. [Google Scholar] [CrossRef]
- Ngo, D.V.; Kim, Y.J.; Kim, D.H. Seismic fragility assessment of a novel suction bucket foundation for offshore wind turbine under scour condition. Energies 2022, 15, 499. [Google Scholar] [CrossRef]
- Wolf, J.P. Dynamic Soil–Structure Interaction; Prentice-Hall: Englewood Cliffs, NJ, USA, 1987. [Google Scholar]
- Lai, Y. Modelling of Lateral Behaviour of Large-Diameter Monopiles Supporting Offshore Wind Turbines in Soft Clay. Ph.D. Thesis, Zhejiang University, Hangzhou, China, 2021. [Google Scholar]
- Liu, M.; Lian, J.; Yang, M. Experimental and numerical studies on lateral bearing capacity of bucket foundation in saturated sand. Ocean Eng. 2017, 144, 14–20. [Google Scholar] [CrossRef]
- Liu, M.; Yang, M.; Wang, H. Bearing behavior of wide-shallow bucket foundation for offshore wind turbines in drained silty sand. Ocean Eng. 2014, 82, 169–179. [Google Scholar] [CrossRef]
- He, R.; Wang, L.; Pak, R.Y.; Guo, Z.; Zheng, J. Vertical elastic dynamic impedance of a large diameter and thin-walled cylindrical shell type foundation. Soil Dynam. Earthq. Eng. 2017, 95, 138–152. [Google Scholar] [CrossRef]
- Doherty, J.P.; Deeks, A.J. Elastic response of circular footings embedded in a non-homogeneous half-space. Géotechnique 2003, 53, 703–714. [Google Scholar] [CrossRef]
- Lian, J.; Jiang, Q.; Dong, X.; Zhao, Y.; Zhao, H. Dynamic impedance of the wide-shallow bucket foundation for offshore wind turbine using coupled finite–infinite element method. Energies 2019, 12, 4370. [Google Scholar] [CrossRef]
- He, R.; Kaynia, A.M. Dynamic impedances and load carrying mechanism for skirted foundations. Mar. Struct. 2021, 79, 103023. [Google Scholar] [CrossRef]
- He, R.; Pak, R.Y.S.; Wang, L.Z. Elastic lateral dynamic impedance functions for a rigid cylindrical shell type foundation. Int. J. Numer. Anal. Meth. Geomech. 2017, 41, 508–526. [Google Scholar] [CrossRef]
- Gerolymos, N.; Gazetas, G. Winkler model for lateral response of rigid caisson foundations in linear soil. Soil Dynam. Earthq. Eng. 2006, 26, 347–361. [Google Scholar] [CrossRef]
- Gazetas, G. Formulas and charts for impedances of surface and embedded foundations. J. Geotech. Eng. 1991, 117, 1363–1381. [Google Scholar] [CrossRef]
- Fotopoulou, M.; Kotsanopoulos, P.; Gazetas, G.; Tassoulas, J.L. Rocking damping of arbitrarily-shaped embedded foundations. J. Geotech. Eng. 1989, 115, 473–489. [Google Scholar] [CrossRef]
- Zhong, R. Dynamic Analyses and Centrifuge Tests of Caisson-Piles Foundations. Ph.D. Thesis, Tongji University, Shanghai, China, 2013. [Google Scholar]
- Gazetas, G.; Tassoulas, J.L. Horizontal damping of arbitrarily shaped embedded foundations. J. Geotech. Eng. 1987, 113, 458–475. [Google Scholar] [CrossRef]
- Gazetas, G.; Tassoulas, J.L. Horizontal stiffness of arbitrarily shaped embedded foundations. J. Geotech. Eng. 1987, 113, 440–457. [Google Scholar] [CrossRef]
- Carbonari, S.; Morici, M.; Dezi, F.; Leoni, G. A lumped parameter model for timedomain inertial soil-structure interaction analysis of structures on pile foundations. Earthq. Eng. Struct. Dynam. 2018, 47, 2147–2171. [Google Scholar] [CrossRef]
- Wang, P.; Zhao, M.; Du, X.; Liu, J.; Chen, J. Simplified evaluation of earthquake-induced hydrodynamic pressure on circular tapered cylinders surrounded by water. Ocean Eng. 2018, 164, 105–113. [Google Scholar] [CrossRef]
- Yang, Y.; Liang, F.; Zhu, Q.; Zhang, H. An Overview on Structural Health Monitoring and Fault Diagnosis of Offshore Wind Turbine Support Structures. J. Mar. Sci. Eng. 2024, 12, 377. [Google Scholar] [CrossRef]
- Jia, X.; Zhang, H.; Wang, C.; Liang, F.; Chen, X. Influence on the lateral response of offshore pile foundations of an asymmetric heart-shaped scour hole. Appl. Ocean Res. 2023, 133, 103485. [Google Scholar] [CrossRef]
- Zheng, H.; Zhang, H.; Liang, F.; Li, L. Numerical investigation on lateral monotonic and cyclic responses of scoured rigid monopile based on an integrated bounding surface model. Comput. Geotech. 2024, 166, 105997. [Google Scholar] [CrossRef]
- Jiang, W.; Lin, C.; Sun, M. Seismic responses of monopile-supported offshore wind turbines in soft clays under scoured conditions. Soil Dynam. Earthq. Eng. 2021, 142, 106549. [Google Scholar] [CrossRef]
- Abhinav, K.A.; Saha, N. Effect of scouring in sand on monopile-supported offshore wind turbines. Mar. Georesources Geotechnol. 2017, 35, 817–828. [Google Scholar] [CrossRef]
- Zhao, X.; Zhang, P.; Lv, Y.; Ding, H. Scour effects on bearing capacity of composite bucket foundation for offshore wind turbines. Mar. Georesources Geotechnol. 2020, 38, 223–237. [Google Scholar] [CrossRef]
- Li, H.; Liu, H.; Liu, S. Dynamic analysis of umbrella suction anchor foundation embedded in seabed for offshore wind turbines. Geomech. Energy Environ. 2017, 10, 12–20. [Google Scholar] [CrossRef]
- Andersen, L.V.; Vahdatirad, M.J.; Sichani, M.T.; Sørensen, J.D. Natural frequencies of wind turbines on monopile foundations in clayey soils—A probabilistic approach. Comput. Geotech. 2012, 43, 1–11. [Google Scholar] [CrossRef]
- GB-50011-2010; Code for Seismic Design of Buildings. China Net for Engineering Construction Standardization: Beijing, China, 2016.
- Léger, P.; Dussault, S. Seismic-energy dissipation in MDOF structures. J. Struct. Eng. 1992, 118, 1251–1269. [Google Scholar] [CrossRef]





















| Position | Parameter Type | 6.45 MW |
|---|---|---|
| RNA | Rotor diameter (m) | 171 |
| Mass (t) | 430 | |
| Tower | Cut-in, rated, cut-out wind speed (m/s) | 3, 10, 25 |
| Tower height (m) | 91 | |
| Hub height above MSL (m) | 103 | |
| Tower diameter (m) | 7~5 | |
| Tower wall thickness (m) | 0.04~0.02 | |
| Elasticity modulus (kPa) | 2.1 × 108 | |
| Mass density (kg/m3) | 8500 | |
| Foundation | Water depth (m) | 14 |
| Transition length (m) | 26 | |
| Transition elasticity modulus (kPa) | 3.6 × 107 | |
| Transition mass density (kg/m3) | 2500 | |
| Bucket diameter (m) | 36 | |
| Bucket height (m) | 12 | |
| Embedded length (m) | 12 | |
| Bucket elasticity modulus (kPa) | 2.1 × 108 | |
| Bucket mass density (kg/m3) | 8500 |
| Thickness (m) | Density (kg/m3) | Poisson’s Ratio | Bulk Modulus (kPa) | Hysteretic Damping |
|---|---|---|---|---|
| 12 | 1.86 × 103 | 0.40 | 3.83 × 103 | 0.03 |
Disclaimer/Publisher’s Note: The statements, opinions and data contained in all publications are solely those of the individual author(s) and contributor(s) and not of MDPI and/or the editor(s). MDPI and/or the editor(s) disclaim responsibility for any injury to people or property resulting from any ideas, methods, instructions or products referred to in the content. |
© 2024 by the authors. Licensee MDPI, Basel, Switzerland. This article is an open access article distributed under the terms and conditions of the Creative Commons Attribution (CC BY) license (https://creativecommons.org/licenses/by/4.0/).
Share and Cite
Jia, X.; Liang, F.; Shen, P.; Zhang, H. Combined Seismic and Scoured Numerical Model for Bucket-Supported Offshore Wind Turbines. J. Mar. Sci. Eng. 2024, 12, 892. https://doi.org/10.3390/jmse12060892
Jia X, Liang F, Shen P, Zhang H. Combined Seismic and Scoured Numerical Model for Bucket-Supported Offshore Wind Turbines. Journal of Marine Science and Engineering. 2024; 12(6):892. https://doi.org/10.3390/jmse12060892
Chicago/Turabian StyleJia, Xiaojing, Fayun Liang, Panpan Shen, and Hao Zhang. 2024. "Combined Seismic and Scoured Numerical Model for Bucket-Supported Offshore Wind Turbines" Journal of Marine Science and Engineering 12, no. 6: 892. https://doi.org/10.3390/jmse12060892
APA StyleJia, X., Liang, F., Shen, P., & Zhang, H. (2024). Combined Seismic and Scoured Numerical Model for Bucket-Supported Offshore Wind Turbines. Journal of Marine Science and Engineering, 12(6), 892. https://doi.org/10.3390/jmse12060892

