Ontology-Based Method for Identifying Abnormal Ship Behavior: A Navigation Rule Perspective
Abstract
1. Introduction
2. Literature Review
2.1. Related Research on the Application of Ontology Technology
2.2. Related Research on the Application of Ontology Technology in the Maritime Field
2.3. Related Research on Abnormal Ship Behavior
3. Methodology
3.1. Navigation Rule Analysis and Element Extraction
3.1.1. Analysis of Navigation Rules
- (1)
- Traffic channel rules
- (2)
- Maneuvering rules
- (3)
- Berthing rules
- (4)
- Avoidance rules
3.1.2. Element Extraction from Navigation Rules
- (a)
- Initialize the parameters. Determine the number of topics to be modeled K; determine the number of words in the vocabulary V. The hyperparameters α and β are used to control the sparsity of the topic distribution and the word distribution.
- (b)
- Random assignment of topics. For each vocabulary word in each document, a topic is randomly selected as the initial assignment.
- (c)
- Iterative inference. For each vocabulary word w in each document d, reassign topics; for each topic k, calculate P(topic k|document d) × P(vocabulary word w|topic k). Reassign topics based on the calculated probabilities.
- (d)
- Statistics on topic and vocabulary distribution. Count the number of occurrences of each topic k in a document and compute the topic distribution P(topic k|document d). Count the number of occurrences of each vocabulary word w in topic k and calculate the vocabulary distribution P(vocabulary word w|topic k).
- (e)
- Repeat steps (c) and (d) until the model converges or reaches a predetermined number of iterations.
- (f)
- Theme analysis and element extraction. After the model has converged, extract the theme distribution of each document, analyze the vocabulary composition of each theme, and find the elements related to them in the navigation rules. At the same time, according to the needs of ontology construction, manually delete and change the elements in a targeted manner, so as to establish the actual elements.
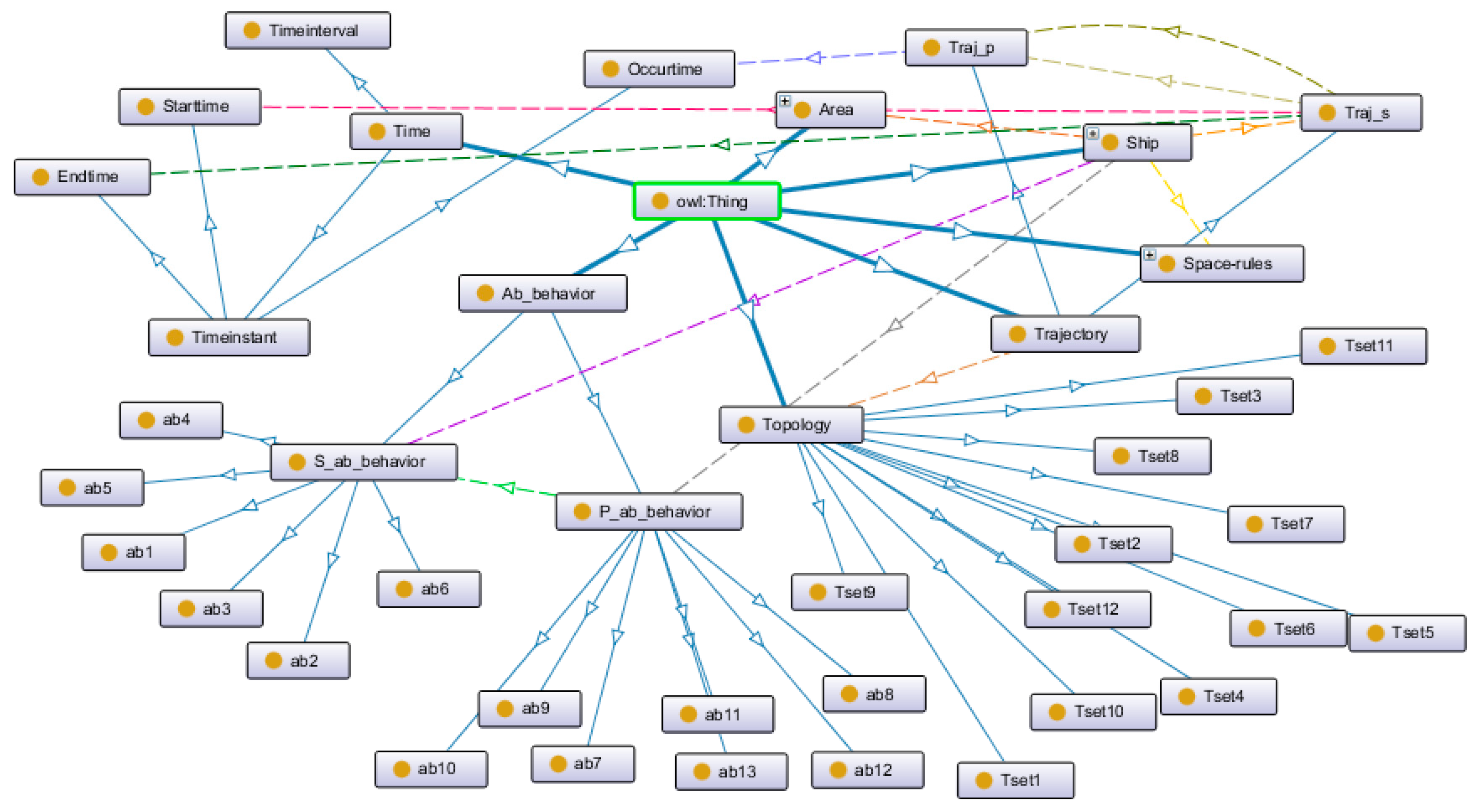
3.2. Ontology Construction
3.2.1. Navigation Rule Ontology Construction
- (1)
- Class
- (2)
- Object property
- (3)
- Data property
3.2.2. Abnormal Ship Behavior Ontology Construction
- (1)
- Ship behavior classification
- (a)
- Ship state behavior
- (b)
- Ship process behavior
- (2)
- Ship topology relationships
- (3)
- Ship behavior expression
- (a)
- Ship state behavior expression
- (b)
- Ship process behavior expression
- (4)
- Abnormal ship behavior ontology construction
- (a)
- Classes in the abnormal ship behavior ontology
- (b)
- Object properties
- (c)
- Data properties
- (d)
- Abnormal ship behavior ontology visualization
3.3. Inference Methods for Abnormal Ship Behavior
- (1)
- Ontological reasoning
- (2)
- Rule-based reasoning
- (1)
- Ships(?s)^Traj_s(?seg)^Traj_p(?p)^ab1(?Ab1)^haspoint(?s,?p)^Recommended_fairway(?r)^hasTopo(?p,?r)^swrlb:equal(?t,”Tset5”)^Speed(?p,?a)^Length(?p,?l)^swrlb:greaterThan(?a,”19”^^xsd:float)^swrlb:greaterThan(?l,”80”^^xsd:float)->hasS_ab(?s,?Ab1)
- (2)
- Ships(?s)^Traj_s(?seg)^Traj_p(?p)^rule10(?r10)^Space_rules(?R)^ab1(?Ab1)^hasS_ab(?s,?Ab1)->disobey(?s,?r10)
| Algorithm 1. Pellet reasoning algorithm process. |
| Input: Set of Concepts C Output: Concept Tree T Step 1: Initialize by creating a root node x with L(x) = ∅ Step 2: For each concept Ci in the set C: If Ci has existential constraints, then L(x) = L(x)∪{Ci}. If D∈L(x) and ¬D∈L(x), then mark {D,¬D} as a conflict. Step 3: For each node x in the tree: For each concept Cj with existential constraints in L(x), create a new node y, set L(y) = {Cj}, add y as a successor to x with an edge ⟨x,y⟩. Step 4: Check whether (x) at each node x contains any conflicts. If conflicts are found, prune the branch. Step 5: The algorithm terminates when all nodes have been expanded without conflicts, or when no further existential constraints can be added. End. |
4. Case Study and Results
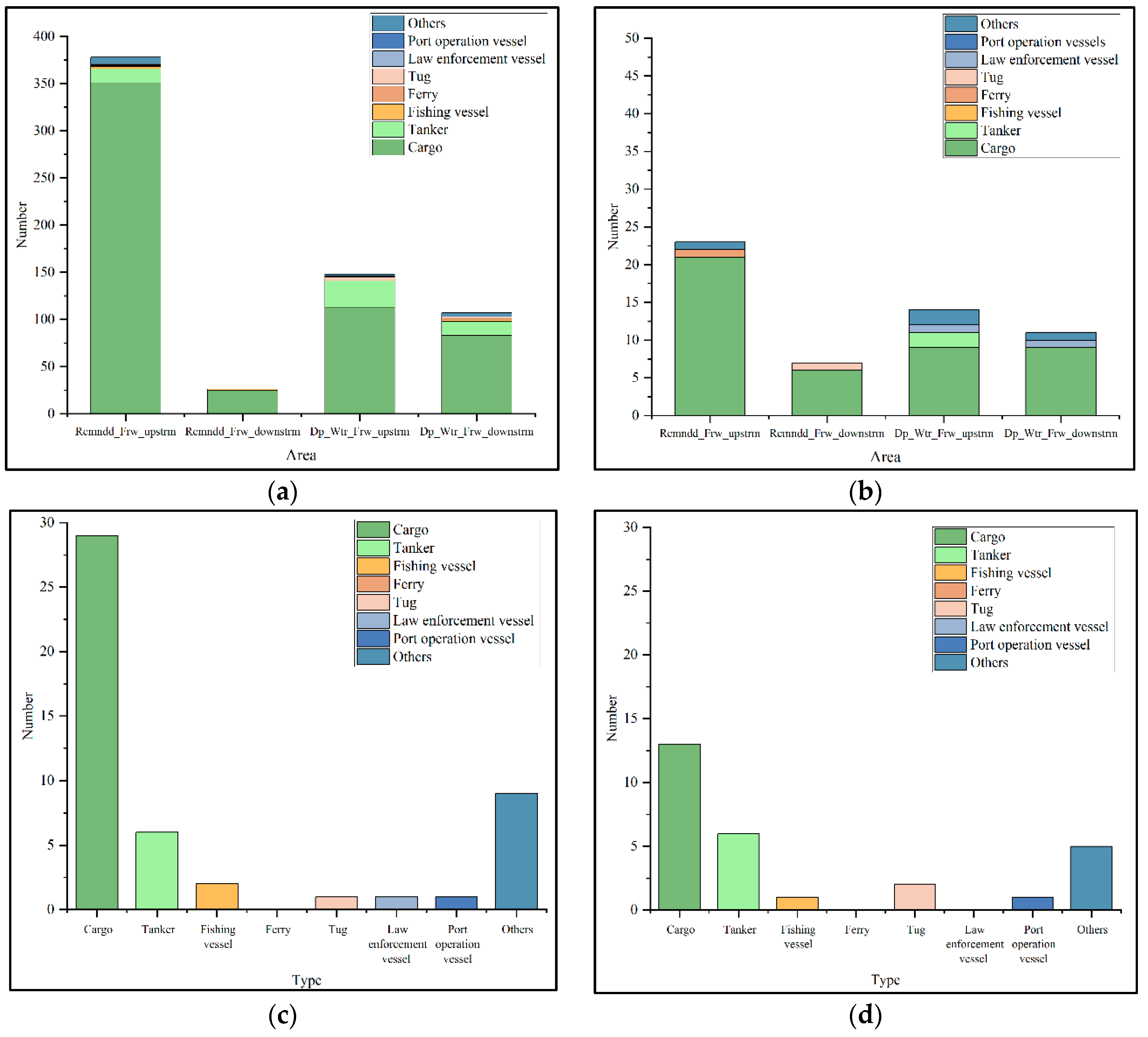
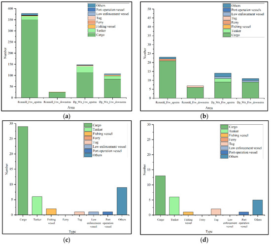
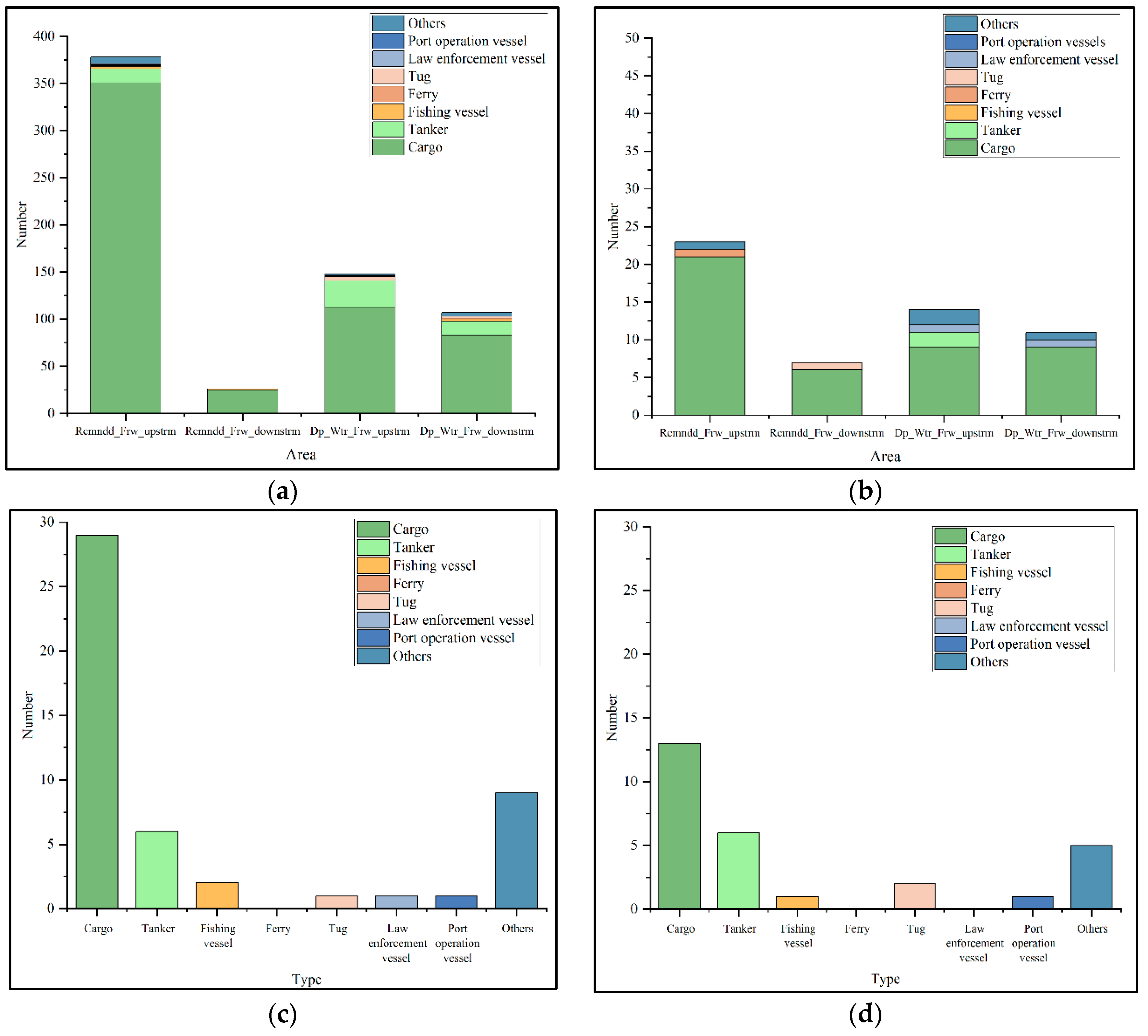
4.1. Study Area and Dataset
4.2. Results Analysis
4.2.1. Abnormal Speed Behavior
4.2.2. Abnormal Turnaround Behavior
4.2.3. Abnormal Crossing Behavior
5. Discussion
6. Conclusions
Author Contributions
Funding
Institutional Review Board Statement
Informed Consent Statement
Data Availability Statement
Acknowledgments
Conflicts of Interest
Appendix A. Navigation Rules
References
- Wang, Y.; Liu, J.; Liu, R.W.; Liu, Y.; Yuan, Z. Data-driven methods for detection of abnormal ship behavior: Progress and trends. Ocean. Eng. 2023, 271, 113673. [Google Scholar] [CrossRef]
- Wen, Y.; Tao, W.; Sui, Z.; Piera, M.A.; Song, R. Dynamic model-based method for the analysis of ship behavior in marine traffic situation. Ocean. Eng. 2022, 257, 111578. [Google Scholar] [CrossRef]
- Breitman, K.K.; Casanova, M.A.; Truszkowski, W. Ontology in computer science. In Semantic Web: Concepts, Technologies and Applications; Springer: London, UK, 2007; pp. 17–34. [Google Scholar]
- Dou, D.; Wang, H.; Liu, H. Semantic data mining: A survey of ontology-based approaches. In Proceedings of the 2015 IEEE 9th international conference on semantic computing (IEEE ICSC 2015), Anaheim, CA, USA, 7–9 February 2015; IEEE: Piscataway, NJ, USA, 2015; pp. 244–251. [Google Scholar]
- Yang, W.D.; Wang, T. The fusion model of intelligent transportation systems based on the urban traffic ontology. Phys. Procedia 2012, 25, 917–923. [Google Scholar] [CrossRef]
- Corsar, D.; Markovic, M.; Edwards, P.; Nelson, J.D. The transport disruption ontology. In Proceedings of the Semantic Web-ISWC 2015: 14th International Semantic Web Conference, Bethlehem, PA, USA, 11–15 October 2015; Proceedings, Part II 14. Springer International Publishing: Cham, Switzerland, 2015; pp. 329–336. [Google Scholar]
- Agarwal, A.; Gite, R.; Laddha, S.; Bhattacharyya, P.; Kar, S.; Ekbal, A.; Thind, P.; Zele, R.; Shankar, R. Knowledge Graph—Deep Learning: A Case Study in Question Answering in Aviation Safety Domain. arXiv 2022, arXiv:2205.15952. [Google Scholar]
- Bagschik, G.; Menzel, T.; Maurer, M. Ontology based scene creation for the development of automated vehicles. In Proceedings of the 2018 IEEE Intelligent Vehicles Symposium (IV), Changshu, China, 26–30 June 2018; IEEE: Piscataway, NJ, USA, 2018; pp. 1813–1820. [Google Scholar]
- Yousefzadeh Aghdam, M.; Kamel Tabbakh, S.R.; Mahdavi Chabok, S.J.; Kheyrabadi, M. Ontology generation for flight safety messages in air traffic management. J. Big Data 2021, 8, 61. [Google Scholar] [CrossRef]
- Malik, N.; Sharan, A.; Hijam, D. Ontology development for agriculture domain. In Proceedings of the 2015 2nd International Conference on Computing for Sustainable Global Development (INDIACom), New Delhi, India, 11–13 March 2015; IEEE: Piscataway, NJ, USA, 2015; pp. 738–742. [Google Scholar]
- Altinok, D. An ontology-based dialogue management system for banking and finance dialogue systems. arXiv 2018, arXiv:1804.04838. [Google Scholar]
- Ong, E.; Wang, L.L.; Schaub, J.; O’Toole, J.F.; Steck, B.; Rosenberg, A.Z.; Dowd, F.; Hansen, J.; Barisoni, L.; Jain, S.; et al. Modelling kidney disease using ontology: Insights from the Kidney Precision Medicine Project. Nat. Rev. Nephrol. 2020, 16, 686–696. [Google Scholar] [CrossRef] [PubMed]
- Ameen, A.; Khan, K.U.R.; Rani, B.P. Creation of ontology in education domain. In Proceedings of the 2012 IEEE Fourth International Conference on Technology for Education, Hyderabad, India, 18–20 July 2012; IEEE: Piscataway, NJ, USA, 2012; pp. 237–238. [Google Scholar]
- Song, R.; Wen, Y.; Huang, L.; Zhang, F.; Zhou, C. Data-driven cognitive modeling and semantic reasoning of ship behavior. In Maritime Technology and Engineering 5 Volume 1; CRC Press: Boca Raton, FL, USA, 2021; pp. 269–276. [Google Scholar]
- Zhong, S.; Wen, Y.; Huang, Y.; Cheng, X.; Huang, L. Ontological ship behavior modeling based on COLREGs for knowledge reasoning. J. Mar. Sci. Eng. 2022, 10, 203. [Google Scholar] [CrossRef]
- Wen, Y.; Zhang, Y.; Huang, L.; Zhou, C.; Xiao, C.; Zhang, F.; Peng, X.; Zhan, W.; Sui, Z. Semantic modelling of ship behavior in harbor based on ontology and dynamic bayesian network. ISPRS Int. J. Geo-Inf. 2019, 8, 107. [Google Scholar] [CrossRef]
- Santipantakis, G.; Kotis, K.I.; Vouros, G.A. Ontology-based data integration for event recognition in the maritime domain. In Proceedings of the 5th International Conference on Web Intelligence, Mining and Semantics, Larnaca, Cyprus, 13–15 July 2015; pp. 1–11. [Google Scholar]
- Roy, J.; Davenport, M. Exploitation of maritime domain ontologies for anomaly detection and threat analysis. In Proceedings of the 2010 International WaterSide Security Conference, Carrara, Italy, 3–5 November 2010; IEEE: Piscataway, NJ, USA, 2010; pp. 1–8. [Google Scholar]
- El Ghosh, M.; Abdulrab, H. Ontology-based liability decision support in the international maritime law. In Legal Knowledge and Information Systems; IOS Press: Amsterdam, The Netherlands, 2020; pp. 273–276. [Google Scholar]
- Weihong, Y. Research on maritime search and rescue decision-making ontology model. In Proceedings of the 2009 International Conference on Environmental Science and Information Application Technology, Wuhan, China, 4–5 July 2009; IEEE: Piscataway, NJ, USA, 2009; Volume 2, pp. 140–142. [Google Scholar]
- Murray, B.; Perera, L.P. An AIS-based deep learning framework for regional ship behavior prediction. Reliab. Eng. Syst. Saf. 2021, 215, 107819. [Google Scholar] [CrossRef]
- Li, H.; Liu, J.; Liu, R.W.; Xiong, N.; Wu, K.; Kim, T.H. A dimensionality reduction-based multi-step clustering method for robust vessel trajectory analysis. Sensors 2017, 17, 1792. [Google Scholar] [CrossRef] [PubMed]
- Karataş, G.B.; Karagoz, P.; Ayran, O. Trajectory pattern extraction and anomaly detection for maritime vessels. Internet Things 2021, 16, 100436. [Google Scholar] [CrossRef]
- Singh, S.K.; Heymann, F. Machine learning-assisted anomaly detection in maritime navigation using AIS data. In Proceedings of the 2020 IEEE/ION Position, Location and Navigation Symposium (PLANS), Portland, OR, USA, 20–23 April 2020; IEEE: Piscataway, NJ, USA, 2020; pp. 832–838. [Google Scholar]
- Vespe, M.; Visentini, I.; Bryan, K.; Braca, P. Unsupervised learning of maritime traffic patterns for anomaly detection. In Proceedings of the 9th IET Data Fusion & Target Tracking Conference (DF&TT 2012): Algorithms & Applications, London, UK, 16–17 May 2012. [Google Scholar]
- Yang, S.; Xinya, P.; Zexuan, D.; Jiansen, Z. An approach to ship behavior prediction based on AIS and RNN optimization model. Int. J. Transp. Eng. Technol. 2020, 6, 16. [Google Scholar] [CrossRef]
- Liu, H.; Liu, Y.; Li, B.; Qi, Z. Ship abnormal behavior detection method based on optimized GRU network. J. Mar. Sci. Eng. 2022, 10, 249. [Google Scholar] [CrossRef]
- Zhang, B.; Hirayama, K.; Ren, H.; Wang, D.; Li, H. Ship anomalous behavior detection using clustering and deep recurrent neural network. J. Mar. Sci. Eng. 2023, 11, 763. [Google Scholar] [CrossRef]
- Romanschek, E.; Clemen, C.; Huhnt, W. A novel robust approach for computing DE-9IM matrices based on space partition and integer coordinates. ISPRS Int. J. Geo-Inf. 2021, 10, 715. [Google Scholar] [CrossRef]
- Wang, Y.; Zhang, Y.; Luo, X. Semantic Query for Engineering Knowledge Graphs Combining Rule Reasoning. Comput. Sci. Appl. 2019, 9, 993–1002. [Google Scholar]
- Mishra, R.B.; Kumar, S. Semantic web reasoners and languages. Artif. Intell. Rev. 2011, 35, 339–368. [Google Scholar] [CrossRef]
- Zhao, L.; Shi, G.; Yang, J. Ship trajectories pre-processing based on AIS data. J. Navig. 2018, 71, 1210–1230. [Google Scholar] [CrossRef]















| Types of Navigation Rules | Categories | Rules |
|---|---|---|
| Traffic channel rules | traffic separation rules | rule1 |
| recommended channel rules | rule2 | |
| Maneuvering rules | speed rules | rule3, rule4 |
| position rules | rule5, rule6 | |
| reporting rules | rule7, rule8 | |
| overtaking rules | rule9 | |
| large ship rules | rule10 | |
| small ship rules | rule11 | |
| high-speed ship rules | rule11 | |
| special rules | rule12 | |
| bridge water area rules | rule13, rule14, rule15, rule16, rule17 | |
| Berthing rules | berthing rules for large ships | rule18 |
| berthing rules for small ships | rule19 | |
| berthing rules for special cases | rule20 | |
| Avoidance rules | general area avoidance rules | rule21 |
| special area avoidance rules | rule22 |
| Types of Elements | Categories | Explanation |
|---|---|---|
| Rules | Traffic channel rules | Regulations for traffic routes |
| Maneuvering rules | Regulations for ship navigation | |
| Berthing rules | Regulations for berthing process of ship | |
| Avoidance rules | Regulations for ship collision avoidance | |
| Ships | Large ship | Length greater than 80 m |
| Small ship | Length less and equal than 80 m | |
| High-speed ship | Speed more than 19 kn | |
| Area | Recommended channel | A route for small ships to navigate |
| Deepwater channel | A route for large ships to navigate | |
| Bridge water area | Water area near the bridge | |
| Special area | Special precaution area | |
| Anchorage | Designated position to anchor | |
| Time | Timestamp | At a certain moment |
| Time period | A period of time | |
| Trajectory | Trajectory point | Single trajectory point |
| Trajectory segment | A line segment connecting multiple trajectory points | |
| Behavior | State behavior | The ship behavior at a certain moment |
| Process behavior | The ship behavior in a period of time |
| Object Properties | Explanation |
|---|---|
| hasintersection | The intersection relationship between Area |
| hasRules, isruleof | The relationship between Area and Rules (inverse of each other) |
| hasShips, inArea | The relationship between Area and Ships (inverse of each other) |
| shouldobey | The relationship between Rules and Ships |
| isbelongto | The relationship between Rules and Space_rules |
| Data Properties | Explanation |
|---|---|
| Course | Ship’s heading |
| Lat | Latitude |
| Length | Ship’s length |
| Lon | Longitude |
| MMSI | Maritime Mobile Service Identify |
| Speed | Ship’s speed |
| Type | Ship’s type |
| Width | Ship’s width |
| hasPoint | Point Area element’s position |
| hasLine | Linear Area element’s range |
| hasPolygon | Planar Area element’s range |
| hasName | Area element’s name |
| hasString | Rules’ text |
| hasImportance | The importance of rules |
| Process Behaviors | Categories |
|---|---|
| channel area behavior | navigation, crossing, entering, leaving |
| wharf area behavior | berthing, unberthing |
| anchorage behavior | entering, leaving, anchoring |
| other general area behavior | turnaround |
| Classification | Categories |
|---|---|
| State abnormal | large ships with high speed in recommended channel |
| small ships in deepwater channel | |
| the speed in the channel is too high | |
| the speed in the channel is too low | |
| the speed in the bridge water area is too high | |
| the speed in the bridge water area is too low | |
| Process abnormal | crossing the bridge water area |
| deviation from the course turnaround in the bridge water area | |
| ship going the opposite way from the right direction | |
| long time navigating within the separation zone | |
| abnormal entering of anchorage area | |
| crossing channel with small angle |
| Object Property | Explanation |
|---|---|
| haspoint | The relationship between Ships and Traj_p |
| hasS_ab | The relationship between Ships and S_ab_behavior |
| hasP_ab | The relationship between Ships and P_ab_behavior |
| hasRule | The relationship between Ships and Space_rules |
| hasTraj_s | The relationship between Ships and Traj_s |
| hasTopo | The topological relationship between Ships and Traj_s |
| hasTraj_p | The relationship between Traj_s and Traj_p |
| inArea | The relationship between Ships and Area |
| hastimepoint | The relationship between Ships and Time point |
| hastimeinterval | The relationship between Ships and Time interval |
| Area | Number | Average Time |
|---|---|---|
| bridge water area | 1 | 5 min |
| channel | 29 | 8 min |
| near the wharf | 41 | 15 min |
| near the anchorage | 51 | 10 min |
| Area | Number | Average Time |
|---|---|---|
| crossing in bridge water area | 1 | 7 min |
| crossing in channel | 845 | 8 min |
| crossing channel with small angle | 0 | - |
Disclaimer/Publisher’s Note: The statements, opinions and data contained in all publications are solely those of the individual author(s) and contributor(s) and not of MDPI and/or the editor(s). MDPI and/or the editor(s) disclaim responsibility for any injury to people or property resulting from any ideas, methods, instructions or products referred to in the content. |
© 2024 by the authors. Licensee MDPI, Basel, Switzerland. This article is an open access article distributed under the terms and conditions of the Creative Commons Attribution (CC BY) license (https://creativecommons.org/licenses/by/4.0/).
Share and Cite
Zhou, C.; Wen, K.; Zhao, J.; Bian, Z.; Lu, T.; Ko Ko Latt, M.; Wang, C. Ontology-Based Method for Identifying Abnormal Ship Behavior: A Navigation Rule Perspective. J. Mar. Sci. Eng. 2024, 12, 881. https://doi.org/10.3390/jmse12060881
Zhou C, Wen K, Zhao J, Bian Z, Lu T, Ko Ko Latt M, Wang C. Ontology-Based Method for Identifying Abnormal Ship Behavior: A Navigation Rule Perspective. Journal of Marine Science and Engineering. 2024; 12(6):881. https://doi.org/10.3390/jmse12060881
Chicago/Turabian StyleZhou, Chunhui, Kunlong Wen, Junnan Zhao, Ziyuan Bian, Taotao Lu, Myo Ko Ko Latt, and Chengli Wang. 2024. "Ontology-Based Method for Identifying Abnormal Ship Behavior: A Navigation Rule Perspective" Journal of Marine Science and Engineering 12, no. 6: 881. https://doi.org/10.3390/jmse12060881
APA StyleZhou, C., Wen, K., Zhao, J., Bian, Z., Lu, T., Ko Ko Latt, M., & Wang, C. (2024). Ontology-Based Method for Identifying Abnormal Ship Behavior: A Navigation Rule Perspective. Journal of Marine Science and Engineering, 12(6), 881. https://doi.org/10.3390/jmse12060881
