Numerical Study on Hydrodynamic Performance of a Pitching Hydrofoil with Chordwise and Spanwise Deformation
Abstract
1. Introduction
2. Passively Deformable Hydrofoil under Activated Pitching Mode
3. Numerical Model
3.1. Numerical Model Set-Up
3.2. Numerical Model Validation
4. Results and Discussion
4.1. Flow Structure and Pressure Distribution around the Rigid Hydrofoil
4.2. Deformation, Flow Structure, and Pressure Distribution of the Deformable Hydrofoil
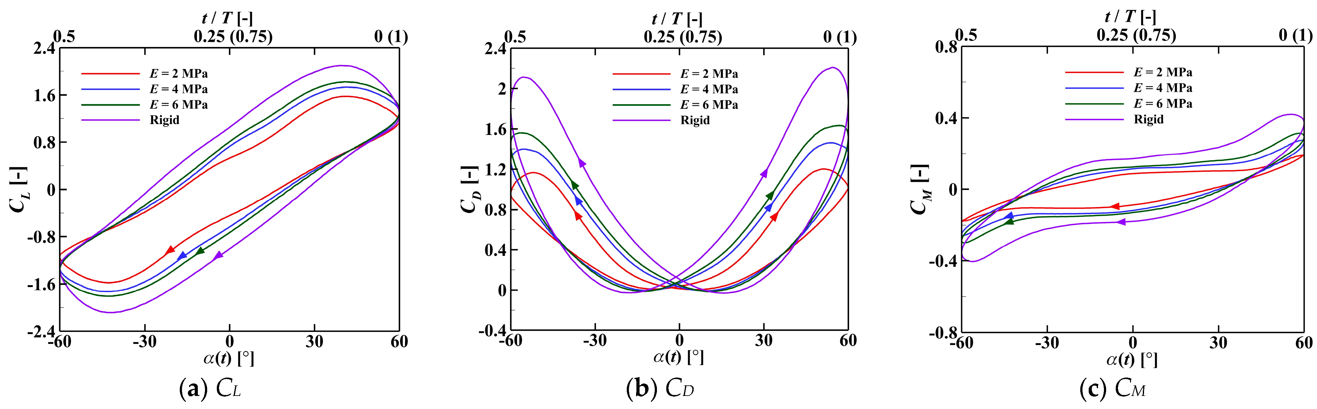
4.3. Hydrodynamic Performance
5. Conclusions
Author Contributions
Funding
Institutional Review Board Statement
Informed Consent Statement
Data Availability Statement
Conflicts of Interest
References
- Liu, Z.; Qu, H.; Shi, H. Numerical study on hydrodynamic performance of a fully passive flow driven pitching hydrofoil. Ocean Eng. 2019, 177, 70–84. [Google Scholar] [CrossRef]
- Huera-Huarte, F. Pitching foil propulsion performance decays near the free surface. Ocean Eng. 2023, 272, 113663. [Google Scholar] [CrossRef]
- Mamouri, A.; Khoshnevis, A.; Lakzian, E. Experimental study of the effective parameters on the offshore wind turbine’s airfoil in pitching case. Ocean Eng. 2020, 198, 106955. [Google Scholar] [CrossRef]
- Zhu, C.; Qiu, Y.; Wang, T. Dynamic stall of the wind turbine airfoil and blade undergoing pitch oscillations: A comparative study. Energy 2021, 222, 120004. [Google Scholar] [CrossRef]
- Zhang, M.; Wang, M.; Kang, Z.; Liu, T. Hydrodynamic characteristics of a pitching hydrofoil in unsteady uniform inflow with special emphasis on the hysteresis effect. Ocean Eng. 2023, 269, 113596. [Google Scholar] [CrossRef]
- Zhang, M.; Wu, Q.; Wang, G.; Huang, B.; Fu, X.; Chen, J. The flow regime and hydrodynamic performance for a pitching hydrofoil. Renew. Energy 2020, 150, 412–427. [Google Scholar] [CrossRef]
- Alam, M.; Muhammad, Z. Dynamics of flow around a pitching hydrofoil. J. Fluids Struct. 2020, 99, 103151. [Google Scholar] [CrossRef]
- Nachtane, M.; Tarfaoui, M.; Goda, I.; Rouway, M. A review on the technologies, design considerations and numerical models of tidal current turbines. Renew. Energy 2020, 157, 1274–1288. [Google Scholar] [CrossRef]
- Rad, M.; Khoshnevis, A. Experimental investigation of flow structure over pitching airfoil in the wake of circular cylinder. Ocean Eng. 2023, 284, 115103. [Google Scholar]
- Dai, Y.; Xia, Y.; Huang, G.; Yang, C.; Li, Y. Performance improvement of a wing with a controlled spanwise bending wingtip. Ocean Eng. 2023, 287, 115795. [Google Scholar] [CrossRef]
- Xiao, Q.; Zhu, Q. A review on flow energy harvesters based on flapping foils. J. Fluids Struct. 2014, 46, 174–191. [Google Scholar] [CrossRef]
- Wu, X.; Zhang, X.; Tian, X.; Li, X.; Lu, W. A review on fluid dynamics of flapping foils. Ocean Eng. 2023, 195, 106712. [Google Scholar] [CrossRef]
- Rostami, A.; Armandei, M. Renewable energy harvesting by vortex-induced motions: Review and benchmarking of technologies. Renew. Sustain. Energy Rev. 2017, 70, 193–214. [Google Scholar] [CrossRef]
- Tong, H.; Wang, Y. Experimental study on unsteady aerodynamic characteristics of deformed blades for vertical axis wind turbines. Renew. Energy 2021, 173, 808–826. [Google Scholar] [CrossRef]
- Lee, H.; Kwon, O. Performance improvement of horizontal axis wind turbines by aerodynamic shape optimization including aeroealstic deformation. Renew. Energy 2020, 147, 2128–2140. [Google Scholar] [CrossRef]
- Li, Y.; Pan, Z.; Zhang, N. Propulsive properties of a flexible oscillating wing with time-varying camber deformation. Ocean Eng. 2021, 235, 109332. [Google Scholar] [CrossRef]
- Guo, H.; Hu, J.; Guo, C.; Zhang, W.; Lin, J. Numerical simulation of the dynamic stall of a freely rotating hydrofoil. Phys. Fluids 2020, 32, 095113. [Google Scholar] [CrossRef]
- Seshadri, P.; Aravind, A.; De, A. Leading edge vortex dynamics in airfoils: Effect of pitching motion at large amplitudes. J. Fluids Struct. 2023, 116, 103796. [Google Scholar] [CrossRef]
- Chao, L.; Pan, G.; Zhang, D.; Yan, G. Numerical investigations on the force generation and wake structures of a nonsinusoidal pitching foil. J. Fluids Struct. 2019, 85, 27–39. [Google Scholar] [CrossRef]
- Chao, L.; Pan, G.; Zhang, D.; Yan, G. On the drag–thrust transition of a pitching foil. Ocean Eng. 2019, 192, 106564. [Google Scholar] [CrossRef]
- Yin, T.; Pavesi, G. Dynamic responses of pitching hydrofoil in laminar–turbulent transition regime. J. Fluids Struct. 2022, 111, 103544. [Google Scholar] [CrossRef]
- Zhu, C.; Feng, Y.; Shen, X.; Dang, Z.; Chen, J.; Qiu, Y.; Wang, T. Effects of the height and chordwise installation of the vane-type vortex generators on the unsteady aerodynamics of a wind turbine airfoil undergoing dynamic stall. Energy 2023, 266, 126418. [Google Scholar] [CrossRef]
- Liu, Z.; Qu, H. Numerical study on a coupled-pitching flexible hydrofoil under the semi-passive mode. Renew. Energy 2022, 189, 339–358. [Google Scholar] [CrossRef]
- Wang, Y.; Tong, H.; Sima, H.; Wang, J.; Sun, J.; Huang, D. Experimental study on aerodynamic performance of deformable blade for vertical axis wind turbine. Energy 2019, 181, 187–201. [Google Scholar] [CrossRef]
- Qian, Y.; Zhang, Y.; Sun, Y.; Wang, T. Numerical investigations of the flow control effect on a thick wind turbine airfoil using deformable trailing edge flaps. Energy 2023, 265, 126327. [Google Scholar] [CrossRef]
- Zhang, Y.; Wang, Y.; Xie, Y.; Sun, G.; Han, J. Effects of flexibility on energy extraction performance of an oscillating hydrofoil under a semi-activated mode. Energy 2022, 242, 122940. [Google Scholar] [CrossRef]
- Zhang, Y.; Wang, Y.; Han, J.; Sun, G.; Xie, Y. Effects of hydrofoil motion parameters and swing arm parameters on power extraction of a flexible hydrofoil in swing arm mode. Ocean Eng. 2022, 245, 110543. [Google Scholar] [CrossRef]
- Zhang, Y.; Wang, Q.; Han, J.; Xie, Y. Effects of unsteady stream on hydrodynamic behavior of flexible hydrofoil in semi-passive mode. Renew. Energy 2023, 206, 451–465. [Google Scholar] [CrossRef]
- Jeanmonod, G.; Oliver, M. Effects of chordwise flexibility on 2D flapping foils used as an energy extraction device. J. Fluids Struct. 2017, 70, 327–345. [Google Scholar] [CrossRef]
- Siala, F.; Fard, K.; Liburdy, J. Experimental study of inertia-based passive flexibility of a heaving and pitching airfoil operating in the energy-harvesting regime. Phys. Fluids 2020, 32, 017101. [Google Scholar] [CrossRef]
- Kinsey, T.; Dumas, G. Three-dimensional effects on an oscillating-foil hydrokinetic turbine. J. Fluids Eng. 2012, 134, 071105. [Google Scholar] [CrossRef]
- Hu, J.; Xiao, Q. Three-dimensional effects on the translational locomotion of a passive heaving wing. J. Fluids Struct. 2014, 46, 77–88. [Google Scholar] [CrossRef]
- Deng, J.; Caulfied, C.P.; Shao, X. Effect of aspect ratio on the energy extraction efficiency of three-dimensional flapping foils. Phys. Fluids 2014, 26, 043102. [Google Scholar] [CrossRef]
- Kim, D.; Strom, B.; Mandre, S.; Breuer, K. Energy-harvesting performance and flow structure of an oscillating hydrofoil with finite span. J. Fluids Struct. 2017, 70, 314–326. [Google Scholar] [CrossRef]
- Oksuz, S.; Celik, F.; Bayraktar, S. Three-dimensional computational analysis of flow over twisted hydrofoils. Ocean Eng. 2023, 267, 113304. [Google Scholar] [CrossRef]
- Herath, M.; Phillips, A.; John, N.; Brandner, P.; Pearce, B.; Prusty, G. Hydrodynamic response of a passive shape-adaptive composite hydrofoil. Mar. Struct. 2021, 80, 103084. [Google Scholar] [CrossRef]
- Huang, Z.; Xiong, Y.; Xu, Y. The simulation of deformation and vibration characteristics of a flexible hydrofoil based on static and transient FSI. Ocean Eng. 2019, 182, 61–74. [Google Scholar] [CrossRef]
- Mamouri, A.; Lakzian, E.; Khoshnevis, A. Entropy analysis of pitching airfoil for offshore wind turbines in the dynamic stall condition. Ocean Eng. 2019, 187, 106229. [Google Scholar] [CrossRef]
- Mamouri, A.; Khoshnevis, A.; Lakzian, E. Entropy generation analysis of S825, S822, and SD7062 offshore wind turbine airfoil geometries. Ocean Eng. 2019, 173, 700–715. [Google Scholar] [CrossRef]
- Zhu, C.; Wu, J.; Wang, T. Dynamic stall control of the wind turbine airfoil via single-row and double-row passive vortex generators. Energy 2019, 189, 116272. [Google Scholar] [CrossRef]
- Lee, J.S.; Lee, S.H. Fluid–structure interaction analysis on a flexible plate normal to a free stream at low Reynolds numbers. J. Fluids Struct. 2012, 29, 18–34. [Google Scholar] [CrossRef]
- Gluck, M.; Breuer, M.; Durst, F.; Halfmann, A.; Rank, E. Computation of fluid–structure interaction on light weight structures. J. Wind Eng. Ind. Aerodyn. 2001, 89, 1351–1368. [Google Scholar] [CrossRef]
- Liu, Z.; Qu, H.; Song, X. Experimental and numerical studies on a passively deformed coupled-pitching hydrofoil under the semi-activated mode. Renew. Energy 2024, 227, 120559. [Google Scholar] [CrossRef]
- Kim, D.; Chang, J. Low-Reynolds-number effect on the aerodynamic characteristics of a pitching NACA0012 airfoil. Aerosp. Sci. Technol. 2014, 32, 162–168. [Google Scholar] [CrossRef]
















| Description | Set-Up |
|---|---|
| Time-step size | 0.005 T |
| Iteration per time step | 50 |
| Mesh type of fluid domain | Tetrahedral mesh |
| Grid size on outer boundaries of fluid domain | 30.0 mm |
| Grid size on foil wall boundary of fluid domain | 0.5 mm |
| Growth rate of boundary layer mesh | 1.05 |
| Mesh type of structure domain | Hexahedral mesh |
| Grid size of structure domain | 0.5 mm |
| Turbulence model | Standard k-ω model |
| Convergence criterion | 10−6 |
| ACL | ACD | ACM | KCL | KCD | KCM | |
|---|---|---|---|---|---|---|
| 2 MPa | 11.64 | 4.60 | 0.76 | 6.39 | 6.46 | 0.78 |
| 4 MPa | 14.19 | 6.74 | 1.08 | 7.03 | 7.95 | 1.11 |
| 6 MPa | 15.34 | 8.00 | 1.29 | 7.36 | 8.89 | 1.27 |
| Rigid | 18.34 | 12.68 | 2.11 | 8.47 | 12.06 | 1.69 |
Disclaimer/Publisher’s Note: The statements, opinions and data contained in all publications are solely those of the individual author(s) and contributor(s) and not of MDPI and/or the editor(s). MDPI and/or the editor(s) disclaim responsibility for any injury to people or property resulting from any ideas, methods, instructions or products referred to in the content. |
© 2024 by the authors. Licensee MDPI, Basel, Switzerland. This article is an open access article distributed under the terms and conditions of the Creative Commons Attribution (CC BY) license (https://creativecommons.org/licenses/by/4.0/).
Share and Cite
Qu, H.; Li, X.; Dong, X. Numerical Study on Hydrodynamic Performance of a Pitching Hydrofoil with Chordwise and Spanwise Deformation. J. Mar. Sci. Eng. 2024, 12, 830. https://doi.org/10.3390/jmse12050830
Qu H, Li X, Dong X. Numerical Study on Hydrodynamic Performance of a Pitching Hydrofoil with Chordwise and Spanwise Deformation. Journal of Marine Science and Engineering. 2024; 12(5):830. https://doi.org/10.3390/jmse12050830
Chicago/Turabian StyleQu, Hengliang, Xueyan Li, and Xiaochen Dong. 2024. "Numerical Study on Hydrodynamic Performance of a Pitching Hydrofoil with Chordwise and Spanwise Deformation" Journal of Marine Science and Engineering 12, no. 5: 830. https://doi.org/10.3390/jmse12050830
APA StyleQu, H., Li, X., & Dong, X. (2024). Numerical Study on Hydrodynamic Performance of a Pitching Hydrofoil with Chordwise and Spanwise Deformation. Journal of Marine Science and Engineering, 12(5), 830. https://doi.org/10.3390/jmse12050830
