Hydrodynamic Interactions and Enhanced Energy Harnessing amongst Many WEC Units in Large-Size Wave Parks
Abstract
1. Introduction
2. Theory
2.1. Linear Potential Theory and the BEM
2.2. WEC Hydrodynamics and Interaction Effects
2.3. WEC Dynamics
3. Numerical Model
3.1. The Bottom-Fixed Heaving Point Absorber WEC
3.2. Drag Elements
3.3. PTO System
3.4. Power Performance Calculation
4. Study Cases
4.1. Single WEC and Park Simulations
5. Results and Discussion
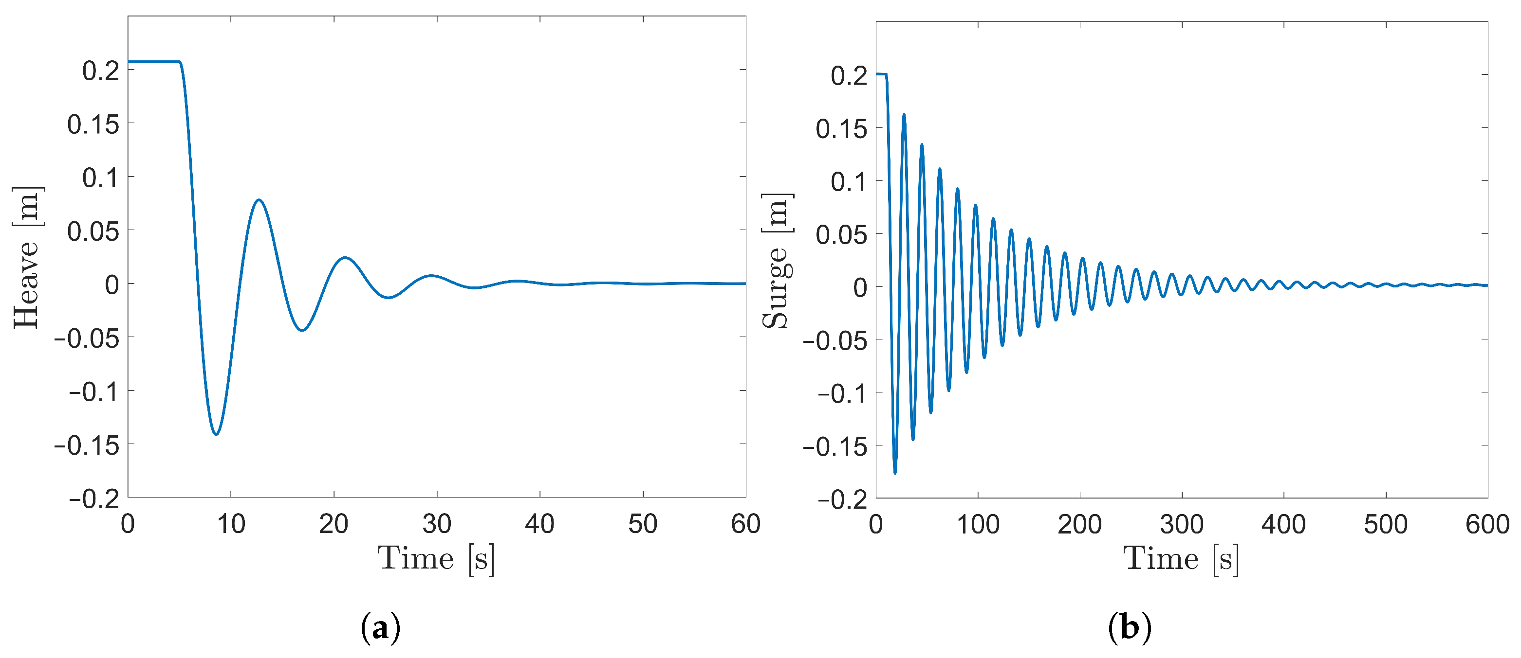
5.1. Validation of the Single WEC Unit
5.2. Effects of Wave Periods and Wave Heights on Power Performance
5.3. Effects of Water Depth on Power Performance
5.4. Effects of the Array layout on Power Performance
5.5. Effects of Wave Directions on Power Performance
5.6. Effects of WEC Distances on Power Performance
6. Conclusions
Author Contributions
Funding
Institutional Review Board Statement
Informed Consent Statement
Data Availability Statement
Conflicts of Interest
References
- Thorpe, T.W. A Brief Review of Wave Energy; A Report Produced for the UK Department of Energy, No ETSU R120; The UK Department of Trade and Industry: London, UK, 1999.
 - Clément, A.; McCullen, P.; Falcão, A.; Fiorentino, A.; Gardner, F.; Hammarlund, K.; Lemonis, G.; Lewis, T.; Nielsen, K.; Petroncini, S.; et al. Wave energy in Europe: Current status and perspectives. Renew. Sustain. Energy Rev. 2002, 6, 405–431. [Google Scholar] [CrossRef]
 - Falnes, J. A review of wave-energy extraction. Mar. Struct. 2007, 20, 185–201. [Google Scholar] [CrossRef]
 - Falcao, A.F.d.O. Wave energy utilization: A review of the technologies. Renew. Sustain. Energy Rev. 2010, 14, 899–918. [Google Scholar] [CrossRef]
 - Budal, K. Theory for absorption of wave power by a system of interacting bodies. J. Ship Res. 1977, 21, 248–254. [Google Scholar] [CrossRef]
 - Falnes, J. Radiation impedance matrix and optimum power absorption for interacting oscillators in surface waves. Appl. Ocean Res. 1980, 2, 75–80. [Google Scholar] [CrossRef]
 - Yang, S.H.; Ringsberg, J.W.; Johnson, E. Wave energy converters in array configurations—Influence of interaction effects on the power performance and fatigue of mooring lines. Ocean Eng. 2020, 211, 107294. [Google Scholar] [CrossRef]
 - Li, X.; Xiao, Q.; Zhou, Y.; Ning, D.; Incecik, A.; Nicoll, R.; McDonald, A.; Campbell, D. Coupled CFD-MBD numerical modeling of a mechanically coupled WEC array. Ocean Eng. 2022, 256, 111541. [Google Scholar] [CrossRef]
 - Krivtsov, V.; Linfoot, B. Basin Testing of Wave Energy Converters in Trondheim: Investigation of Mooring Loads and Implications for Wider Research. J. Mar. Sci. Eng. 2014, 2, 326–335. [Google Scholar] [CrossRef]
 - Babarit, A. Impact of long separating distances on the energy production of two interacting wave energy converters. Ocean Eng. 2010, 37, 718–729. [Google Scholar] [CrossRef]
 - Stallard, T.; Stansby, P.K.; Williamson, A.J. An experimental study of closely spaced point absorber arrays. In Proceedings of the ISOPE International Ocean and Polar Engineering Conference, Vancouver, BC, Canada, 6–11 July 2008; p. ISOPE-I. [Google Scholar]
 - Göteman, M. Wave energy parks with point-absorbers of different dimensions. J. Fluids Struct. 2017, 74, 142–157. [Google Scholar] [CrossRef]
 - Vasiliki, L.; Areti, L.; Eva, L. Hydrodynamic Interaction Effects and Performance of an Offshore Wave Farm. In Proceedings of the Twenty-Seventh 2017 International Ocean and Polar Engineering Conference, San Francisco, CA, USA, 25–30 June 2017; pp. 207–214. [Google Scholar]
 - Weller, S.; Stallard, T.; Stansby, P. Experimental measurements of irregular wave interaction factors in closely spaced arrays. IET Renew. Power Gener. 2010, 4, 628–637. [Google Scholar] [CrossRef]
 - Lee, H.; Poguluri, S.; Bae, Y. Performance Analysis of Multiple Wave Energy Converters Placed on a Floating Platform in the Frequency Domain. Energies 2018, 11, 406. [Google Scholar] [CrossRef]
 - Hu, J.; Zhou, B.; Vogel, C.; Liu, P.; Willden, R.; Sun, K.; Zang, J.; Geng, J.; Jin, P.; Cui, L.; et al. Optimal design and performance analysis of a hybrid system combing a floating wind platform and wave energy converters. Appl. Energy 2020, 269, 114998. [Google Scholar] [CrossRef]
 - Ghafari, H.R.; Ghassemi, H.; Abbasi, A.; Vakilabadi, K.A.; Yazdi, H.; He, G. Novel concept of hybrid wavestar- floating offshore wind turbine system with rectilinear arrays of WECs. Ocean Eng. 2022, 262, 112253. [Google Scholar] [CrossRef]
 - Jin, P.; Zheng, Z.; Zhou, Z.; Zhou, B.; Wang, L.; Yang, Y.; Liu, Y. Optimization and evaluation of a semi-submersible wind turbine and oscillating body wave energy converters hybrid system. Energy 2023, 282, 128889. [Google Scholar] [CrossRef]
 - Zhou, B.; Hu, J.; Jin, P.; Sun, K.; Li, Y.; Ning, D. Power performance and motion response of a floating wind platform and multiple heaving wave energy converters hybrid system. Energy 2023, 265, 126314. [Google Scholar] [CrossRef]
 - Zhu, K.; Shi, H.; Zheng, S.; Michele, S.; Cao, F. Hydrodynamic analysis of hybrid system with wind turbine and wave energy converter. Appl. Energy 2023, 350, 121745. [Google Scholar] [CrossRef]
 - Göteman, M.; Engström, J.; Eriksson, M.; Isberg, J. Optimizing wave energy parks with over 1000 interacting point-absorbers using an approximate analytical method. Int. J. Mar. Energy 2015, 10, 113–126. [Google Scholar] [CrossRef]
 - Göteman, M.; Engström, J.; Eriksson, M.; Isberg, J. Fast Modeling of Large Wave Energy Farms Using Interaction Distance Cut-Off. Energies 2015, 8, 13741–13757. [Google Scholar] [CrossRef]
 - Stratigaki, V.; Troch, P.; Stallard, T.; Forehand, D.; Kofoed, J.P.; Folley, M.; Benoit, M.; Babarit, A.; Kirkegaard, J. Wave basin experiments with large wave energy converter arrays to study interactions between the converters and effects on other users in the sea and the coastal area. Energies 2014, 7, 701–734. [Google Scholar] [CrossRef]
 - Rahm, M.; Svensson, O.; Boström, C.; Waters, R.; Leijon, M. Experimental results from the operation of aggregated wave energy converters. IET Renew. Power Gener. 2012, 6, 149–160. [Google Scholar] [CrossRef]
 - Da Fonseca, F.C.; Gomes, R.; Henriques, J.; Gato, L.; Falcão, A. Model testing of an oscillating water column spar-buoy wave energy converter isolated and in array: Motions and mooring forces. Energy 2016, 112, 1207–1218. [Google Scholar] [CrossRef]
 - Wolgamot, H.A.; Taylor, P.H.; Taylor, R.E.; Van Den Bremer, T.; Raby, A.; Whittaker, C. Experimental observation of a near-motion-trapped mode: Free motion in heave with negligible radiation. J. Fluid Mech. 2016, 786, R5. [Google Scholar] [CrossRef]
 - Mercadé Ruiz, P.; Ferri, F.; Kofoed, J.P. Experimental validation of a wave energy converter array hydrodynamics tool. Sustainability 2017, 9, 115. [Google Scholar] [CrossRef]
 - Sinha, A.; Karmakar, D.; Soares, C.G. Performance of optimally tuned arrays of heaving point absorbers. Renew. Energy 2016, 92, 517–531. [Google Scholar] [CrossRef]
 - Tay, Z.Y.; Venugopal, V. Hydrodynamic interactions of oscillating wave surge converters in an array under random sea state. Ocean Eng. 2017, 145, 382–394. [Google Scholar] [CrossRef]
 - Shao, X.; Ringsberg, J.W.; Yao, H.D.; Li, Z.; Johnson, E.; Fredriksson, G. A comparison of two wave energy converters’ power performance and mooring fatigue characteristics—One WEC vs many WECs in a wave park with interaction effects. J. Ocean Eng. Sci. 2023, 8, 446–460. [Google Scholar] [CrossRef]
 - Newman, J.N. Marine Hydrodynamics; The MIT Press: Cambridge, MA, USA, 2018. [Google Scholar]
 - Faltinsen, O. Sea Loads on Ships and Offshore Structures; Cambridge University Press: Cambridge, UK, 1993; Volume 1. [Google Scholar]
 - HydroD. 2024. Available online: https://www.dnv.com/services/hydrodynamic-analysis-and-stability-analysis-software-hydrod-14492 (accessed on 7 April 2024).
 - SIMA. SIMA Documenattion. 2024. Available online: https://sima.sintef.no/doc/4.4.0/sima/index.html (accessed on 7 April 2024).
 













| Property | Value | 
|---|---|
| Mass [kg] | |
| Draft [m] | 5.421 | 
| Diameter [m] | 9 | 
| Volume [m3] | 200 | 
| Centre of gravity, 1 | −0.314 | 
| Roll inertia relative to | |
| Pitch inertia relative to | |
| Yaw inertia relative to | |
| Water depth [m] | 46.0 or 55.0 | 
| Pre-tension [N] | 
| Drag Element No. | Radius R [m] | Height H [m] | 
|---|---|---|
| D1 | 2.5 | 2.00 | 
| D2 | 4.0 | 2.00 | 
| D3 | 4.5 | 2.00 | 
| D4 | 4.0 | 2.00 | 
| D5 | 2.5 | 2.00 | 
| D6 | 1.3 | 0.42 | 
| Sea State | Wave Height [m] | Wave Period [s] | Useful Damping [kNs/m]  | Direction | |
|---|---|---|---|---|---|
| Regular Low | RL 1 | 1 | 5 | 137 | 0° | 
| RL 2 | 1 | 6 | 115 | 0° | |
| RL 3 | 1 | 7 | 94 | 0° | |
| RL 4 | 1 | 8 | 80 | 0° | |
| RL 5 | 1 | 9 | 78 | 0° | |
| RL 6 | 1 | 10 | 88 | 0° | |
| RL 7 | 1 | 11 | 107 | 0° | |
| RL 8 | 1 | 12 | 129 | 0° | |
| RL 9 | 1 | 13 | 152 | 0° | |
| RL 10 | 1 | 14 | 176 | 0° | |
| RL 11 | 1 | 15 | 199 | 0° | |
| Regular High | RH 1 | 4 | 5 | 144 | 0° | 
| RH 2 | 4 | 6 | 124 | 0° | |
| RH 3 | 4 | 7 | 107 | 0° | |
| RH 4 | 4 | 8 | 163 | 0° | |
| RH 5 | 4 | 9 | 227 | 0° | |
| RH 6 | 4 | 10 | 287 | 0° | |
| RH 7 | 4 | 11 | 343 | 0° | |
| RH 8 | 4 | 12 | 395 | 0° | |
| RH 9 | 4 | 13 | 445 | 0° | |
| RH 10 | 4 | 14 | 494 | 0° | |
| RH 11 | 4 | 15 | 541 | 0° | |
| Irregular Low | IRL 1 | 1.75 | 7.5 | 90 | 0° or 4.7° | 
| IRL 2 | 1.75 | 9.5 | 86 | 0° or 9.4° | |
| IRL 3 | 1.75 | 11.5 | 118 | 0° or 14° | 
Disclaimer/Publisher’s Note: The statements, opinions and data contained in all publications are solely those of the individual author(s) and contributor(s) and not of MDPI and/or the editor(s). MDPI and/or the editor(s) disclaim responsibility for any injury to people or property resulting from any ideas, methods, instructions or products referred to in the content.  | 
© 2024 by the authors. Licensee MDPI, Basel, Switzerland. This article is an open access article distributed under the terms and conditions of the Creative Commons Attribution (CC BY) license (https://creativecommons.org/licenses/by/4.0/).
Share and Cite
Shao, X.; Ringsberg, J.W.; Yao, H.-D.; Gowda, U.R.S.L.; Khedkar, H.N.; Todalshaug, J.H. Hydrodynamic Interactions and Enhanced Energy Harnessing amongst Many WEC Units in Large-Size Wave Parks. J. Mar. Sci. Eng. 2024, 12, 730. https://doi.org/10.3390/jmse12050730
Shao X, Ringsberg JW, Yao H-D, Gowda URSL, Khedkar HN, Todalshaug JH. Hydrodynamic Interactions and Enhanced Energy Harnessing amongst Many WEC Units in Large-Size Wave Parks. Journal of Marine Science and Engineering. 2024; 12(5):730. https://doi.org/10.3390/jmse12050730
Chicago/Turabian StyleShao, Xinyuan, Jonas W. Ringsberg, Hua-Dong Yao, Uday Rajdeep Sakleshpur Lokesh Gowda, Hrishikesh Nitin Khedkar, and Jørgen Hals Todalshaug. 2024. "Hydrodynamic Interactions and Enhanced Energy Harnessing amongst Many WEC Units in Large-Size Wave Parks" Journal of Marine Science and Engineering 12, no. 5: 730. https://doi.org/10.3390/jmse12050730
APA StyleShao, X., Ringsberg, J. W., Yao, H.-D., Gowda, U. R. S. L., Khedkar, H. N., & Todalshaug, J. H. (2024). Hydrodynamic Interactions and Enhanced Energy Harnessing amongst Many WEC Units in Large-Size Wave Parks. Journal of Marine Science and Engineering, 12(5), 730. https://doi.org/10.3390/jmse12050730
        
