Next Article in Journal
Study on the Adsorption Performance of a Vortex Suction Cup under Varying Diameters of Underwater Structure Tubes
Next Article in Special Issue
Advancing Offshore Renewable Energy: Integrative Approaches in Floating Offshore Wind Turbine-Oscillating Water Column Systems Using Artificial Intelligence-Driven Regressive Modeling and Proportional-Integral-Derivative Control
Previous Article in Journal
Design and Optimization of the Teardrop Buoy Driven by Ocean Thermal Energy
Previous Article in Special Issue
A Jacket-Frame Mounted Oscillating Water Column with a Variable Aperture Skirt
 
 
Font Type:
Arial Georgia Verdana
Font Size:
Aa Aa Aa
Line Spacing:
Column Width:
Background:
Review

A Review and Design Principle of Fixed-Bottom Foundation Scour Protection Schemes for Offshore Wind Energy

by
Dongyue Gao
1,
Xinying Pan
1,2,*,
Bingchen Liang
1,2,
Bo Yang
1,
Guoxiang Wu
1,2 and
Zhenlu Wang
1,2
1
College of Engineering, Ocean University of China, Qingdao 266100, China
2
Shandong Province Key Laboratory of Ocean Engineering, Ocean University of China, Qingdao 266100, China
*
Author to whom correspondence should be addressed.
J. Mar. Sci. Eng. 2024, 12(4), 660; https://doi.org/10.3390/jmse12040660
Submission received: 9 March 2024 / Revised: 1 April 2024 / Accepted: 3 April 2024 / Published: 16 April 2024
(This article belongs to the Special Issue Advances in Offshore Wind and Wave Energies—2nd Edition)

Abstract

Foundation scour is the erosion of sediments around pile foundations by wave and current in offshore wind energy. This phenomenon destabilizes foundations and poses a threat to pile safety. Therefore, scour protection becomes a crucial challenge in offshore wind projects. This paper reviews and synthesizes recent publications and patented technologies related to scour protection. Considering the primary engineering concerns, the paper proposes design principles for effective scour protection schemes to standardize evaluation criteria. These principles prioritize efficacy, independence, and cost-efficiency, enabling the analysis of scour protection scheme applicability. In addition, this paper summarizes and describes common protection schemes in the literature. The effectiveness of their protection is analyzed and summarized, and their economic and performance independence is evaluated. This paper categorizes flow-altering scour protection schemes found in the literature. Based on a comprehensive understanding of the mechanisms and engineering requirements of scour protection, the paper proposes a focus on determining the erosion reduction rate curve ( E p U / U c curve) as a key criterion for evaluating the effectiveness of protection schemes under varying flow velocities and the erosion reduction rate of scour protection schemes under extreme conditions. The study highlights the necessity of establishing a comprehensive design evaluation methodology, which is crucial for addressing the significant challenges related to scour encountered in offshore wind power projects.

1. Introduction

Recently, renewable energy has become increasingly important in ensuring energy security and reducing greenhouse gas emissions, etc. In various renewable energy sources, wind energy occupies an important position. At present, the scale of offshore wind power development in the world has accelerated significantly. In 2012, the installed capacity of Western countries, China, and India accounted for more than 95% of the global installed capacity, and more than 60% of the global wind power capacity is located in Europe and North America [1,2]. Data released by WindEurope show that, in 2019, a record of 3,623,000 KW (3623 MW) of new offshore wind capacity was installed in Europe, up 19.6% from 2018, with a cumulative installed capacity of 2,272,000 KW (22.07 GW) [3]. By 2030, Europe will have invested nearly EUR 20 billion in the wind power market, 60% of which is targeted at the wind power market [4,5]. In terms of vision, it is estimated that by 2050 wind energy will meet more than 20% of global electricity demand [1,2]. Outside Europe, China is also rapidly growing as a growth engine. According to China’s National Energy Administration, in 2019, China installed 1.98 million kilowatts (1980 MW) of new offshore wind power, with a cumulative installed capacity of 5.93 million kilowatts (5930 MW) [3]. Up to July 2023, China’s total renewable energy power generation reached 1.322 billion kilowatts (KW), historically surpassing coal power and accounting for about 48.8% of the country’s total installed capacity [6,7]. The installed capacity of wind power is 389 million kilowatts. Meanwhile, China’s wind power and photovoltaic power generation amounted to 729.1 billion kilowatt-hours, a year-on-year increase of 23.5% [6]. According to BloombergNEF, China’s wind power sector achieved a record high with a newly installed capacity of 77.1 GW, representing a year-on-year increase of 58% in 2023. The offshore wind power capacity reached 7.6 GW, showing a 48% increase year-on-year and Chinese companies occupy four out of the top five positions in the global rankings of newly added capacity among wind turbine manufacturers [8].
Currently, the cost issue remains a major constraint to the development of offshore wind power, which is still about 50% more expensive than land-based wind power from the point of view of investment per-megawatt (MW) [9]. Typically, offshore wind turbines are 20% more expensive than similar onshore wind turbines, and the base class is 350% more expensive than onshore wind units [10]. According to the National Renewable Energy Laboratory (NREL) statistics for offshore wind projects, offshore wind energy expenditures are mainly for items, such as wind turbines, assembly and installation of wind structures, substructures, and foundations [9]. The turbine accounts for 33.6% of the total cost, the assembly and installation part accounts for 17.9%, the substructure and foundation accounts for 12.8, as shown in Figure 1. The data from Chinese companies show that the foundation cost accounts for 20% to 30% of the total investment in offshore wind farms, which is much higher than the similar proportion for onshore wind farms [3]. For floating offshore wind platforms, sub-structures and foundations are the highest cost component, accounting for about 36.2%.
Scouring is a major challenge to the safety of pile foundation structures in offshore engineering [11,12]. The schematic diagram of scouring are shown in Figure 2. Chinese offshore wind power companies currently face the problem of pile scour during the operational phase of offshore wind farms. A large amount of scour seriously affects the safety of the structure, becoming one of the main problems of wind farms, requiring a large amount to detect and control local scour of the pile foundation structure, the hazards of which are as follows [12,13,14] (see Figure 3):
(1)
Scouring phenomena induce a reduction in the depth of foundation penetration, consequently increasing the length of the cantilevered section of pile foundation.
(2)
The bearing capacity of pile foundation is diminished by scouring, particularly affecting the self-vibration frequency of the entire structure.
(3)
Scouring leads to an escalation in the ultimate load and fatigue load on the foundation, thereby impacting the fatigue life of pile foundation.
(4)
Scouring results in the submergence of the submarine cable around the foundation, deviating from its intended design of being buried in the soil, affecting the state of its force distribution.
(5)
Scouring can lead to environmental issues. During the scouring process, sediment and pollutants carried by the flow can contaminate water bodies, resulting in water pollution.
Therefore, there is a clear engineering background and practical significance to design a safe and reasonable scour protection scheme for marine engineering structures. It can effectively reduce the consumption of human and material resources for wind farms, significantly improve the safety of wind power foundation, and reduce the chance of collapse of wind farms during the operation.
This paper reviews the scour protection countermeasure schemes for pile foundations in marine engineering. The types of structures mentioned in the paper, such as monopiles and pier and bridge foundations, are similar. Although monopiles may be larger, the differences can be ignored in experimental and numerical studies. Scour mechanisms similar to those of offshore wind pile foundations can be found in offshore areas and inland rivers, although they have different hydrodynamic environments [15]. Scour protection countermeasure schemes for bridge piers and port piers are good references to protect offshore wind pile foundations and are included in this paper.
This paper focuses on the scour protection scheme of monopile foundation that has specific application in practical engineering. There are many types of scour protection schemes for offshore pile structures, with different methods of application, mechanisms of action and scour protection effects. The research reports of wind power companies also mentioned the lack of specific standards and regulations in the offshore wind power industry. The selection and construction of scour protection scheme is mostly dependent on the experience of engineers. Therefore, this paper presents the design principles of scour protection scheme for marine engineering and analyzes the specific schemes in the relevant literature. It is based on the current demand of the marine engineering industry and the actual situation faced by scour protection in the design and construction of offshore wind power.
The rest of this paper is organized as follows. Section 2 briefly introduces the types of fixed wind turbine pile foundation structures and application water depths for the main scenarios of scour protection schemes. Section 3 describes the design principles for scour protection schemes, which are recommended as basic guidelines. Section 4 focuses on the existing flow-altering scour protection schemes in the literature. Section 5 introduces the bed-strengthening protection scheme. Section 6 summarizes the crucial issues of current research into scour protection schemes. Section 7 applies the design principle of scour protection scheme to analyze the engineering applicability of existing scour protection schemes in the literature. A summary and outlook are provided in Section 8.

2. Types of Fixed-Bottom Offshore Wind System Foundations

The types of pile foundations used in offshore wind power can be categorized into the fixed type and floating type, with fixed-type turbines being more commonly utilized. In this section, the main fixed-bottom foundation types are introduced.

2.1. Monopile Foundation

A monopile foundation consists of welded steel tubes made of rolled steel plates, and the tower is supported directly by the foundation pile legs or by connecting the two through a transition section. The structure of a monopile foundation is shown in Figure 4. The pile legs are inserted below the seabed and the depth of insertion depends on the actual environmental loads and the geological conditions of the seabed. The typical single foundation diameter is 3–8 m [5]. Chinese companies typically use 4.5–9 m diameter steel pipes for subsea installations. Monopile foundations are usually applied to shallow water depths, ranging from 0–30 m. In a wind farm of China Three Gorges Group in Dalian City, where the average water depth is 20 m, a large diameter monopile foundation is used as the foundation structure [16].
Monopile foundation is currently the most widely used type of foundation in offshore wind projects. In European waters, 4258 offshore wind monopile foundations have been installed as of 2019, with a share of 81%. According to statistics, more than 75% of the completed offshore wind power projects are monopile foundations [15]. It has the advantages of mature technology, simple structure, convenient and quick construction, strong adaptability, good economy, and low cost. Monopile foundations are suitable for areas with a sandy soil or soft clay layer, good bearing capacity, and stable seabed. Simultaneously, after the installation of the foundation, it is usually necessary to carry out sea bed scouring protection. Traditional anti-scouring schemes are sand quilt, riprap, bionic grass, curing soil, and other bed-strengthening methods. But they have also shown some drawbacks in terms of effectiveness, maintenance, environment, and cost [3].

2.2. Gravity Foundation

The gravity foundation is one of the main types of offshore wind turbine foundation structures. It mainly rely on the foundation structure and internal ballast weight to resist the overturning moment and sliding force generated by the upper unit and external environment, as shown in Figure 5. This ensures the stability of the foundation and tower structure. It primarily relies on the foundation structure and internal ballast weight to counteract the overturning moment and sliding force generated by the upper unit (wind turbine) and external environmental factors. This ensures the stability of the foundation and tower structure. Gravity foundations are suitable for foundation conditions such as compacted clay and hard rock. However, they are not suitable for soft-foundation seabeds due to the high bearing capacity of the foundation. They are usually applicable to the sea area with water depths of 0–10 m, and some articles think that they can be extended to the sea area with water depths of 0–30 m [16].
The advantage of the gravity foundation is that it has well stability, while the pile structure can be manufactured by prefabrication and other means, reducing the link of offshore piling operations and reducing construction and installation costs [3]. It has a certain effect in reducing local scouring. Compared to other structural types, gravity foundations require higher seabed conditions and are suitable for shallow water depths.

2.3. Multi-Pile Bearing Foundation

Multi-pile bearing foundations consist of a foundation pile and concrete bearing platform, as shown in Figure 6. They have higher rigidity and better performance in resisting horizontal loads, and are suitable for medium water depth and less-demanding geological conditions on the seabed. They require traditional port construction equipment and construction techniques, and are less difficult to construct. Before being used in offshore wind power, they were a common engineering structure for port terminals. They are usually welded and manufactured in advance on land, and can be applied to water depths of 5–50 m [5]. They have the advantages of better applicability to soft ground.

2.4. Tripod Foundation

Depending on the number of piles, tripod foundations can be categorized into three-legged and multi-legged foundations. The three-legged tripod foundation, characterized by a standard support structure comprising a main cylinder, three pile casings, and struts, as shown in Figure 7, exhibits notable engineering features. This foundation design involves the precise placement of three steel pipe piles, each with a medium diameter, in an equilateral triangular configuration on the seabed. The upper portion of the foundation is reinforced by a steel casing, providing crucial support to the three-legged truss structure and resulting in the formation of a relatively stable combined foundation. The adaptability of tripod foundations to varying water depths further enhances their versatility and expands their potential deployment in diverse offshore environments.
The utilization of tripod foundations has primarily been observed in European waters, where they have demonstrated applicability within water depth ranges of 10–35 m [5]. This foundation type offers several advantages that contribute to its suitability for offshore installations. Foremost, the inherent stability of the three-legged configuration ensures robust resistance against external forces. The triangular arrangement of the steel pipe piles facilitates the uniform load distribution and effective mitigation of lateral forces, thereby guaranteeing overall structural stability.

2.5. Jacket Foundation

Jacket foundations are commonly employed in offshore structures and typically consist of three or four pile legs that are interconnected by spars, forming a spatial truss structure with sufficient strength and stability. The interconnections between the pile legs are typically achieved through welding, as illustrated in Figure 8. This welding method effectively addresses the challenge of underwater connections. Jacket foundations can be designed with multiple piles or barrels, providing flexibility in adapting to different site conditions. They are particularly suitable for water depths ranging from 20 to 50 m [16].
One of the key advantages of jacket foundations is their robust load-bearing and overturning resistance. The spatial truss structure imparts significant strength and stability to the foundation, enabling it to withstand the dynamic loads and environmental forces experienced in offshore environments. Additionally, jacket foundations have relatively low requirements for piling equipment, making them more accessible during the installation phase.
However, it is important to consider some challenges associated with jacket foundations. The structure of jacket foundations requires a significant amount of steel, resulting in higher material costs. The welded joints, particularly in the node areas of the steel pipes, are more susceptible to fatigue and corrosion due to the harsh marine environment. Therefore, proper inspection, maintenance, and corrosion protection measures are crucial to ensure the long-term integrity and performance of the jacket foundation.

2.6. Suction Cylinder Foundation

Suction cylinder foundations, also known as negative pressure cylinder foundations, are a type of foundation that can be classified into single-cylinder or multiple-cylinder structures. They consist of two main components: the lower cylinder body, which is open at the bottom and sealed at the top; and the outreach section, which can be constructed using reinforced concrete prestressed structures or steel structures, as shown in Figure 9.
This foundation type is specifically designed for deployment in marine areas characterized by sandy soil or soft clay seabeds. The installation process involves creating a negative pressure environment within the cylinder, allowing it to sink and stabilize itself through self-weight and resistance on the side of the cylinder. The suction effect generated by the negative pressure facilitates the penetration and anchoring of the foundation into the seabed.
Suction cylinder foundations offers several advantages in suitable offshore environments. They eliminate the need for traditional piling methods, such as driven piles or drilled shafts, which can be challenging and time-consuming in certain seabed conditions. The self-weight and resistance provided by the foundation’s cylinder contribute to its stability, ensuring long-term structural integrity. This foundation type is particularly suitable for marine areas with water depths ranging from 30 to 60 m [17].
The approximate distribution of different pile foundation types along the water depth is shown in Figure 10. In brief, the gravity foundation is the most suitable for a near-shore water depth of 0–20 m, and the monopile foundation can be applied to a water depth of about 30 m. When the water depth increases to 40–50 m, the tripod foundation and multi-pile bearing foundation are more commonly applied. When the water depth continues to increase, the main pile foundation structures are the jacket foundation and suction cylinder foundation [17].

3. Scour Protection Scheme Design Principle

The study of scour protection schemes for pile foundation structures divides the scour protection countermeasure schemes into the following two main categories, which are flow-altering (or flow-disturbing) schemes and bed protection schemes [21]. The bed protection scheme reduces the erosion of the sub-bed by hydrodynamic elements such as waves and currents and improves the shear resistance of the bed by arranging stones, sand covers, metal frames, and cured soil in the areas around the structure that are susceptible to scouring and erosion. Tafarojnoruz et al. [21] concluded that flow-altering schemes can be divided into four categories according to the type of scheme and the law of flow disturbance, as follows: (1) flow-altering schemes through piles, (2) structure attachment schemes, (3) bed attachment schemes, and (4) other schemes. Some of the scour protection schemes in the literature do not consider their actual application via engineering, which can have a significant impact on the performance of the pile structure itself or the surrounding sea environment.
Currently, the existing research on scour protection programs lacks comprehensive design principles and industry standards. In light of this deficiency, this paper aims to provide design principles for scour protection schemes, taking into account the specific context of wind power project construction carried out by Chinese enterprises. To achieve this objective, a thorough analysis of the relevant journal literature and patents pertaining to scour protection design has been conducted. Figure 11 shows the diagram of scour protection scheme design principle. The elements in the design principles of a scour protection program are well grounded in the literature [22].

3.1. Effectiveness Principle

The effectiveness principle in scour protection refers to the ability of a protection scheme to meet the safety requirements for scour protection throughout the entire lifecycle of a project, including construction, commissioning, and operation. This principle ensures that the scheme effectively controls the scour volume and maximum scour depth within acceptable limits defined by safety standards. It aims to ensure the safety of pile foundation structures under extreme working conditions where scour poses a significant risk.
To satisfy the effectiveness principle, a scour protection scheme must be designed to control the local scour volume and depth under extreme sea conditions. This requires considering factors such as the length of the cantilever section, pile bearing capacity, self-vibration frequency, fatigue life, and cable overhang length. By controlling the scour volume and depth within a controllable range, the scheme mitigates hazards associated with these factors.
One key parameter used to assess the effectiveness of a scour protection scheme is the scour depth reduction rate, denoted as E p min . This parameter represents the scheme’s ability to minimize scour depth under the most unfavorable conditions. By focusing on reducing scour depth, the scheme can best demonstrate its effectiveness in protecting the integrity and stability of the pile foundation structures.
Effectiveness principle is of utmost importance in the design and implementation of a scour protection scheme. It ensures that the scheme provides adequate protection against scour hazards throughout the project’s lifespan. By meeting the requirements of the effectiveness principle, the scour protection scheme establishes a robust foundation for the overall safety and performance of the project.

3.2. Independence Principle

The independence principle means that the scour protection scheme is independent to other properties of the pile foundation structure. Under the premise of meeting the scour protection, it does not affect other important properties of the structure, including the mechanical properties, such as tensile and shear stress resistance, and the chemical properties, such as corrosion resistance, and will not have a significant impact on the surrounding environment. It can be divided into the following two points.
Not affecting the important performance of the structure itself. The important properties of the structure itself mainly include mechanical properties of the structure and chemical properties of the structure material. Mechanical properties mainly include the load-bearing properties, such as tensile–compressive resistance and shear stress resistance. The stability properties relate to the vibration of the structure itself, and the fatigue load relates to the fatigue life. Chemical properties mainly refer to the corrosion resistance of the structure, the high salinity of the marine environment can accelerate the chemical corrosion of steel and concrete structures [23,24,25]. As a result, the design and construction of anti-corrosion coating is a major important part in the construction process of marine engineering structures. Relevant studies and specifications have design standards for the safe service life of the corrosion protection process for structures, and also this part of the process is one of the main costs of engineering construction [26]. Therefore, the chemical performance of pile foundation structures against corrosion and other chemical properties is one of the key principles to be considered in designing scour protection schemes.
Not causing a significant impact on the marine environment of the project. Significant impact on the environment means that the erosion of the bed surface will increase, causing an increase in the range of seabed scour and a significant change in the topography, which in turn will affect the ecological environment of the surrounding sea and other possible significant impacts. Marine environmental protection has become a major consensus in the marine engineering industry and in major countries around the world. Scour protection solutions should minimize the impact on the surrounding marine environment during the whole life cycle of the construction and operation of marine projects.

3.3. Economic Principle

The construction cost of pile foundations for offshore wind power and other marine projects accounts for about 20–30% of the total cost [3], much higher than the construction cost of similar wind power pile foundations onshore. Offshore wind power and other renewable energy industry has an important economic indicator: Levelized Cost of Energy (LCOE) [9,27,28], which is an important economic indicator to guide the offshore wind power industry for engineering construction. Many latest metrics are also based on this indicator [29]. It was first proposed by the National Renewable Energy Laboratory (NREL) in 1995. The LCOE model is calculated as follows [28,30,31]:
L C O E = ( C a p E x × F C R ) + O p E x ( A E P n e t 1000 )
where L C O E is the levelized cost of energy (USD per megawatt-hour [USD/MWh]), F C R is the fixed charge rate (%), C a p E x is the capital expenditures (USD per kilowatt [USD/KW]), A E P n e t is the net average annual energy production (megawatt-hours per megawatt per year [MWh/MW/yr]), O p E x is the operational expenditures (USD/KW/yr).
Based on Equation (1), scour protection of pile structures is mainly included in the construction costs. In terms of economy, the following two principles are considered.
(1)
Achievability of the scheme. The scour protection solution should meet the existing process conditions and be able to be produced without major modifications to the production process. For some complex pile structures, it is difficult to assemble and produce them through the existing process, which requires major modifications to the production line to meet the production requirements. This will largely increase the construction cost. The authors prefer that scour protection solutions can be mass-produced through prefabricated structures for simple installation, and do not recommend more complex configurations.
(2)
Low cost of the scheme. The scour protection scheme should try to meet the requirements of having a lower cost, modular construction, being easy to apply in the project, and, compared to onshore wind power and other power generation equipment, better competitiveness, in order to meet the market requirements.
In the detailed analysis of the scour protection scheme, it is crucial to prioritize the effectiveness of the designed scheme. Once the effectiveness is ensured, the requirements outlined in principles 2.1 and 3.1 (as shown in Figure 11) should be met. With the above principles satisfied, further consideration should be given to principles 2.2 and 3.2, taking into account the specific conditions of the project and making appropriate trade-offs to achieve optimal results. If the scour protection scheme fails to meet the requirements outlined by the first three principles, it should not be implemented and is considered to be vetoed due to its inability to fulfill the necessary design criteria. This prioritization is illustrated in Figure 12. The order of priority is as follows: principle 1 takes precedence over principles 2.1 and 3.1, which, in turn, take precedence over principles 2.2 and 3.2 (principle (1) > principle (2.1, 3.1) > > principle (2.2, 3.2)).
The following section provides a detailed description of the existing scour protection schemes in the literature by focusing on the scrambled scour protection scheme. It can reduce the effect of scour by changing the characteristics of the flow field around the structure foundation and weakening the pressure difference in front of the pile due to the presence of the pile foundation structure in the flow field. There is a large amount of literature on riprap protection as the main protection measure; this paper will not go into details here. The above mentioned design principles are used to screen the scour protection schemes, and a reasonable scour protection scheme for marine engineering pile foundation structures can be selected to meet the engineering construction requirements.

4. Flow-Altering Protection Scheme

Flow-altering protection schemes achieve the effect of reducing scour by changing the flow field characteristics around the structure. The flow structure around a monoplie foundation is shown in Figure 13. We can learn more about this from Sumer et al. [32] and Roulund [33].
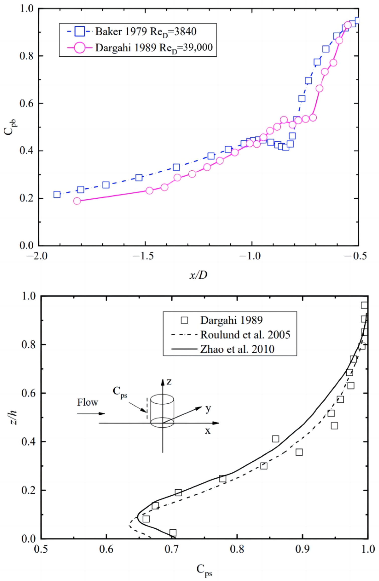
The formation of a horseshoe vortex in front of the pile requires two necessary conditions [32]: the existence of a boundary layer for the traveling water in front of the pile, and a sufficiently large reverse pressure gradient in front of the pile. On this basis, Du et al. [34,35] summarized Baker [36], Dargahi [37], Roulund [33], Zhao [38], etc., for the study of the pressure in front of the pile, and concluded that the pressure is not uniformly distributed along the water depth near the pile surface. The pressure distribution is shown in Figure 14, along the height direction of the pile [34]. This uneven pressure distribution in front of the pile causes the boundary layer separation between the flow and the pile surface, thus creating an initial horseshoe vortex that, once formed, in turn increases the pressure at the bed surface. This is the main hydrodynamic factor for local scour generation. The main function of the flow-altering protection scheme is to reduce the scouring effect by reducing the pressure difference in front of the pile.
Figure 13. Monopile foundation pile circumferential field structure (with permission from Journal of Marine Science and Engineering, 2020, open access) [33,35].
Figure 13. Monopile foundation pile circumferential field structure (with permission from Journal of Marine Science and Engineering, 2020, open access) [33,35].
Jmse 12 00660 g013
Flow-altering protection schemes can be introduced in the following four major categories, namely: (1) openings through piers, as shown in Table 1; (2) structure attachment, as shown in Table 2; (3) bed attachment, as shown in Table 3; (4) pile alteration schemes, as shown in Table 3.
The maximum scour depth reduction rate is usually used as an important indicator to determine the effectiveness of scour protection schemes, which is usually expressed by the following equation [21].
E p = d s e d s e c d s e
where E p is the maximum scour depth reduction rate, representing the scour protection effect of this scheme; d s e is the maximum scour depth without protection scheme; d s e c is the maximum scour depth after applying protection scheme.

4.1. Openings through Piers Scheme

There are three main forms of the openings through a piers scheme: internal flow-guiding tube, pile slots, and equivalent piles (group pile replacement) [21]. Table 4 shows the maximum and minimum scour reduction rate for openings through a piers scheme.
Internal flow-guiding tube scheme reduces the pressure difference generated by the current in front of the pile by cutting several holes in the pile body and guiding the current through the holes to pass through the structure, thus achieving the effect of scour resistance. Figure 15 shows a deflector structure, for which α and d represents the angle and diameter of the inner flow-guiding tube. The scour protection ability of this scheme was found to be related to the hole diameter d and the Froude number F r [21]. El-Razek et al. [39] found that this protection scheme can reduce the scour depth by a maximum of 39%. Somaye et al. [40] reduced the maximum scour depth of 37.5% by a similar arrangement. Entesar [41] found that the maximum scour depth was reduced by 45% and the scour volume was reduced by 68% by arranging the deflector tube in the pile body.
Pile slots are used to reduce the effect of scouring by opening inflow slots on the structure to guide the flow diversion through the structure and reduce the pressure in front of the structure pile, as shown in Figure 16. It is generally believed that the larger the diameter of the hole, the stronger its scouring protection [15,21,41,42,43]. Liang et al. [44] adjusted the hole size and arrangement position in the experiment, the scour depth reduction rate was always below 26.1% under the unidirectional flow and wave-current coupling conditions, thus the scour protection effect was considered less than ideal. In other experiments, the single slotting scheme only has a scour depth reduction rate less than 35%, such as the experiments of Tafarojnoruz et al. [45]. It can achieve a scour depth reduction of 35% scour protection effect in the most ideal condition when its opening diameter is maximum. The combination of pile grooving and other protection methods to form a combined protection scheme can achieve a better scour protection effect in some experiments, such as Grimaldi et al. [46], who combined the grooving method with a sand barrier to have a maximum scour depth reduction of 45%. Gaudio et al. [47] combined the grooving scheme with a horizontal plate, which could have a maximum scour depth reduction of 81.8%.
Equivalent piles are used for local scour reduction by replacing a monopile with a group pile structure of equal support capacity, as shown in Figure 17. The parameter y L represents the length of equivalent piles. Vittal et al. [48] arranged three structures at 120° instead of a monopile structure and has a scour protection capability of 39% reduction in maximum scour depth.
Oral et al. [49] investigated the use of cylindrical hexagonal arrays as equivalent pile structures, set four array densities of 0.14, 0.2, 0.32, and 0.56, and compared them with a single circular pile having the same area, as shown in Figure 18. The experimental results found that for the combination of equivalent piles with higher array densities, the scour characteristics are similar to those of individual solid cylinders, showing more of their overall scour characteristics. When the array density of the equivalent pile combination is smaller, the local scour characteristics of individual cylinders start to become obvious. In addition, the equivalent piles can reduce the maximum scour depth and scour volume compared with the same square of single cylinder. The whole column arrangement with lower density has better scour protection effect, when the array density is 0.14, as shown in Figure 19. The maximum scour depth can be reduced by 22% and the scour volume can be reduced by 27% [49]. It can be concluded that the load-bearing capacity of the support structure depends largely on its cross-sectional area, and the experimental results show that the equivalent pile structure of hexagonal array can be used as an alternative to monopile support, −1.0.

4.2. Structure Attachment

The structural attachment method achieves the effect of changing the flow field and thus reducing scour by installing accessory structures around the pile foundation and the pile body. Such protection schemes usually have specific options such as horizontal plates (also known as collars), vertical plates, vanes, pile threads, rough pile bodies, and extended foundations. Table 5 shows the maximum and minimum scour reduction rate for structural attachments scheme.
The collar schemes are divided into two main categories. One is placed above the bed surface to reduce the scour by preventing the water from diving in front of the pile. Another type is usually arranged at the bed surface or at the position where the top plate is flush with the bed surface, which generally acts directly on the bed surface to protect it from scour.
The placement height of the horizontal plate is a major factor affecting its scour protection effect. Moncada-M et al. [50] found that when the horizontal plate was arranged on the bed surface or under the bed surface, its position could effectively reduce scouring, mainly playing the effect of the horizontal plate directly protecting the bed surface. Tafarojnoruz et al. [45] found through experiments that under certain hydrodynamic environmental conditions the protection effectiveness of horizontal plates arranged above the bed surface is weaker than that of protection schemes such as sacrificial piles and pile trenching; however, horizontal plates can be easily combined with other protection schemes and applied as a supplementary scheme. Pandey et al. [86] found that the horizontal plate scheme can effectively reduce the maximum depth compared with the control group without protection scheme, and the development pattern of maximum scour depth over scouring time is consistent with the unprotected group, as shown in Figure 20. Mashahir et al. [87] concluded that, compared with the unprotected control group, the maximum depth of scour under horizontal plate protection is inconsistent with the unprotected group.
Kumar et al. [43] gave the following predictive equation for the scour protection capacity of horizontal plates:
E p = 0.057 W D 1.612 y 0 y c o l y 0 0.837 , y c o l > 0
where W is the diameter of the horizontal plate; D is the diameter of the structure; y 0 is the water depth; and y c o l is the position of the plate from the bed. Tang et al. [15] compared the experiment results of the physical model with the predicted values of the above equation, and found that the protection effect predicted by the equation had a large deviation from the actual measured values, as shown in Figure 21. The protection ability of the horizontal plate under different hydrodynamic environments is not consistent, as shown in Figure 22. This phenomenon may be related to factors such as flow velocity and sediment particle size.
When the horizontal plate is placed below a certain position on the bed, the volume of scour below the horizontal plate is very small [15,51]. When it is higher than this position, more scour will be generated below the horizontal plate. The scouring protection ability is weakened with the increase in the height of the placement position, as shown in Figure 23. Therefore, when considering the horizontal plate protection scheme, we should first consider the layout position in the horizontal plane or the area below it. For the effect of horizontal plate diameter on scour protection ability, Liang et al. [44] experimentally concluded that diameters of three times the pile diameter have better scour protection ability than those that are two times the pile diameter.
Vertical plates and vanes are another major category of structural attachments. In 1960s, researchers began to conduct research on such scour protection schemes, using flat plates and vanes to reduce the scour depth [21]. It has been suggested that such protection schemes can separate the flow around the pile structure and thus reduce the strength of the horseshoe vortex [53]. The vane scheme shown in Figure 24 can reduce the scour depth by 90% [21].
Gupta proposed a triangular vane, which placed at the bottom of the structure as shown in Figure 25. It can destroy the flow characteristics at the bottom of the structure and reduce the strength of the horseshoe vortex [54]. The experimental results of this scheme showed that the scour depth was reduced by 32% in unsteady flow and 67% in the experimental clear water velocity condition.
Aly-Mousaad et al. [11] demonstrated by the computational fluid dynamics (CFD) method that the triangular vane protection scheme can reduce the bed shear stress by about 30% under certain water flow conditions, which in turn reduces the scour volume and scour depth. The vertical plate scheme can be reduced 10–15%. The paper reveals the mechanism of the triangular vane scheme and theoretically demonstrates the feasibility of the scheme.
The structure of the vertical plate scheme is shown in Figure 26. Dey et al. [60] found that the vertical plate scheme can reduce the maximum scour depth by 61.6% on average. Khaple et al. [55] concluded that the ability of scour protection increases with the increase in vertical plate length, and this ability is independent of the sediment particle size. Khaple et al. [56] found experimentally that the vertical plate length has the best scour protection ability when it is twice the pile diameter, and the maximum scour depth is reduced by 42.4%, and the authors proved that this scheme significantly weakens the pile front vortex structure by observing the flow field. In the experiments of Gaudio et al. [47], the maximum scour depth was reduced by 25.3% when two symmetrical submerged vertical plates were placed on both sides of the pile front and combined with the sand barrier scheme. Ghorbani et al. [57] investigated the effect of the placement angle and position of the submerged vertical plate on scouring, and concluded that the best scouring protection effect was achieved when the vertical plate was set directly in front and the opening angle was 18.5°.
Increasing the pile roughness and threaded piles can be seen as one class of scour protection schemes. Ghodsian et al. [58] argued that introducing rough structures or attaching rough elements to the surface of existing structures generates minute turbulence on the surface and generates kinetic energy upstream of the jetty, thus delaying the water separation and moving the delay point downstream of the pile. As a result, the intensity of the horseshoe vortex is weakened and moved away from the riverbed. Ghodsian et al. therefore concluded that the method of roughing the surface of structures is effective in reducing the maximum depth of scour and the volume of scour. Fahmy Salah [59] experimentally evaluated the efficiency of different roughness on the surface of circular piers. The effectiveness of increasing the surface roughness of the structure in reducing the maximum scour depth and influencing the upstream slope angle of the regional scour pit was demonstrated. It was observed experimentally that roughed piers could reduce the maximum scour depth, the impact area and the scour volume reduced by 29.6%, 13.7%, and 42.52%, respectively.
Threaded piles are designed to change the flow field and reduce scour by wrapping cables around the perimeter of the pile. Dey et al. [60] first proposed this scheme, which controls the flow field around the pile and the scour around structure by using one, two, or three cables wrapped around the body of the structure. The maximum scour depth reduction under wave conditions was 46.3% when the thread diameter to pile diameter ratio was 0.1 and the thread winding angle was 15°. Izadinia et al. [61] investigated the effect of the scheme of threaded piles and the combination of threaded piles and horizontal plates on the scour depth reduction. The best protection effect was achieved when the ratio of thread diameter to pile diameter was 0.15 and the thread winding angle was 15°. The scour reduction was 12.85%. The maximum scour depth reduction was 52.85% when the combination of threaded pile and horizontal plate scheme was used for protection. In the experiment of Valentin et al. [62], the reduction in scour depth of threaded piles was 32% and 52% for coarse and fine sediments, respectively, and it was found that the scour protection was more effective for the bed of fine sediments as the thread diameter increased. Vahdati et al. [63] investigated the effect of threaded piles on scouring of group piles and found that the maximum scour depths of the front and rear piles were reduced by 46% and 12%, respectively. Threaded piles scheme had no scouring protection effect in the experiments with three downstream side-by-side piles.
Extended foundations usually extend the diameter range of the foundation. In offshore wind power and other marine projects, the foundations of structures in offshore are vulnerable to scouring. Usually gravity foundations can reduce the impact of scouring [5,92]. Chiew [42] and Coleman [93] argue that extended foundations not only increase the load-bearing capacity of structures, but also have the effect of reducing scour. Wu et al. [5] argue that the application of gravity-based foundations is usually in sea area less than 10 m water depth.
Melville et al. [64] demonstrated the effectiveness of the extended foundation scheme for scour protection by experiments and proposed that the foundation installation location Y should be below the bed surface and 0 < Y < 2.4 D , D is the pile diameter of the structure. The maximum scour depth reduction rate of the group with the best effect in their experiments was 50%. Liang et al. [44] found that the extended foundation with three times the pile diameter has better scour protection effect compared with the extended foundation with two times the pile diameter, and the maximum scour depth is reduced by 89.4% and 61%, respectively. Yao et al. [65] found that, unlike the scour development pattern under an unprotected foundation, scour development under an extended foundation starts from behind the pile and extends to the front of the pile. The extended foundation can delay the local scour development process, and no significant scour is generated at the beginning of scour initiation compared to the control group without the scour protection scheme.

4.3. Bed Attachment Scheme

The bed attachment scheme refers to the effect of changing the characteristics of the flow field around the structure and thus reducing the scouring volume by influencing the wave and current through the structures placed on the sea bed, and there are mainly the following types: sacrificial piles, deflectors, sand barriers, etc. Table 6 shows the maximum and minimum scour reduction rate for the bed attachment scheme.
Sacrificial piles are the most common scour protection scheme installed in the sea bed. See Figure 27. The effect of altering the flow field around the protected structure is achieved by installing one or more flow disturbance piles in front of or around the pile. These sacrificial piles are subject to scour erosion, creating a highly deflected flow around the structure and thus creating a low scour capacity wake behind the sacrificial piles to protect the structure behind from erosion [66,67]. Melville et al. [64] argue that the effectiveness of the sacrificial pile scheme depends on factors such as its number, size relative to the protected piles, geometric arrangement order, and characteristics of the flow field. Keshavarzi et al. [68] experimentally explored the effect of the distance between the front and rear piles on the scour of the pile foundation and found that the scour of the sacrificial piles increased with the spacing when the spacing between the two piles was 1 < L / D < 2.5 , and the maximum scour depth of the front pile was 22% greater than that of the rear pile when L / D = 2.5 . When 2.5 < L / D < 10 , Garg et al. [69] found that the protection scheme of placing a sacrificial pile in the headwater direction could reduce the maximum scour depth by 39%. The same phenomenon observed by Keshavarzi et al. [68], where violent scouring occurs near the front pile and the upstream sacrificial pile protects the downstream main pile from the direct impact of the impinging water flow. Garg et al. [69] also found in their experiments that the maximum 100% scour protection could be achieved when a horizontal plate of 3 times the pile diameter was combined with the sacrificial pile for protection. Ranjbar-Zahedani et al. [70] designed a triangular block placed in front of the pile, as shown in Figure 28, which can reduce the maximum scour depth of the post-pile by 40–60%. Tafarojnoruz et al. [45] designed a pile-rowing scheme that can reduce the maximum scour depth by 32.2%.
In addition, Li et al. [72], inspired by mangrove protection of shoreline, proposed a wrap-around skirt pile as a protection measure for monopile scour protection scheme, as shown in Figure 29. The maximum scour depth reduction rate of this method is 65%, which can reduce the sediment scour volume by 90%.
The arrangement of the deflector scheme is presented in Figure 30. The scheme operates by inducing secondary circulation in the deflector region, thereby altering the magnitude and direction of bed shear stress in the surrounding area. Consequently, the flow velocity distribution and sediment transport rate are modified. Odgaard and Kennedy [73] introduced the application of deflectors on sand beds to mitigate and control scour. Their investigations revealed that deflectors induced changes in the flow field, leading to alterations in bed shear stress magnitude and direction, subsequently influencing sediment transport patterns. Chauhan et al. [74] comprehensively elucidated the mechanism underlying deflector implementation for scour protection. They emphasized that during flood periods, bridges are susceptible to severe scour-related issues. Placing deflectors upstream of the structure generates a vortex at the rear, while downstream flow establishes a vertical shear layer. These combined effects reduce flow velocity ahead of the pile by mitigating the pressure gradient, thereby modifying sediment transport and diminishing scour.
Tafarojnoruz [21] highlighted key control parameters for the deflector scheme, including blade height ( h v ), height-to-length ratio ( h v / l v , where l v denotes blade length), and entry angle ( α v ). Lauchlan et al. [21,94] contended that when the aspect ratio h v / l v < 1 , the deflector’s influence on sediment transport surpasses its impact on the flow field, akin to sacrificial piles. Lauchlan et al. [94] further observed that the most effective scour protection is achieved with h v / l v > 1 , resulting in a 34 % reduction in maximum scour depth and a 50% decrease in scour volume. Tafarojnoruz [21] concluded, based on extensive experiments, that the deflector can reduce maximum scour depth by 50% under both clear water and dynamic bed scour conditions. Ghorbani et al. [57] demonstrated that flow velocity oscillations and dynamic bed scour diminish the deflector scheme’s scour protection capabilities and overall effectiveness. In their comparative analysis, Ghorbani et al. found that the double-bladed deflector outperformed the single-bladed deflector in reducing scour. Vaghefi et al. [75,76] substantiated the scour protection effect of deflectors through experimental investigations in river bend sections. For group pile structures comprising three piles, the maximum scour depth was reduced by 35%. In single pile experiments, the maximum scour depth diminished by 46%, thus illustrating the deflector’s effectiveness in large river bends.
Sand barriers are commonly employed in river management to prevent the undercutting of river beds. By limiting sediment transport, they effectively influence bed dynamics and reduce scour [77,78,79]. Grimaldi et al. [80] implemented a sand barrier downstream of a pile structure to control scour under constant flow conditions, as illustrated in Figure 31. The most significant reduction in scour depth, amounting to 26%, was achieved when the sand barrier was placed immediately downstream of the pile structure. However, arranging the sand barrier at a position of 0.5D downstream of the pile structure resulted in reductions of over 80% in both scouring range and volume of scoured sediment, demonstrating the most comprehensive effectiveness. Liang et al. [44] conducted experiments involving current and unidirectional wave conditions, yielding scour depth reduction rates ( E p ) of 42.6% and 13.6%, respectively, compared to a control group without any protection scheme. Tafarojnoruz et al. [45] observed a maximum scour depth reduction rate ( E p ) of 17.2% for a sand barrier scheme under the influence of current. According to the existing literature [45,80,81,82], it is generally believed that placing the sand barrier in close proximity to the downstream surface of the pile structure effectively reduces scour behind the pile, while the presence of scour behind the sand barrier is not prominent. Aysar [81] experimentally concluded that the relative position of the sand barrier behind the pile structure plays a crucial role in reducing scour depth and is a significant factor affecting scour protection capacity. The best protection effect is achieved when the relative position ( L b / D ) is 0 to 0.32 times the pile diameter behind the pile. For relative flow velocities ( V / V c ) of 0.48, 0.64, 0.8, and 0.96, the scour reduction rates are 16%, 30%, 23%, and 28% when L b / D = 0 , and 12%, 28%, 17%, and 25% when L b / D = 0.32 , respectively. The flow rate also influences the scour protection effectiveness of the sand barrier scheme.
The sand barrier can be used in combination with other forms of scour protection schemes [79]. In the experiments of Gaudio et al. [47], the best scour reduction rate is 25.3% for the combined scheme of sand barrier and deflector blade and the reduction is 63.3% for the combined scheme with horizontal plate. The authors concluded that there is an improvement compared with the maximum scour depth reduction rate of 17.2% in the Tafarojnoruz et al. [45] experiment.

4.4. Pile Alteration Scheme

The pile alteration scheme is mainly used to reduce the obstruction of incoming flow by changing the shape of the structure or the foundation of the structure. It can reduce the flow velocity and pressure in the local area of high flow velocity and high pressure, to reduce the bed shear stress, and thus to achieve the effect of reducing scouring.
Al-Shukur et al. [83] illustrated the effect of pile type change on local scouring, as shown in Figure 32. In the experiment, the structure with rectangular pile type has the largest local scour depth, and the maximum scour depth is larger in comparison with other pile types at three different velocity. The structure with cylindrical pile type also has a larger scour depth, and the structure with streamlined pile type has the smallest maximum scour depth, indicating that pile type change can make the structure with a better scour protection effect. In the experiment of Farooq et al. [84], the maximum scour depths of six pile-type structures were compared, and it was found that the maximum scour depths of round, diamond, pointed-nose, octagonal, and elliptical structures were reduced by 17.7%, 22.4%, 10.4%, and 15.1%, respectively, compared with those of rectangular pile-type structures. Consistent conclusions were also reached in the experiments of Baranwal et al. [85].
Aly et al. [11] designed a streamlined extended foundation as shown in Figure 33. Aly et al. calculated the different hydrodynamic characteristics of the circular and streamlined foundations at the same inlet velocity by means of computational fluid dynamics (CFD). The results show that the near-bottom shear stress around the pile perimeter of the cylindrical structure is about 1 Pa and the flow velocity is 0.5 m/s, while the near-bottom shear stress around the pile perimeter of the streamlined foundation is 0.8 Pa and the flow velocity is 0.45 m/s. Compared with the streamlined foundation, the shear stress of the cylindrical foundation is greater and the flow velocity is smaller. The authors concluded that under the shear stress, the cylindrical structure is more prone to sediment initiation and transport in the 45° angle direction on both sides, while in contrast for the streamlined foundation, only sediment with smaller particle size can be eroded and transported along the streamlined foundation. Aly et al. [11] concluded that this can prove that streamlined foundations have better scour protection effect compared to cylindrical foundations.
For multi-pile bearing structures, it has been found that changing the relative position of the bearing can achieve the effect of scour protection. Yang et al. [95] found that in this type of pile foundation structure, burying the bearing-structure under the bed would have a better scour protection effect. The scour pattern of this form of group pile structure depends strongly on the flow type, with different erosion topography under wave–flow coaction, pure current action and pure wave action, and the scour intensity under wave–flow coaction and current action is greater than that under wave action. Under wave action, the scour of this multi-pile bearing is influenced by the angle of incoming flow, which causes a larger scour range when the incoming flow faces the sharp angle of the bearing.

5. Bed-Reinforced Scour Protection Scheme

The bed-strengthening scheme is the most common method to reduce local scour [96], mainly riprap, cement strengthening [97], bionic grass [98], etc. Riprap protection is most widely used. Tang et al. [15] studied the role of riprap protection from three aspects, such as the failure mechanism of riprap protection scheme, the selection of riprap size and quantitative damage analysis.
It is generally believed that the damage failure of the riprap protection scheme occurs under dynamic bed conditions [99]. When the bed as a whole is scoured by the moving bed, the overall change of the bed topography will destroy the structure of the riprap layer and cause the overall damage of the riprap protection. When the relative flow velocity V / V c > 0.35 , smaller rocks can undergo shear damage, causing the local destabilization of the riprap protection layer [99,100]. Compared with rigid materials such as horizontal plates, the deposits in the interstices of riprap protection are more susceptible to erosion by water flow and affect the effect of scour protection, in which the horseshoe vortex plays a major role [15,101,102]. Nielsen et al. [102] considered the flow velocity of water in the pore space and concluded that the vortex formed by the water in the pore space causes erosion of sediment.
The design scheme of riprap protection mainly considers the size range, thickness, and placement depth of the riprap layer [15,103]. Chiew [104] assumes that the rock is coarse sediment and applies the flow rate at which the round pile jetty begins to scour as the threshold velocity and V / V c > 0.3 as the design criterion for the minimum shear damage size. Croad et al. [105] proposed a formula for calculating the throw size based on experimental studies and previous experimental data. De Vos et al. [106] proposed a formula for calculating the throw size required for scour protection of monopile structures under the action of combined waves and currents as follows:
τ c r , p r e d = 83 + 3.569 τ c + 0.765 τ w
where τ c r , p r e d is the critical initiating shear stress for riprap protection design; τ c and τ w are the bed shear stresses due to current and wave breaking action, respectively. All parameters in the equation are in N / m 2 . Equation (4) relates the critical shear stress τ c r , p r e d required for riprap protection design to the bed shear stresses induced by currents and waves, and the riprap size is designed by the required bed shear stress. The authors conclude that the required stone size can be significantly reduced and the design solution is more cost effective when compared with the equation for the typical case in the European North Sea waters. In the second part of the paper the authors consider the optimization of the design process by allowing finite motion of the top stone [107].
Melville and Coleman [99] proposed a quantitative equation for the design of riprap protection rock sizes:
d r 50 y 0 = A S s 1 α F r β
where y 0 is the average flow depth; S s is the gravity of the riprap layer; F r is the Froude number of flow; and A, α , b are coefficients.
Lauchlan and Melville [100] tested the effect of riprap placement depth on scour and found that when the riprap layer is located below the bed surface, it can effectively reduce the local scour depth and has better scour protection.
In addition, the pore grouting reinforcement of thrown rock layers [108,109], the analysis of differences between large and small experiments [110], with other kinds of filling materials [111,112,113,114] is also studied.

6. Main Problems on Scour Protection Countermeasure

The main problems of scour protection scheme research in the literature are the reliability of the scour protection scheme and inconsistency of the experimental environment of various scour protection scheme-related research, the difficulty of horizontal comparison, the large variance of maximum scour depth reduction rate of important indexes, etc. At present, the relevant research on scour protection schemes should start from the following aspects:
1. Reliability of the scour protection scheme. Reliability refers to the lack of field data on scour and scour protection schemes [115], and field data are especially important for the study of scour protection schemes, especially the effect of the flooding period. Some papers show that during floods, when the pile becomes submerged or when the flow is relatively deep, countermeasures may not properly reduce scour hole [116,117]. Many researchers believe that the actual marine environment has large differences from the laboratory simulation environment, and some factors cannot be considered by model tests.
2. Consistency of comparison of various protection schemes. Due to the inconsistent hydrodynamic environment and bed conditions of various types of studies in the literature, as shown in Figure 34, experiments in different studies were conducted at different experimental sites and environments [15]. The experimental environment lacked consistency. Therefore, it is difficult to make a cross-sectional comparison between different types of scour protection schemes, and the maximum scour depth reduction rate of similar scour protection schemes has a large variance. It is necessary to consider examining the magnitude of scour reduction capacity of each scour protection scheme under consistent environmental conditions.
3. Protection ( E p ) -flow rate ( U / U c ) curve. Through the above part of the study, we found that the main problems of the current research in the category of scour protection schemes for marine engineering structures are that the maximum scour depth reduction rate E p has a large variance under different hydrodynamic conditions, and the flow velocity is the most important factor affecting E p . Since similar scour protection schemes have large variance, the authors expect that the maximum scour depth reduction rate is related to the flow velocity as a function of the protection ( E p ) -flow velocity ( U / U c ) curve, which is more essential feature to reflect the protection ability of scour protection schemes. The maximum scour depth reduction rate may increase and then decrease with the increase in flow velocity. There is a scour reduction rate E p m i n under the most unfavorable conditions in the dynamic bed, or it may fail directly and cannot play the role of scour protection. E p m i n is an important parameter to be considered in the design and selection of scour protection scheme.

7. Applicability Analysis of Scour Protection Schemes

The applicability of different types of scour protection schemes summarized in Section 4 and Section 5 is analyzed, based on the design principles of scour protection schemes for marine engineering pile foundation structures given in Section 2. The applicability of the protection schemes is shown in Table 7.
The openings through a piers scheme includes equivalent pile, pile slots, and flow-guiding tube scheme. In practical engineering applications, the openings significantly reduce the strength of the pile from the view point of structural capacity against forces. The equivalent pile scheme has good application prospects and needs to focus on the structure capacity of the pile foundation. Its protection design concept is close to the design principle of inherent safety, which can make it less prone to failure under extreme hydrodynamic conditions and satisfy the principles of independence and economy. It has the ability to protect against scour without destroying other safety properties of the pile foundation. The flow-guiding tube scheme is not suitable for steel pile foundations in offshore projects. The flow guiding tube scheme can affect the corrosion resistance of the pile foundation structure, shorten the safety service life. Steel pile foundations have a hollow structure inside and are susceptible to seawater corrosion in a dynamic marine environment. It requires a dense layer of corrosion-resistant material to be applied to the outer layer of the steel structure to ensure the safety service life. The safety service life usually exceeds 20 years. The pile slots significantly affects the mechanical properties of the structure. It has greater impact on the tensile and shear strength of the structure and directly affects the strength of the structure. Partial studies have suggested that during flood events, the implementation of slots does not demonstrate effective mitigation of local scour [117]. In the actual engineering application, the pile slot scheme rarely appears.
Structural attachment schemes include horizontal plates, vertical plates, vanes, threaded piles, roughed pile bodies, and extended foundations. The horizontal plate protection scheme has been extensively studied. By manipulating bypass flow and fortifying the bed layer, it achieves scour protection independently from the pile foundation structure itself, preserving structural performance while minimizing environmental impact. This scheme boasts advantages such as simplicity in construction, easy installation, and adherence to economic principles. Notably, several projects have already successfully implemented the horizontal plate scheme. The vertical plate scheme bears resemblance to the horizontal plate structure and is affixed to the structure through attachment methods. It can be manufactured and installed using prefabrication techniques, offering a straightforward design with low economic costs. The primary function of vertical plates is to disrupt the horseshoe vortex structure around the object, thereby reducing hydrodynamic factors that contribute to foundation scouring. As a result, it minimizes the environmental impact, reducing the likelihood of extensive scouring and broader ecological changes.
Vanes are installed on the pile body and attached to the bottom of the pile foundation. The implementation of vanes inside offshore zones may be impossible, since the water body may prevent the correct construction of near-bed structures. The attachment of vanes to the pile body necessitates comprehensive structural construction to ensure their stable installation, preventing damage or detachment. This approach increases construction costs and difficulties, deviating from the principle of economy. Threaded piles and roughed piles significantly diminish the utility of anti-corrosion materials for the pile body, consequently compromising the service life of anti-corrosion coatings. Threaded piles and roughed piles schemes escalate construction costs, conflicting with the principles of independence and economy. The extended foundation solution, exemplified by gravity foundations, has matured and found extensive application in numerous projects. It has evolved into a suitable pile foundation structure for offshore applications, satisfying the design principles of independence and economy.
The bed attachments represented by sacrificial piles, deflectors, sand barriers, etc., achieve the effect of changing the flow field around the pile and thus reducing scour through the structures placed on the bed. The impact of these scour protection schemes is mainly on the marine environment around the pile structure. The sacrificial piles and deflectors scheme expand the scour volume and scour range around the pile structure, which needs to be considered in the project.
The pile alteration schemes need to consider the applicability of the pile shape and should meet the economic principle of easy construction. Some of the pile foundation structure shapes such as long streamlined cylinders have been widely used in practical projects such as cross-sea bridges, while some of the pile shapes in the literature are difficult to build and implement.
Riprap protection, as the most widely used scour protection solution, does not affect the basic performance of the pile foundation structures. It can satisfy the principles of independence and economy. Destabilization of riprap layers by the progression of bed forms past the pier is the dominantfailure mode under live-bed conditions. Edge, shear, and winnowing mechanisms play secondary roles. Relevant design empirical formulas can be applied for the design of riprap protection schemes. Combining turbulence-inducing protective measures with riprap protection can mitigate the occurrence of riprap failure [100,120].
Under the condition of satisfying the above design principles, the scour protection schemes such as equivalent pile, horizontal plate, vertical plate, extended foundation, riprap protection, part of bed attachment, part of pile type, etc., could be selected to focus on the scour protection effectiveness of the scheme. The scour protection scheme that can meet the engineering needs and is applicable to the actual offshore environment shall be selected from the above schemes.

8. Summary and Outlook

This paper introduces the current situation of research and use of scour protection countermeasures for offshore pile foundation structures and puts forward the design principles of scour protection programs for offshore engineering pile foundation structures. Combined with the characteristics of existing scour protection schemes, this paper elaborates on the classification of scour protection schemes for offshore pile foundation structures according to the mechanism of action and analyzes the engineering applicability of scour protection schemes. Through the analysis, it is proposed that under the condition of meeting the design principles of scour protection schemes, the effectiveness of scour protection schemes such as equivalent piles, horizontal plates, vertical plates, extended foundation, slope protection, local bed attachment, and local pile type should be selected for critical research.
It is particularly important to construct an evaluation method for the effectiveness of scour protection schemes for marine engineering structures in future research. At present, there is no method for evaluating the effectiveness of scour protection schemes in the literature. For the scour protection scheme, the evaluation method should be reflected in the following aspects:
(1)
Screening by the principles of scour protection scheme design;
(2)
Making the reduction rate ( E p ) -flow velocity ( U / U c ) curve for this protection scheme and finding the maximum scour depth reduction rate ( E p ) under the most unfavorable conditions;
(3)
Enhancement factor K for the effectiveness of combined protection of flow-altering protection schemes and bed-reinforcement schemes, compared to bed-reinforcement schemes alone;
(4)
Generalization study of scour protection schemes. Scour protection schemes can be applied to a wide range of marine engineering structures and hydrodynamic environments.

Author Contributions

Conceptualization, D.G. and X.P.; methodology, D.G.; software, D.G.; validation, B.L., B.Y. and G.W.; investigation, D.G.; resources, X.P. and B.L.; data curation, Z.W.; writing—original draft preparation, D.G.; writing—review and editing, X.P.; funding acquisition, X.P. and B.L. All authors have read and agreed to the published version of the manuscript.

Funding

This research was funded by The National Key Research and Development Program of China (Grant No. 2021YFB2601100).

Institutional Review Board Statement

Not applicable.

Informed Consent Statement

Not applicable.

Data Availability Statement

Data are contained within the paper.

Conflicts of Interest

The authors declare no conflicts of interest.

References

  1. Timilsina, G.R.; Cornelis van Kooten, G.; Narbel, P.A. Global wind power development: Economics and policies. Energy Policy 2013, 61, 642–652. [Google Scholar] [CrossRef]
  2. Abbasi, T.; Premalatha, M.; Abbasi, T.; Abbasi, S. Wind energy: Increasing deployment, rising environmental concerns. Renew. Sustain. Energy Rev. 2014, 31, 270–288. [Google Scholar] [CrossRef]
  3. Shi, P.; Offshore wind power development foundation selection first. Wind Energy 2020, 1–12. Available online: http://www.cwea.org.cn/magazine_down_2020.html (accessed on 9 January 2024). (In Chinese).
  4. Blanco, M.I. The economics of wind energy. Renew. Sustain. Energy Rev. 2009, 13, 1372–1382. [Google Scholar] [CrossRef]
  5. Wu, X.; Hu, Y.; Li, Y.; Yang, J.; Duan, L.; Wang, T.; Adcock, T.; Jiang, Z.; Gao, Z.; Lin, Z.; et al. Foundations of offshore wind turbines: A review. Renew. Sustain. Energy Rev. 2019, 104, 379–393. [Google Scholar] [CrossRef]
  6. Transcript of China National Energy Administration’s Q3 2023 Online Press Conference. 2023. Available online: http://www.nea.gov.cn/2023-07/31/c_1310734825.htm (accessed on 9 January 2024).
  7. Xinhua News Agency: Renewable Energy Installed Capacity Exceeded 1.3 Billion Kilowatts in the First Half of the Year, Historically Exceeding Coal Power. 2023. Available online: http://www.news.cn/2023-08/01/c_1212250771.htm (accessed on 9 January 2024).
  8. BloombergNEF: China’s Goldwind Retains Turbine Supplier Lead, as Global Wind Additions Hit New High. 2024. Available online: https://about.bnef.com/blog/chinas-goldwind-retains-turbine-supplier-lead-as-global-wind-additions-hit-new-high-according-to-bloombergnef/ (accessed on 1 April 2024).
  9. Stehly, T.; Duffy, P. 2021 Cost of Wind Energy Review. 2022. Available online: https://www.osti.gov/biblio/1907623/ (accessed on 1 April 2024).
  10. Morthorst, P.; Kitzing, L. 2—Economics of building and operating offshore wind farms. In Offshore Wind Farms; Woodhead Publishing: Cambridge, UK, 2016; pp. 9–27. [Google Scholar] [CrossRef]
  11. Aly, A.M.; Dougherty, E. Bridge pier geometry effects on local scour potential: A comparative study. Ocean Eng. 2021, 234, 109326. [Google Scholar] [CrossRef]
  12. Wang, X.; Lin, P.; Wang, H. Dynamic characteristics and online monitoring of offshore wind power foundation erosion. J. Tsinghua Univ. (Nat. Sci. Ed.), 2023. (In Chinese) [Google Scholar] [CrossRef]
  13. Qiu, X. Research on Swiping Measurement and Reinforcement Technology of Large-Diameter Single Pile Foundation of Offshore Wind Power; Technical Report; Clean Enengy Research Institute, China Huaneng Group Co. Ltd.: Beijing, China, 2023. [Google Scholar]
  14. He, Y. Preliminary Study on the Interaction between Water-Sediment Processes and River Ecological Environment. Ph.D. Thesis, Wuhan University, Wuhan, China, 2006. [Google Scholar]
  15. Tang, Z.; Melville, B.; Singhal, N.; Shamseldin, A.; Hai Zheng, J.; Wei Guan, D.; Cheng, L. Countermeasures for local scour at offshore wind turbine monopile foundations: A review. Water Sci. Eng. 2022, 15, 15–28. [Google Scholar] [CrossRef]
  16. Jun, H. Analysis of the basic characteristics of offshore wind power and its applicability in China’s waters. Wind Energy 2020, 10, 36–40. (In Chinese) [Google Scholar] [CrossRef]
  17. Bhattacharya, S. Overview of a Wind Farm and Wind Turbine Structure. In Design of Foundations for Offshore Wind Turbines; John Wiley & Sons Ltd.: Hoboken, NJ, USA, 2019; Chapter 1; pp. 1–50. [Google Scholar] [CrossRef]
  18. O’Kelly, B.; Arshad, M. 20—Offshore wind turbine foundations—Analysis and design. In Offshore Wind Farms; Woodhead Publishing: Cambridge, UK, 2016; pp. 589–610. [Google Scholar] [CrossRef]
  19. Malhotra, S. Design and Construction Considerations for Offshore Wind Turbine Foundations in North America. In Proceedings of the ASME 2007 26th International Conference on Offshore Mechanics and Arctic Engineering, San Diego, CA, USA, 10–15 June 2007; Volume 24, pp. 1533–1542. [Google Scholar] [CrossRef]
  20. Malhotra, S. Selection, Design and Construction of Offshore Wind Turbine Foundations. In Wind Turbines; IntechOpen: Rijeka, Croatia, 2011. [Google Scholar] [CrossRef]
  21. Tafarojnoruz, A.; Gaudio, R.; Dey, S. Flow-altering countermeasures against scour at bridge piers: A review. J. Hydraul. Res. 2010, 48, 441–452. [Google Scholar] [CrossRef]
  22. Chen, J.; Qu, Y.; Sun, Z. Protection mechanisms, countermeasures, assessments and prospects of local scour for cross-sea bridge foundation: A review. Ocean Eng. 2023, 288, 116145. [Google Scholar] [CrossRef]
  23. Price, S.J.; Figueira, R.B. Corrosion Protection Systems and Fatigue Corrosion in Offshore Wind Structures: Current Status and Future Perspectives. Coatings 2017, 7, 25. [Google Scholar] [CrossRef]
  24. Momber, A.; Plagemann, P.; Stenzel, V. Performance and integrity of protective coating systems for offshore wind power structures after three years under offshore site conditions. Renew. Energy 2015, 74, 606–617. [Google Scholar] [CrossRef]
  25. Momber, A.; Plagemann, P.; Stenzel, V. The adhesion of corrosion protection coating systems for offshore wind power constructions after three years under offshore exposure. Int. J. Adhes. Adhes. 2016, 65, 96–101. [Google Scholar] [CrossRef]
  26. Momber, A. Quantitative performance assessment of corrosion protection systems for offshore wind power transmission platforms. Renew. Energy 2016, 94, 314–327. [Google Scholar] [CrossRef]
  27. Loth, E.; Qin, C.; Simpson, J.G.; Dykes, K. Why we must move beyond LCOE for renewable energy design. Adv. Appl. Energy 2022, 8, 100112. [Google Scholar] [CrossRef]
  28. Bruck, M.; Sandborn, P. Pricing bundled renewable energy credits using a modified LCOE for power purchase agreements. Renew. Energy 2021, 170, 224–235. [Google Scholar] [CrossRef]
  29. Vanegas-Cantarero, M.M.; Pennock, S.; Bloise-Thomaz, T.; Jeffrey, H.; Dickson, M.J. Beyond LCOE: A multi-criteria evaluation framework for offshore renewable energy projects. Renew. Sustain. Energy Rev. 2022, 161, 112307. [Google Scholar] [CrossRef]
  30. Aquila, G.; Nakamura, W.T.; Junior, P.R.; Souza Rocha, L.C.; de Oliveira Pamplona, E. Perspectives under uncertainties and risk in wind farms investments based on Omega-LCOE approach: An analysis in São Paulo state, Brazil. Renew. Sustain. Energy Rev. 2021, 141, 110805. [Google Scholar] [CrossRef]
  31. Filimonova, I.; Kozhevin, V.; Provornaya, I.; Komarova, A.; Nemov, V. Green energy through the LCOE indicator. Energy Rep. 2022, 8, 887–893. [Google Scholar] [CrossRef]
  32. Sumer, B.; Fredsoe, J. The Mechanics of Scour in the Marine Environment; World Scientific: Singapore, 2002; Volume 17. [Google Scholar] [CrossRef]
  33. Roulund, A.; Sumer, B.M.; Fredsøe, J.; Michelsen, J. Numerical and experimental investigation of flow and scour around a circular pile. J. Fluid Mech. 2005, 534, 351–401. [Google Scholar] [CrossRef]
  34. Du, S. Study on the Local Scour Pattern of Monopiles under Water under the Action of Wave Flow. Ph.D. Thesis, Ocean University of China, Qingdao, China, 2020. (In Chinese). [Google Scholar]
  35. Liang, B.; Du, S.; Pan, X.; Zhang, L. Local Scour for Vertical Piles in Steady Currents: Review of Mechanisms, Influencing Factors and Empirical Equations. J. Mar. Sci. Eng. 2020, 8, 4. [Google Scholar] [CrossRef]
  36. Baker, C. The laminar horseshoe vortex. J. Fluid Mech. 1979, 95, 347–367. [Google Scholar] [CrossRef]
  37. Dargahi, B. The turbulent flow field around a circular cylinder. Exp. Fluids 1989, 8, 1–12. [Google Scholar] [CrossRef]
  38. Zhao, M.; Cheng, L.; Zang, Z. Experimental and numerical investigation of local scour around a submerged vertical circular cylinder in steady currents. Coast. Eng. 2010, 57, 709–721. [Google Scholar] [CrossRef]
  39. Abd El-Razek, M.; Kassem, M.; Bayoumy, M. Scour reduction around bridge piers using internal openings through the pier. Alex. Eng. J. 2003, 42, 241–248. [Google Scholar]
  40. Soltani-Gerdefaramarzi, S.; Afzalimehr, H.; Chiew, Y.M.; Lai, J. Jets to control scour around circular bridge piers. Can. J. Civ. Eng. 2013, 40, 204–212. [Google Scholar] [CrossRef]
  41. EL-Ghorab, E.A. Reduction of scour around bridge piers using a modified method for vortex reduction. Alex. Eng. J. 2013, 52, 467–478. [Google Scholar] [CrossRef]
  42. Chiew, Y. Scour Protection at Bridge Piers. J. Hydraul. Eng. 1992, 118, 1260–1269. [Google Scholar] [CrossRef]
  43. Kumar, V.; Raju, K.G.R.; Vittal, N. Reduction of Local Scour around Bridge Piers Using Slots and Collars. J. Hydraul. Eng. 1999, 125, 1302–1305. [Google Scholar] [CrossRef]
  44. Liang, S.; Zhang, Y.; Yang, J. An experimental study on pile scour mitigating measures under waves and currents. Sci. China Technol. Sci. 2015, 58, 1031–1045. [Google Scholar] [CrossRef]
  45. Tafarojnoruz, A.; Gaudio, R.; Calomino, F. Evaluation of Flow-Altering Countermeasures against Bridge Pier Scour. J. Hydraul. Eng. 2012, 138, 297–305. [Google Scholar] [CrossRef]
  46. Grimaldi, C.; Gaudio, R.; Calomino, F.; Cardoso, A.H. Countermeasures against Local Scouring at Bridge Piers: Slot and Combined System of Slot and Bed Sill. J. Hydraul. Eng. 2009, 135, 425–431. [Google Scholar] [CrossRef]
  47. Gaudio, R.; Tafarojnoruz, A.; Calomino, F. Combined flow-altering countermeasures against bridge pier scour. J. Hydraul. Res. 2012, 50, 35–43. [Google Scholar] [CrossRef]
  48. Vittal, N.; Kothyari, U.C.; Haghighat, M. Clear-Water Scour around Bridge Pier Group. J. Hydraul. Eng. 1994, 120, 1309–1318. [Google Scholar] [CrossRef]
  49. Yagci, O.; Yildirim, I.; Celik, M.F.; Kitsikoudis, V.; Duran, Z.; Kirca, V.O. Clear water scour around a finite array of cylinders. Appl. Ocean Res. 2017, 68, 114–129. [Google Scholar] [CrossRef]
  50. Moncada-M, A.T.; Aguirre-Pe, J.; Bolívar, J.; Flores, E. Scour protection of circular bridge piers with collars and slots. J. Hydraul. Res. 2009, 47, 119–126. [Google Scholar] [CrossRef]
  51. Tang, Z.; Melville, B.; Shamseldin, A.; Guan, D.; Singhal, N.; Yao, Z. Experimental study of collar protection for local scour reduction around offshore wind turbine monopile foundations. Coast. Eng. 2023, 183, 104324. [Google Scholar] [CrossRef]
  52. Jahangirzadeh, A.; Basser, H.; Akib, S.; Karami, H.; Naji, S.; Shamshirband, S. Experimental and Numerical Investigation of the Effect of Different Shapes of Collars on the Reduction of Scour around a Single Bridge Pier. PLoS ONE 2014, 9, e98592. [Google Scholar] [CrossRef]
  53. Parker, G.; Toro-Escobar, C.; Voigt, R.L.J. Countermeasures to Protect Bridge Piers from Scour; Technical Report; St. Anthony Falls Laboratory: Minneapolis, MN, USA, 1998. [Google Scholar]
  54. Gupta, A. Hydrodynamic modification of the horseshoe vortex at a vertical pier junction with ground. Phys. Fluids 1987, 30, 1213–1215. [Google Scholar] [CrossRef]
  55. Pourzaker Arabani, A.; Hajikandi, H. Reduction of Local Scour Around A Bridge Pier Using Triple Rectangular Plates. Curr. World Environ. 2015, 10, 47–55. [Google Scholar] [CrossRef]
  56. Khaple, S.; Hanmaiahgari, P.; Gaudio, R.; Dey, S. Splitter Plate as a Flow-Altering Pier Scour Countermeasure. Acta Geophys. 2017, 65. [Google Scholar] [CrossRef]
  57. Ghorbani, B.; Kells, J. Effect of submerged vanes on the scour occurring at a cylindrical pier. J. Hydraul. Res. 2008, 46, 610–619. [Google Scholar] [CrossRef]
  58. Ghodsian, M.; Vaghefi, M. Experimental study on scour and flow field in a scour hole around a T-shape spur dike in a 90° bend. Int. J. Sediment Res. 2009, 24, 145–158. [Google Scholar] [CrossRef]
  59. Abdelhaleem, F.S.F. Roughened bridge piers as a scour countermeasure under clear water conditions. ISH J. Hydraul. Eng. 2019, 25, 94–103. [Google Scholar] [CrossRef]
  60. Dey, S.; Sumer, B.M.; Fredsøe, J. Control of Scour at Vertical Circular Piles under Waves and Current. J. Hydraul. Eng. 2006, 132, 270–279. [Google Scholar] [CrossRef]
  61. Izadinia, E.; Heidarpour, M. Simultaneous use of cable and collar to prevent local scouring around bridge pier. Int. J. Sediment Res. 2012, 27, 394–401. [Google Scholar] [CrossRef]
  62. Muhawenimana, V.; Foad, N.; Ouro, P.; Wilson, C. Local Scour Patterns around a Bridge Pier with Cable-Wrapping. Fluids 2022, 8, 3. [Google Scholar] [CrossRef]
  63. Vahdati, V.; Torabipour, A.; Correia, J.; Fazeres Ferradosa, T.; Taveira-Pinto, F. Combined solutions to reduce scour around complex foundations: An experimental study. Mar. Syst. Ocean Technol. 2019, 15, 81–93. [Google Scholar] [CrossRef]
  64. Melville, B.W.; Raudkivi, A.J. Effects of Foundation Geometry on Bridge Pier Scour. J. Hydraul. Eng. 1996, 122, 203–209. [Google Scholar] [CrossRef]
  65. Yao, W.; Draper, S.; An, H.; Cheng, L.; Harris, J.M.; Whitehouse, R.J. Effect of a skirted mudmat foundation on local scour around a submerged structure. Ocean Eng. 2020, 218, 108127. [Google Scholar] [CrossRef]
  66. Haque, A.; Rahman, M.; Islam, G.M.T.; Hussain, M. Scour mitigation at bridge piers using sacrificial piles. Int. J. Sediment Res. 2007, 22, 49–59. [Google Scholar]
  67. Chiew, Y.; Lim, S. Protection of bridge piers using a sacrificial sill. Proc. Inst. Civ. Eng. Water Marit. Eng. 2003, 156, 53–62. [Google Scholar] [CrossRef]
  68. Keshavarzi, A.; Shrestha, C.; Melville, B.; Khabbaz, H.; Ranjbar Zahedani, M.; Ball, J. Estimation of maximum scour depths at upstream of front and rear piers for two in-line circular columns. Environ. Fluid Mech. 2018, 18, 537–550. [Google Scholar] [CrossRef]
  69. Garg, V.; Setia, B.; Singh, V.; Kumar, A. Scour protection around bridge pier and two-piers-in-tandem arrangement. ISH J. Hydraul. Eng. 2022, 28, 251–263. [Google Scholar] [CrossRef]
  70. Ranjbar-Zahedani, M.; Keshavarzi, A.; Khabbaz, H.; Ball, J.E. Optimizing flow diversion structure as an effective pier-scour countermeasure. J. Hydraul. Res. 2021, 59, 963–976. [Google Scholar] [CrossRef]
  71. Ranjbar Zahedani, M.; Keshavarzi, A.; Khabbaz, H.; Ball, J. Protecting bridge pier against local scour using flow diversion structure. Proc. Inst. Civ. Eng. Water Manag. 2018, 171, 1–26. [Google Scholar] [CrossRef]
  72. Li, X.; van Paassen, L.; Tao, J. Investigation of using mangrove-inspired skirt pile group as a scour countermeasure. Ocean Eng. 2022, 266, 113133. [Google Scholar] [CrossRef]
  73. Odgaard, A.J.; Kennedy, J.F. River-Bend Bank Protection by Submerged Vanes. J. Hydraul. Eng. 1983, 109, 1161–1173. [Google Scholar] [CrossRef]
  74. Chauhan, V.; Singhal, G.D.; Chavan, R. A review of sediment deflection in rivers using submerged vanes. ISH J. Hydraul. Eng. 2022, 29, 1–17. [Google Scholar] [CrossRef]
  75. Zarei, E.; Vaghefi, M.; Hashemi, S.S. Bed topography variations in bend by simultaneous installation of submerged vanes and single bridge pier. Arab. J. Geosci. 2019, 12, 178. [Google Scholar] [CrossRef]
  76. Safaripour, N.; Vaghefi, M.; Mahmoudi, A. Experimental study of the effect of submergence ratio of double submerged vanes on topography alterations and temporal evaluation of the maximum scour in a 180-degree bend with a bridge pier group. Int. J. River Basin Manag. 2022, 20, 427–441. [Google Scholar] [CrossRef]
  77. Guan, D.; Melville, B.W.; Friedrich, H. Flow Patterns and Turbulence Structures in a Scour Hole Downstream of a Submerged Weir. J. Hydraul. Eng. 2014, 140, 68–76. [Google Scholar] [CrossRef]
  78. Hamidifar, H.; Nasrabadi, M.; Omid, M. Using a bed sill as a scour countermeasure downstream of an apron. Ain Shams Eng. J. 2018, 9, 1663–1669. [Google Scholar] [CrossRef]
  79. Esmaeili Varaki, M.; Tavazo, N.; Radice, A. Using a Bed Sill as a Countermeasure for Clear-Water Scour at a Complex Pier with Inclined Columns Footed on Capped Piles. Hydrology 2022, 9, 65. [Google Scholar] [CrossRef]
  80. Grimaldi, C.; Gaudio, R.; Calomino, F.; Cardoso, A.H. Control of Scour at Bridge Piers by a Downstream Bed Sill. J. Hydraul. Eng. 2009, 135, 13–21. [Google Scholar] [CrossRef]
  81. Al-Awadi, A.T. Aspects of Downstream Bed Sill Location for Investigating the Countermeasure with Local Scour around Cylindrical Bridge Piers. Smart Sci. 2021, 9, 113–120. [Google Scholar] [CrossRef]
  82. Pagliara, S.; Carnacina, I.; Cigni, F. Sills and gabions as countermeasures at bridge pier in presence of debris accumulations. J. Hydraul. Res. 2010, 48, 764–774. [Google Scholar] [CrossRef]
  83. Al-Shukur, A.H.; Hadi Obeid, Z. Experimental study of bridge pier shape to minimize local scour. Int. J. Civ. Eng. Technol. 2016, 7, 162–171. [Google Scholar]
  84. Farooq, R.; Ghumman, A.R. Impact Assessment of Pier Shape and Modifications on Scouring around Bridge Pier. Water 2019, 11, 1761. [Google Scholar] [CrossRef]
  85. Baranwal, A.; Das, B.S.; Setia, B. A comparative study of scour around various shaped bridge pier. Eng. Res. Express 2023, 5, 015052. [Google Scholar] [CrossRef]
  86. Pandey, M.; Azamathulla, H.M.; Chaudhuri, S.; Pu, J.H.; Pourshahbaz, H. Reduction of time-dependent scour around piers using collars. Ocean Eng. 2020, 213, 107692. [Google Scholar] [CrossRef]
  87. Mashahir, M.B.; Zarrati, A.R.; Mokallaf, E. Effect of bed shear stress on development of scouring around bridge piers protected by a collar. In Proceedings of the 32nd IAHR World Congress, Venice, Italy, 1–6 July 2007; pp. 267–280. [Google Scholar]
  88. Wang, S.; Wei, K.; Shen, Z.; Xiang, Q. Experimental Investigation of Local Scour Protection for Cylindrical Bridge Piers Using Anti-Scour Collars. Water 2019, 11, 2073–4441. [Google Scholar] [CrossRef]
  89. Kumar, V. Reduction of Scour around Bridge Pier Using Protective Devices. Ph.D. Thesis, University of Roorkee, Roorkee, India, 1996. [Google Scholar]
  90. Robert, E. Scour at Bridge Piers. Ph.D. Thesis, The University of Auckland, Auckland, New Zealand, 1980. [Google Scholar]
  91. Tanaka, S.; Yano, M. Local scour around a circular cylinder. In Proceedings of the 12th IAHR Congress, Fort Collins, CO, USA, 11–14 September 1967; pp. 125–134. [Google Scholar]
  92. Tavouktsoglou, N. Scour and Scour Protection around Offshore Gravity Based Foundations. Ph.D. Thesis, University College London, London, UK, 2018. [Google Scholar]
  93. Coleman, S.E. Clearwater Local Scour at Complex Piers. J. Hydraul. Eng. 2005, 131. [Google Scholar] [CrossRef]
  94. Lauchlan, C. Pier Scour Countermeasures. Ph.D. Thesis, University of Auckland, Auckland, New Zealand, 1999. [Google Scholar]
  95. Yang, Y.; Melville, B.W.; Macky, G.H.; Shamseldin, A.Y. Experimental study on local scour at complex bridge pier under combined waves and current. Coast. Eng. 2020, 160, 103730. [Google Scholar] [CrossRef]
  96. Wang, C.; Yu, X.; Liang, F. A review of bridge scour: Mechanism, estimation, monitoring and countermeasures. Nat. Hazards 2017, 87, 1881–1906. [Google Scholar] [CrossRef]
  97. OuYang, H.; Dai, G.; Gao, L.; Zhu, W.; Du, S.; Gong, W. Local scour characteristics of monopile foundation and scour protection of cement-improved soil in marine environment—Laboratory and site investigation. Ocean Eng. 2022, 255, 111443. [Google Scholar] [CrossRef]
  98. Wang, G.; Xu, S.; Zhang, Q.; Zhang, J. An experimental study of the local scour protection methods around the monopile foundation of offshore wind turbines. Ocean Eng. 2023, 273, 113957. [Google Scholar] [CrossRef]
  99. Melville, B.; Coleman, S. Bridge Scour; Water Resources Publication: Littleton, CO, USA, 2000; p. 572. [Google Scholar]
  100. Lauchlan, C.S.; Melville, B.W. Riprap Protection at Bridge Piers. J. Hydraul. Eng. 2001, 127, 412–418. [Google Scholar] [CrossRef]
  101. Nielsen, A.W.; Mutlu Sumer, B.; Fredsøe, J.; Christensen, E.D. Sinking of armour layer around a cylinder exposed to a current. Proc. Inst. Civ. Eng. Marit. Eng. 2011, 164, 159–172. [Google Scholar] [CrossRef]
  102. Nielsen, A.W.; Probst, T.; Petersen, T.U.; Sumer, B.M. Sinking of armour layer around a vertical cylinder exposed to waves and current. Coast. Eng. 2015, 100, 58–66. [Google Scholar] [CrossRef]
  103. Fazeres-Ferradosa, T.; Chambel, J.; Taveira-Pinto, F.; Rosa-Santos, P.; Taveira-Pinto, F.V.C.; Giannini, G.; Haerens, P. Scour Protections for Offshore Foundations of Marine Energy Harvesting Technologies: A Review. J. Mar. Sci. Eng. 2021, 9, 297. [Google Scholar] [CrossRef]
  104. Chiew, Y.M. Mechanics of Riprap Failure at Bridge Piers. J. Hydraul. Eng. 1995, 121, 635–643. [Google Scholar] [CrossRef]
  105. Croad, R.N.; Protection from Scour of Bridge Piers Using Riprap. Transfund New Zealand Research Report. 1997. Available online: https://www.nzta.govt.nz/assets/resources/research/reports/082/082-Protection-from-scour-of-bridge-piers-using-riprap.pdf (accessed on 1 April 2024).
  106. De Vos, L.; De Rouck, J.; Troch, P.; Frigaard, P. Empirical design of scour protections around monopile foundations: Part 1: Static approach. Coast. Eng. 2011, 58, 540–553. [Google Scholar] [CrossRef]
  107. De Vos, L.; De Rouck, J.; Troch, P.; Frigaard, P. Empirical design of scour protections around monopile foundations. Part 2: Dynamic approach. Coast. Eng. 2012, 60, 286–298. [Google Scholar] [CrossRef]
  108. Zhang, F.; Chen, X.; Feng, T.; Wang, Y.; Liu, X.; Liu, X. Experimental study of grouting protection against local scouring of monopile foundations for offshore wind turbines. Ocean Eng. 2022, 258, 111798. [Google Scholar] [CrossRef]
  109. Wang, W.; Yan, J.; Chen, S.; Liu, J.; Jin, F.; Wang, B. Gridded cemented riprap for scour protection around monopile in the marine environment. Ocean Eng. 2023, 272, 113876. [Google Scholar] [CrossRef]
  110. Wu, M.; De Vos, L.; Arboleda Chavez, C.E.; Stratigaki, V.; Whitehouse, R.; Baelus, L.; Troch, P. A study of scale effects in experiments of monopile scour protection stability. Coast. Eng. 2022, 178, 104217. [Google Scholar] [CrossRef]
  111. Craswell, T.; Akib, S. Reducing Bridge Pier Scour Using Gabion Mattresses Filled with Recycled and Alternative Materials. Eng 2020, 1, 188–210. [Google Scholar] [CrossRef]
  112. Esteban, M.; López-Gutiérrez, J.S.; Negro, V.; Sanz, L. Riprap Scour Protection for Monopiles in Offshore Wind Farms. J. Mar. Sci. Eng. 2019, 7, 440. [Google Scholar] [CrossRef]
  113. Zolghadr, M.; Bejestan, M.S. Six legged concrete (SLC) elements as scour countermeasures at wing wall bridge abutments. Int. J. River Basin Manag. 2021, 19, 319–325. [Google Scholar] [CrossRef]
  114. Yoon, T.H. Wire Gabion for Protecting Bridge Piers. J. Hydraul. Eng. 2005, 131, 942–949. [Google Scholar] [CrossRef]
  115. Harasti, A.; Gilja, G.; Potočki, K.; Lacko, M. Scour at Bridge Piers Protected by the Riprap Sloping Structure: A Review. Water 2021, 13, 3606. [Google Scholar] [CrossRef]
  116. Tafarojnoruz, A.; Lauria, A. Large eddy simulation of the turbulent flow field around a submerged pile within a scour hole under current condition. Coast. Eng. J. 2020, 62, 489–503. [Google Scholar] [CrossRef]
  117. Tafarojnoruz, A.; Gaudio, R.; Calomino, F. Effects of a slotted bridge pier on the approach flow. In Proceedings of the XXXIII Convegno Nazionale di Idraulica e Costruzioni Idrauliche IDRA 2012, Brescia, Italia, 10–14 September 2012; pp. 1–10. [Google Scholar]
  118. Melville, B.; Anna, H. Use of sacrificial piles as pier scour countermeasures. J. Hydraul. Eng. 1999, 125, 1221–1224. [Google Scholar] [CrossRef]
  119. Qi, M.; Chiew, Y.; Hong, J. Suction Effects on Bridge Pier Scour under Clear-Water Conditions. J. Hydraul. Eng. 2013, 139, 621–629. [Google Scholar] [CrossRef]
  120. Tang, Z.; Melville, B.; Shamseldin, A.; Singhal, N.; Guan, D.; Stolte, A. Performance of riprap armour at vibrating offshore wind turbine monopile foundations. Coast. Eng. 2023, 186, 104392. [Google Scholar] [CrossRef]
Figure 1. Fixed-bottom offshore wind system cost (with permission from Office of Scientific and Technical Information, U.S. Department of Energy) [9].
Figure 1. Fixed-bottom offshore wind system cost (with permission from Office of Scientific and Technical Information, U.S. Department of Energy) [9].
Jmse 12 00660 g001
Figure 2. The erosion morphology and mechanism of monopile foundation.
Figure 2. The erosion morphology and mechanism of monopile foundation.
Jmse 12 00660 g002
Figure 3. Damage to the foundation of wind power caused by scouring.
Figure 3. Damage to the foundation of wind power caused by scouring.
Jmse 12 00660 g003
Figure 4. Monopile foundation structure.
Figure 4. Monopile foundation structure.
Jmse 12 00660 g004
Figure 5. Gravity foundation structure.
Figure 5. Gravity foundation structure.
Jmse 12 00660 g005
Figure 6. Multi-pile bearing foundation.
Figure 6. Multi-pile bearing foundation.
Jmse 12 00660 g006
Figure 7. Tripod foundation.
Figure 7. Tripod foundation.
Jmse 12 00660 g007
Figure 8. Jacket foundation.
Figure 8. Jacket foundation.
Jmse 12 00660 g008
Figure 9. Suction cylinder foundation (with permission from Wiley, 2019) [17].
Figure 9. Suction cylinder foundation (with permission from Wiley, 2019) [17].
Jmse 12 00660 g009
Figure 10. Different pile foundation structure types suitable for different water depth (with permission from Elsevier Books) [18,19,20].
Figure 10. Different pile foundation structure types suitable for different water depth (with permission from Elsevier Books) [18,19,20].
Jmse 12 00660 g010
Figure 11. Design principle of scouring protection scheme.
Figure 11. Design principle of scouring protection scheme.
Jmse 12 00660 g011
Figure 12. The priority of scour protection scheme design principle.
Figure 12. The priority of scour protection scheme design principle.
Jmse 12 00660 g012
Figure 14. Relative pressure distribution before pile [33,36,37,38].
Figure 14. Relative pressure distribution before pile [33,36,37,38].
Jmse 12 00660 g014
Figure 15. Flow-guiding tube scheme (with permission from Journal of Hydraulic Research, 2010) [21].
Figure 15. Flow-guiding tube scheme (with permission from Journal of Hydraulic Research, 2010) [21].
Jmse 12 00660 g015
Figure 16. Pile slots scheme (with permission from Science China Technological Sciences, 2015) [44].
Figure 16. Pile slots scheme (with permission from Science China Technological Sciences, 2015) [44].
Jmse 12 00660 g016
Figure 17. Equivalent piles scheme [21].
Figure 17. Equivalent piles scheme [21].
Jmse 12 00660 g017
Figure 18. Hexagonal equivalent pile structure (with permission from Applied Ocean Research, 2017) [49].
Figure 18. Hexagonal equivalent pile structure (with permission from Applied Ocean Research, 2017) [49].
Jmse 12 00660 g018
Figure 19. Equivalent pile structure scour protection effect [49].
Figure 19. Equivalent pile structure scour protection effect [49].
Jmse 12 00660 g019
Figure 20. Horizontal plate protection scheme erosion trend over time (with permission from Ocean Engineering, 2020) [86].
Figure 20. Horizontal plate protection scheme erosion trend over time (with permission from Ocean Engineering, 2020) [86].
Jmse 12 00660 g020
Figure 21. Kumar et al.’s prediction equation versus measured data (with permission from the author, open access) [42,45,86,88,89,90,91].
Figure 21. Kumar et al.’s prediction equation versus measured data (with permission from the author, open access) [42,45,86,88,89,90,91].
Jmse 12 00660 g021
Figure 22. Reduction rate of different experiments in horizontal plate protection schemes [42,86,89,90,91].
Figure 22. Reduction rate of different experiments in horizontal plate protection schemes [42,86,89,90,91].
Jmse 12 00660 g022
Figure 23. The most effective placement of horizontal plate protection scheme [15].
Figure 23. The most effective placement of horizontal plate protection scheme [15].
Jmse 12 00660 g023
Figure 24. Vanes scheme [21].
Figure 24. Vanes scheme [21].
Jmse 12 00660 g024
Figure 25. Triangular vane.
Figure 25. Triangular vane.
Jmse 12 00660 g025
Figure 26. Vertical plate scheme, (a) plan view, (b) elevation view (with permission from Acta Geophysica, 2017) [56].
Figure 26. Vertical plate scheme, (a) plan view, (b) elevation view (with permission from Acta Geophysica, 2017) [56].
Jmse 12 00660 g026
Figure 27. Front-to-rear sacrificial pile scheme (with permission from Environmental Fluid Mechanics, 2018) [68].
Figure 27. Front-to-rear sacrificial pile scheme (with permission from Environmental Fluid Mechanics, 2018) [68].
Jmse 12 00660 g027
Figure 28. Triangular sacrificial pile (with permission from Journal of Hydraulic Research, 2021) [70].
Figure 28. Triangular sacrificial pile (with permission from Journal of Hydraulic Research, 2021) [70].
Jmse 12 00660 g028
Figure 29. Wrap-around skirt pile scheme (with permission from Ocean Engineering, 2022) [72].
Figure 29. Wrap-around skirt pile scheme (with permission from Ocean Engineering, 2022) [72].
Jmse 12 00660 g029
Figure 30. Mechanism of the deflector scheme (with permission from ISH Journal of Hydraulic Engineering, 2022) [74].
Figure 30. Mechanism of the deflector scheme (with permission from ISH Journal of Hydraulic Engineering, 2022) [74].
Jmse 12 00660 g030
Figure 31. Sand barrier as a structural erosion protection, (a) L b / D = 0.32, (b) L b / D = 1, (c) L b / D = 2.5, (d) L b / D = 4 (With permission from Smart Science, 2021) [81].
Figure 31. Sand barrier as a structural erosion protection, (a) L b / D = 0.32, (b) L b / D = 1, (c) L b / D = 2.5, (d) L b / D = 4 (With permission from Smart Science, 2021) [81].
Jmse 12 00660 g031
Figure 32. Al-Shukur [83] measured scouring depth of different pile types (with permission from the author, open access).
Figure 32. Al-Shukur [83] measured scouring depth of different pile types (with permission from the author, open access).
Jmse 12 00660 g032
Figure 33. Streamlined extension foundation (with permission from Ocean Engineering, 2021) [11].
Figure 33. Streamlined extension foundation (with permission from Ocean Engineering, 2021) [11].
Jmse 12 00660 g033
Figure 34. Comparison of erosion reduction rates of various erosion protection schemes in the literature [39,40,57,59,60,64,80,86,89,118,119].
Figure 34. Comparison of erosion reduction rates of various erosion protection schemes in the literature [39,40,57,59,60,64,80,86,89,118,119].
Jmse 12 00660 g034
Table 1. Openings through piers scheme.
Table 1. Openings through piers scheme.
ClassProtectionPaperYear
Openings through piers schemeInternal flow-guiding tube schemeAbd et al. [39]2003
Soltani et al. [40]2013
Entesar et al. [41]2013
Pile slots schemeEntesaret al. [41]2013
Chiew et al. [42]1992
Kumar et al. [43]1999
Liang et al. [44]2015
Ali et al. [45]2012
Carmelo et al. [46]2009
Gaudio et al. [47]2012
Equivalent piles schemeVitall et al. [48]1994
Yagci et al. [49]2017
Table 2. Structure attachment scheme.
Table 2. Structure attachment scheme.
ClassProtectionPaperYear
Structure attachment schemeCollor schemeMoncada-M et al. [50]2009
Tafarojnoruz et al. [45]2012
Kumar et al. [43]1999
Tang et al. [15]2022
Tang et al. [51]2023
Liang et al. [44]2015
Jahangirzadeh et al. [52]2014
Vane schemeAly et al. [11]2021
Parker et al. [53]1998
Gupta [54]1987
Alireza et al. [55]2015
Khaple et al. [56]2017
Gaudio et al. [47]2012
Ghorbani et al. [57]2008
Pile roughness and threaded pilesAly et al. [11]2021
Ghodsian et al. [58]2009
Abdelhaleem et al. [59]2019
Dey et al. [60]2006
Izadinia et al. [61]2012
Muhawenimana et al. [62]2022
Vahdati et al. [63]2019
Extended foundationsMelville et al. [64]1996
Liang et al. [44]2015
Yao et al. [65]2020
Table 3. Bed attachment scheme and pile alteration scheme.
Table 3. Bed attachment scheme and pile alteration scheme.
ClassProtectionPaperYear
Bed attachment schemeSacrificial piles schemeHaque et al. [66]2007
Chiew et al. [67]2003
Keshavarzi et al. [68]2018
Garg et al. [69]2022
Mohsen [70]2021
Mohsen et al. [71]2018
Tafarojnoruz et al. [45]2012
Li et al. [72]2022
Deflector schemeOdgaard et al. [73]1983
Chauhan et al. [74]2022
Ghorbani et al. [57]2008
Zarei et al. [75]2019
Safaripor et al. [76]2022
Sand barrier schemeGuan et al. [77]2014
Hamidifar et al. [78]2018
Mahdi et al. [79]2022
Grimaldi et al. [80]2009
Liang et al. [44]2015
Tafarojnoruz et al. [45]2022
AI-Awadi et al. [81]2021
Pagliara et al. [82]2010
Gaudio et al. [47]2012
Pile alteration scheme AI-Shukur [83]2020
Farooq et al. [84]2020
Baranwal et al. [85]2020
Aly et al. [11]2020
Table 4. Scour reduction rate of openings through piers scheme.
Table 4. Scour reduction rate of openings through piers scheme.
Flow-Guiding Tube SchemePile Slots SchemeEquivalent Piles Scheme
E p  (Upper limit)45%35%39%
E p  (Lower limit)37.5%26.1%22%
Table 5. Scour reduction rate for structural attachments scheme.
Table 5. Scour reduction rate for structural attachments scheme.
Vanes SchemeVertical Plates SchemeThreaded Piles SchemeExtended Foundations Scheme
E p (Upper limit)90%61.6%52%89.4%
E p (Lower limit)32%42.4%12.85%50%
Table 6. Bed attachment scheme erosion reduction rate.
Table 6. Bed attachment scheme erosion reduction rate.
Sacrificial Pile SchemeDeflector SchemeSand Barrier Scheme
E p (Upper limit)65%46%42.6%
E p (Lower limit)32.2%34%17.2%
Table 7. Applicability analysis of scour protection countermeasure scheme.
Table 7. Applicability analysis of scour protection countermeasure scheme.
ClassProtectionPrinciple of IndependencePrinciple of Economy
Does Not Affect Mechanical PropertiesDoes Not Affect Chemical PropertiesDoes Not Affect the EnvironmentEasy to Produce
Openings through piers schemeFlow-guiding tube××
Pile slots××
Equivalent pile
Structure attachment schemeHorizontal plate
Vertical plate
Vanes×
roughed pile××
Extend foundation
Bed attachment schemeSacrificial piles×
Deflectors×
Sand barriers×
Riprap scheme
Disclaimer/Publisher’s Note: The statements, opinions and data contained in all publications are solely those of the individual author(s) and contributor(s) and not of MDPI and/or the editor(s). MDPI and/or the editor(s) disclaim responsibility for any injury to people or property resulting from any ideas, methods, instructions or products referred to in the content.

Share and Cite

MDPI and ACS Style

Gao, D.; Pan, X.; Liang, B.; Yang, B.; Wu, G.; Wang, Z. A Review and Design Principle of Fixed-Bottom Foundation Scour Protection Schemes for Offshore Wind Energy. J. Mar. Sci. Eng. 2024, 12, 660. https://doi.org/10.3390/jmse12040660

AMA Style

Gao D, Pan X, Liang B, Yang B, Wu G, Wang Z. A Review and Design Principle of Fixed-Bottom Foundation Scour Protection Schemes for Offshore Wind Energy. Journal of Marine Science and Engineering. 2024; 12(4):660. https://doi.org/10.3390/jmse12040660

Chicago/Turabian Style

Gao, Dongyue, Xinying Pan, Bingchen Liang, Bo Yang, Guoxiang Wu, and Zhenlu Wang. 2024. "A Review and Design Principle of Fixed-Bottom Foundation Scour Protection Schemes for Offshore Wind Energy" Journal of Marine Science and Engineering 12, no. 4: 660. https://doi.org/10.3390/jmse12040660

APA Style

Gao, D., Pan, X., Liang, B., Yang, B., Wu, G., & Wang, Z. (2024). A Review and Design Principle of Fixed-Bottom Foundation Scour Protection Schemes for Offshore Wind Energy. Journal of Marine Science and Engineering, 12(4), 660. https://doi.org/10.3390/jmse12040660

Note that from the first issue of 2016, this journal uses article numbers instead of page numbers. See further details here.

Article Metrics

Back to TopTop