Numerical Analysis and Validation of an Optimized B-Series Marine Propeller Based on NSGA-II Constrained by Cavitation
Abstract
1. Introduction
2. Theory and Methods
2.1. Description of the Multi-Objective Optimization Design Process
2.2. Case Study
2.3. Wageningen B-Series Propellers
2.4. Cavitarion Criteria
2.5. Non-Dominated Sorting Genetic Algorithm-II (NSGA-II)
3. Propeller Optimization
3.1. Multi-Objective Optimization Algorithms
3.2. Geometric Model
4. Numerical Model
4.1. Computational Domain
4.2. Governing Equations
4.3. Turbulence Model
4.4. Multiphase Model
4.5. CFD Configuration and Boundary Conditions
4.6. Domain Discretization
5. Results
5.1. Noncavitating Condition
5.2. Cavitating Condition
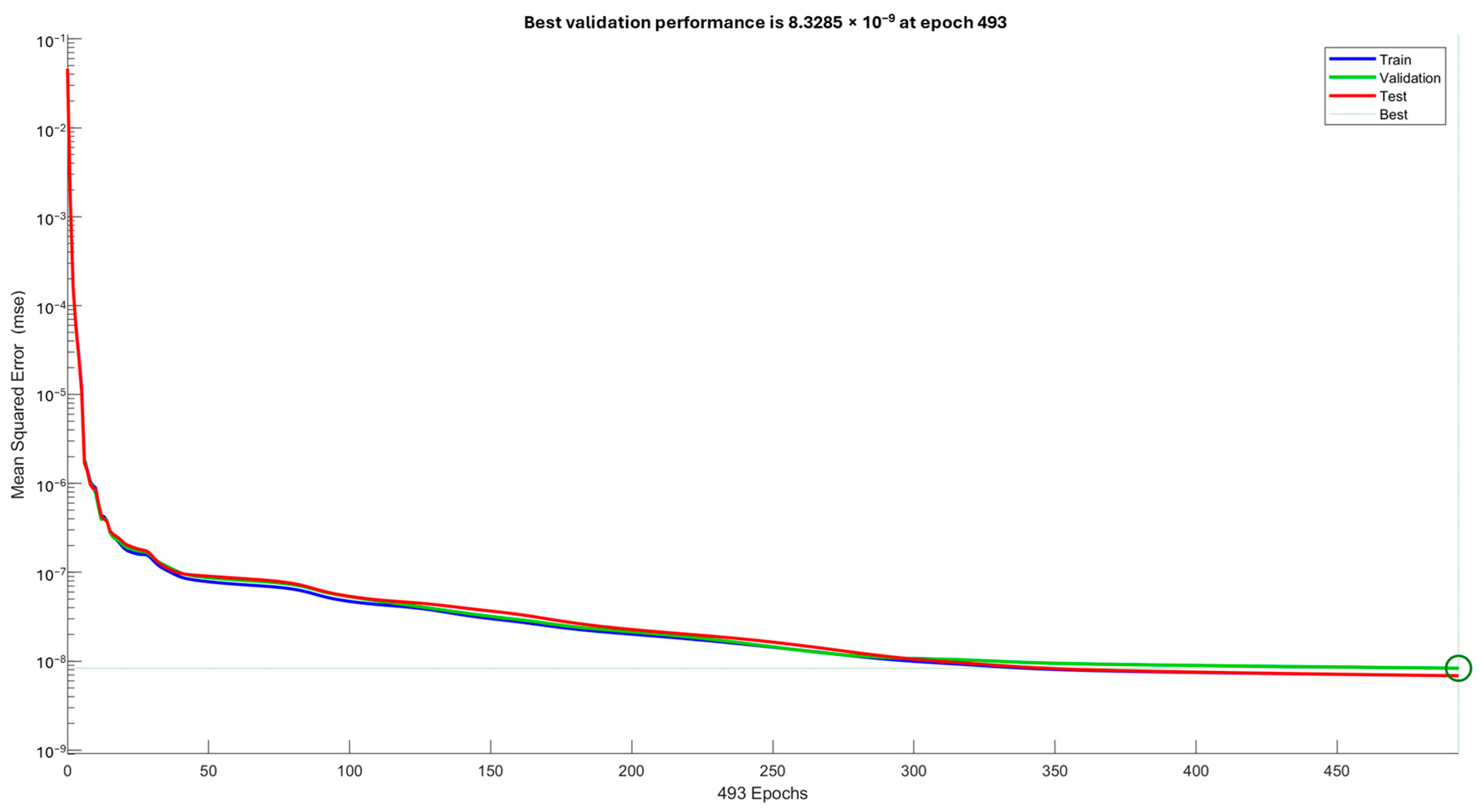
5.3. Approximation of KT and KQ Coefficients Using Neural Networks
6. Conclusions
- The numerical model indicated a close correlation between the numerical predictions and experimental data in noncavitating conditions. With maximum errors of 8.32%, 6.23%, and 3.29% for KT, KQ, and ηO, respectively.
- The use of a multiphase approach and the Zwart–Gerber–Belamri cavitation model enabled a detailed investigation into the propeller cavitation phenomenon. The numerical model revealed that the propeller underwent partial cavitation on its suction side, while also revealing a 2.01% error between the efficiency ηO of the numerical model’s operating point and the experimental data.
- Performing mesh refinement, particularly in the areas of interest, such as the tips and leading edge of the blades, could improve the capture of tip and sheet type cavitation effects in future research.
- Functions derived from trained neural networks could be used for estimating KT and KQ coefficients instead of the original polynomials.
Author Contributions
Funding
Data Availability Statement
Acknowledgments
Conflicts of Interest
References
- Bertetta, D.; Brizzolara, S.; Canepa, E.; Gaggero, S.; Viviani, M. EFD and CFD Characterization of a CLT Propeller. Int. J. Rotating Mach. 2012, 2012, e348939. [Google Scholar] [CrossRef]
- Yusvika, M.; Fajri, A.; Tuswan, T.; Prabowo, A.R.; Hadi, S.; Yaningsih, I.; Muttaqie, T.; Laksono, F.B. Numerical Prediction of Cavitation Phenomena on Marine Vessel: Effect of the Water Environment Profile on the Propulsion Performance. Open Eng. 2022, 12, 293–312. [Google Scholar] [CrossRef]
- Xing, H.; Spence, S.; Chen, H. A Comprehensive Review on Countermeasures for CO2 Emissions from Ships. Renew. Sustain. Energy Rev. 2020, 134, 110222. [Google Scholar] [CrossRef]
- Third IMO GHG Study 2014. Available online: https://www.imo.org/en/ourwork/environment/pages/greenhouse-gas-studies-2014.aspx (accessed on 15 December 2023).
- Gaggero, S.; Rizzo, C.M.; Tani, G.; Viviani, M. EFD and CFD Design and Analysis of a Propeller in Decelerating Duct. Int. J. Rotating Mach. 2012, 2012, e823831. [Google Scholar] [CrossRef]
- Sezen, S.; Atlar, M. Numerical Investigation into the Effects of Tip Vortex Cavitation on Propeller Underwater Radiated Noise (URN) Using a Hybrid CFD Method. Ocean Eng. 2022, 266, 112658. [Google Scholar] [CrossRef]
- Mirjalili, S.; Lewis, A.; Mirjalili, S.A.M. Multi-Objective Optimisation of Marine Propellers. Procedia Comput. Sci. 2015, 51, 2247–2256. [Google Scholar] [CrossRef]
- Molland, A.F.; Turnock, S.R.; Hudson, D.A. Ship Resistance and Propulsion: Practical Estimation of Ship Propulsive Power; Cambridge University Press: Cambridge, UK, 2011; ISBN 978-0-521-76052-2. [Google Scholar]
- Helal, M.; Ahmed, T.; Banawan, A.; Kotb, M. Numerical Prediction of Sheet Cavitation on Marine Propellers Using CFD Simulation with Transition-Sensitive Turbulence Model. AEJ-Alex. Eng. J. 2018, 57, 3805–3815. [Google Scholar] [CrossRef]
- Lee, C.-S.; Choi, Y.-D.; Ahn, B.-K.; Shin, M.-S.; Jang, H.-G. Performance Optimization of Marine Propellers. Int. J. Nav. Archit. Ocean Eng. 2010, 2, 211–216. [Google Scholar] [CrossRef]
- van Lammeren, W.; Manen, J.D.; Oosterveld, M. The Wageningen B-Screw Series; SNAME: New York, NY, USA, 1969; Volume 77, pp. 269–317. [Google Scholar]
- Helma, S. Surprising Behaviour of the Wageningen B-Screw Series Polynomials. J. Mar. Sci. Eng. 2020, 8, 211. [Google Scholar] [CrossRef]
- Birk, L. Fundamentals of Ship Hydrodynamics: Fluid Mechanics, Ship Resistance and Propulsion; John Wiley & Sons: Hoboken, NJ, USA, 2019; ISBN 978-1-118-85548-5. [Google Scholar]
- Permadi, N.V.A.; Sugianto, E. CFD Simulation Model for Optimum Design of B-Series Propeller Using Multiple Reference Frame (MRF). CFD Lett. 2022, 14, 22–39. [Google Scholar] [CrossRef]
- Xie, G. Optimal Preliminary Propeller Design Based on Multi-Objective Optimization Approach. Procedia Eng. 2011, 16, 278–283. [Google Scholar] [CrossRef]
- Lee, Y.-J.; Lin, C.-C. Optimized Design of Composite Propeller. Mech. Adv. Mater. Struct. 2010, 11, 17–30. [Google Scholar] [CrossRef]
- Pluciński, M.M.; Young, Y.L.; Liu, Z. Optimization of a Self-Twisting Composite Marine Propeller Using Genetic Algorithms. In Proceedings of the ICCM International Conferences on Composite Materials, Kyoto, Japan, 8–13 July 2007. [Google Scholar]
- Gypa, I.; Jansson, M.; Wolff, K.; Bensow, R. Propeller Optimization by Interactive Genetic Algorithms and Machine Learning. Ship Technol. Res. 2023, 70, 56–71. [Google Scholar] [CrossRef]
- Ebrahimi, A.; Seif, M.S.; Nouri-Borujerdi, A. Hydro-Acoustic and Hydrodynamic Optimization of a Marine Propeller Using Genetic Algorithm, Boundary Element Method, and FW-H Equations. J. Mar. Sci. Eng. 2019, 7, 321. [Google Scholar] [CrossRef]
- Chen, J.-H.; Shih, Y.-S. Basic Design of a Series Propeller with Vibration Consideration by Genetic Algorithm. J. Mar. Sci. Technol. 2007, 12, 119–129. [Google Scholar] [CrossRef]
- Esmailian, E.; Ghassemi, H.; Zakerdoost, H. Systematic Probabilistic Design Methodology for Simultaneously Optimizing the Ship Hull–Propeller System. Int. J. Nav. Archit. Ocean Eng. 2017, 9, 246–255. [Google Scholar] [CrossRef]
- Huisman, J.; Foeth, E. Automated Multi-Objective Optimization of Ship Propellers; Maritime Research Institute Netherlands (MARIN): Espoo, Finland, 2017. [Google Scholar]
- Troost, L. Open-Water Test Series with Modern Propeller Forms: A Paper Read in a Symposium on Propellers Before the North East Coast Institution of Engineers and Shipbuilders in Newcastle upon Tyne on the 1st April, 1938; North East Coast Institution of Engineers and Shipbuilders: Newcastle upon Tyne, UK, 1938. [Google Scholar]
- Troost, L. Open-Water Test Series with Modern Propeller Forms. Pt. 2. Three-Bladed Propellers: A Paper Read Before the North East Coast Institution of Engineers and Shipbuilders in Newcastle upon Tyne on the 15th December, 1939; North East Coast Institution of Engineers and Shipbuilders: Newcastle upon Tyne, UK, 1940. [Google Scholar]
- Troost, L. Open Water Test Series with Modern Propeller Forms: A Paper Read Before the North East Coast Institution of Engineers and Shipbuilders in Newcastle upon Tyne on the 15th December, 1950, with the Discussion and Correspondence Upon It, and the Author’s Reply Thereto; North East Coast Institution of Engineers and Shipbuilders: Newcastle upon Tyne, UK, 1951. [Google Scholar]
- Oosterveld, M.W.C.; Van Oossanen, P. Further Computer-Analyzed Data of the Wageningen B-Screw Series. Int. Shipbuild. Prog. 1975, 22, 251–262. [Google Scholar] [CrossRef]
- Roh, M.-I.; Lee, K.-Y. Computational Ship Design; Springer: Berlin/Heidelberg, Germany, 2017; ISBN 978-981-10-4885-2. [Google Scholar]
- Holland, J.H. Adaptation in Natural and Artificial Systems: An Introductory Analysis with Applications to Biology, Control, and Artificial Intelligence; MIT Press: Cambridge, MA, USA, 1992; ISBN 978-0-585-03844-5. [Google Scholar]
- El-Shorbagy, M.; Ayoub, A.; Mousa, A.; Eldesoky, I. An Enhanced Genetic Algorithm with New Mutation for Cluster Analysis. Comput. Stat. 2019, 34, 1355–1392. [Google Scholar] [CrossRef]
- Deb, K.; Pratap, A.; Agarwal, S.; Meyarivan, T. A Fast and Elitist Multiobjective Genetic Algorithm: NSGA-II. IEEE Trans. Evol. Comput. 2002, 6, 182–197. [Google Scholar] [CrossRef]
- Lukic, N.L.; Bozin-Dakic, M.; Grahovac, J.A.; Dodic, J.M.; Jokic, A.I. Multi-Objective Optimization of Microfiltration of Baker’s Yeast Using Genetic Algorithm. Acta Period. Technol. 2017, 2017, 211–220. [Google Scholar] [CrossRef]
- Akbari, M.; Asadi, P.; Besharati Givi, M.K.; Khodabandehlouie, G. 13—Artificial Neural Network and Optimization. In Advances in Friction-Stir Welding and Processing; Givi, M.K.B., Asadi, P., Eds.; Woodhead Publishing Series in Welding and Other Joining Technologies; Woodhead Publishing: Sawston, UK, 2014; pp. 543–599. ISBN 978-0-85709-454-4. [Google Scholar]
- Kramer, O. Genetic Algorithm Essentials; Springer: Cham, Switzerland, 2017; ISBN 978-3-319-52155-8. [Google Scholar]
- Carlton, J. Marine Propellers and Propulsion, 4th ed.; Butterworth-Heinemann: Oxford, UK, 2018; ISBN 978-0-08-100366-4. [Google Scholar]
- 27th Conference (Copenhagen 2014). Available online: https://ittc.info/downloads/proceedings/27th-conference-copenhagen-2014/ (accessed on 15 December 2023).
- Luo, J.; Gosman, A. Prediction of Impeller-Induced Flow in Mixing Vessels Using Multiple Frames of Reference. In Proceedings of the 8th European Conference on Mixing, Cambridge, UK, 21–23 September 1994. [Google Scholar]
- ANSYS. ANSYS Fluent User’s Guide; ANSYS: Canonsburg, PA, USA, 2019. [Google Scholar]
- Wilcox, D.C. Turbulence Modeling for CFD, 3rd ed.; DCW Industries: La Canada, CA, USA, 2006; ISBN 978-1-928729-08-2. [Google Scholar]
- Menter, F.R. Two-Equation Eddy-Viscosity Turbulence Models for Engineering Applications. AIAA J. 1994, 32, 1598–1605. [Google Scholar] [CrossRef]
- Sun, T.; Ma, X.; Wei, Y.; Wang, C. Computational Modeling of Cavitating Flows in Liquid Nitrogen by an Extended Transport-Based Cavitation Model. Sci. China Technol. Sci. 2016, 59, 337–346. [Google Scholar] [CrossRef]
- Final Report and Recommendations · Accept ITTC Procedure 7.5-02-01-03, “Properties of Water” Accept Procedures 7.5-02-03-01.2 “Uncertainty Analysis Example for Propulsion”. Available online: https://dokumen.tips/documents/final-report-and-accept-ittc-procedure-75-02-01-03-aoeproperties-of-watera-accept.html (accessed on 15 December 2023).
- Lecture 7: Mesh Quality & Advanced Topics. Introduction to ANSYS Meshing. Available online: https://featips.com/wp-content/uploads/2021/05/Mesh-Intro_16.0_L07_Mesh_Quality_and_Advanced_Topics.pdf (accessed on 15 December 2023).
- Maupin, K.A.; Swiler, L.P.; Porter, N.W. Validation Metrics for Deterministic and Probabilistic Data. J. Verif. Valid. Uncertain. Quantif. 2019, 3, 031002. [Google Scholar] [CrossRef]
- Bernitsas, M.M.; Ray, D.; Kinley, P. KT, KQ and Efficiency Curves for the Wageningen B-Series Propellers; The University of Michigan: Ann Arbor, MI, USA, 1981; p. 111. [Google Scholar]























| Characteristic | Value |
|---|---|
| Breadth (B) | 9.14 m |
| Draught (T) | 3.34 m |
| Length (L) | 63.34 m |
| Cruise Speed (VS) | 17.5 knots |
| Resistance (RT) | 163,040.37 N |
| Propeller diameter (D) | 1.85 m |
| Propeller Type | Twin-screw |
| Parameter | Value |
|---|---|
| Population number | 600 |
| Generations | 300 |
| Selection | Binary tournament |
| Crossover probability | 0.9 |
| Mutation | Adaptive feasible |
| Parameter | Value |
|---|---|
| Maximum number of evaluations | 5000 |
| J0 | 0.4 |
| (P/D)0 | 1.1 |
| (AE/A0)0 | 0.5 |
| Variable | Lower Limit | Upper Limit |
|---|---|---|
| J | 0 | 1.6 |
| P/D | 0.5 | 1.4 |
| AE/A0 | 0.30 | 1.05 |
| n | 100 | 1000 |
| Z = 4 | Z = 5 | |||
|---|---|---|---|---|
| Variable | Fminimax | Gamultiobj | Fminimax | Gamultiobj |
| J | 0.8211 | 0.7353 | 0.84 | 0.73 |
| P/D | 1.4 | 1.1493 | 1.4 | 1.1049 |
| AE/A0 | 0.3 | 0.5416 | 0.3 | 0.5823 |
| ηO | 0.6323 | 0.6263 | 0.6294 | 0.6363 |
| n | 327 rpm | 365 rpm | 320 rpm | 368 rpm |
| PB | 2782 kW | 2809 kW | 2795 kW | 2765 kW |
| Case | J | n |
|---|---|---|
| I | 0.70 | 383 rpm |
| II | 0.73 | 368 rpm |
| III | 0.80 | 335 rpm |
| IV | 0.90 | 298 rpm |
| Parameter | Configuration |
|---|---|
| Solver | Steady |
| Turbulence Model | SST k – ω |
| Model | Single Phase |
| Pressure Link | SIMPLE |
| Pressure | Standard |
| Momentum and Turbulence Parameters | First Order Upwind |
| Parameter | Configuration |
|---|---|
| Solver | Steady |
| Turbulence Model | SST k – ω |
| Model | Multiphase: Mixture |
| Phases | Water/Water Vapor |
| Vapor Pressure | 3.170 × 103 Pa |
| Cavitation Model | Zwart-Gerber-Belamri |
| Pressure Link | Couple |
| Pressure | Standard |
| Momentum and Turbulence Parameters | First Order Upwind |
| Mesh | Nodes | Elements | Asymmetry | Orthogonality |
|---|---|---|---|---|
| A | 4,041,730 | 2,212,912 | 0.218 | 0.781 |
| B | 7,122,970 | 3,915,401 | 0.215 | 0.783 |
| C | 9,340,150 | 5,202,740 | 0.214 | 0.784 |
| D | 11,555,590 | 6,433,075 | 0.214 | 0.784 |
| E | 12,377,172 | 6,888,754 | 0.214 | 0.784 |
| F | 14,138,200 | 7,873,446 | 0.214 | 0.784 |
| G | 16,623,430 | 9,270,133 | 0.214 | 0.784 |
| Mesh | Nodes | Elements | T (kN) | Q (kN-m) | ηO |
|---|---|---|---|---|---|
| A | 4,041,730 | 2,212,912 | 153.96 | 51.85 | 0.6382 |
| B | 7,122,970 | 3,915,401 | 155.70 | 51.95 | 0.6442 |
| C | 9,340,150 | 5,202,740 | 156.30 | 51.93 | 0.6470 |
| D | 11,555,590 | 6,433,075 | 159.57 | 53.21 | 0.6445 |
| E | 12,377,172 | 6,888,754 | 159.38 | 53.15 | 0.6446 |
| F | 14,138,200 | 7,873,446 | 159.18 | 53.05 | 0.6449 |
| G | 16,623,430 | 9,270,133 | 159.27 | 53.06 | 0.6451 |
| J | Experimental Data | Numerical Model | Error (%) | ||||||
|---|---|---|---|---|---|---|---|---|---|
| KT | 10 KQ | ηO | KT | 10 KQ | ηO | KT | 10 KQ | ηO | |
| 0.70 | 0.2457 | 0.4427 | 0.6181 | 0.2599 | 0.4625 | 0.5978 | 5.81% | 4.47% | 3.29% |
| 0.73 | 0.2319 | 0.4234 | 0.6362 | 0.2231 | 0.4109 | 0.6470 | 3.80% | 2.94% | 1.69% |
| 0.80 | 0.1988 | 0.3761 | 0.6731 | 0.2112 | 0.3939 | 0.6604 | 6.20% | 4.74% | 1.88% |
| 0.90 | 0.1498 | 0.3031 | 0.7079 | 0.1623 | 0.3220 | 0.7017 | 8.32% | 6.23% | 0.88% |
| J | Experimental | Simulation | Error (%) | ||||||
|---|---|---|---|---|---|---|---|---|---|
| KT | 10 KQ | ηO | KT | 10 KQ | ηO | KT | 10 KQ | ηO | |
| 0.73 | 0.2319 | 0.4234 | 0.6362 | 0.2417 | 0.4435 | 0.6234 | 4.26% | 4.75% | 2.01% |
| Parameter | Value |
|---|---|
| Predictors | J, P/D, AE/A0, Z |
| Responses | KT, KQ |
| Samples | 3549 |
| Data division | Random |
| Training algorithm | Levenberg–Marquardt |
| Performance | Mean squared error |
| Number of neurons (layers) | 15 |
Disclaimer/Publisher’s Note: The statements, opinions and data contained in all publications are solely those of the individual author(s) and contributor(s) and not of MDPI and/or the editor(s). MDPI and/or the editor(s) disclaim responsibility for any injury to people or property resulting from any ideas, methods, instructions or products referred to in the content. |
© 2024 by the authors. Licensee MDPI, Basel, Switzerland. This article is an open access article distributed under the terms and conditions of the Creative Commons Attribution (CC BY) license (https://creativecommons.org/licenses/by/4.0/).
Share and Cite
Vázquez-Santos, A.; Camacho-Zamora, N.; Hernández-Hernández, J.; Herrera-May, A.L.; Santos-Cortes, L.d.C.; Tejeda-del-Cueto, M.E. Numerical Analysis and Validation of an Optimized B-Series Marine Propeller Based on NSGA-II Constrained by Cavitation. J. Mar. Sci. Eng. 2024, 12, 205. https://doi.org/10.3390/jmse12020205
Vázquez-Santos A, Camacho-Zamora N, Hernández-Hernández J, Herrera-May AL, Santos-Cortes LdC, Tejeda-del-Cueto ME. Numerical Analysis and Validation of an Optimized B-Series Marine Propeller Based on NSGA-II Constrained by Cavitation. Journal of Marine Science and Engineering. 2024; 12(2):205. https://doi.org/10.3390/jmse12020205
Chicago/Turabian StyleVázquez-Santos, Alejandra, Nahum Camacho-Zamora, José Hernández-Hernández, Agustín L. Herrera-May, Lorena del Carmen Santos-Cortes, and María Elena Tejeda-del-Cueto. 2024. "Numerical Analysis and Validation of an Optimized B-Series Marine Propeller Based on NSGA-II Constrained by Cavitation" Journal of Marine Science and Engineering 12, no. 2: 205. https://doi.org/10.3390/jmse12020205
APA StyleVázquez-Santos, A., Camacho-Zamora, N., Hernández-Hernández, J., Herrera-May, A. L., Santos-Cortes, L. d. C., & Tejeda-del-Cueto, M. E. (2024). Numerical Analysis and Validation of an Optimized B-Series Marine Propeller Based on NSGA-II Constrained by Cavitation. Journal of Marine Science and Engineering, 12(2), 205. https://doi.org/10.3390/jmse12020205

