Numerical Study of the Nonlinear Soil–Pile–Structure Interaction Effects on the Lateral Response of Marine Jetties
Abstract
1. Introduction
2. Structural Characteristics
3. Site Conditions
4. Numerical Model
4.1. Structural Elements
4.2. Soil–Pile Interaction
4.2.1. Nonlinear Springs
4.2.2. Linear Springs
4.3. Loading
4.4. Numerical Model Verification and Result Interpretation
5. Results
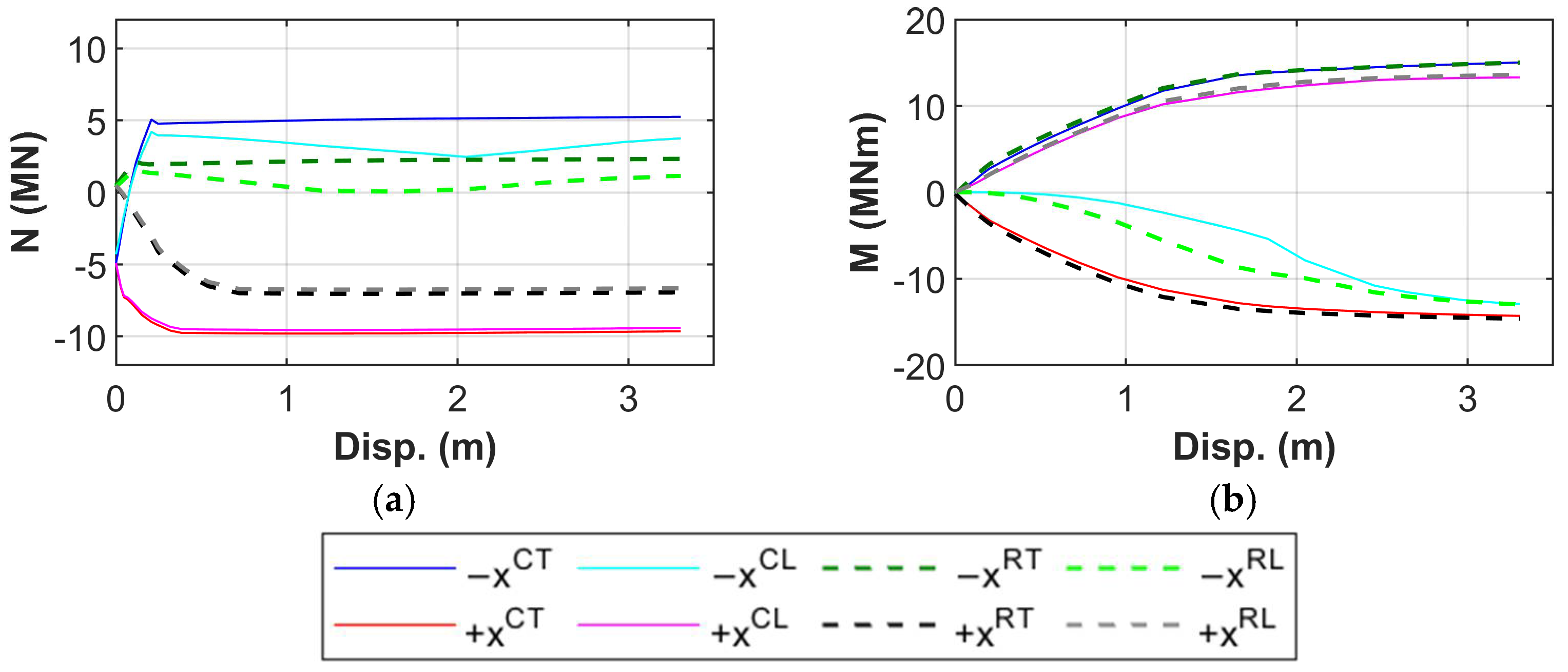
5.1. SPSI8×8 Marine Structure
5.2. SPSIjetty Marine Structure
6. Discussion
7. Conclusions
Author Contributions
Funding
Data Availability Statement
Acknowledgments
Conflicts of Interest
Appendix A



References
- Kontoe, S. Developement of Time Integration Schemes and Advanced Boundary Conditions for Dynamic Geotechnical Analysis. Ph.D. Thesis, Imperial College London, London, UK, 2006. [Google Scholar]
- Koronides, M. Numerical and Field Investigation of Dynamic Soil Structure Interaction at Full-Scale. Ph.D Thesis, Imperial College London, London, UK, 2023. [Google Scholar]
- Wen, K.; Wu, X.; Zhu, B. Numerical Investigation on the Lateral Loading Behaviour of Tetrapod Piled Jacket Foundations in Medium Dense Sand. Appl. Ocean Res. 2020, 100, 102193. [Google Scholar] [CrossRef]
- Radhima, J.; Kanellopoulos, K.; Gazetas, G. Static and Dynamic Lateral Non-Linear Pile-Soil-Pile Interaction. Geotechnique 2022, 72, 642–657. [Google Scholar] [CrossRef]
- Psychari, A.; Anastasopoulos, I. Combined Loading of RC Pile Groups in Clay Accounting for N–M Interaction. Soil Dyn. Earthq. Eng. 2022, 163, 107490. [Google Scholar] [CrossRef]
- Zhu, B.; Wen, K.; Kong, D.; Zhu, Z.; Wang, L. A Numerical Study on the Lateral Loading Behaviour of Offshore Tetrapod Piled Jacket Foundations in Clay. Appl. Ocean Res. 2018, 75, 165–177. [Google Scholar] [CrossRef]
- Sakellariadis, L.; Anastasopoulos, I. On the Mechanisms Governing the Response of Pile Groups Under Combined VHM Loading. Geotechnique 2022, 74, 840–861. [Google Scholar] [CrossRef]
- Hamidia, M.; Vafaei, A.; Dolatshahi, K.M. Seismic Displacement Ratios for Soil-Pile-Structure Systems Allowed to Uplift. Soil Dyn. Earthq. Eng. 2022, 155, 107171. [Google Scholar] [CrossRef]
- Souri, A.; Amirmojahedi, M.; Abu-Farsakh, M.; Voyiadjis, G.Z. Development of Unified p–y Curve Model for Clays Using Finite Element Analysis of Laterally Loaded Piles. Can. Geotech. J. 2023, 60, 1055–1072. [Google Scholar] [CrossRef]
- Choi, J.I.; Kim, M.M.; Brandenberg, S.J. Cyclic p-y Plasticity Model Applied to Pile Foundations in Sand. J. Geotech. Geoenvironmental Eng. 2015, 141, 04015013. [Google Scholar] [CrossRef]
- Kementzetzidis, E.; Pisanò, F.; Metrikine, A.V. A Memory-Enhanced p-y Model for Piles in Sand Accounting for Cyclic Ratcheting and Gapping Effects. Comput. Geotech. 2022, 148, 104810. [Google Scholar] [CrossRef]
- Zhu, J.; Yu, J.; Huang, M.; Shi, Z.; Shen, K. Inclusion of Small-Strain Stiffness in Monotonic p-y Curves for Laterally Loaded Piles in Clay. Comput. Geotech. 2022, 150, 104902. [Google Scholar] [CrossRef]
- Prendergast, L.J.; Gavin, K. A Comparison of Initial Stiffness Formulations for Small-Strain Soil-Pile Dynamic Winkler Modelling. Soil Dyn. Earthq. Eng. 2016, 81, 27–41. [Google Scholar] [CrossRef]
- Zeng, F.; Jiang, C.; Liu, P. Cyclic p-y Curve Model of Unidirectional Loaded Pile in Sand Considering the Characteristic of Friction in the Strain Wedge Model. Ocean Eng. 2023, 273, 113998. [Google Scholar] [CrossRef]
- Jardine, R.J.; Buckley, R.M.; Liu, T.; Andolfsson, T.; Byrne, B.W.; Kontoe, S.; McAdam, R.A.; Schranz, F.; Vinck, K. The Axial Behaviour of Piles Driven in Chalk. Geotechnique 2023, 74, 553–569. [Google Scholar] [CrossRef]
- Wen, K.; Kontoe, S.; Jardine, R.J.; Liu, T. An Axial Load Transfer Model for Piles Driven in Chalk. J. Geotech. Geoenvironmental Eng. 2023, 149, 04023107. [Google Scholar] [CrossRef]
- Wen, K.; Kontoe, S.; Jardine, R.J.; Liu, T.; Cathie, D.; Silvano, R.; Prearo, C.; Wei, S.; Schroeder, F.C.; Po, S. Assessment of Time Effects on Capacities of Large-Scale Piles Driven in Dense Sands. Can. Geotech. J. 2023, 60, 1015–1035. [Google Scholar] [CrossRef]
- Golafshani, A.A.; Bagheri, V.; Ebrahimian, H.; Holmas, T. Incremental Wave Analysis and Its Application to Performance-Based Assessment of Jacket Platforms. J. Constr. Steel Res. 2011, 67, 1649–1657. [Google Scholar] [CrossRef]
- Abhinav, K.A.; Saha, N. Coupled Hydrodynamic and Geotechnical Analysis of Jacket Offshore Wind Turbine. Soil Dyn. Earthq. Eng. 2015, 73, 66–79. [Google Scholar] [CrossRef]
- Koronides, M.; Michailides, C.; Onoufriou, T. Nonlinear Soil–Pile–Structure Interaction Behaviour of Marine Jetty Structures. J. Mar. Sci. Eng. 2024, 12, 1153. [Google Scholar] [CrossRef]
- Koronides, M.; Onoufriou, T.; Michailides, C. Soil-Pile-Structure Interaction Investigation for a Marine Jetty. In Proceedings of the International Offshore and Polar Engineering Conference, Rhodes, Greece, 16–21 June 2024. [Google Scholar]
- Darendeli, M.B. Development of a New Family of Normalized Modulus Reduction and Material Damping Curves. Ph.D. Thesis, The University of Texas at Austin, Austin, TX, USA, 2001. [Google Scholar]
- Jardine, R.J.; Potts, D.M.; Burland, J.B.; Fourie, A.B. Studies of the Influence of Non-Linear Stress–Strain Characteristics in Soil–Structure Interaction. Geotechnique 1986, 36, 377–396. [Google Scholar] [CrossRef]
- Taborda, D.M.G.; Potts, D.M.; Zdravković, L. On the Assessment of Energy Dissipated through Hysteresis in Finite Element Analysis. Comput. Geotech. 2016, 71, 180–194. [Google Scholar] [CrossRef]
- Vucetic, M.; Dobry, R. Effect of Soil Plasticity on Cyclic Response. J. Geotech. Eng. 1991, 117, 89–107. [Google Scholar] [CrossRef]
- Koronides, M.; Kontoe, S.; Zdravković, L.; Vratsikidis, A.; Pitilakis, D.; Anastasiadis, A.; David, P.M. Numerical and Experimental Evidence of the Impact of Soil Nonlinearity on the Response of an SSI System. In Geotechnical Engineering Challenges to Meet Current and Emerging Needs of Society, Proceedings of the XVIII ECSMGE 2024, Lisbon, Portugal, 26–30 August 2024; Guerra, N., Fernandes, M.M., Ferreira, C., Correia, A.G., Pinto, A., Pinto, P.S., Eds.; CRC Press: Boca Raton, FL, USA, 2024; pp. 1188–1193. [Google Scholar]
- Zhang, X.; Far, H. Effects of Dynamic Soil-Structure Interaction on Seismic Behaviour of High-Rise Buildings. Bull. Earthq. Eng. 2022, 20, 3443–3467. [Google Scholar] [CrossRef]
- Behnamfar, F.; Hadian, A.; Farazmand, M. Ductility Demand Estimation of High-Rise Steel Special Moment Frames Due to Structure-Pile-Soil Interaction. Geomech. Geoengin. 2024, 1–13. [Google Scholar] [CrossRef]
- Chigullapally, P.; Hogan, L.S.; Wotherspoon, L.M.; Stephens, M.; Pender, M.J. Experimental and Numerical Analysis of the Lateral Response of Full-Scale Bridge Piers. Bull. N. Z. Soc. Earthq. Eng. 2022, 55, 95–111. [Google Scholar] [CrossRef]
- Gerolymos, N.; Drosos, V.; Gazetas, G. Seismic Response of Single-Column Bent on Pile: Evidence of Beneficial Role of Pile and Soil Inelasticity. Bull. Earthq. Eng. 2009, 7, 547–573. [Google Scholar] [CrossRef]
- Goel, R.K. Evaluation of In-Ground Plastic-Hinge Length and Depth for Piles in Marine Oil Terminals. Earthq. Spectra 2015, 31, 2397–2417. [Google Scholar] [CrossRef]
- Heidari, M.; Hesham El Naggar, M. Design Guideline for Extended Pile Shaft Incorporating Nonlinear Pile-Soil Interaction. Ocean Eng. 2022, 243, 109371. [Google Scholar] [CrossRef]
- Memarpour, M.M.; Kimiaei, M.; Shayanfar, M.; Khanzadi, M. Cyclic Lateral Response of Pile Foundations in Offshore Platforms. Comput. Geotech. 2012, 42, 180–192. [Google Scholar] [CrossRef]
- Chiou, J.S.; Lin, C.L.; Chen, C.H. Exploring Influence of Sectional Flexural Yielding on Experimental Pile Response Analysis and Applicability of Distributed Plastic Hinge Model in Inelastic Numerical Simulation for Laterally Loaded Piles. Comput. Geotech. 2014, 56, 40–49. [Google Scholar] [CrossRef]
- VTTV. Set of Confidential Design Documents Provided by VTTV, Infrastructure Owner of the Marine Jetty of Vasiliko, Cyprus; VTTV: Limassol, Cyprus, 2018. [Google Scholar]
- BS EN 1997-3 2000; Eurocode 7. Geotechnical Design. Design Assisted by Fieldtesting. British Standards Institution: London, UK, 2000.
- BS EN 1997-2 2007; Eurocode 7. Geotechnical Design. Ground Investigation and Testing. British Standards Institution: London, UK, 2007.
- Bowles, J.E. Foundation Analysis and Design; McGraw-Hill: New York, NY, USA, 1996. [Google Scholar]
- Lazarou, G.; Loukidis, D.; Bardanis, M. Seasonal Soil Moisture Changes under Mat Foundations in Nicosia Marl. In Proceedings of the 26th European Young Geotechnical Engineers Conference, Graz, STY, Austria, 11–14 September 2018; International Society for Soil Mechanics and Geotechnical Engineering: London, UK, 2018; pp. 205–214. [Google Scholar]
- Lazarou, G.; Loukidis, D.; Bardanis, M. Moisture Migration Under Mat Foundations in Nicosia Marl. Geotech. Geol. Eng. 2019, 37, 1585–1608. [Google Scholar] [CrossRef]
- Loukidis, D.; Bardanis, M.; Lazarou, G. Classification, Soil-Water Characteristic Curve and Swelling/Collapse Behaviour of the Nicosia Marl, Cyprus. In E3S Web of Conferences (Vol. 9), Proceedings of the 3rd European Conference on Unsaturated Soils—“E-UNSAT 2016”, Paris, France, 12–14 September 2016; EDP Sciences: Les Ulis, France, 2016. [Google Scholar]
- Loukidis, D.; Lazarou, G.; Bardanis, M. Numerical Simulation of Swelling Soil—Mat Foundation Interaction. In Proceedings of the 17th European Conference on Soil Mechanics and Geotechnical Engineering, ECSMGE 2019—Proceedings, Reykjavik, Iceland, 1–6 September 2019; International Society for Soil Mechanics and Geotechnical Engineering: London, UK, 2019; pp. 1–9. [Google Scholar]
- BS EN 1997-1:2004; Eurocode 7: Geotechnical Design. British Standards Institution: London, UK, 2004.
- Malik, M.H.; Rashid, S. Correlation of Some Engineering Geological Properties of the Murree Formation at Lower Topa (Murree District), Pakistan. Geol. Bull. Univ. Peshawar 1997, 30, 69–81. [Google Scholar]
- Małkowski, P.; Ostrowski, Ł.; Brodny, J. Analysis of Young’s Modulus for Carboniferous Sedimentary Rocks and Its Relationship with Uniaxial Compressive Strength Using Different Methods of Modulus Determination. J. Sustain. Min. 2018, 17, 145–157. [Google Scholar] [CrossRef]
- Reese, L.C.; Cox, W.R.; Koop, F.D. Field Testing and Analysis of Laterally Loaded Piles Om Stiff Clay. In Proceedings of the Offshore Technology Conference, Houston, TX, USA, 4–7 May 1975; OTC: Houston, TX, USA, 1975. [Google Scholar]
- Dassault Systèmes Simulia Corp. ABAQUS Standard User’s Manual; Dassault Systèmes Simulia Corp: Providence, RI, USA, 2020. [Google Scholar]
- Ramberg, W.; Osgood, W.R. Description of Stress-Strain Curves by Three Parameters (NACA-TN-902); NASA Scientific and Technical Information Office: Washington, DC, USA, 1943. [Google Scholar]
- Koronides, M.; Kontoe, S.; Zdravković, L.; Vratsikidis, A.; Pitilakis, D. Numerical Simulation of SSI Free and Forced Vibration Experiments on Real Scale Structures of Different Stiffness. Soil Dyn. Earthq. Eng. 2023, 175, 108232. [Google Scholar] [CrossRef]
- Poulos, H.G.; Davis, E.H. Pile Foundation Analysis and Design; Wiley: New York, NY, USA, 1980. [Google Scholar]
- API RP 2A-WSD Recommended Practice for Planning, Designing and Constructing Fixed Offshore Platforms–Working Stress Design; American Petroleum Institute: Washington, DC, USA, 2000.
- DNV. Offshore Soil Mechanics and Geotechnical Engineering DNV-RP-C212; DNV: Bærum, Norway, 2021. [Google Scholar]
- Vesic, A.B. Bending of Beams Resting ON Isotropic Elastic Solid. J. Eng. Mech. Div. 1961, 87, 35–53. [Google Scholar] [CrossRef]
- BS EN ISO 19901-4-2016; Petroleum and Natural Gas Industries—Specific Requirements for Offshore Structures—Part 4: Geotechnical and Foundation Design Considerations (ISO 19901-4:2016). British Standards Institution: London, UK, 2016.
- Wei, K.; Liu, Q.; Qin, S. Nonlinear Assessment of Offshore Steel Trestle Subjected to Wave and Current Loads. Ships Offshore Struct. 2020, 15, 479–491. [Google Scholar] [CrossRef]


















| Acronym | Behaviour | fy (MPa) | fu (MPa) | εu (%) |
|---|---|---|---|---|
| ELsteel | Elastic | n/a | n/a | n/a |
| EPsteel | Elastoplastic | 450 | 550 | 10 |
| Material | E (GPa) | ρ (Mg/m3) | ν |
|---|---|---|---|
| Concrete | 34 | 2.5 | 0.2 |
| Steel | 210 | 7.85 | 0.3 |
| Rigid Extension | 2E6 | 0.01 | 0.3 |
| Layer No. | Soil Type | Depth Below Seabed (m) | γ (kN/m3) | (MPa) | ν | φ’ (°) | Su (kPa) |
|---|---|---|---|---|---|---|---|
| 1 | Loose sand | 0–1.5 | Disregarded | ||||
| 2 | Dense sand | 1.5–3.0 | 19.4 | 60 | 0.3 | 30 | - |
| 3 | Dense sand | 3.0–7.0 | 19.4 | 100 | 0.35 | 30 | - |
| 4 | Weathered Nicosia Marl | 7.0–9.0 | 20.6 | 30 | 0.35 | - | 590 |
| 5 | Fresh Nicosia Marl | 9.0–26.35 (deepest pile tip) | 20.6 | 45 | 0.35 | - | 590 |
| (m) | (MPa) | (m4) |
|---|---|---|
| 1.067 | 2.10 × 105 | 1.19 × 10−2 |
| Layer No. | Soil Type | Depth Below the Seabed (m) | (kN/m) | (kN/m) | (kN/m) |
|---|---|---|---|---|---|
| 1 | Loose sand | 0–1.5 | Disregarded | ||
| 2 | Dense sand | 1.5–3.0 | 345 | - | 962 |
| 3 | Dense sand | 3.0–7.0 | 795 | - | 14,882 |
| 4 | Weathered Nicosia Marl | 7.0–9.0 | 9373 | - | 4487 |
| 5 | Fresh Nicosia Marl | 9.0–11.0 | 10,000 | - | 6962 |
| 11.0–15.35 (pile tip) * | 9676 | 556,236 | 6235 | ||
| 11.0–17.85 (pile tip) * | 10,217 | 556,236 | 6182 | ||
| 11.0–26.35 (pile tip) | 10,858 | 556,236 | 5937 | ||
Disclaimer/Publisher’s Note: The statements, opinions and data contained in all publications are solely those of the individual author(s) and contributor(s) and not of MDPI and/or the editor(s). MDPI and/or the editor(s) disclaim responsibility for any injury to people or property resulting from any ideas, methods, instructions or products referred to in the content. |
© 2024 by the authors. Licensee MDPI, Basel, Switzerland. This article is an open access article distributed under the terms and conditions of the Creative Commons Attribution (CC BY) license (https://creativecommons.org/licenses/by/4.0/).
Share and Cite
Koronides, M.; Michailides, C.; Stylianidis, P.; Onoufriou, T. Numerical Study of the Nonlinear Soil–Pile–Structure Interaction Effects on the Lateral Response of Marine Jetties. J. Mar. Sci. Eng. 2024, 12, 2075. https://doi.org/10.3390/jmse12112075
Koronides M, Michailides C, Stylianidis P, Onoufriou T. Numerical Study of the Nonlinear Soil–Pile–Structure Interaction Effects on the Lateral Response of Marine Jetties. Journal of Marine Science and Engineering. 2024; 12(11):2075. https://doi.org/10.3390/jmse12112075
Chicago/Turabian StyleKoronides, Marios, Constantine Michailides, Panagiotis Stylianidis, and Toula Onoufriou. 2024. "Numerical Study of the Nonlinear Soil–Pile–Structure Interaction Effects on the Lateral Response of Marine Jetties" Journal of Marine Science and Engineering 12, no. 11: 2075. https://doi.org/10.3390/jmse12112075
APA StyleKoronides, M., Michailides, C., Stylianidis, P., & Onoufriou, T. (2024). Numerical Study of the Nonlinear Soil–Pile–Structure Interaction Effects on the Lateral Response of Marine Jetties. Journal of Marine Science and Engineering, 12(11), 2075. https://doi.org/10.3390/jmse12112075

