Study on CO2-Enhanced Oil Recovery and Storage in Near-Depleted Edge–Bottom Water Reservoirs
Abstract
1. Introduction
2. Overview of the Reservoir
2.1. Structural Characteristics
2.2. Reservoir Condition
2.2.1. Reservoir Characteristics
- Sedimentary microphases and lithology
- 2.
- Reservoir characteristics
- 3.
- Distribution characteristics of interbedded layers
2.2.2. Fluid Properties
2.2.3. Temperature and Pressure
3. Model Description
3.1. Mathematical Model
- (1)
- CO2-EOR
- (2)
- CO2 storage
3.2. Numerical Simulation Model
4. Results and Discussion
4.1. Analysis of Oil Production in Near-Depleted Edge–Bottom Water Reservoir
4.1.1. Injection Modes
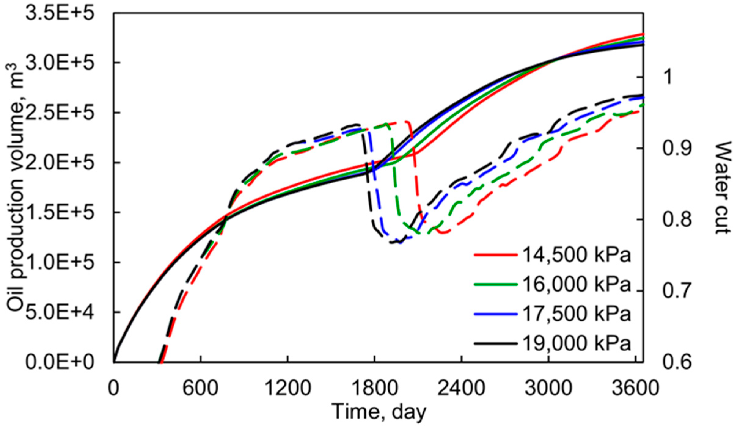
4.1.2. Injection Pressure
4.1.3. Gas Injection Rate
4.1.4. Liquid Production Rate
4.2. Analysis of CO2 Storage in Near-Depleted Edge–Bottom Water Reservoir
4.2.1. Injection Pressure
4.2.2. Injection Rate
4.2.3. Intermittent Gas Injection
5. Conclusions
Author Contributions
Funding
Institutional Review Board Statement
Data Availability Statement
Acknowledgments
Conflicts of Interest
Abbreviations
| CO2 | Carbon dioxide |
| EOR | Enhance oil recovery |
| CCUS | Carbon capture, utilization, and storage |
| CO2 EOR | CO2-enhanced oil recovery |
| CCS | CO2 capture and storage |
| WAG | Water-alternating-gas |
| SWAG | Simultaneous water and gas |
| SAG | Surfactant-alternating-gas |
| FWU | Farnsworth field unit |
| NCS | Norwegian Continental Shelf |
References
- Kennedy, C.; Steinberger, J.; Gasson, B.; Hansen, Y.; Hillman, T.; Havranek, M.; Pataki, D.; Phdungsilp, A.; Ramaswami, A.; Mendez, G.V. Greenhouse gas emissions from global cities. Environ. Sci. Technol. 2009, 43, 7297–7302. [Google Scholar] [CrossRef] [PubMed]
- Wang, F.; Harindintwali, J.D.; Yuan, Z.; Wang, M.; Wang, F.; Li, S.; Yin, Z.; Huang, L.; Fu, Y.; Li, L.; et al. Technologies and perspectives for achieving carbon neutrality. Innovation 2021, 2, 100180. [Google Scholar] [CrossRef] [PubMed]
- Rogelj, J.; Den Elzen, M.; Höhne, N.; Fransen, T.; Fekete, H.; Winkler, H.; Schaeffer, R.; Sha, F.; Riahi, K.; Meinshausen, M. Paris Agreement climate proposals need a boost to keep warming well below 2, C. Nature 2016, 534, 631–639. [Google Scholar] [CrossRef] [PubMed]
- d’Amore, F.; Leonardo, L.; Fabrizio, B. Introducing social acceptance into the design of CCS supply chains: A case study at a European level. J. Clean. Prod. 2020, 249, 119337. [Google Scholar] [CrossRef]
- Zhang, S.; Zhuang, Y.; Tao, R.; Liu, L.; Zhang, L.; Du, J. Multi-objective optimization for the deployment of carbon capture utilization and storage supply chain considering economic and environmental performance. J. Clean. Prod. 2020, 270, 122481. [Google Scholar] [CrossRef]
- Tapia, J.F.D.; Lee, J.Y.; Ooi, R.E.H.; Foo, D.C.; Tan, R.R. A review of optimization and decision-making models for the planning of CO2 capture, utilization and storage (CCUS) systems. Sustain. Prod. Consum. 2018, 13, 1–15. [Google Scholar] [CrossRef]
- Greig, C.; Uden, S. The value of CCUS in transitions to net-zero emissions. Electron J. 2021, 34, 107004. [Google Scholar] [CrossRef]
- Yang, C.; Dai, Z.; Romanak, K.D.; Hovorka, S.D.; Treviño, R.H. Inverse modeling of water-rock-CO2 batch experiments: Potential impacts on groundwater resources at carbon sequestration sites. Environ. Sci. Technol. 2014, 48, 2798–2806. [Google Scholar] [CrossRef]
- Shaffer, G. Long-term effectiveness and consequences of carbon dioxide sequestration. Nat. Geosci. 2010, 3, 464–467. [Google Scholar] [CrossRef]
- Bacon, D.H.; Qafoku, N.P.; Dai, Z.; Keating, E.H.; Brown, C.F. Modeling the impact of carbon dioxide leakage into an unconfined, oxidizing carbonate aquifer. Int. J. Greenh. Gas Control. 2016, 44, 290–299. [Google Scholar] [CrossRef]
- Dai, Z.; Middleton, R.; Viswanathan, H.; Fessenden-Rahn, J.; Bauman, J.; Pawar, R.; Lee, S.-Y.; McPherson, B. An integrated framework for optimizing CO2 sequestration and enhanced oil recovery. Environ. Sci. Technol. Lett. 2014, 1, 49–54. [Google Scholar] [CrossRef]
- Bacon, D.H.; Dai, Z.; Zheng, L. Geochemical impacts of carbon dioxide, brine, trace metal and organic leakage into an unconfined, oxidizing limestone aquifer. Energy Procedia 2014, 63, 4684–4707. [Google Scholar] [CrossRef]
- Ilyushin, Y.V.; Novozhilov, I.M. Automation of the Paraffin Oil Production Technological Process. In Proceedings of the 2019 III International Conference on Control in Technical Systems (CTS), St. Petersburg, Russia, 30 October–1 November 2019; pp. 164–167. [Google Scholar]
- Nordbotten, J.M.; Celia, M.A.; Bachu, S. Injection and storage of CO2 in deep saline aquifers: Analytical solution for CO2 plume evolution during injection. Transp. Porous Media 2005, 58, 339–360. [Google Scholar] [CrossRef]
- Dai, Z.; Stauffer, P.H.; Carey, J.W.; Middleton, R.S.; Lu, Z.; Jacobs, J.F.; Hnottavange-Telleen, K.; Spangler, L.H. Pre-site characterization risk analysis for commercial-scale carbon sequestration. Environ. Sci. Technol. 2014, 48, 3908–3915. [Google Scholar] [CrossRef]
- Mim, R.T.; Negash, B.M.; Jufar, S.R.; Ali, F. Minireview on CO2 Storage in Deep Saline Aquifers: Methods, Opportunities, Challenges, and Perspectives. Energy Fuels 2023, 37, 18467–18484. [Google Scholar] [CrossRef]
- Haugan, P.M.; Drange, H. Sequestration of CO2 in the deep ocean by shallow injection. Nature 1992, 357, 318–320. [Google Scholar] [CrossRef]
- Christensen, J.R.; Stenby, E.H.; Skauge, A. Review of WAG field experience. SPE Reserv. Eval. Eng. 2001, 4, 97–106. [Google Scholar] [CrossRef]
- Gale, J.; Freund, P. Coal-bed methane enhancement with CO2 sequestration worldwide potential. Environ. Geosci. 2001, 8, 210–217. [Google Scholar] [CrossRef]
- Hamza, A.; Hussein, I.A.; Al-Marri, M.J.; Mahmoud, M.; Shawabkeh, R.; Aparicio, S. CO2 enhanced gas recovery and sequestration in depleted gas reservoirs: A review. J. Pet. Sci. Eng. 2021, 196, 107685. [Google Scholar] [CrossRef]
- Cui, G.; Zhu, L.; Zhou, Q.; Ren, S.; Wang, J. Geochemical reactions and their effect on CO2 storage efficiency during the whole process of CO2 EOR and subsequent storage. Int. J. Greenh. Gas Control. 2021, 108, 103335. [Google Scholar] [CrossRef]
- Brnak, J.; Petrich, B.; Konopczynski, M.R. Application of SmartWell technology to the SACROC CO2 EOR project: A case study. In Proceedings of the DOE Symposium on Improved Oil Recovery, Tulsa, OK, USA, 22–26 April 2006; OnePetro: Richardson, TX, USA, 2006. [Google Scholar]
- Global Status of CCS 2023—Report & Executive Summary; Global CCS Institute: Melbourne, Australia, 2023.
- Quintella, C.M.; Dino, R.; Musse, A.P. CO2 enhanced oil recovery and geologic storage: An overview with technology assessment based on patents and article. In Proceedings of the International Conference on Health, Safety and Environment in Oil and Gas Exploration and Production, Rio de Janeiro, Brazil, 12–14 April 2010; OnePetro: Richardson, TX, USA, 2010. [Google Scholar]
- Ren, B.; Duncan, I.J. Reservoir simulation of carbon storage associated with CO2 EOR in residual oil zones, San Andres formation of West Texas, Permian Basin, USA. Energy 2019, 167, 391–401. [Google Scholar] [CrossRef]
- Zhong, Z.; Liu, S.; Carr, T.R.; Takbiri-Borujeni, A.; Kazemi, M.; Fu, Q. Numerical simulation of water-alternating-gas process for optimizing EOR and carbon storage. Energy Procedia 2019, 158, 6079–6086. [Google Scholar] [CrossRef]
- Karimaie, H.; Nazarian, B.; Aurdal, T.; Nøkleby, P.H.; Hansen, O. Simulation study of CO2 EOR and storage potential in a North Sea Reservoir. Energy Procedia 2017, 114, 7018–7032. [Google Scholar] [CrossRef]
- Wei, J.; Zhou, X.; Zhou, J.; Li, J.; Wang, A. Experimental and simulation investigations of carbon storage associated with CO2 EOR in low-permeability reservoir. Int. J. Greenh. Gas Control. 2021, 104, 103203. [Google Scholar] [CrossRef]
- Li, Z.; Liu, J.; Su, Y.; Fan, L.; Hao, Y.; Kanjibayi, B.; Huang, L.; Ren, S.; Sun, Y.; Liu, R. Influences of diffusion and advection on dynamic oil-CO2 mixing during CO2 EOR and storage process: Experimental study and numerical modeling at pore-scales. Energy 2023, 267, 126567. [Google Scholar] [CrossRef]
- Wang, Y.Y.; Wang, X.G.; Dong, R.C.; Teng, W.-C.; Zhan, S.-Y.; Zeng, G.-Y.; Jia, C.-Q. Reservoir heterogeneity controls of CO2-EOR and storage potentials in residual oil zones: Insights from numerical simulations. Pet. Sci. 2023, 20, 2879–2891. [Google Scholar] [CrossRef]
- Haro, H.A.V.; de Paula Gomes, M.S.; Rodrigues, L.G. Numerical analysis of carbon dioxide injection into a high permeability layer for CO2-EOR projects. J. Pet. Sci. Eng. 2018, 171, 164–174. [Google Scholar] [CrossRef]
- Ampomah, W.; Balch, R.S.; Grigg, R.B.; Cather, M.; Will, R.A.; Lee, S.Y. Optimization of CO2-EOR Process in Partially Depleted Oil Reservoirs. In Proceedings of the Western Regional Meeting, Anchorage, AK, USA, 23–26 May 2016; OnePetro: Richardson, TX, USA, 2016. [Google Scholar]
- Imanovs, E.; Krevor, S.; Mojaddam Zadeh, A. CO2-EOR and storage potentials in depleted reservoirs in the Norwegian continental shelf NCS. In Proceedings of the SPE Europec, Virtual, 1–3 December 2020; OnePetro: Richardson, TX, USA, 2020. [Google Scholar]
- Liao, H.; Xu, T.; Yu, H. Progress and prospects of EOR technology in deep, massive sandstone reservoirs with a strong bottom-water drive. Energy Geosci. 2024, 5, 100164. [Google Scholar] [CrossRef]
- Hannis, S.; Lu, J.; Chadwick, A.; Hovorka, S.; Kirk, K.; Romanak, K.; Pearce, J. CO2 storage in depleted or depleting oil and gas fields: What can we learn from existing projects? Energy Procedia 2017, 114, 5680–5690. [Google Scholar] [CrossRef]
- Agartan, E.; Gaddipati, M.; Yip, Y.; Savage, B.; Ozgen, C. CO2 storage in depleted oil and gas fields in the Gulf of Mexico. Int. J. Greenh. Gas Control. 2018, 72, 38–48. [Google Scholar] [CrossRef]
- Orlic, B. Geomechanical effects of CO2 storage in depleted gas reservoirs in the Netherlands: Inferences from feasibility studies and comparison with aquifer storage. J. Rock Mech. Geotech. Eng. 2016, 8, 846–859. [Google Scholar] [CrossRef]
- Mo, S.; Akervoll, I. Modeling long-term CO2 storage in aquifer with a black-oil reservoir simulator. In Proceedings of the DOE Exploration and Production Environmental Conference, Galveston, TX, USA, 7–9 March 2005; OnePetro: Richardson, TX, USA, 2005. [Google Scholar]
- Li, D.; Saraji, S.; Jiao, Z.; Zhang, Y. CO2 injection strategies for enhanced oil recovery and geological sequestration in a tight reservoir: An experimental study. Fuel 2021, 284, 119013. [Google Scholar] [CrossRef]
- Saffou, E.; Raza, A.; Gholami, R.; Croukamp, L.; Elingou, W.R.; van Bever Donker, J.; Opuwari, M.; Manzi, M.S.D.; Durrheim, R.J. Geomechanical characterization of CO2 storage sites: A case study from a nearly depleted gas field in the Bredasdorp Basin, South Africa. J. Nat. Gas Sci. Eng. 2020, 81, 103446. [Google Scholar] [CrossRef]
- Sun, Q.; Ampomah, W.; Kutsienyo, E.J.; Appold, M.; Adu-Gyamfi, B.; Dai, Z.; Soltanian, M.R. Assessment of CO2 trapping mechanisms in partially depleted oil-bearing sands. Fuel 2020, 278, 118356. [Google Scholar] [CrossRef]
- Rasool, M.H.; Ahmad, M.; Ayoub, M. Selecting Geological Formations for CO2 Storage: A Comparative Rating System. Sustainability 2023, 15, 6599. [Google Scholar] [CrossRef]
- Computer Modelling Group. CMG GEM—Compositional & Unconventional Simulator. 2019. Available online: https://www.cmgl.ca/ (accessed on 25 September 2024).
- Chen, Z. Reservoir Simulation: Mathematical Techniques in Oil Recovery; Society for Industrial and Applied Mathematics: Philadelphia, PA, USA, 2007. [Google Scholar]
- Izgec, O.; Demiral, B.; Bertin, H.; Akin, S. CO2 injection in carbonates. In Proceedings of the SPE Western Regional Meeting, Irvine, CA, USA, 30 March–1 April 2005; SPE: Richardson, TX, USA, 2005. [Google Scholar]
- Peng, D.; Donald, B.R. A new two-constant equation of statea. Ind. Eng. Chem. Fundam. 1976, 15, 59–64. [Google Scholar] [CrossRef]
- Narinesingh, J.; Boodlal, D.V.; Alexander, D. Feasibility study on the implementation of CO2-EOR coupled with sequestration in Trinidad via reservoir simulation. In Proceedings of the Energy Resources Conference, Port of Spain, Trinidad and Tobago, 9–11 June 2014; OnePetro: Richardson, TX, USA, 2014. [Google Scholar]
- Phi, T.; Schechter, D. CO2 EOR simulation in unconventional liquid reservoirs: An Eagle Ford case study. In Proceedings of the Unconventional Resources Conference, Calgary, AB, Canada, 15–16 February 2017; OnePetro: Richardson, TX, USA, 2017. [Google Scholar]
- Alfarge, D.; Wei, M.; Bai, B. Mechanistic study for the applicability of CO2-EOR in unconventional Liquids rich reservoirs. In Proceedings of the Improved Oil Recovery Conference, Tulsa, OK, USA, 14–18 April 2018; OnePetro: Richardson, TX, USA, 2018. [Google Scholar]
- Hosseini, S.A.; Alfi, M.; Nicot, J.P.; Nuñez-Lopez, V. Analysis of CO2 storage mechanisms at a CO2-EOR site, Cranfield, Mississippi. Greenh. Gases Sci. Technol. 2018, 8, 469–482. [Google Scholar] [CrossRef]
- Cao, M.; Gu, Y. Physicochemical characterization of produced oils and gases in immiscible and miscible CO2 flooding processes. Energy Fuels 2013, 27, 440–453. [Google Scholar] [CrossRef]
- Holubnyak, Y.; Watney, W.; Rush, J.; Fazelalavi, F. Reservoir Engineering Aspects of Pilot Scale CO2 EOR Project in Upper Mississippian Formation at Wellington Field in Southern Kansas. Energy Procedia 2014, 63, 7732–7739. [Google Scholar] [CrossRef]
- Cao, R.; Knapp, J.; Bikkina, P.; Esposito, R. CO2 Storage Potential Reconnaissance of the Newly Identified Red Beds of Hazlehurst in the Southeastern United States. Front. Energy Res. 2021, 9, 793300. [Google Scholar] [CrossRef]
- Burton, M.M.; Bryant, S.L. Eliminating buoyant migration of sequestered CO2 through surface dissolution: Implementation costs and technical challenges. SPE Reserv. Eval. Eng. 2009, 12, 399–407. [Google Scholar] [CrossRef]
- Pentland, C.H.; Itsekiri, E.; Al Mansoori, S.K.; Iglauer, S.; Bijeljic, B.; Blunt, M.J. Measurement of nonwetting-phase trapping in sandpacks. SPE J. 2010, 15, 274–281. [Google Scholar] [CrossRef]
- Pruess, K.; Xu, T.; Apps, J.; Garcia, J. Numerical modeling of aquifer disposal of CO2. SPE J. 2003, 8, 49–60. [Google Scholar] [CrossRef]
- Li, Y.; Long, X.N. Phase equilibria of oil, gas and water/brine mixtures from a cubic equation of state and Henry’s law. Can. J. Chem. Eng. 1986, 64, 486–496. [Google Scholar] [CrossRef]
- Yu, Z.; Liu, L.; Liu, K.; Yang, S.; Yang, Y. Petrological characterization and reactive transport simulation of a high-water-cut oil reservoir in the Southern Songliao Basin, Eastern China for CO2 sequestration. Int. J. Greenh. Gas Control. 2015, 37, 191–212. [Google Scholar] [CrossRef]
- Wang, C.; Wang, W.; Su, Y.; Zhao, Y.; Wen, J.; Li, L.; Hao, Y. Assessment of CO2 storage potential in high water-cut fractured volcanic gas reservoirs—Case study of China’s SN gas field. Fuel 2023, 335, 126999. [Google Scholar] [CrossRef]

















| Septal Interlayer | Composition | Mechanisms of Formation |
|---|---|---|
| Muddy | Mudstones, siltstones, muddy siltstones, shales | Sedimentation due to diminished hydrodynamics, with complete sheltering effect. |
| Calcareous | Calcareous siltstones, calcareous mudstones, calcareous shales | Related to the unevenness of the carbonate formation and dissolution, it is found at the junction of the top and base of the sandstone with the mudstone. With complete sheltering effect. |
| Stratigraphy | Sand, mud | Partially sheltered. |
Disclaimer/Publisher’s Note: The statements, opinions and data contained in all publications are solely those of the individual author(s) and contributor(s) and not of MDPI and/or the editor(s). MDPI and/or the editor(s) disclaim responsibility for any injury to people or property resulting from any ideas, methods, instructions or products referred to in the content. |
© 2024 by the authors. Licensee MDPI, Basel, Switzerland. This article is an open access article distributed under the terms and conditions of the Creative Commons Attribution (CC BY) license (https://creativecommons.org/licenses/by/4.0/).
Share and Cite
Xu, J.; Wan, H.; Wu, Y.; Liu, S.; Yan, B. Study on CO2-Enhanced Oil Recovery and Storage in Near-Depleted Edge–Bottom Water Reservoirs. J. Mar. Sci. Eng. 2024, 12, 2065. https://doi.org/10.3390/jmse12112065
Xu J, Wan H, Wu Y, Liu S, Yan B. Study on CO2-Enhanced Oil Recovery and Storage in Near-Depleted Edge–Bottom Water Reservoirs. Journal of Marine Science and Engineering. 2024; 12(11):2065. https://doi.org/10.3390/jmse12112065
Chicago/Turabian StyleXu, Jianchun, Hai Wan, Yizhi Wu, Shuyang Liu, and Bicheng Yan. 2024. "Study on CO2-Enhanced Oil Recovery and Storage in Near-Depleted Edge–Bottom Water Reservoirs" Journal of Marine Science and Engineering 12, no. 11: 2065. https://doi.org/10.3390/jmse12112065
APA StyleXu, J., Wan, H., Wu, Y., Liu, S., & Yan, B. (2024). Study on CO2-Enhanced Oil Recovery and Storage in Near-Depleted Edge–Bottom Water Reservoirs. Journal of Marine Science and Engineering, 12(11), 2065. https://doi.org/10.3390/jmse12112065

