Next Article in Journal
Numerical Simulation and Experimental Validation of the Acoustical Target Strength of Bluefin Tuna Swimbladders Derived from 3D Computed Tomographic Images
Previous Article in Journal
Study on the Vertical Distribution Characteristics of Suspended Sediment Driven by Waves and Currents
 
 
Font Type:
Arial Georgia Verdana
Font Size:
Aa Aa Aa
Line Spacing:
Column Width:
Background:
Article

Numerical Study of Air Cushion Effect in Notched Disk Water Entry Process Using Structured Arbitrary Lagrangian–Eulerian Method

1
College of Shipbuilding Engineering, Harbin Engineering University, Harbin 150001, China
2
China Aerodynamics Research and Development Center, Mianyang 621000, China
*
Author to whom correspondence should be addressed.
J. Mar. Sci. Eng. 2024, 12(11), 2012; https://doi.org/10.3390/jmse12112012
Submission received: 9 October 2024 / Revised: 3 November 2024 / Accepted: 5 November 2024 / Published: 8 November 2024
(This article belongs to the Section Ocean Engineering)

Abstract

This paper presents a novel numerical investigation into the air cushion effect and impact loads during the water entry of notched discs, utilizing the Structured Arbitrary Lagrangian–Eulerian (S-ALE) algorithm in LS-DYNA. Unlike prior studies that focused on smooth or unnotched geometries, the present study explores how varying notch parameters influence the fluid–solid coupling process during high-speed water entry. The reliability and accuracy of the computational method are validated through grid independence verification and comparisons with experimental data and empirical formulas. Systematic analysis of the effects of notch size, water entry velocity, and entry angle on the evolution of the free surface, impact loads, and structural responses uncovers several novel findings. Notably, increasing the notch diameter significantly enhances the formation and stability of the air cushion, leading to a considerable reduction in peak impact loads—a phenomenon not previously quantified. Additionally, higher water entry Froude numbers are shown to accelerate air cushion compression and formation, markedly affecting free surface morphology and force distribution. The results also reveal that varying the water entry angle alters the air cushion’s morphological characteristics, where larger angles induce a more pronounced but less stable air cushion, influencing the internal structural response differently across regions.

1. Introduction

Research over the past century has highlighted the critical role of fluid–structure interactions in both scientific and industrial applications, including high-speed underwater vehicle entries [1,2], offshore structure stability [3,4], and emergency seaplane landings [5,6,7]. It is noteworthy that the “air cushion effect”, the interaction between air and the solid–liquid interface, which has the potential to impact the structural integrity and stability of the subject in question, is an indispensable topic in impact dynamics and fluid mechanics. Previous studies have consistently emphasized the importance of this effect [8,9,10].
Ambient air significantly influences hydrodynamic loads and pressure distribution on solid structures, crucially impacting their stability. Research indicates that airflow at the solid–liquid interface induces the deformation of the free surface, forming unstable wave-like depressions prior to water impact [11]. In utilizing an optical measurement technique based on total internal reflection, these minor surface deflections can be precisely measured [12]. Experimental observations reveal substantial bulging beneath the disc structure’s edge, indicative of a free-surface lifting phenomenon associated with Kelvin–Helmholtz instability [13,14]. Furthermore, the interstitial air layer between the liquid and solid plays a critical role in alleviating structural loads [15,16]. In disc-in-water impact experiments, this encapsulated air layer not only markedly reduces peak loads but also slows the rate of load increase, thereby offering a protective effect that positively influences the dynamic load response [17].
Meanwhile, scholars have carried out theoretical studies on the air cushion effect during water entry based on the experimental data obtained. Von Karman [18] proposed the concept of additional mass based on the principle of momentum conservation and derived the formula for predicting the impact load. Wagner [5] calculated the pressure distribution of a wedge in the process of water entry using the theory of potential flow around a flat plate and Bernoulli’s equations and put forward the theory of the approximation of a flat plate. Chuang [19] and Verhagen [6] used experiments to observe the air cushion of flat-bottomed structures during the water entry impact process and summarized the effect of the air cushion effect on the impact pressure. In addition, they proposed a method for calculating the impact pressure of rigid flat-bottomed structures by combining the air cushion effect, Chuang predicted the impact pressure by combining the conservation of momentum and the theory of the propagation of sound velocity in the air cushion, and Verhagen proposed the classical air cushion theory. On this basis, Hua Sun [20] investigated a simplified method for calculating the impact pressure and dynamic response of an elastic flat plate before impact into water, which defines the thickness of the air cushion, and used the computational method to validate it with Chuang’s experimental results and numerical simulations.
To amplify this effect, considerable research has concentrated on modifying the geometry of impact structures, recent investigations have elucidated the dynamics of water entry impacts across various structural geometries, uncovering significant insights into the air cushion effect. For instance, experiments using conical structures have revealed that this effect predominantly occurs at the cone’s apex, forming an annular wetted contact zone [21]. Contrary to expectations, comparative studies between elastic and rigid impactors using simple harmonic oscillators entering water have demonstrated that elasticity does not invariably reduce peak impact forces; in some instances, it actually increases them [22]. Additionally, modifying the surface patterns on flat discs has allowed researchers to analyze the relationship between impact forces and the total volume of the surface designs [23]. These findings not only enhance our understanding of the factors influencing the air cushion effect but also provide empirical evidence for the design of more effective impact buffering structures in the future.
High-speed water ingress processes are characterized by strong nonlinear behavioural features and involve more complex mechanical mechanisms, which present a significant challenge to theoretical studies due to the intricate coupling between various complex fluid motions and structures. Furthermore, the inlet process entails intricate developments in flow fields and structural responses, rendering direct observation of detailed information through experiments challenging. The advent of computer technology and the evolution of numerical methods have introduced novel avenues for investigating the water ingress phenomenon. An increasing number of scholars are employing diverse numerical computational techniques to examine the trans-media water ingress problem, including the following. Hu [24] used the Reynolds Averaged Navier–Stokes (RANS) model to calculate the effect of waves on the inlet process. Using the Arbitrary Lagrangian–Eulerian (ALE) method, Song [25] examined various structures to quantify the air cushion effect on the peak impact forces experienced by buoys during water entry. Similarly, Ma [8] developed a compressible multiphase flow model based on the Finite Volume Method (FVM), addressing the challenges posed by strong convolutional suction wave impacts. Moreover, meshless particle methods like Smooth Particle Hydrodynamics (SPH) [26,27] and the Moving Particle Semi-implicit (MPS) method have proven effective in solving complex fluid–structure coupling issues. These methods facilitate the prediction of free-surface fluid motion patterns and the structural responses during slamming. For instance, Fang [28] employed the multiphase Riemann–SPH method to explore the air cushion effect in the water slamming process of an LNG storage tank’s insulated plate, analyzing how impact velocity and the bottom rise angle affect slamming loads. Additionally, Yang [29] applied the MPS method to both viscous laminar and turbulent flows, conducting preliminary simulations on the large deformation damage problems of an elastic plate.
Despite these advancements, accurately predicting impact pressures, especially under extreme conditions, remains a significant challenge due to the highly nonlinear nature of the air cushion effect in impact environments. While numerical simulations provide intuitive visualizations of fluid flow and preliminary pressure predictions, refining these models to enhance their precision in extreme scenarios continues to be a critical area of research.
The objective of this study was to investigate the fluid–structure coupling characteristics during the water intake process of a fluted disc. This will involve an analysis of the air cushion behaviour and the generation and transfer mechanism of the impact load, as well as a detailed examination of the dynamic response characteristics of the structure during the water intake process of the disc. Additionally, the influence of different working conditions on the impact characteristics of the intake disc will be explored. In this paper, the structured arbitrary Lagrangian–Eulerian (S-ALE) method is employed to conduct a computational investigation into the water intake process of a disc with a notch. The influence of a range of factors, including notch parameters, Froude number, and water entry angle, on the fluid–solid coupling characteristics of disc water intake impacts was examined in depth. The evolution of the air cushion, the pressure distribution of the flow field, and the response characteristics of the disc structure under different working conditions were studied in detail. The variation rule of the disc inlet impact characteristics is summarized, with a view to providing a valuable basis for the structural safety and motion stability analysis of trans-medium dynamics.

2. Numerical Models and Simulation Methods

This study utilized the S-ALE method to numerically simulate the impact air cushion effect of a fluted disc under fluid–structure coupling, employing LS-DYNA software (lsprepost4.9) [30]. The S-ALE method is an advanced fluid–structure coupling simulation technique developed from the ALE method [31], featuring regular simplifications and adaptive mesh generation. This approach reduces computation time by 20% to 40% compared to the traditional ALE method, effectively tracking the boundary motion of the material structure and preventing mesh distortion.

2.1. Fluid-Domain Control Equation

The flow field control principle of the S-ALE method can be divided into two in-dependent coordinate systems, the material domain and the grid reference domain. Let the velocity in the material domain be u, the velocity in the grid reference domain be v, and the velocity difference between the two be w. The material domain control equations in the S-ALE calculation are
J t = J v i x i
where J is the Jacobian matrix and represents the relative volume differential.
The material governing equation in S-ALE calculation can be expressed in the form of a time derivative
b r t = b w f x
where b r is the reference domain function of b , representing the material–time derivative.
The following equations of conservation of mass, momentum, and energy are satisfied in the calculation of fluid motion:
ρ r t = ρ u i x i w i ρ x i
ρ u i r t = σ i j + ρ b i u i x i ρ w j u j x j
ρ e r t = σ i j u i , j + ρ b i u i ρ w j e x j
Among them, u i indicates the speed of matter; w i denotes relative speed; w i = v i u i ; u i r denotes the grid speed; σ i j indicates the stress tensor, σ i j = p δ i j + μ ( ν i j + ν j i ) ; and b i indicates force per unit volume.

2.2. S-ALE Fluid–Solid Coupling Boundary Problem

S-ALE uses a smooth delta approximation function to represent the interaction between the flow field and the structure by adding a “source term”, distributed nodal forces, and interpolated velocities to realize the simulation of the action and reaction between the structure and the flow field, and to optimize the ALE algorithm due to the definition of the contact between the fluid and the structure to produce fluid leakage and the pressure distribution of the continuity problem. The basic control equation is
ρ u t + u u = p + μ Δ u + F ( x , t )
u = 0
F ( x , t ) = f ( s , t ) δ ( x X ( s , t ) ) d s
X t ( s , t ) = u ( X ( s , t ) , t )
where u is the fluid velocity and ρ is the fluid density; p is the flow field pressure; t is time; μ is the dynamic viscosity coefficient; F ( x , t ) is all the volume forces of the flow field subjected to the boundary, where x is the displacement of the immersed boundary; f ( s , t ) is the unit force generated by the immersion boundary; X ( s , t ) is the Dirac delta function; and δ is the smooth Dirac function.

2.3. Time Integration

The S-ALE method is solved using the LS-DYNA software, wherein the numerical processor updates the grid positions in real time via centre differences. The explicit centre difference algorithm employed by LS-DYNA is conditionally stable, thereby imposing a limit on the time step due to the explicit time integration. The key stable time step of the integration algorithm imposes a limit on the size of the time step, with the time step in the explicit algorithm typically smaller than that in the implicit algorithm during the solution process. The minimum time step Δ t is a function of the characteristic length of the element Δ x , the sound velocity c of the material, and the particle velocity u .
Δ t < Δ x c + u
Furthermore, in LS-DYNA’s explicit dynamics analysis, the Courant number cannot be specified directly; rather, it is controlled indirectly by defining the time step and grid size. Once the grid size has been defined, the Courant stability condition can be satisfied by adjusting the time step. The Courant stability condition for the time step can be expressed as follows:
Δ t < Δ x Q + Q 2 + c 2 1 2
Q = C 1 c + C 2 | div ( u ) | ( div ( u ) < 0 )
Q = 0 ( div ( u ) 0 )
In this study, the derived term of shock wave viscosity, denoted by Q, is calculated using the linear and quadratic coefficients, C1 and C2, of shock wave viscosity, respectively. The time steps of the calculations range from 5 × 10−5 s to 2 × 10−4 s.

2.4. Computational Verification of Coupling Method

The aim of this study was to validate the accuracy and convergence of the adopted S-ALE method by means of the flat-plate in-water impact tests performed by Ma et al. [8]. A sketch of the numerical model is shown in Figure 1, where M, L, and V impact distributions represent the mass, length, and impact velocity of the flat plate. H and W rep-resent the depth and width of the water, respectively. In the experiment, the length of the plate was L = 0.25 m, and the mass was M = 32 kg. The plate was initially released stationary and fell freely, hitting the water surface at a speed of 5.5 m/s, and the width and depth of the water were set to W = 1.2 m and H = 0.8 m, respectively. In addition, the reference density of the water and the air domain was set to 1000 kg/m3 and 1 kg/m3, respectively, and the bottom centre of the water is defined as the origin of the time coordinate.
Figure 2 shows the force and pressure comparison curves at the centre of the plate, and the simulation results are in good agreement with the experimental results. The peak forces and pressures are slightly lower than the experimental values, which may be due to factors such as the slight deflection of the plate drop and the non-smooth surface of the plate during the experiment. The load at the centre of the plate is generated only at the moment of collision with the water surface, followed by the formation of an air cushion between the lower side of the plate and the surface of the water, which results in the load tending to zero; at the same time, the first pressure peak in the centre of the plate was correlated with t = 0 time, which is consistent with the way Ma [8] expressed it. In addition, Figure 3 depicts the formation of an air cushion at the impact surface of the plate, which gradually increases in thickness as the plate continues to impact and the level of the liquid rises on both sides of the plate, and as the thickness increases, the effect of the impact load on the flat plate becomes less and less. In general, for Ma et al.’s [8] flat water drop test involving the air cushion effect, the research method in this paper has good accuracy in predicting the impact load of the structure.

2.5. Numerical Models and Mesh Details

In order to simulate the impact process of the fluted plate into water studied in this paper, the disc is assumed to be an elastic body, without considering the plastic deformation or material failure of the disc. The main material parameters are shown in Table 1.
Figure 4a depicts the computational domain and boundary conditions. Two Cartesian coordinate systems are defined: the Earth coordinate system, which starts at the bottom centre of the watershed, and an accompanying local coordinate system, centred on the mass of the disc. Since the watershed and the disc are axisymmetric structures, a one-half axisymmetric model is considered for modelling. The air and water regions in Figure 4b are segmented using the volume fraction method and progressively meshed with the S-ALE characteristic keyword *ALE_STRUCTURED_MESH in order to improve the accuracy of the critical points (especially the water-air interface) so that the evolution of the air cushion effect can be precisely observed. Figure 4c shows the initialized volume fraction of the watershed, depicting the range of dimensions of the air domain and the water domain in terms of the diameter D of the disc.
Water and air are defined as multi-material groups, and the compressibility effects of both materials are considered in the simulation. Their properties are described by the equation of state (EOS). In this study, air was used as an ideal gas, its viscosity was neglected, and its density was 1.29 kg/m3. The air model is described by a linear polynomial equation of state, and its equation of state parameters are shown in Table 2. The pressure is given by
P = C 0 + C 1 μ + C 2 μ 2 + C 3 μ 3 + ( C 4 + C 5 μ + C 6 μ 2 ) E
where C 0 ,   C 1 , C 2 ,   C 3 , C 4 , C 5 , and C 6 are customized constants; and E is the internal energy per unit of initial volume.
In LS-DYNA, in order to realize the static equilibrium of the flow field under gravity, it is necessary to set the far-field boundary and pressure initial state of the flow field. For the setting of the boundary conditions, the reflection-free setting of the flow field is performed by means of the *SET_SOLID_GENERAL keyword. After applying gravity in the overall coordinate system, the adjustment of hydrostatic pressure initialization is carried out, the reference pressure value of the air layer is set to 0, and the hydrostatic water is pressure-stratified through the *INITIAL_HYDROSTATIC_ALE keyword. The Mie–Gruneisen equation defines the equation of state of the water, and the parameters of the equation of state are shown in Table 3:
P = ρ C 2 μ [ 1 + ( 1 + r 0 2 ) μ a 2 μ 2 ] 1 ( S 1 1 ) μ S 2 μ 2 μ + 1 S 3 μ 3 μ + 1 2 2 + ( γ 0 + a μ ) E
where C is the shock wave velocity; E is the specific internal energy of the fluid; ρ 0 is the fluid density; γ 0 is the Gruneisen gamma; α is the first-order volumetric correction to the γ 0 ; and S 1 , S 2 , and S 3 are the coefficients of the slope of the curve. And since the material is not subjected to an initial load, the initial energy term E and the correction factor are set to 1.
The model in this paper was derived from the model parameters in the study of U. Jain [17], where a circular notch was set up on the impact surface of the original model with dimensions including the diameter and volume (denoted as d × Volume), as shown in Figure 4. The study of air cushion dynamics in an incoming water impact was carried out by setting different diameters of the notch and motion parameters of the circular disc, as shown in Table 4.
Figure 5a illustrates the computational domain and boundary conditions. Two right-handed Cartesian coordinate systems are defined: an Earth coordinate system o 0 x 0 y 0 z 0 that originates at the initial contact point of the water and an incidental local coordinate system o x y z that is centered on the mass of the disc. As the impact surface is symmetric, only one-half of the domain is modelled with symmetric boundary conditions. Figure 5b illustrates the application of a progressive mesh via the S-ALE attribute to enhance the precision at pivotal points (particularly the water interface). Figure 5c depicts the watershed dimensions and delineates the air and water domains through the volume fraction method.

2.6. Grid-Independent Verification

The mesh size has a considerable impact on the accuracy and efficiency of the computations. To validate the numerical results independently of the mesh, this study considered three mesh sizes: 2 mm (N = 4.84 million), 2.5 mm (N = 2.5 million), and 3 mm (N = 1.45 million). These are used to explore the effects of the mesh on the pressure during water entry and are validated according to Utkarsh Jain [15] et al. on the experimental modelling of the air cushion effect. The simulation was conducted using a steel disc with a diameter of 80 mm and an impact velocity of 1 m/s, and the initial conditions were set to a time step of 0.0001 s. The pressure distributions for varying grid densities are illustrated in Figure 6b. It is noteworthy that the pressure measurement exhibited a stable relative error of less than 5% over approximately 250 million cycles. To achieve a balance between calculation precision and time, different operational scenarios employed a grid strategy with 2.5 mm and 250,000 units. Figure 6a illustrates the maximum pressure and computational time for various grid sizes. When the grid size was reduced from 3 mm to 2.5 mm, the peak pressure increased by 47%. A reduction in the grid size to 2 mm resulted in a mere 3.8% change in peak pressure. The computation time for the 2.5 mm grid model was 3.5 h longer than that of the 3 mm grid model, while the computation time for the 2 mm grid model was significantly longer than that of the 2.5 mm grid model. Consequently, all water entry calculations were performed using the 2.5 mm grid to achieve an equilibrium between computational efficiency and precision.

2.7. Time-Step Independent Verification

Based on the grid-independence validation strategy of 2.50 million, the impact of peak acceleration at different time steps was verified numerically for the disc under an initial velocity of 1 m/s at 90° entry angle. As illustrated in Figure 7, the peak pressure at water entry exhibits a convergence trend from a time step of 0.0001. The growth rate of peak pressure demonstrates a decline with a decreasing time step, and the discrepancy between the maximum pressure peak and the 0.0001 s peak remains within 10%. In consideration of factors such as grid size and computational efficiency, a time step of 0.0001 s was selected for subsequent numerical simulations.

2.8. Effect of Penalty Function Factors p f on Shock Response

During the initial entry of a vehicle into water, various solid–liquid contact behaviours occur, necessitating a rigorous approach to model these interactions. The penalty function method is employed for this purpose, using face-to-face contact settings to analyze and resolve potential collisions. This method assesses contact by detecting if the interacting surfaces (master and slave) penetrate each other. If penetration occurs, the method introduces a contact force perpendicular to the master surface, functioning similarly to a spring (see Figure 8a) to prevent penetration and maintain realistic interaction dynamics. This approach ensures the accurate modelling of the vehicle’s behaviour during water entry, which is essential for evaluating design robustness and operational efficacy [32].
The penalty function contact algorithm is a fundamental component of the S-ALE fluid–structure coupling approach. It categorizes two potentially contacting free surfaces as master and slave surfaces. As these surfaces approach contact and begin to penetrate, “springs” are generated between them to prevent further penetration. The force produced by these springs, which effectively restrict penetration, is termed the interfacial contact force or interaction force.
The interfacial contact force is given by the following formula:
F = k δ
where k denotes the cell contact surface stiffness, and δ denotes the amount of penetration.
The k formula for the calculation is shown below:
k = p f K A 2 V
where p f denotes the stiffness penalty factor, K denotes the bulk modulus of elasticity, A denotes the contact area, and V denotes the principal area.
In using the 2.5 million mesh-independent validation strategy outlined above, the influence of different penalty function factors on a disc with an 80 mm diameter undergoing vertical water entry at 1 m/s was assessed. The penalty function factors tested were 0.1, 0.3, and 0.5. Based on prior discussions, the mesh size in the impact region was maintained at 2.5 mm.
Figure 8b presents shock pressure curves derived from different penalty function values. Although the curves are largely similar, minor discrepancies arise due to the air cushion effect, indicating that centre disc pressure is not highly sensitive to these values. However, significant differences become evident at the peak’s conclusion, where direct fluid slamming on the disc edge is more responsive to the penalty value, influencing the disc’s velocity and air cushion dynamics. A penalty value of 0.1 yields the smallest relative error in impact pressure calculations, as demonstrated by a comprehensive analysis.

3. Analysis of Calculation Results

In order to study the impact characteristics of the water entry of a notched disc, we conducted a simulation study of the water entry process under various operating parameters. We analyzed the effects of different notch diameters (d), water entry velocities (v), and water entry angles (θ) on the development of the air cushion effect, the flow field distribution, and the force characteristics of the disc.

3.1. Effect of Notch Diameter on Air Cushion and Impact Loads

In this study, in order to explore the influence of the notch diameter d on the impact air cushion effect and loading characteristics of discs entering water, we varied the disc notch diameter d while keeping the entry velocity v = 1 m/s and vertical entry constant, performed numerical simulations, and compared the various discs according to the methodology outlined in Section 2. Each set of simulations was repeated more than three times to ensure the validity of the values. For a given time, the diameter of the notch is inversely proportional to the impact pressure, as shown in Figure 9a, and the increase in the notch makes the retraction time of the air cushion produced by the entry of water longer, as shown by the pattern of the primary and secondary peaks, causing a continuous cycle of expansion and contraction that produces multiple crests over a period of time. It is evident that the evolution of the shock pressure loading at the centre of the disc comprises distinct phases, including a high peak loading resulting from air compression, a negative shock pressure attributable to circulation expansion, and a secondary shock force associated with the periodic compression–expansion behaviour of the air bubbles. Specifically, as can be seen in Figure 9b, a disc with a notched diameter reduces pressure by 52.7% compared to a disc without a notch. As the notch diameter decreases, the effectiveness of air trapping during impact is also greatly reduced, resulting in an earlier rupture and escape of the air cushion.
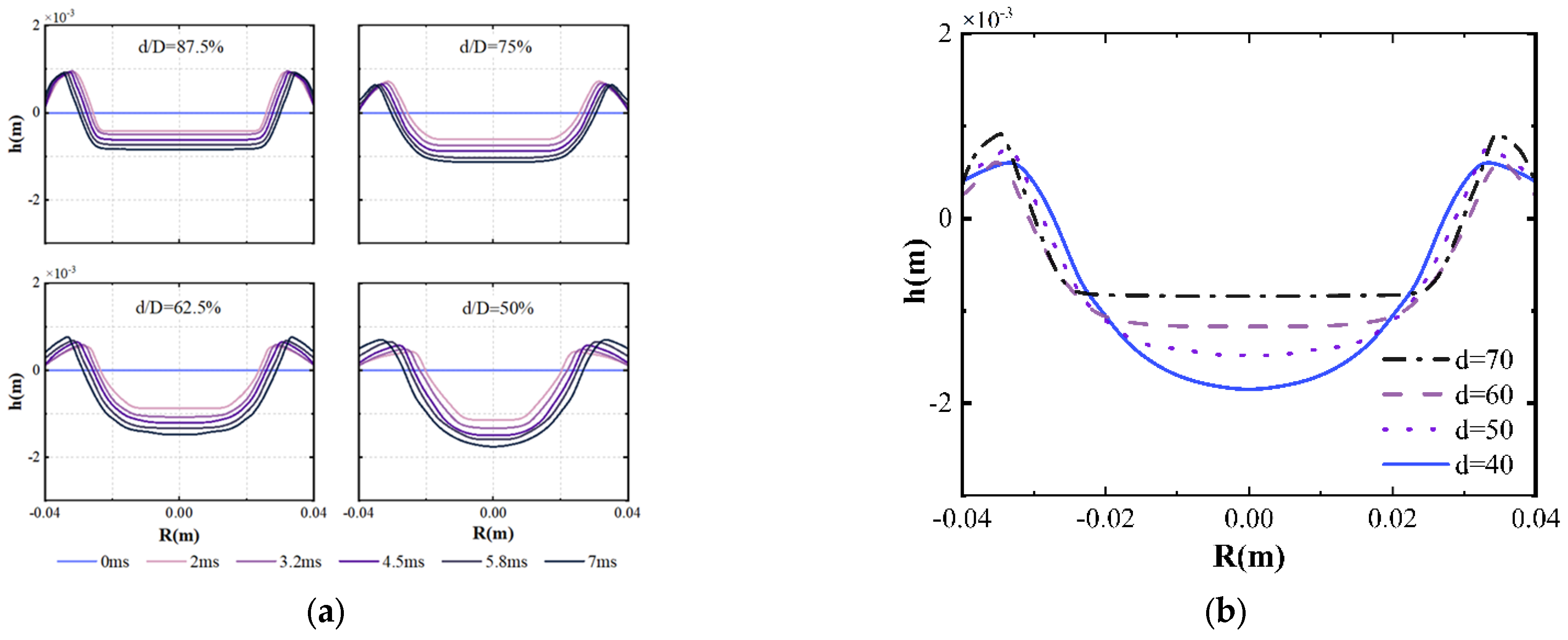
Figure 10a shows four time-varying snapshots of the free surface profile of the x-centre cross-section, showing the height h of the air cushion generated in front of the impacting water for discs with different notch diameters as a function of the disc radius r. The air cushion height h is the same as the radius r of the disc. Starting from 2 ms, the surface starts to concave, forming an air cushion matching the notch diameter, whose thickness increases with time. At the same time, a rise in the liquid surface at the edge of the disc is observed on both the planar disc and the fluted disc, which is consistent with the Kelvin-Helmholtz instability of the water-air interface [13]. The height of the raised liquid surface and its sputtering pattern depend on the impact Reynolds number, which reflects the importance of the kinematic viscosity of the liquid [33]. For example, a smaller notch, which produces, e.g., a 1.8 mm deep air cushion, gradually increases the width of the air cushion as the diameter of the notch increases, but the thickness of the air cushion is less than that of a disc with a small diameter of the notch, as shown in Figure 10b.
Figure 11a shows the flow field pressure and flow field volume fraction characteristics at the entry time t* = 0.0857. A smaller notch diameter leads to a more concentrated area of trapped air, making the local pressure higher as the air is compressed in a smaller volume, creating a stronger air cushion effect, but leading to a rapid dissipation of the air cushion. Conversely, the larger the notch diameter, the larger the area of distribution of trapped air, the greater the area over which the impact can be dispersed, and the air cushion will be maintained for a longer period of time, reducing the magnitude of the initial impact and lengthening the interaction time between the disc and the water surface. Figure 11b shows the change in the volume fraction of fluid under the air cushion. When the disc hits the water surface, the initial volume fraction of water under the air cushion is small because the air is initially compressed, causing the air cushion to expand. However, as the air begins to escape from the edge of the disc or from the notches, the volume fraction of water increases. The increase in the water volume fraction is critical because it marks the transition from an interaction that is primarily cushioned by air to one in which water begins to absorb and distribute impact energy. For larger notch diameters, the more the air cushion spreads across the bottom of the disc, and this spreading effect decreases the volume fraction of water directly below the disc because the compressed air occupies a larger portion of that volume. As a result, the impact of the fluid will be mitigated over a larger area, thus enhancing the cushioning effect. Conversely, a smaller diameter will confine the air cushion to a smaller area below the disc, and this structure increases the volume fraction of water near the centre of the disc, resulting in an increase in local pressure and therefore a reduction in the area over which impact energy is dissipated through the air cushion.

3.2. Effect of Water Entry Froude Number on Air Cushion and Impact Loads

In order to investigate the effect of Fr on the water entry characteristics of a disc with a notch, a series of studies were conducted to vary the value of Fr while keeping the diameter of the notch and the initial water entry angle constant. At a given time, the magnitude of the impact load on the disc is proportional to the value of the incoming Fr, as shown in Figure 12. From the basic principles of conservation of energy and momentum, increasing the Fr of the disc results in a greater transfer of momentum to the surrounding fluid through the air cushion underneath, and although the air cushion serves to mitigate the peak impact pressure, the overall impact load will be greater due to the increase in the kinetic energy of the disc. In Figure 13a, the surface cloud is generated by numerically integrating data corresponding to the force at the onset of the first peak’s rise in Figure 11, as outlined in Equation (15). This visualization emphasizes the development of the air cushion from its formation through to its collapse at the centre of the disc [17].
F m a ρ w R 3 h ..
I ( t ) = t 0 t F ( t ) d t
Due to the fluted design, the disc forms a cushion of air faster than a flat-bottomed disc when it enters the water. During impact, the rim and neighbouring fluids quickly surround the air cushion, allowing trapped air to quickly escape. This rapid air-fluid interaction can lead to the formation of an unstable air cushion. At lower velocities, the impulse accumulates more slowly, which prolongs the impact duration and highlights the differences in the behaviour of the air cushion at different velocities.
Figure 13b compares the peak impulse at different velocities for discs with notch depths of d = 30, 40, 50, 60, and 70 with the difference between the theoretical model and experimental data. The equations derived by Batchelor [34] and Peters [33] and the experimental results by Utkarsh Jain [17] are included. The comparative analysis aims to verify the agreement of the numerical simulations with the theoretical and experimental predictions, as well as to reveal the pattern of the impulse magnitude at different velocities.
I i m p a c t = 4 / 3 R 3 V ρ w
I i m p a c t = 0.315 ρ w π R 3 V
Specifically, the peak pulse values of the fluted discs at speeds from 0 to 2 m/s are consistently lower than the theoretical predictions, with smaller pulse measurements fluctuating around the predicted values 0.315 ρ w π R 3 V . However, the discrepancy occurs when velocities exceed 3 m/s: the air cushion rebound and puncture times are shortened and larger pulses occur.
As shown in Figure 14a, an increase in velocity leads to a faster displacement of the water medium around the disc, which traps more air underneath the disc and produces a larger initial air cushion. Figure 14b shows the comparison of the maximum thickness of the air cushion for different Fr values: the Fr value increases the thickness of the air cushion by 0.85 mm from 3.95 to 11.85, and it can be seen from the air cushion morphology that due to the increase in velocity, the air cushion undergoes wave-shaped instability under the compression of the impact force and air at Fr = 11.85.
As shown in Figure 15a, high speeds will subject the disc to greater shock loading, consistent with the pattern summarized for flat-bottomed discs. Higher speeds subject the air cushion to greater compressive forces as shown in Figure 15b, with initial pressures under the cushion reaching high peaks due to rapid compression, followed by pronounced troughs due to air escape or further compression in such a way that water is introduced into the air layer, thereby disrupting the continuity of the air cushion under the disc, and advancing the cushion’s progression from formation to air escape and then to fragmentation. At lower velocities, the disc will expel water more slowly, resulting in less air being initially trapped, and the resulting air cushion will be thinner or more unstable, with less cushioning of the impact force. And the air cushion is also likely to last longer before collapsing due to the air compression and the lower velocity of the water medium’s movement, as can be concluded from the shaded area in the figure.

3.3. Effect of Initial Water Entry Angle θ on Air Cushion and Impact Loads

The previous subsection focused on the impact loads of a notched disc impacted vertically at a specific velocity. However, in real experimental conditions such as trans-media vehicle water entry [35] and wave impacts on a deck [36], the discs enter the water at different angles of inclination, which more accurately reflects the actual water entry. In order to simulate this situation, we used impact velocities of 2 m/s and 3 m/s and entry angles of 3° to 6° to study the water entry characteristics of the grooved discs, which provides a basis for further research.
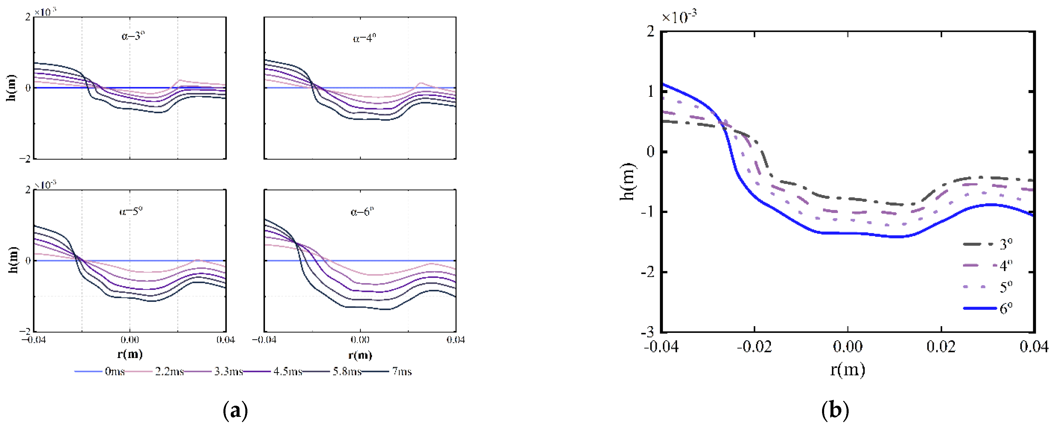
When the angle of entry deviates from vertical, the air cushion begins to form on the side in the middle of the disc. This asymmetry results in an uneven distribution of air, which produces an uneven cushioning effect. As shown in Figure 16, at low angles, the air cushion forms a narrow band along the interface between the object and the water. This stretched air cushion is caused by the progressive and prolonged contact of the disc with the water surface, which traps more air over a larger surface area as the object slides through the water. The air cushion tends to be more pronounced at the front of the disc as the water entry motion pushes air toward the front of the disc, which results in an asymmetrical air cushion that does not provide uniform cushioning across the disc. Air cushions at low angles of entry are typically thinner and less stable than those at high angles of entry, and dynamic interactions with flowing water and larger air cushion areas can cause the cushion to break up more quickly. The higher the entry angle, the more compactly the air cushion will form under the object. This creates a more symmetrical shape where the air is compressed directly under the object due to direct impact and smaller horizontal movements, resulting in a thicker, more robust cushion. This structure facilitates a more effective absorption of impact energy and provides greater protection against peak forces. Whilst a high angle air cushion dampens impact more effectively, it can also form and dissipate quickly as the object is displaced more abruptly against the water, which results in a brief but intense cushioning phase.
In examining the evolution of the free liquid surface as illustrated in Figure 16, we evaluated the velocity and angle variations during the water entry of the discs with an initial velocity of 3 m/s. Figure 17a illustrates the velocity variations at varying attitude angles, exhibiting a slight increase from 0 to 1 ms, followed by a general decrease within 5 ms. It is noteworthy that the larger the initial attitude angle, the sooner the direction of the velocity reverses. For instance, at 10 ms, with an attitude angle of 6°, the velocity is 2.95 m/s away from the free liquid surface. Figure 17b illustrates the change in attitude angle, with the disc initially decreasing in angle, followed by an increase in velocity and then a continued decrease. The minimum and maximum attitude angles for an initial angle of 5° are recorded at 2.07° and 6.65°, respectively, during the impact entry. For an initial angle of 3°, the corresponding minimum and maximum values are 1.59° and 3.86°, respectively, indicating that subsequent peaks exceed the initial angle. These findings highlight the dynamic interaction between attitude angle adjustments and velocity changes throughout the disc’s water entry process.
Figure 18 displays the load distribution for a disc entering water at 2 m/s with a tilt angle. Initially, the maximum load appears on one end of the tilt, creating a low-pressure area at the opposite end. By t * = 0.050 , the peak load shifts toward the right centre of the disc, while the low-pressure area on the left expands into a fan-shaped pattern dispersing outward. This occurs as the air cushion beneath the disc compresses during descent, forcing air to escape through the fan-shaped region. By t * = 0.075 , as the disc’s tilted end contacts the water and the tilt decreases, the air escape pattern transitions to a banded form, with air also escaping from the upper and lower ends of the left side. This highlights how tilt affects the load distribution and structural loads significantly, primarily driven by the dynamics of air escape.
Figure 19 delineates the force distribution on a tilted disc at various y-axis mid-points under different velocities. Notably, the peak force at y = 35 mm occurs earlier and exceeds the force observed at y = 10 mm. At 3 m/s, depicted in Figure 19a, force fluctuations are more pronounced, particularly near the free surface. In contrast, Figure 19b at 2 m/s shows slower force fluctuations, yet maintains a consistent trend with Figure 19a, where peak forces on the tilted disc slightly surpass those at y = 10 mm. Forces on the tilted disc are elevated compared to those on a vertically entering disc, largely attributed to the unevenly distributed air layer, which significantly influences the loading dynamics.
Figure 20 illustrates the evolution of the free liquid surface as a fluted disc impacts the water at various attitude angles. At an initial angle of 3°, the water volume fraction peaks at 70%, with substantial air flow beneath the disc decreasing this fraction relative to vertical entry. As the attitude angle increases, so does the air flow space; at 5°, the fraction falls below 60%. Additionally, at t * = 0.055 , the maximum width of the free liquid surface decreases by 7.72% compared to 3° and remains open at t * = 0.105 , highlighting the significant impact of initial attitude angle on water entry dynamics.

4. Conclusions

This study employed the S-ALE fluid–solid coupling method to examine the air cushion effect generated by the impact of a disc with grooves into water. In contrast to conventional water entry impacts, this study employed numerical analysis to investigate the impact loads, evolution of the air cushion, and structural dynamic response as a function of notch diameter, water entry velocity, and water entry angle. Furthermore, this paper compares the numerical results with the theoretical prediction of the impact force. Based on these findings, the following conclusions can be drawn.
The findings indicate that the diameter of the groove is a pivotal factor in mitigating impact forces. A 30 mm diameter groove was observed to reduce impact forces by 30% in comparison to a disc without a groove. Additionally, the groove diameter was found to exert a considerable influence on the volume fraction of fluid situated beneath the air cushion during impact. The volume fraction of water is typically lower in larger grooves, which prolongs the efficacy of the air cushion. Conversely, smaller grooves result in a rapid increase in water volume fraction, which may intensify the impact force but reduce the duration of the air cushion.
The Fr value of the disc to the water greatly affects the thickness and stability of the air cushion; with a higher Fr value, the air under the disc is more strongly, the formation of the air cushion is faster, and the air cushion is thicker. Although this dense air cushion can be more effective in absorbing the kinetic energy of the disc to reduce the peak impact, it collapses more easily; once the air cushion collapses, it will lead to a sudden increase in the impact pressure, so the stability of the air cushion and the speed of water inlet velocity is inversely proportional. When the air cushion begins to break down, especially with a higher Fr, the impact load will increase dramatically, and the resistance of water to disc entry will generate high pressure around the disc. These pressures are highest immediately after the air cushion is destroyed. After the initial cushion rupture, the water begins to interact directly with the disc, generating fluctuating shock loads as the disc continues to sink. These loads vary with the ongoing dynamics of the disc–water interaction and the resulting hydrodynamic pressures.
A smaller angle of entry favours a more effective cushioning effect from an elongated air cushion, which extends over a greater surface area and time to reduce the impact. At higher angles of entry, the air cushion is more densely packed and centred directly under the object, resulting in faster formation and collapse. This also results in higher peak pressures and a more pronounced impact on the disc. Meanwhile, the velocity and angular changes in the water entry process are proportional to the initial water entry angle, and in this study, the maximum velocity and angular differences were 5.51 m/s and 3.77°, occurring simultaneously at an entry angle of 6°. At the same time, due to the air cushion effect during the water entry process, the tilted disc produces different types of low-pressure zones of a “rectangular fan belt”, which are directly related to the water entry velocity and the size of the notch.
Future research will focus on the intricacies of the air cushion effect when an expanded range of notch types of structures enter the water. In addition, the influence of varying entry angles and velocities on the formation and fragmentation of the air cushion will be investigated. Furthermore, the impact of water ingress on irregular structures in complex environments, such as ocean currents and regular and irregular waves, will be examined. The fluid–structure coupling problem will also be studied through experiments and more accurate numerical methods, with the aim of enhancing the safety and stability of marine structures.

Author Contributions

Methodology, Z.Z. and N.Y.; data curation, J.J. and X.B.; software, Z.Z. and H.Z.; investigation, W.W.; formal analysis, Z.Z. All authors have read and agreed to the published version of the manuscript.

Funding

This research received no external funding.

Institutional Review Board Statement

Not applicable.

Informed Consent Statement

Informed consent was obtained from all subjects involved in the study.

Data Availability Statement

The datasets generated during and/or analyzed during the current study are available from the corresponding author upon reasonable request.

Acknowledgments

This research did not receive any specific grant from funding agencies in the public, commercial, or not-for-profit sectors.

Conflicts of Interest

The authors declare no conflicts of interest.

References

  1. Fan, X.; Zhao, J.; Qi, C.; Wang, X.; Lyu, X. On the water entry impact characteristics of high-speed vehicle with an Arbitrary Lagrangian-Eulerian method. Appl. Ocean Res. 2024, 150, 104118. [Google Scholar] [CrossRef]
  2. Liu, X.; Tan, L.; Zhang, X.; Li, L. Research of Slamming Load Characteristics during Trans-Media Aircraft Entry into Water. Drones 2024, 8, 89. [Google Scholar] [CrossRef]
  3. Zhou, T.; Ma, Z.; Zhai, G.; Chen, J. Wave-in-deck loads induced by regular wave impact: The role of compressible air entrainment. J. Fluids Struct. 2023, 122, 103974. [Google Scholar] [CrossRef]
  4. Ma, S.; Duan, W.; Cao, Z.; Liu, J.; Zhang, M.; Li, X.; Liu, D. Experimental study on the drop test on wet deck slamming for a SWATH segment model. Ocean Eng. 2023, 285, 115377. [Google Scholar] [CrossRef]
  5. Wagner, H. Über Stoß- und Gleitvorgänge an der Oberfläche von Flüssigkeiten. ZAMM-J. Appl. Math. Mech./Z. Angew. Math. Mech. 1932, 12, 193–215. [Google Scholar] [CrossRef]
  6. Verhagen, J.H.G. The Impact of a Flat Plate on a Water Surface. J. Ship Res. 1967, 11, 211–223. [Google Scholar] [CrossRef]
  7. Lu, Y.; Del Buono, A.; Xiao, T.; Iafrati, A.; Deng, S.; Xu, J. On applicability of von Karman’s momentum theory in predicting the water entry load of V-shaped structures with varying initial velocity. Ocean Eng. 2022, 262, 112249. [Google Scholar] [CrossRef]
  8. Ma, Z.H.; Causon, D.M.; Qian, L.; Mingham, C.G.; Mai, T.; Greaves, D.; Raby, A. Pure and aerated water entry of a flat plate. Phys. Fluids 2016, 28, 016104. [Google Scholar] [CrossRef]
  9. Mai, T.; Mai, C.; Raby, A.; Greaves, D. Aeration effects on water-structure impacts: Part 1. drop plate impacts. Ocean Eng. 2019, 193, 106600. [Google Scholar] [CrossRef]
  10. Mai, T.; Mai, C.; Raby, A.; Greaves, D. Aeration effects on water-structure impacts: Part Wave impacts on a truncated vertical wall. Ocean Eng. 2019, 186, 106053. [Google Scholar] [CrossRef]
  11. Petoft, H.; Fakhari, V.; Rahi, A. Investigating the Effect of Geometric Shape on Air Cushion Lift Force. J. Mar. Sci. Appl. 2024, 23, 74–84. [Google Scholar] [CrossRef]
  12. Jain, U.; Gauthier, A.; van der Meer, D. Total-internal-reflection deflectometry for measuring small deflections of a fluid surface. Exp. Fluids 2021, 62, 235. [Google Scholar] [CrossRef]
  13. Jain, U.; Gauthier, A.; Lohse, D.; van der Meer, D. Air-cushioning effect and Kelvin-Helmholtz instability before the slamming of a disk on water. Phys. Rev. Fluids 2021, 6, L042001. [Google Scholar] [CrossRef]
  14. Mayer, H.C.; Krechetnikov, R. Flat plate impact on water. J. Fluid Mech. 2018, 850, 1066–1116. [Google Scholar] [CrossRef]
  15. Hicks, P.D.; Ermanyuk, E.V.; Gavrilov, N.V.; Purvis, R. Air trapping at impact of a rigid sphere onto a liquid. J. Fluid Mech. 2012, 695, 310–320. [Google Scholar] [CrossRef]
  16. Iafrati, A.; Korobkin, A.A. Asymptotic estimates of hydrodynamic loads in the early stage of water entry of a circular disk. J. Eng. Math. 2010, 69, 199–224. [Google Scholar] [CrossRef]
  17. Jain, U.; Vega-Martínez, P.; van der Meer, D. Air entrapment and its effect on pressure impulses in the slamming of a flat disc on water. J. Fluid Mech. 2021, 928, A31. [Google Scholar] [CrossRef]
  18. Tau, R.; Von Karman, T. The Impact on Seaplane Floats During Landing, NACA-TN-321; National Advisory Committee for Aeronautics: Washington, DC, USA, 1929.
  19. Chuang, S.L. Investigation of Impact of Rigid and Elastic Bodies with Water; Technical Report 3248; Naval Ship Research and Development Center: Bethesda, MD, USA, 1970. [Google Scholar]
  20. Sun, H.; Wang, D.-Y. A Simplified Method for Analyzing Water Impact in the Initial Stages on an Elastic Rectangle Plate. J. Ship Res. 2018, 62, 1–18. [Google Scholar] [CrossRef]
  21. Carrat, J.-B.; Gavrilov, N.; Cherdantsev, A.; Shmakova, N.; Ermanyuk, E. Air entrapment at impact of a conus onto a liquid. J. Fluid Mech. 2023, 966, R1. [Google Scholar] [CrossRef]
  22. Antolik, J.T.; Belden, J.L.; Speirs, N.B.; Harris, D.M. Slamming forces during water entry of a simple harmonic oscillator. J. Fluid Mech. 2023, 974, A23. [Google Scholar] [CrossRef]
  23. Kim, T.; Kim, D.; Kim, D. Water impact of a surface-patterned disk. J. Fluid Mech. 2021, 915, A52. [Google Scholar] [CrossRef]
  24. Li, Z.; Hu, H.; Wang, C.; Xie, Z.; Chen, X.; Yuan, Z.; Du, P. Hydrodynamics and stability of oblique water entry in waves. Ocean Eng. 2023, 292, 116506. [Google Scholar] [CrossRef]
  25. Song, R.; Ren, C.; Ma, X.; Qiu, L.; Lin, Z. The study on the anti-impact performance of the oscillating buoy with various air cushions. IET Renew. Power Gener. 2021, 15, 3459–3471. [Google Scholar] [CrossRef]
  26. Li, Z.; Zan, Y.; Guo, R.; Sun, Y.; Sun, N. Dynamic Characteristics and Flow Field Evolution of Flat Plate Water Entry Slamming Based on Smoothed Particle Hydrodynamics. J. Mar. Sci. Eng. 2024, 12, 1491. [Google Scholar] [CrossRef]
  27. Yang, X.; Feng, S.; Wu, J.; Zhang, G.; Liang, G.; Zhang, Z. Study of the water entry and exit problems by coupling the APR and PST within SPH. Appl. Ocean Res. 2023, 139, 103712. [Google Scholar] [CrossRef]
  28. Fang, X.-L.; Ming, F.-R.; Wang, P.-P.; Meng, Z.-F.; Zhang, A.-M. Application of multiphase Riemann-SPH in analysis of air-cushion effect and slamming load in water entry. Ocean Eng. 2022, 248, 110789. [Google Scholar] [CrossRef]
  29. Yang, C.; Zhang, H.-X.; Su, H.-L.; Shen, Z.-X. Numerical Simulation of Sloshing Using the MPS-FSI Method with Large Eddy Simulation. China Ocean Eng. 2018, 32, 278–287. [Google Scholar] [CrossRef]
  30. Jiaqing, W.; Xiangfu, P.; Bin, W.; Ting, J.; Mingzhen, W.; Yang, Y. Study on hydrodynamic response of aircraft taxiing based on S-ALE numerical pooling. Acta Armamentarii 2024. [Google Scholar] [CrossRef]
  31. Chen, Z.; Zhao, W.; Chen, Z.; Feng, G.; Ren, H.; Gui, H. Dynamic Response Analysis of Submarines Based on FEM-ALE Coupling Method in Floating Ice Conditions. J. Mar. Sci. Eng. 2023, 11, 1560. [Google Scholar] [CrossRef]
  32. Bin, C.; Mu, P.; Song, X.; Li, C. Load response analysis of full-scale target ship in cold water considering ship-ice-water coupling. Ship Sci. Technol. 2023, 45, 1–7. [Google Scholar]
  33. Peters, I.R.; van der Meer, D.; Gordillo, J.M. Splash wave and crown breakup after disc impact on a liquid surface. J. Fluid Mech. 2013, 724, 553–580. [Google Scholar] [CrossRef][Green Version]
  34. Ranger, K.B.; Batchelor, G.K. An Introduction to Fluid Dynamics. Am. Math. Mon. 1969, 76, 957. [Google Scholar] [CrossRef]
  35. Liu, X.; Luo, K.; Yuan, X.; Qi, X. Numerical study on the impact load characteristics of a trans-media vehicle during high-speed water entry and flat turning. Ocean Eng. 2023, 273, 113986. [Google Scholar] [CrossRef]
  36. Yan, D.; Mikkola, T.; Lakshmynarayanana, A.; Tödter, S.; Schellin, T.E.; Neugebauer, J.; el Moctar, O.; Hirdaris, S. A study into the FSI modelling of flat plate water entry and related uncertainties. Mar. Struct. 2022, 86, 103296. [Google Scholar] [CrossRef]
Figure 1. Diagram of flat-plate impact into water.
Figure 1. Diagram of flat-plate impact into water.
Jmse 12 02012 g001
Figure 2. (a) Total plate force; (b) centre plate pressure.
Figure 2. (a) Total plate force; (b) centre plate pressure.
Jmse 12 02012 g002
Figure 3. Air cushion effect of disc impact.
Figure 3. Air cushion effect of disc impact.
Jmse 12 02012 g003
Figure 4. (a) The disc forms a notch on the impact surface; (b) disc top view; (c) the disc hits the water, and the free surface is displaced by the air compression surface.
Figure 4. (a) The disc forms a notch on the impact surface; (b) disc top view; (c) the disc hits the water, and the free surface is displaced by the air compression surface.
Jmse 12 02012 g004
Figure 5. Computational domain. (a) Boundary condition diagram. (b) The percentage of the mesh refinement area to the base size. (c) Initial VOF fractions: red represents air, blue represents water, and the board is white (dimensions are measured in disc diameter).
Figure 5. Computational domain. (a) Boundary condition diagram. (b) The percentage of the mesh refinement area to the base size. (c) Initial VOF fractions: red represents air, blue represents water, and the board is white (dimensions are measured in disc diameter).
Jmse 12 02012 g005
Figure 6. (a) Computational efficiency for different grid size; (b) Comparison of pressure at different grid sizes.
Figure 6. (a) Computational efficiency for different grid size; (b) Comparison of pressure at different grid sizes.
Jmse 12 02012 g006
Figure 7. Time-step independent verification.
Figure 7. Time-step independent verification.
Jmse 12 02012 g007
Figure 8. (a) Punishment function mechanism diagram; (b) impact pressures for disc models with different p f values.
Figure 8. (a) Punishment function mechanism diagram; (b) impact pressures for disc models with different p f values.
Jmse 12 02012 g008
Figure 9. (a) The time history of the pressure of discs with different d values during the attack process. (b) The standard deviation of peak pressure during disc attacks.
Figure 9. (a) The time history of the pressure of discs with different d values during the attack process. (b) The standard deviation of peak pressure during disc attacks.
Jmse 12 02012 g009
Figure 10. (a) Evolution of free surface under different d / D conditions; (b) a comparative analysis of the maximum air cushion thickness in relation to varying notch diameters.
Figure 10. (a) Evolution of free surface under different d / D conditions; (b) a comparative analysis of the maximum air cushion thickness in relation to varying notch diameters.
Jmse 12 02012 g010
Figure 11. Schematic of flow field with different notch diameters. (a) Flow field pressure; (b) volume fraction of flow field.
Figure 11. Schematic of flow field with different notch diameters. (a) Flow field pressure; (b) volume fraction of flow field.
Jmse 12 02012 g011
Figure 12. The impact force of the d = 60 disc at different speeds.
Figure 12. The impact force of the d = 60 disc at different speeds.
Jmse 12 02012 g012
Figure 13. (a) Time series of impulse when d = 60 at different impact velocities. All time series are centred on t = 0 , the moment when the pressure at the centre of the disc reaches its maximum. (b) The cumulative impulse of different d during the first shock peak compared with the theoretical value [17,28,29].
Figure 13. (a) Time series of impulse when d = 60 at different impact velocities. All time series are centred on t = 0 , the moment when the pressure at the centre of the disc reaches its maximum. (b) The cumulative impulse of different d during the first shock peak compared with the theoretical value [17,28,29].
Jmse 12 02012 g013
Figure 14. Evolution of the air cushion of a 60 mm disc with a groove diameter for different Fr values: (a) air cushion change at the same time t = 6 ms; (b) comparison of the moments of maximum air cushion thickness.
Figure 14. Evolution of the air cushion of a 60 mm disc with a groove diameter for different Fr values: (a) air cushion change at the same time t = 6 ms; (b) comparison of the moments of maximum air cushion thickness.
Jmse 12 02012 g014
Figure 15. (a) Pressure load distribution of d = 60 mm disc for different Fr values; (b) time course of air cushion thickness variation for different Fr values.
Figure 15. (a) Pressure load distribution of d = 60 mm disc for different Fr values; (b) time course of air cushion thickness variation for different Fr values.
Jmse 12 02012 g015
Figure 16. (a) Resistance curve with time with different speeds; (b) resistance coefficient curve with time with different speeds.
Figure 16. (a) Resistance curve with time with different speeds; (b) resistance coefficient curve with time with different speeds.
Jmse 12 02012 g016
Figure 17. (a) Velocity variation in the disc during water entry at different tilt angles (3°, 5°, 6°); (b) angle change in the disc during water entry with different initial inclination angles.
Figure 17. (a) Velocity variation in the disc during water entry at different tilt angles (3°, 5°, 6°); (b) angle change in the disc during water entry with different initial inclination angles.
Jmse 12 02012 g017
Figure 18. Stress cloud images for a disc with d = 60   mm and velocity of 2 m/s tilted at different angles (3°, 5°).
Figure 18. Stress cloud images for a disc with d = 60   mm and velocity of 2 m/s tilted at different angles (3°, 5°).
Jmse 12 02012 g018
Figure 19. Time chart of force: (a) velocity: 3 m/s, θ = 3 ° , distance y = 0 (the midpoint of the Y-axis direction of the disc; the tilt is positive), and load curve at different distances; (b) load curve at a speed of 2 m/s and θ = 3 ° .
Figure 19. Time chart of force: (a) velocity: 3 m/s, θ = 3 ° , distance y = 0 (the midpoint of the Y-axis direction of the disc; the tilt is positive), and load curve at different distances; (b) load curve at a speed of 2 m/s and θ = 3 ° .
Jmse 12 02012 g019
Figure 20. Evolution of free liquid surface when the disc with a notch d = 60   mm is impacted at different attitude angles.
Figure 20. Evolution of free liquid surface when the disc with a notch d = 60   mm is impacted at different attitude angles.
Jmse 12 02012 g020
Table 1. Main material parameters of steel.
Table 1. Main material parameters of steel.
ModulusDensity/(kg·m−3)Elastic Modulus (GPa)Poisson’s Ratio
Value78502100.33
Table 2. Linear polynomial EOS constants of the air.
Table 2. Linear polynomial EOS constants of the air.
ModulusC0C1C2C3C4C5C6EaV0
Value00000.40.402531
Table 3. Gruneisen EOS constants of the water.
Table 3. Gruneisen EOS constants of the water.
ModulusC (m/s)S1S2S3 γ 0 E (kPa)V0
Value16471.921−0.09600.35289.51
Table 4. Definition of parameters.
Table 4. Definition of parameters.
ParameterSymbolValue
Disc diameter (mm)D80
Notch diameter (mm)d0, 10, 20, 30, 40, 50, 60, 70
Disc volume (×10−5 m3)V3.01, 2.93, 2.86, 2.66, 2.43, 2.19, 1.81
Acceleration (m/s2)a/
Acceleration of gravity (m/s2)g9.81
Timet/
Water entry velocityv1, 2, 2.5, 3, 3.5, 4
Water entry angle θ 0, 2, 3, 4, 5
Dimensionless time factor t * = v t D /
Froude number F r = v g D 3.95, 7.90, 9.88, 11.85, 13.83, 15.81
Disclaimer/Publisher’s Note: The statements, opinions and data contained in all publications are solely those of the individual author(s) and contributor(s) and not of MDPI and/or the editor(s). MDPI and/or the editor(s) disclaim responsibility for any injury to people or property resulting from any ideas, methods, instructions or products referred to in the content.

Share and Cite

MDPI and ACS Style

Zhang, Z.; Yang, N.; Ju, J.; Bai, X.; Zhou, H.; Wu, W. Numerical Study of Air Cushion Effect in Notched Disk Water Entry Process Using Structured Arbitrary Lagrangian–Eulerian Method. J. Mar. Sci. Eng. 2024, 12, 2012. https://doi.org/10.3390/jmse12112012

AMA Style

Zhang Z, Yang N, Ju J, Bai X, Zhou H, Wu W. Numerical Study of Air Cushion Effect in Notched Disk Water Entry Process Using Structured Arbitrary Lagrangian–Eulerian Method. Journal of Marine Science and Engineering. 2024; 12(11):2012. https://doi.org/10.3390/jmse12112012

Chicago/Turabian Style

Zhang, Zhe, Nana Yang, Jinlong Ju, Xingzhi Bai, Houcun Zhou, and Wenhua Wu. 2024. "Numerical Study of Air Cushion Effect in Notched Disk Water Entry Process Using Structured Arbitrary Lagrangian–Eulerian Method" Journal of Marine Science and Engineering 12, no. 11: 2012. https://doi.org/10.3390/jmse12112012

APA Style

Zhang, Z., Yang, N., Ju, J., Bai, X., Zhou, H., & Wu, W. (2024). Numerical Study of Air Cushion Effect in Notched Disk Water Entry Process Using Structured Arbitrary Lagrangian–Eulerian Method. Journal of Marine Science and Engineering, 12(11), 2012. https://doi.org/10.3390/jmse12112012

Note that from the first issue of 2016, this journal uses article numbers instead of page numbers. See further details here.

Article Metrics

Back to TopTop