Contamination Assessment of Sediments and Bivalves in Estuaries of the Southern Iberian Peninsula
Abstract
1. Introduction
2. Materials and Methods
2.1. Sample Collection
2.2. Bioaccumulation Test
2.3. Analytical Procedure
2.4. Data Analyses
3. Results
3.1. Elements in Sediment
| As | Cd | Co | Cu | Hg | Ni | Pb | Zn | ||
|---|---|---|---|---|---|---|---|---|---|
| Guadiana River Estuary | av | 14.2 | 0.08 | 9.97 | 24.5 | 0.15 | 19.94 | 12.32 | 74.16 |
| sd | 7.88 | 0.07 | 5.24 | 16.5 | 0.13 | 11.95 | 4.75 | 37.07 | |
| Huelva Estuary | av | 200 | 1.25 | 18.8 | 1123 | 1.59 | 23.91 | 260 | 1415 |
| sd | 117 | 0.96 | 8.80 | 795 | 1.20 | 11.77 | 177 | 913 | |
| Guadalquivir River Estuary | av | 6.83 | 0.07 | 6.60 | 27.0 | 0.05 | 18.12 | 10.8 | 53.2 |
| sd | 2.41 | 0.10 | 5.20 | 26.9 | 0.04 | 17.97 | 6.40 | 46.2 | |
| Bay of Cádiz | av | 6.62 | 0.07 | 5.00 | 25.1 | 0.13 | 13.60 | 11.4 | 52.5 |
| sd | 4.68 | 0.06 | 3.73 | 20.6 | 0.11 | 11.05 | 7.07 | 44.5 | |
| Barbate | 13.7 | 0.14 | 9.16 | 160 | 0.09 | 28.86 | 23.1 | 191 | |
| Palmones Estuary | 1.43 | 0.02 | 3.28 | 12.4 | 0.04 | 10.13 | 8.68 | 31.5 | |
| Guadarranque Estuary | av | 4.10 | 0.13 | 35.9 | 22.9 | 0.12 | 41.46 | 11.3 | 110.8 |
| sd | 3.04 | 0.13 | 37.5 | 19.8 | 0.13 | 28.28 | 7.98 | 115.9 | |
| Southern estuaries | av | 49.13 | 0.33 | 13.5 | 269.1 | 0.42 | 22.18 | 65.4 | 364.4 |
| sd | 94.32 | 0.63 | 15.6 | 559.7 | 0.79 | 15.17 | 126 | 675.1 | |
| Marine Sediment Quality Values * | 7.40 | 680 | n.a. | 18.7 | 130 | 15.90 | 30.24 | 124 |
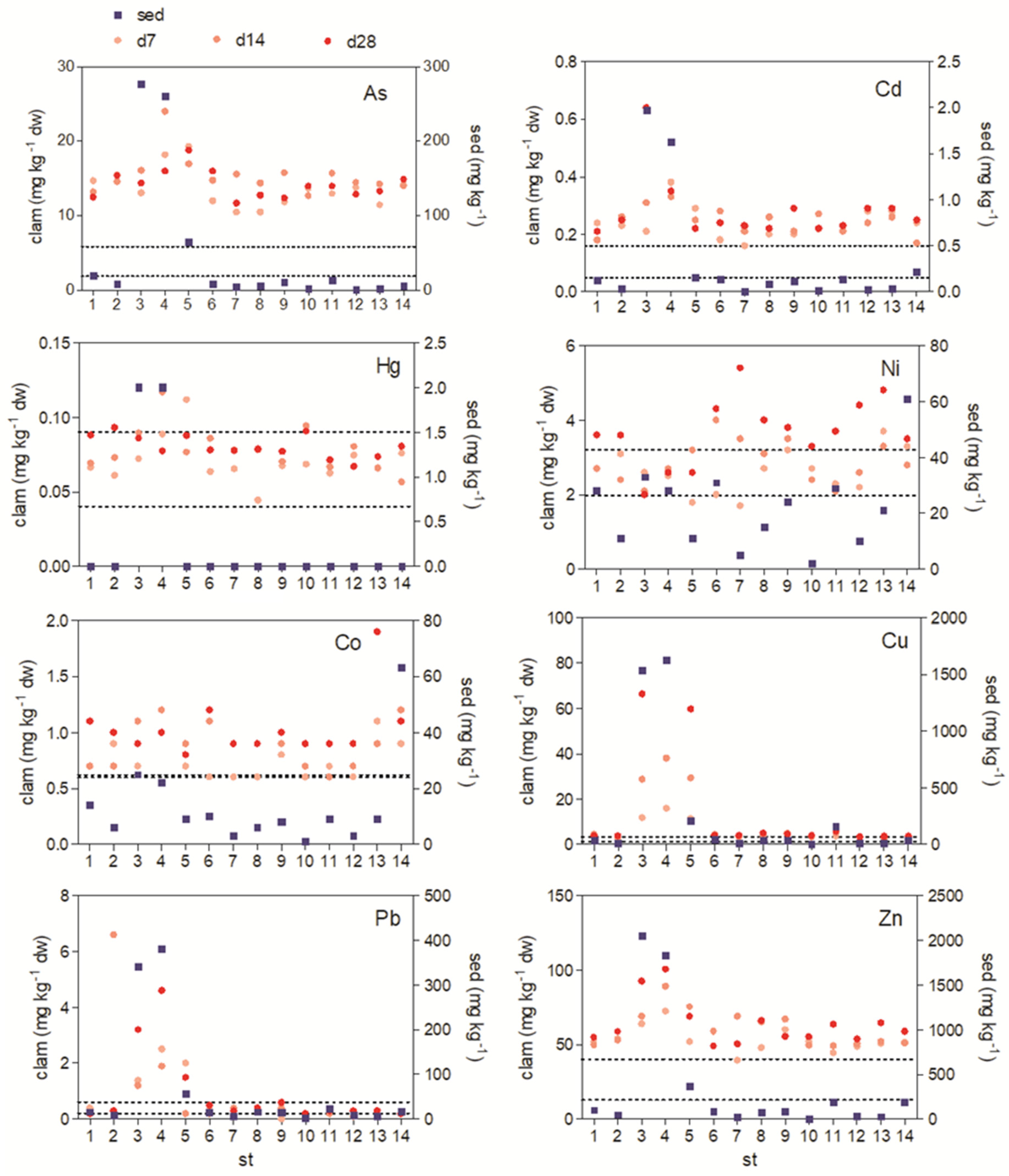
3.2. Bioaccumulation
4. Discussion
5. Conclusions
Supplementary Materials
Author Contributions
Funding
Institutional Review Board Statement
Informed Consent Statement
Data Availability Statement
Acknowledgments
Conflicts of Interest
References
- Chapman, P.M.; Wang, F. Assessing sediment contamination in estuaries. Environ. Toxicol. Chem. 2001, 20, 3–22. [Google Scholar] [CrossRef] [PubMed]
- Weis, J.S. Marine Pollution: What Everyone Needs to Know®; Oxford University Press: Oxford, UK, 2024. [Google Scholar]
- Xiongyi, M.; Yupei, H.; He, X.; Shuwen, L. The human impacts level and migration of heavy metals in original inshore sediments of Dongying, China. J. Coast. Conserv. 2020, 24, 68. [Google Scholar]
- Harrison, E.Z.; Oakes, M.; Hysell, M.; Haynes, E.N. Measurement of soil arsenic and lead using field portable X-ray fluorescence (FPXRF) in community gardens in Boston. J. Environ. Health 2020, 83, 16–23. [Google Scholar]
- Okereafor, U.; Makhatha, M.; Mekuto, L.; Uche-Okereafor, N.; Sebola, T.; Mavumengwana, V. Toxic metal implications on agricultural soils, plants, animals, aquatic life and human health. Int. J. Environ. Res. Public Health 2020, 17, 2204. [Google Scholar] [CrossRef] [PubMed]
- Caeiro, S.; Vaz-Fernandes, P.; Martinho, A.P.; Costa, P.M.; Silva, M.J.; Lavinha, J.; Maitas-Dias, C.; Machado, A.; Castanheira, I.; Costa, M.H. Environmental risk assessment in a contaminated estuary: An integrated weight of evidence approach as a decision support tool. Ocean. Coast. Mana 2017, 143, 51–62. [Google Scholar] [CrossRef]
- Laignel, B.; Vignudelli, S.; Almar, R.; Becker, M.; Bentamy, A.; Benveniste, J.; Birol, F.; Frappart, F.; Idier, D.; Salameh, E.; et al. Observation of the coastal areas, estuaries and deltas from space. Surv. Geophys. 2023, 44, 1309–1356. [Google Scholar] [CrossRef]
- Gammal, J.; Hewitt, J.; Gladstone-Gallagher, R.; Thrush, S.; Douglas, E.; Lohrer, A.; Pilditch, C. Stressors increase the impacts of coastal macrofauna biodiversity loss on ecosystem multifunctionality. Ecosystems 2023, 26, 539–552. [Google Scholar] [CrossRef]
- Edge, K.J.; Dafforn, K.A.; Simpson, S.L.; Roach, A.C.; Johnston, E.L. A biomarker of contaminant exposure is effective in large scale assessment of ten estuaries. Chemosphere 2014, 100, 16–26. [Google Scholar] [CrossRef]
- de Souza Machado, A.A.; Spencer, K.; Kloas, W.; Toffolon, M.; Zarfl, C. Metal fate and effects in estuaries: A review and conceptual model for better understanding of toxicity. Sci. Total Environ. 2016, 541, 268–281. [Google Scholar] [CrossRef]
- Chapman, P.M. Is bioaccumulation useful for predicting impacts? Mar. Pollut. Bull. 1997, 34, 282–283. [Google Scholar] [CrossRef]
- Bárcena, J.F.; Claramunt, I.; García-Alba, J.; Pérez, M.L.; García, A. A method to assess the evolution and recovery of heavy metal pollution in estuarine sediments: Past history, present situation and future perspectives. Mar. Pollut. Bullet 2017, 124, 421–434. [Google Scholar] [CrossRef] [PubMed]
- Gómez-Ariza, J.L.; Morales, E.; Giráldez, I.; Sánchez-Rodas, D. Biological monitoring of heavy metal pollution in the vicinity of the Doñana National Park using the clam Scrobicularia plana. Environ. Monit. Assess. 2014, 186, 2009–2017. [Google Scholar]
- Cheggour, M.; Chafik, A.; Fisher, N.S.; Benbrahim, S. Metal concentrations in sediment sand clams in four Moroccan estuaries. Mar. Environ. Res. 2005, 59, 119–137. [Google Scholar] [CrossRef]
- Goulletquer, P. Ruditapes philippinarum. In Cultured Aquatic Species Fact Sheets; Crespi, V., New, M., Eds.; FAO: Rome, Italy, 2009. [Google Scholar]
- Chora, S.C. Study of the Effects of Contaminants in a Sentinel Species, the Clam Ruditapes Decussatus, through Protein Expression Analysis: Application to Marine Environment Monitoring. Doctoral Dissertation, Universidade do Algarve, Faro, Portugal, 2009. [Google Scholar]
- Sun, J.; Pan, L.; Cao, Y.; Li, Z. Biomonitoring of polycyclic aromatic hydrocarbons (PAHs) from Manila clam Ruditapes philippinarum in Laizhou, Rushan and Jiaozhou, bays of China, and investigation of its relationship with human carcinogenic risk. Mar. Pollut. Bullet 2020, 160, 111556. [Google Scholar] [CrossRef] [PubMed]
- Vallaeys, T.; Klink, S.P.; Fleouter, E.; Le Moing, B.; Lignot, J.H.; Smith, A.J. Bioindicators of marine contaminations at the frontier of environmental monitoring and environmental genomics. Pharmaceuticals 2017, 57, 58. [Google Scholar] [CrossRef]
- Gómez-Ariza, J.L.; García-Barrera, T.; Callejón-Leblic, B.; Moro, G.R. Environmental Metabolomics and Toxicometabolomics in Marine Pollution Assessment. In Environmental Problems in Marine Biology; CRC Press: Boca Raton, FL, USA, 2017; pp. 213–245. [Google Scholar]
- DelValls, T.A.; Chapman, P.M. Site-specific sediment quality values for the Gulf of Cádiz (Spain) and San Francisco Bay (USA), using the sediment quality triad and multivariate analysis. Cienc. Mar. 1998, 24, 313–336. [Google Scholar] [CrossRef]
- Buruaem, L.M.; Hortellani, M.A.; Sarkis, J.E.; Costa-Lotufo, L.V.; Abessa, D.M.S. Contamination of port zone sediments by metals from Large Marine Ecosystems of Brazil. Mar. Pollut. Bull. 2012, 64, 479–488. [Google Scholar] [CrossRef]
- Garg, A.; Antón-Martín, R.; García-Luque, E.; Riba, I.; DelValls, T.A. Distribution of butyltins (TBT, DBT, MBT) in sediments of Gulf of Cádiz (Spain) and its bioaccumulation in the clam Ruditapes philippinarum. Ecotoxicology 2009, 18, 1029–1035. [Google Scholar] [CrossRef]
- El Rayis, O.A. Reassessment of the titration method for the determination of organic carbon in recent sediments. Rapp. Comm. Int. Mer. Medit. 1985, 29, 45–47. [Google Scholar]
- Ferreira, A.; Cortesao, C.; Castro, O.; Vale, C. Accumulation of metals and organochlorines in tissues of the Oyster Crassostrea angulata from the Sado Estuary. Sci. Total Environ. 1990, 97/98, 627–639. [Google Scholar]
- Mashiatullah, A.; Chaudhary, M.Z.; Ahmad, N.; Javed, T.; Ghaffar, A. Metal pollution and ecological risk assessment in marine sediments of Karachi Coast, Pakistan. Environ. Monit. Assess. 2013, 185, 1555–1565. [Google Scholar] [CrossRef]
- Reimann, C.; Filzmoser, P.; Garrett, R.G. Background and threshold: Critical comparison of methods of determination. Sci. Total Environ. 2005, 346, 1–16. [Google Scholar] [CrossRef] [PubMed]
- Martínez-Guijarro, R.; Paches, M.; Romero, I.; Aguado, D. Enrichment and contamination level of trace metals in the Mediterranean marine sediments of Spain. Sci. Total Environ. 2019, 693, 133566. [Google Scholar] [CrossRef] [PubMed]
- Burkhard, L.P. Factors influencing the design of bioaccumulation factor and biota-sediment accumulation factor field studies. Environ. Toxicol. Chem. 2003, 22, 351–360. [Google Scholar] [PubMed]
- Martín-Díaz, M.L.; Riba, I.; Casado-Martínez, M.C.; DelValls, T.A. Biodisponibilidad de metales en sedimentos de estuarios españoles utilizando Carcinus maenas. Cienc. Mar. 2006, 32, 412–420. [Google Scholar]
- Morales-Caselles, C.; Jiménez-Tenorio, N.; Riba, I.; DelValls, T.A. Kinetic of biomarker responses in juveniles of the fish Sparus aurata exposed to contaminated sediments. Environ. Monit. Assess. 2007, 131, 211–220. [Google Scholar] [CrossRef]
- Macdonald, D.D.; Carr, R.S.; Calder, F.D.; Long, E.R.; Ingersoll, C.G. Development and evaluation of sediment quality guidelines for Florida coastal waters. Ecotoxicology 1996, 5, 253–278. [Google Scholar] [CrossRef]
- Long, E.R.; MacDonald, D.D.; Smith, S.L.; Calder, F.D. Incidence of adverse biological effects within ranges of chemical concentrations in marine and estuarine sediments. Environ. Manag. 1995, 19, 81–97. [Google Scholar] [CrossRef]
- Elbaz-Poulichet, F.; Morley, N.; Beckers, J.M.; Nomerange, P. Dissolved metal fluxes through the Strait of Gibraltar: The influence of the Tinto-Odiel Rivers. Mar. Chem. 2001, 73, 193–213. [Google Scholar] [CrossRef]
- Cabrera, F.; Conde, B.; Flores, V. Heavy metals in the surface sediments of the tidal river Tinto (SW Spain). Fresenius Environ. Bullet 1992, 1, 400–405. [Google Scholar]
- Bonnail, E.; Sarmiento, A.M.; DelValls, T.A. The use of a Weight-of-Evidence approach to address sediment quality in the Odiel River basin (SW, Spain). Ecotoxicol. Environ. Safe 2016, 133, 243–251. [Google Scholar] [CrossRef]
- CEDEX. Recomendaciones para la Gestión del Material de Dragado en los Puertos Españoles; Centro de Estudios y Experimentación de Obras Públicas, Puertos del Estado: Madrid, Spain, 1994. [Google Scholar]
- Sáenz, V.; Blasco, J.; Gómez-Parra, A. Speciation of heavy metals in recent sediments of three coastal ecosystems in the Gulf of Cadiz, Southwest Iberian Peninsula. Environ. Tox Chem. 2003, 22, 2833–2839. [Google Scholar] [CrossRef] [PubMed]
- Blasco, J.; Gomes, T.; García-Barrera, T.; Rodríguez-Romero, A.; Gonzalez-Rey, M.; Morán-Roldán, F.; Tromibini, C.; Miotk, M.; Gómez-Ariza, J.L.; Bebianno, M.J. Trace metal concentrations in sediments from the southwest of the Iberian Peninsula, Advances in Marine Chemistry. Sci. Mar. 2010, 74, 99–106. [Google Scholar] [CrossRef]
- Bonnail, E.; Riba, I.; de Seabra, A.A.; DelValls, T.A. Sediment quality assessment in the Guadalquivir River (SW, Spain) using caged Asian clams: A biomarker field approach. Sci. Total Environ. 2019, 650, 1996–2003. [Google Scholar] [CrossRef] [PubMed]
- Díaz-de Alba, M.; Galindo-Riaño, M.D.; Casanueva-Marenco, M.J.; García-Vargas, M.; Kosore, C.M. Assessment of the metal pollution, potential toxicity and speciation of sediment from Algeciras Bay (South of Spain) using chemometric tools. J. Hazard. Mat. 2011, 190, 177–187. [Google Scholar] [CrossRef]
- Costa, S.; Lopes, J.; Coppola, F.; Correira, S.; Henriques, B.; Leite, C.; Soares, A.M.; Zengjie, J.; Pereira, E.; Chiesa, S.; et al. Bioaccumulation and biochemical patterns of Ruditapes philippinarum clams: Responses to seasonality and low contamination levels. Estuar. Coast. Shelf Sci. 2020, 243, 106883. [Google Scholar] [CrossRef]
- Breda, S.; Chiesa, S.; Freitas, R.; Figueira, E.; Becherini, F.; Gobbo, L.; Soares, A.M.; Argese, E. Biogeochemical dynamics and bioaccumulation processes in Manila clam: Implications for biodiversity and ecosystem services in the Ria de Aveiro Lagoon. Estuar. Coast. Shelf Sci. 2018, 209, 136–148. [Google Scholar] [CrossRef]
- Santana, L.M.; Blasco, J.; Abessa, D.M.; Campana, O. Bioaccumulation kinetics of copper in Ruditapes philippinarum exposed to increasing, continuous and pulsed exposure: Implications for growth. Sci. Total Environ. 2017, 595, 920–927. [Google Scholar] [CrossRef]
- Gall, J.E.; Boyd, R.S.; Rajakaruna, N. Transfer of heavy metals through terrestrial food webs: A review. Environ. Monitor. Assess. 2015, 187, 201. [Google Scholar] [CrossRef]
- Company, R.; Serafim, A.; Lopes, B.; Cravo, A.; Shepherd, T.J.; Pearson, G.; Bebianno, M.J. Using biochemical and isotope geochemistry to understand the environmental and public health implications of lead pollution in the lower Guadiana River, Iberia: A freshwater bivalve study. Sci. Total Environ. 2008, 405, 109–119. [Google Scholar] [CrossRef]
- Machado, L.M.; Bebianno, M.J.; Boski, T.; Moura, D.M. Trace metals on the Algarve coast, II: Bioaccumulation in mussels Mytilus galloprovincialis (Lamarck, 1819). Bol. Inst. Español Oceanogr. 1999, 15, 465–471. [Google Scholar]
- Gomes, T.; González-Rey, M.; Rodríguez-Romero, A.; Trombini, C.; Riba, I.; Blasco, J.; Bebiano, M.J. Biomarkers in Nereis diversicolor (Polychaeta: Nereididae) as management tools for environmental assessment on the southwest Iberian coast. Sci. Mar. 2013, 77, 69–78. [Google Scholar] [CrossRef]
- Pais-Costa, A.J.; Sánchez, M.I.; Taggart, M.A.; Green, A.J.; Hortas, F.; Vinagre, P.A.; Marques, J.C.; Martinez-Haro, M. Trace element bioaccumulation in hypersaline ecosystems and implications of a global invasion. Sci. Total Environ. 2021, 800, 149349. [Google Scholar] [CrossRef] [PubMed]
- Martín-Díaz, M.L.; Blasco, J.; González, M.; Sales, D.; DelValls, T.A. Bioaccumulation and Toxicity of Dissolved Heavy Metals from the Guadalquivir Estuary After the Aznalcollar Mining Spill Using Ruditapes philippinarum. Arch. Environ. Cont. Tox 2005, 48, 233–241. [Google Scholar] [CrossRef] [PubMed]
- Tornero, V.; Arias, A.M.; Blasco, J. Following the Aznalcóllar toxic spill. Environ. Res. 2011, 111, 1033–1036. [Google Scholar] [CrossRef] [PubMed]
- Kalman, J.; Riba, I.; DelValls, A.; Blasco, J. Bioaccumulation and effects of metals bound to sediments collected from Gulf of Cádiz (SW Spain) using the polychaete Arenicola marina. Arch. Environ. Cont. Tox 2012, 62, 22–28. [Google Scholar] [CrossRef]
- Casado-Martinez, M.C.; Smith, B.D.; Rainbow, P.S. Assessing metal bioaccumulation from estuarine sediments: Comparative experimental results for the polychaete Arenicola marina. J. Soils Sed. 2013, 13, 429–440. [Google Scholar] [CrossRef]
- Buratti, S.; Fabbri, E.; Pereira, C.D.S.; Ramos-Gómez, J.; Del Valls, T.A.; Martín-Díaz, M.L. Application of Neutral Red Retention Assay in the clam Ruditapes philippinarum and the crab Carcinus maenas as a screening tool for sediment quality assessment in marine environment. C Biochem. Physiol. PA Mol. Integ Physiol. 2010, 157, S27. [Google Scholar] [CrossRef]
- Díaz-de-Alba, M.; Granado-Castro, M.D.; Galindo-Riaño, M.D.; Casanueva-Marenco, M.J. Comprehensive Assessment and Potential Ecological Risk of Trace Element Pollution (As, Ni, Co and Cr) in Aquatic Environmental Samples from an Industrialized Area. Int. J. Environ. Res. Public Health 2021, 18, 7348. [Google Scholar] [CrossRef]
- Morillo, J.; Usero, J.; El Bakouri, H. Biomonitoring of heavy metals in the coastal waters of two industrialised bays in southern Spain using the barnacle Balanus amphitrite. Chem. Speciat. Bioavailab. 2008, 20, 227–237. [Google Scholar] [CrossRef]




Disclaimer/Publisher’s Note: The statements, opinions and data contained in all publications are solely those of the individual author(s) and contributor(s) and not of MDPI and/or the editor(s). MDPI and/or the editor(s) disclaim responsibility for any injury to people or property resulting from any ideas, methods, instructions or products referred to in the content. |
© 2024 by the authors. Licensee MDPI, Basel, Switzerland. This article is an open access article distributed under the terms and conditions of the Creative Commons Attribution (CC BY) license (https://creativecommons.org/licenses/by/4.0/).
Share and Cite
Bonnail, E.; Cruz-Hernández, P.; Antón-Martín, R.; Riba, I.; DelValls, T.Á. Contamination Assessment of Sediments and Bivalves in Estuaries of the Southern Iberian Peninsula. J. Mar. Sci. Eng. 2024, 12, 1841. https://doi.org/10.3390/jmse12101841
Bonnail E, Cruz-Hernández P, Antón-Martín R, Riba I, DelValls TÁ. Contamination Assessment of Sediments and Bivalves in Estuaries of the Southern Iberian Peninsula. Journal of Marine Science and Engineering. 2024; 12(10):1841. https://doi.org/10.3390/jmse12101841
Chicago/Turabian StyleBonnail, Estefanía, Pablo Cruz-Hernández, Rocío Antón-Martín, Inmaculada Riba, and T. Ángel DelValls. 2024. "Contamination Assessment of Sediments and Bivalves in Estuaries of the Southern Iberian Peninsula" Journal of Marine Science and Engineering 12, no. 10: 1841. https://doi.org/10.3390/jmse12101841
APA StyleBonnail, E., Cruz-Hernández, P., Antón-Martín, R., Riba, I., & DelValls, T. Á. (2024). Contamination Assessment of Sediments and Bivalves in Estuaries of the Southern Iberian Peninsula. Journal of Marine Science and Engineering, 12(10), 1841. https://doi.org/10.3390/jmse12101841

