Morphological Changes in Storm Hinnamnor and the Numerical Modeling of Overwash
Abstract
1. Introduction
2. Field Data Collection
2.1. Study Area
2.2. Storm Condition
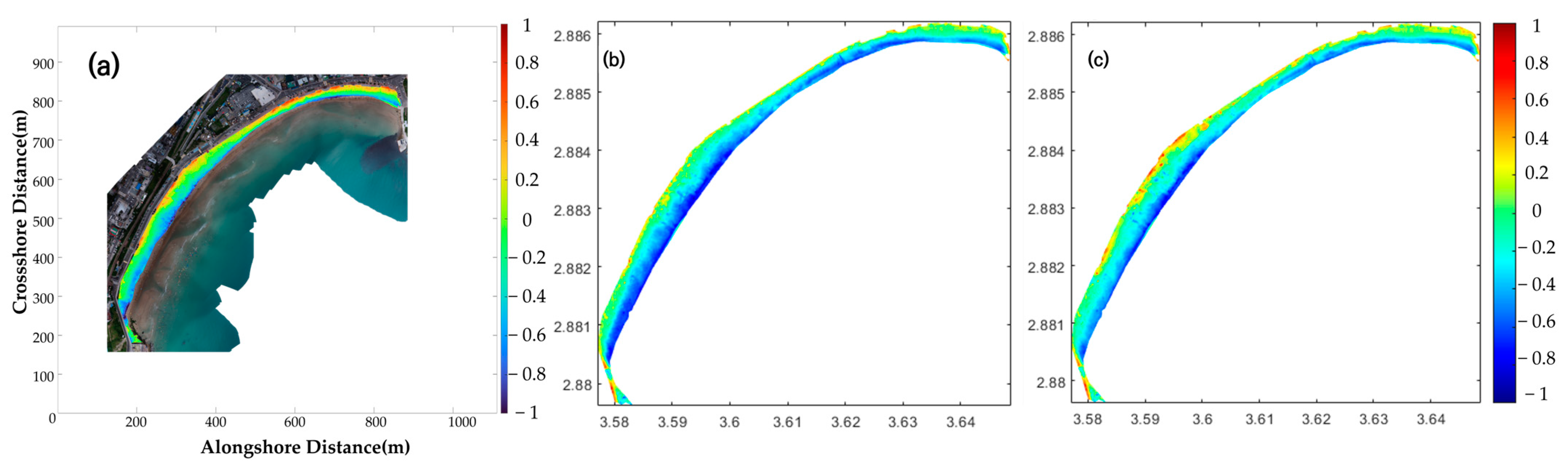
2.3. Observation Method
2.4. Volumetric Changes and Classification of the Beach
3. Method of Numerical Modeling
3.1. Description and Domain with Model Set
3.2. Parameter Calibration
4. Results
4.1. Parameter Calibration Results: Sensitivity of Volumetric Information
4.2. Parameter Calibration Result: Skill and Bias
5. Discussions
6. Conclusions
- Utilizing the parameters of facua, facSk (skewness), and facAs (asymmetry), which integrated the wave-shape parameters closely related to sediment movement, in addition to the previously proposed parameters, was effective for modeling the phenomenon of overwash. The use of facSk and facAs was particularly effective in simulating overwashing.
- Although an increase in the number of parameters to be calibrated could pose a burden on the model user, it was necessary to calibrate them separately when aiming for a more accurate simulation of the overwash and subsequent sediment deposition.
- Generally, an increase in facAs was associated with an overall increase in the beach volume (indicating increased onshore sediment transport), whereas facSk did not show a similar trend.
Author Contributions
Funding
Institutional Review Board Statement
Informed Consent Statement
Data Availability Statement
Conflicts of Interest
References
- Karanci, A.; Brodie, K.L.; Spore, N.J.; Jeziorska, J.; Sciaudone, E.J. Unmanned Aerial Vehicle Data Integration for Coastal Modeling. In Proceedings of the Coastal Sediments 2019: Proceedings of the 9th International Conference, Petersburg, FL, USA, 27–31 May 2019. [Google Scholar]
- Roelvink, D.; Reniers, A.; van Dongeren, A.; van Thiel de Vries, J.; McCall, R.; Lescinski, J. Modelling storm impacts on beaches, dunes, and barrier islands. Coast. Eng. 2009, 56, 1133–1152. [Google Scholar] [CrossRef]
- Do, K.; Shin, S.; Cox, D.; Yoo, J. Numerical Simulation and Large-scale Physical Modelling of Coastal Sand Dune Erosion. J. Coast. Res. 2018, 1, 196–200. [Google Scholar] [CrossRef]
- Bae, H.; Do, K.; Kim, I.; Chang, S. Proposal of parameter range that offered optimal performance in the coastal morphodynamic model (XBeach) through GLUE. J. Ocean. Eng. Technol. 2022, 36, 251–269. [Google Scholar] [CrossRef]
- Jin, H.; Do, K.; Kim, I.; Chang, S. Sensitivity analysis of event-specific calibration data and its application to modeling of subaerial storm erosion under complex bathymetry. J. Mar. Sci. Eng. 2022, 10, 1389. [Google Scholar] [CrossRef]
- Daly, C.; Roelvink, D.; van Dongeren, A.; van Thiel de Vries, J.; McCall, R. Validation of an advective-deterministic approach to short wave breaking in a surf-beat model. Coast. Eng. 2012, 60, 69–83. [Google Scholar] [CrossRef]
- McCall, R.T.; Van Thiel de Vries, J.S.M.; Plant, N.G.; Van Dongeren, A.R.; Roelvink, J.A.; Thompson, D.M.; Reniers, A.J.H.M. Two-dimensional time dependent hurricane overwash and erosion modeling at Santa Rosa island. Coast. Eng. 2010, 57, 668–683. [Google Scholar] [CrossRef]
- Harley, M.D.; Turner, I.L.; Kinsela, M.A.; Middleton, J.H.; Mumford, P.J.; Splinter, K.D.; Phillips, M.S.; Simmons, J.A.; Hanslow, D.J.; Short, A.D. Extreme coastal erosion enhanced by anomalous extratropical storm wave direction. Sci. Rep. 2017, 7, 6033. [Google Scholar] [CrossRef] [PubMed]
- Van Thiel de Vries, J.S.M. Dune Erosion during Storm Surges; IOS Press BV: Amsterdam, The Netherlands, 2009. [Google Scholar]
- Nederhoff, C.M. Modeling the Effects of Hard Structures on Dune Erosion and Overwash Hindcasting the Impact of Hurricane Sandy on New Jersey with XBeach. Masters’ Thesis, Delft University of Technology, Delft, The Netherlands, 2014. [Google Scholar]
- Elsayed, S.M. Breaching of Coastal Barriers under Extreme Storm Surges and Implications for Groundwater Contamination: Improvement and Extension of the XBeach Model to Account for New Physical Processes; Technische Universitt Braunschweig: Braunschweig, Germany, 2017. [Google Scholar]
- McCall, R. The Longshore Dimension in Dune Overwash Modelling. Masters’ Thesis, Delft University of Technology, Delft, The Netherlands, 2008. [Google Scholar]
- Gruwez, V.; Verheyen, B.; Wauters, P.; Bolle, A. 2DH Morphodynamic Time-Dependent Hindcast Modelling of a Groyne System in Ghana. In Proceedings of the 11th International Conference on Hydroscience and Engineering Antwerp, Hamburg, Germany, 28 September–2 October 2014. [Google Scholar]
- Soulsby, R.L. Dynamics of Marine Sands; Tomas Telford Publication: London, UK, 1997; ISBN 072772584X/9780727725844. [Google Scholar]
- Van Rijn, L.C. Unified view of sediment transport by currents and waves. I: Initiation of motion, bed roughness, and bed-load transport. J. Hydraul. Eng. 2007, 133, 649–667. [Google Scholar] [CrossRef]
- Van Rijn, L.C. Unified view of sediment transport by currents and waves. II: Suspended transport. J. Hyrdraul. Eng. 2007, 133, 668–689. [Google Scholar] [CrossRef]
- Van Rijn, L.C. Principles of Sediment Transport in Rivers, Estuaries and Coastal Seas; Aqua Publications: Amsterdam, The Netherlands, 1993. [Google Scholar]
- De Vet, P.L.M.; McCall, R.T.; Den Bien, J.P.; Stive, M.J.F.; Van Ormondt, M. Modelling Dune Erosion, Overwash and Breaching at Fire Island (NY) during Hurricane Sandy. In Proceedings of the Coastal Sediment 2015, San Diego, CA, USA, 11–15 May 2015; pp. 1–10. [Google Scholar]
- Harter, C.; Figlus, J. Numerical modeling of the morphodynamic response of a low-lying barrier island beach and foredune system inundated during Hurricane Ike using XBeach and CSHORE. Coast. Eng. 2017, 120, 64–74. [Google Scholar] [CrossRef]
- Orzech, M.D.; Reniers, A.J.H.M.; Thornton, E.B.; MacMahan, J.H. Megacusps on rip channel bathymetry: Observations and modeling. Coast. Eng. 2011, 58, 890–907. [Google Scholar] [CrossRef]
- Ruessink, B.G.; Ramaekers, G.; Van Rijn, L.C. On the Parameterization of the free-stream non-linear wave orbital motion in nearshore morphodynamic models. Coast. Eng. 2012, 65, 56–63. [Google Scholar] [CrossRef]
- Rienecker, M.M.; Fenton, J.D. A Fourier approximation method for steady water waves. J. Fluid. Mech. 1981, 104, 119–137. [Google Scholar] [CrossRef]
- Do, K.; Yoo, J. Morphological response to storms in an embayed beach having limited sediment thickness. Estuar. Coast. Shelf. Sci. 2020, 234, 106636. [Google Scholar] [CrossRef]
- Pender, D.; Karunarathna, H. A statistical-process based approach for modelling beach profile variability. Coast. Eng. 2013, 81, 19–29. [Google Scholar] [CrossRef]
- Gallagher, E.L.; Elgar, S.; Guza, R.T. Observations of sand bar evolution on a natural beach. J. Geophys. Res. Oceans 1998, 103, 3203–3215. [Google Scholar] [CrossRef]
- Grasso, F.; Michallet, H.; Barthélemy, E. Sediment transport associated with morphological beach changes forced by irregular asymmetric, skewed waves. J. Geophys. Res. Oceans 2011, 116, C03020. [Google Scholar] [CrossRef]









| Obs ID | Std. Dev (X/Y/Z) (m) | RMSE (X/Y/Z) (m) |
|---|---|---|
| Pre-storm | 0.005/0.006/0.013 | 0.005/0.005/0.013 |
| Post-storm | 0.007/0.001/0.009 | 0.007/0.011/0.009 |
| Recovery | 0.001/0.009/0.010 | 0.010/0.009/0.010 |
| Pre-Storm | Post-Storm | |
|---|---|---|
| Obs Date | 29 August 2022 | 7 September 2022 |
| Volume (m3) | 69,939.2 | 60,406.2 |
| Erosion (m3) | 9533 | |
| Description | Calibration Value or Range | |
|---|---|---|
| gamma | Breaker parameter in Daly formula | 0.52 |
| gamma2 | Set stop point of breaking in Daly formula | 0.3 |
| facua | Time-averaged flows due to wave skewness and asymmetry (facua = facSk = facAs) | 0.09:0.03:0.42 |
| facAs | Time-averaged flows due to wave asymmetry | 0.09:0.03:0.36 |
| facSk | Time-averaged flows due to wave skewness | 0.09:0.03:0.36 |
| Median grain size of sediment (mm) | 0.42 | |
| break | Type of wave breaking formula | Roevink_Daly |
| form | Type of sediment transport formula | Soulsby-vanrijn |
| Skill | Bias | |
|---|---|---|
| >0 | Good (=1, perfect) | Model predicts higher results than Obs |
| =0 | Nothing | Same |
| <0 | Poor | Model predicts lower results than Obs |
| ID | Waveform Parameter | Skill | Bias | Volume | ||
|---|---|---|---|---|---|---|
| facua | facAs | facSk | ||||
| 1 | 0.3 | 0.555 | −0.083 | 59,646.9 | ||
| 2 | 0.27 | 0.18 | 0.623 | −0.082 | 59,870.5 | |
| Obs | 60,406.2 | |||||
| ID | Skill_A | Skill_B1 | Skill_C | Skill_B2 |
|---|---|---|---|---|
| 1 | 0.261 | 0.773 | 0.665 | 0.663 |
| 2 | 0.278 | 0.850 | 0.767 | 0.676 |
| ID | Bias_A | Bias_B1 | Bias_C | Bias_B2 |
| 1 | 0.048 | −0.026 | −0.005 | −0.090 |
| 2 | 0.027 | −0.019 | −0.002 | −0.084 |
Disclaimer/Publisher’s Note: The statements, opinions and data contained in all publications are solely those of the individual author(s) and contributor(s) and not of MDPI and/or the editor(s). MDPI and/or the editor(s) disclaim responsibility for any injury to people or property resulting from any ideas, methods, instructions or products referred to in the content. |
© 2024 by the authors. Licensee MDPI, Basel, Switzerland. This article is an open access article distributed under the terms and conditions of the Creative Commons Attribution (CC BY) license (https://creativecommons.org/licenses/by/4.0/).
Share and Cite
Hwang, B.; Do, K.; Chang, S. Morphological Changes in Storm Hinnamnor and the Numerical Modeling of Overwash. J. Mar. Sci. Eng. 2024, 12, 196. https://doi.org/10.3390/jmse12010196
Hwang B, Do K, Chang S. Morphological Changes in Storm Hinnamnor and the Numerical Modeling of Overwash. Journal of Marine Science and Engineering. 2024; 12(1):196. https://doi.org/10.3390/jmse12010196
Chicago/Turabian StyleHwang, Bohyeon, Kideok Do, and Sungyeol Chang. 2024. "Morphological Changes in Storm Hinnamnor and the Numerical Modeling of Overwash" Journal of Marine Science and Engineering 12, no. 1: 196. https://doi.org/10.3390/jmse12010196
APA StyleHwang, B., Do, K., & Chang, S. (2024). Morphological Changes in Storm Hinnamnor and the Numerical Modeling of Overwash. Journal of Marine Science and Engineering, 12(1), 196. https://doi.org/10.3390/jmse12010196

