An Efficient Dual-Stage Compression Model for Maritime Safety Information Based on BeiDou Short-Message Communication
Abstract
1. Introduction
- (i)
- We have been granted authorization to obtain relevant maritime safety information data from the China Maritime Safety Administration. With this authority, we can gather, sort, and classify the data, ultimately creating six distinct datasets that serve as benchmark data sets for compressing and transmitting maritime safety information.
- (ii)
- We propose and evaluate a dual-stage compression model for maritime safety information, aiming to address the issues of low transmission rate, large redundant information, and low success rate in transmitting long warning messages using BeiDou SMC. In the first stage of the model, we introduce a binary encoding specifically designed for maritime safety information to optimize the space storage of the short messages. In the second stage, we propose a data compression algorithm called XH based on a hash dictionary to compress the data flow and reduce information redundancy.
- (iii)
- The experimental results demonstrate that the model we propose achieves efficient compression efficiency and performance, particularly suitable for compressing maritime safety information. It plays a crucial role in the compression and transmission of maritime safety information.
2. Related Work
2.1. Maritime Safety Information Database
2.2. Binary Encoding Based on BeiDou SMC
2.3. Lossless Compression Algorithm
3. Methodology
- •
- In the first stage of the model, we introduce a binary encoding method tailored for maritime safety information. Each message field undergoes corresponding dictionary retrieval, and the resulting encoding is stored in the corresponding position, optimizing the space storage of the short messages.
- •
- In the second stage of the model, we propose a data compression algorithm called XH based on a hash dictionary. This algorithm enhances the compression efficiency and performance, serving to compress the data flow and reduce information redundancy.
3.1. MBE of Maritime Safety Information
- (1)
- Information Source. The information source field occupies 5 bits and is used to indicate the source of maritime safety information, including maritime, oceanic, and meteorological institutions.
- (2)
- Broadcast Station. The broadcast station field occupies 4 bits and specifies the institution responsible for broadcasting the maritime safety information.
- (3)
- Message ID. The message ID field is encoded using 21 bits in the format of “serial number + year”. The sequence number consists of 4 digits and is sequentially assigned starting from 0001 each year based on the publishing institution. The “year” represents the last two digits of the current year.
- (4)
- Information Type. The information type data item occupies 4 bits and indicates the category of the transmitted information.
- (5)
- Information Subtype. The information subtype data item occupies 3 bits and indicates the subcategory to which the transmitted information belongs.
- (6)
- Validity Date. The validity date encoding occupies 21 bits and is encoded as shown in Table. For coast station safety information messages that do not specify a cancellation time, the cancellation time is typically set to 1 h after the subject has disappeared or been completed. For the message that only indicates a date, the cancellation time is typically set to 2400 h on the same day. For messages with no specific validity date, all encodings are set to 0. The encoding format for the validity date is as shown in Table 3.
3.2. XH Lossless Data Compressor
| Algorithm 1 Hash Dictionary |
Input: p: The position of the input stream Output: r: The index of the hash dictionary
|
| Algorithm 2 SearchInWindow Function |
Input: M: maximum number of matches; L: maximum match length Output: returns length of the best match
|
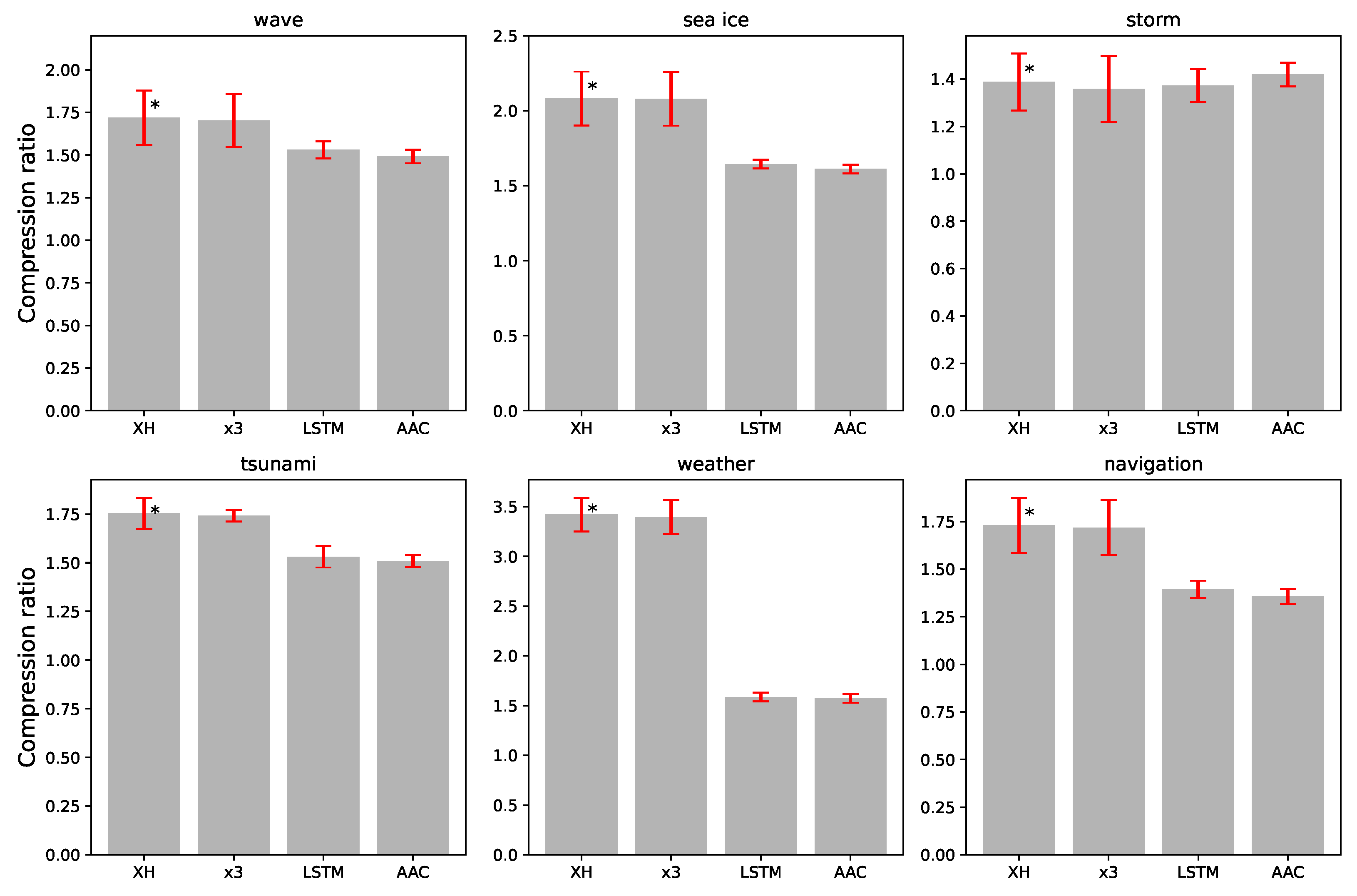
4. Experiment and Result
4.1. Data Sources and Evaluation Metrics
4.2. Experiment and Analysis
5. Conclusions and Discussion
Author Contributions
Funding
Institutional Review Board Statement
Informed Consent Statement
Data Availability Statement
Conflicts of Interest
References
- Li, B.; Zhang, Z.; Zang, N.; Wang, S. High-precision GNSS ocean positioning with BeiDou short-message communication. J. Geod. 2019, 93, 125–139. [Google Scholar] [CrossRef]
- Li, G.; Guo, S.; Lv, J.; Zhao, K.; He, Z. Introduction to global short message communication service of BeiDou-3 navigation satellite system. Adv. Space Res. 2021, 67, 1701–1708. [Google Scholar] [CrossRef]
- Yang, Y.; Gao, W.; Guo, S.; Mao, Y.; Yang, Y. Introduction to BeiDou-3 navigation satellite system. Navigation 2019, 66, 7–18. [Google Scholar] [CrossRef]
- Kopacz, Z.; Morgaś, W.; Urbański, J. The maritime safety system, its main components and elements. J. Navig. 2001, 54, 199–211. [Google Scholar] [CrossRef]
- Ran, C. Development of the BeiDou navigation satellite system. In Proceedings of the Global Navigation Satellite Systems. Report of the Joint Workshop of the National Academy of Engineering and the Chinese Academy of Engineering, Washington, DC, USA, April 2012. [Google Scholar]
- Wei, J.; Chiu, C.H.; Huang, F.; Zhang, J.; Cai, C. A cost-effective decentralized vehicle remote positioning and tracking system using BeiDou Navigation Satellite System and Mobile Network. EURASIP J. Wirel. Commun. Netw. 2019, 2019, 112. [Google Scholar] [CrossRef]
- Yang, Z.; Wang, J.; Li, K. Maritime safety analysis in retrospect. Marit. Policy Manag. 2013, 40, 261–277. [Google Scholar] [CrossRef]
- Choy, S.; Handmer, J.; Whittaker, J.; Shinohara, Y.; Hatori, T.; Kohtake, N. Application of satellite navigation system for emergency warning and alerting. Comput. Environ. Urban Syst. 2016, 58, 12–18. [Google Scholar] [CrossRef]
- Yang, J.; Chen, Y.; Yu, J.; Zhou, Z.; Guo, Y.; Liu, X. Monitoring Technology of Abnormal Displacement of BeiDou Power Line Based on Artificial Neural Network. Comput. Intell. Neurosci. 2022, 2022, 7623215. [Google Scholar] [CrossRef]
- Han, Z.; Liang, M.; Wu, Y.; Ma, Y.; Li, X. Research on error correction of state data transmission system of moving carrier based on Beidou short message. In Proceedings of the 2020 5th International Conference on Electromechanical Control Technology and Transportation (ICECTT), Nanchang, China, 5–17 May 2020; pp. 184–187. [Google Scholar]
- Bostrom, K.; Durrett, G. Byte pair encoding is suboptimal for language model pretraining. arXiv 2020, arXiv:2004.03720. [Google Scholar]
- Sayood, K. Introduction to Data Compression; Morgan Kaufmann: Burlington, MA, USA, 2017. [Google Scholar]
- Kavitha, P. A survey on lossless and lossy data compression methods. Int. J. Comput. Sci. Eng. Technol. 2016, 7, 110–114. [Google Scholar]
- Moffat, A. Huffman coding. ACM Comput. Surv. (CSUR) 2019, 52, 1–35. [Google Scholar] [CrossRef]
- Fowler, J.E.; Yagel, R. Lossless compression of volume data. In Proceedings of the 1994 Symposium on Volume Visualization, Washington, DC, USA, October 1994; pp. 43–50. [Google Scholar]
- Goyal, M.; Tatwawadi, K.; Chandak, S.; Ochoa, I. DZip: Improved general-purpose loss less compression based on novel neural network modeling. In Proceedings of the 2021 Data Compression Conference (DCC), Snowbird, UT, USA, 23–26 March 2021; pp. 153–162. [Google Scholar]
- Sun, J.; Yan, T.; Sun, H.; Lin, H.; Sun, G. Lossy compression of communication traces using recurrent neural networks. IEEE Trans. Parallel Distrib. Syst. 2021, 33, 3106–3116. [Google Scholar] [CrossRef]
- Barina, D.; Klima, O. x3: Lossless Data Compressor. In Proceedings of the 2022 Data Compression Conference (DCC), Snowbird, UT, USA, 22–25 March 2022; p. 441. [Google Scholar] [CrossRef]
- Wang, X.H.; Zhang, D.Q.; Gu, T.; Pung, H.K. Ontology based context modeling and reasoning using OWL. In Proceedings of the IEEE Annual Conference on Pervasive Computing and Communications Workshops, Orlando, FL, USA, 14–17 March 2004; pp. 18–22. [Google Scholar]
- Grossi, R.; Ottaviano, G. Fast compressed tries through path decompositions. J. Exp. Algorithmics (JEA) 2015, 19, 1.1–1.20. [Google Scholar] [CrossRef]
- Kim, J.H.; Kim, N.; Park, Y.W.; Won, C.S. Object detection and classification based on YOLO-V5 with improved maritime dataset. J. Mar. Sci. Eng. 2022, 10, 377. [Google Scholar] [CrossRef]
- Yang, C.; Hu, Q.; Tu, X.; Geng, J. An integrated vessel tracking system by using AIS, Inmarsat and China Beidou navigation satellite system. Transnav Int. J. Mar. Navig. Saf. Sea Transp. 2012, 6, 43–46. [Google Scholar]
- Jaldehag, K.; Rieck, C.; Jarlemark, P. Evaluation of CGGTTS time transfer software using multiple GNSS constellations. In Proceedings of the 2018 European Frequency and Time Forum (EFTF), Turin, Italy, 10–12 April 2018; pp. 159–166. [Google Scholar]
- Deng, D.Q.; Li, W.L.; Chen, Y.; Zhao, F. Study on Equipment Quality Monitoring Information Transmission System Based on BeiDou Navigation Satellite System Short Message Communication. Appl. Mech. Mater. 2014, 602, 3712–3715. [Google Scholar] [CrossRef]
- Fu, Y.; Wang, C.X.; Fang, X.; Yan, L.; Mclaughlin, S. BER performance of spatial modulation systems under a non-stationary massive MIMO channel model. IEEE Access 2020, 8, 44547–44558. [Google Scholar] [CrossRef]
- Ouyang, Z.; Fan, H.; Chen, Q. Research on Compression Transmission Method of Special Vehicle Status Information Based on Beidou Short Message. J. Ordnance Equip. Eng. 2020, 41, 56–61. [Google Scholar]
- Zhou, L.; Fan, Y.; Wang, R.; Li, X.; Fan, L.; Zhang, F. High-capacity upconversion wavelength and lifetime binary encoding for multiplexed biodetection. Angew. Chem. 2018, 130, 13006–13011. [Google Scholar] [CrossRef]
- Chen, H.; Guo, X.; Wang, F.; Lu, H. Fishery harvesting information compressing and transmitting method based on Beidou short message. Trans. Chin. Soc. Agric. Eng. 2015, 31, 155–160. [Google Scholar]
- Shanmugasundaram, S.; Lourdusamy, R. A comparative study of text compression algorithms. Int. J. Wisdom Based Comput. 2011, 1, 68–76. [Google Scholar]
- Lewis, A.S.; Knowles, G. Image compression using the 2-D wavelet transform. IEEE Trans. Image Process. 1992, 1, 244–250. [Google Scholar] [CrossRef] [PubMed]
- Brady, N.; Bossen, F.; Murphy, N. Context-based arithmetic encoding of 2D shape sequences. In Proceedings of the International Conference on Image Processing, Santa Barbara, CA, USA, 26–29 October 1997; Volume 1, pp. 29–32. [Google Scholar]
- Marpe, D.; Schwarz, H.; Wiegand, T. Context-based adaptive binary arithmetic coding in the H. 264/AVC video compression standard. IEEE Trans. Circuits Syst. Video Technol. 2003, 13, 620–636. [Google Scholar] [CrossRef]
- Colella, P.; Woodward, P.R. The piecewise parabolic method (PPM) for gas-dynamical simulations. J. Comput. Phys. 1984, 54, 174–201. [Google Scholar] [CrossRef]
- Cleary, J.; Witten, I. Data compression using adaptive coding and partial string matching. IEEE Trans. Commun. 1984, 32, 396–402. [Google Scholar] [CrossRef]
- Moffat, A. Implementing the PPM data compression scheme. IEEE Trans. Commun. 1990, 38, 1917–1921. [Google Scholar] [CrossRef]
- Cleary, J.G.; Teahan, W.J. Unbounded length contexts for PPM. Comput. J. 1997, 40, 67–75. [Google Scholar] [CrossRef]
- Goyal, M.; Tatwawadi, K.; Chandak, S.; Ochoa, I. Deepzip: Lossless data compression using recurrent neural networks. arXiv 2018, arXiv:1811.08162. [Google Scholar]
- Nagoor, O.H.; Whittle, J.; Deng, J.; Mora, B.; Jones, M.W. MedZip: 3D medical images lossless compressor using recurrent neural network (LSTM). In Proceedings of the 2020 25th International Conference on Pattern Recognition (ICPR), Milan, Italy, 10–15 January 2021; pp. 2874–2881. [Google Scholar]
- Capotondi, A.; Rusci, M.; Fariselli, M.; Benini, L. CMix-NN: Mixed low-precision CNN library for memory-constrained edge devices. IEEE Trans. Circuits Syst. Express Briefs 2020, 67, 871–875. [Google Scholar] [CrossRef]
- Liu, L.; Zhang, T.; Zhou, S.; Hu, X.; Liu, X. Improved design of control segment in BDS-3. Navigation 2019, 66, 37–47. [Google Scholar] [CrossRef]
- Richardson, R. The vagrant ethic: Need for a sea-lane philosophy. Marit. Policy Manag. 1977, 4, 203–208. [Google Scholar] [CrossRef]
- Yang, Y.; Ding, Q.; Gao, W.; Li, J.; Xu, Y.; Sun, B. Principle and performance of BDSBAS and PPP-B2b of BDS-3. Satell. Navig. 2022, 3, 5. [Google Scholar] [CrossRef]
- Brindha, M.; Gounden, N.A. A chaos based image encryption and lossless compression algorithm using hash table and Chinese Remainder Theorem. Appl. Soft Comput. 2016, 40, 379–390. [Google Scholar] [CrossRef]
- Standardization Administration of China. The Issue of Marine Forecasts and Warnings—Part 2: The Issue of Wave Forecasts and Warnings. 2020. Available online: https://openstd.samr.gov.cn/bzgk/gb/newGbInfo?hcno=EE59EBA318CBC45A89C309C20A495D6D (accessed on 1 October 2017).
- Standardization Administration of China. The Issue of Marine Forecasts and Warnings—Part 3: The Issue of Sea Ice Forecasts and Warnings. 2017. Available online: https://openstd.samr.gov.cn/bzgk/gb/newGbInfo?hcno=58C1DBF73F5289C9F8E42EA31A4B7ECD (accessed on 1 October 2017).
- Standardization Administration of China. Grades of Tsunami. 2020. Available online: https://openstd.samr.gov.cn/bzgk/gb/newGbInfo?hcno=2F31F2C114C93BB22E337BEBD542A07E (accessed on 1 June 2021).
- Standardization Administration of China. The Issue of Marine Forecasts and Warnings—Part 1: The Issue of Storm Surge Warnings. 2020. Available online: https://openstd.samr.gov.cn/bzgk/gb/newGbInfo?hcno=7269707020AB3D3BD3020C7DCDBEE34B (accessed on 1 October 2017).
- Standardization Administration of China. Short-Range Weather Forecast. 2020. Available online: https://openstd.samr.gov.cn/bzgk/gb/newGbInfo?hcno=4741FC6129DC79A7428953C93DF0E7E2 (accessed on 1 April 2018).
- Standardization Administration of China. The Standard Format of Navigational Warnings in People’s Republic of China. 2017. Available online: https://openstd.samr.gov.cn/bzgk/gb/newGbInfo?hcno=FC518743F822BDA7A17E6D7463CD7DDD (accessed on 1 June 2021).
- Zheng, Y.; Lv, X.; Qian, L.; Liu, X. An Optimal BP Neural Network Track Prediction Method Based on a GA–ACO Hybrid Algorithm. J. Mar. Sci. Eng. 2022, 10, 1399. [Google Scholar] [CrossRef]
- Bogovac, T.; Carević, D.; Bujak, D.; Miličević, H. Application of the XBeach-Gravel Model for the Case of East Adriatic Sea-Wave Conditions. J. Mar. Sci. Eng. 2023, 11, 680. [Google Scholar] [CrossRef]
- Aufderheide, T.P.; Pirrallo, R.G.; Yannopoulos, D.; Klein, J.P.; Von Briesen, C.; Sparks, C.W.; Deja, K.A.; Conrad, C.J.; Kitscha, D.J.; Provo, T.A.; et al. Incomplete chest wall decompression: A clinical evaluation of CPR performance by EMS personnel and assessment of alternative manual chest compression–decompression techniques. Resuscitation 2005, 64, 353–362. [Google Scholar] [CrossRef]








| Packet Header | CRS-MSI | |||||
|---|---|---|---|---|---|---|
| Service Type Identifier | Protocol Version Number | Chinese /English Identifier | Telegram ID Number | Total Number of Packets | Current Packet Sequence Number | Data Content |
| 8 bit | 3 bit | 1 bit | 8 bit | 6 bit | 6 bit | variable length |
| Information Source | Broadcasting Station | Message ID | Information Level | Message Category |
|---|---|---|---|---|
| 5 bit | 4 bit | 21 bit | 4 bit | 4 bit |
| Information Subtypes | Vaild Data | Number of Regions | Regions Types | MSI 1 |
| 3 bit | 21 bit | 4 bit | 3 bit | variable length |
| Year (1 bit) | Month (4 bit) | Day (5 bit) | Hour (5 bit) | Minute (6 bit) |
|---|---|---|---|---|
| 0/1 | 1∼12 | 1∼31 | 0∼23 | 0∼59 |
| Regions Types | Maritime Zone | Point | Polyline | Circular Area | Polygonal Area | Reservation |
|---|---|---|---|---|---|---|
| Encoding | 0 | 1 | 2 | 3 | 4 | 5∼7 |
| Dataset | Amount | Data Size/Byte | Reference Standard |
|---|---|---|---|
| wave | 860 | 559∼3018 | GB/T 19721.2-2017 [44] |
| sea ice | 10 | 1205∼1301 | GB/T 19721.3-2017 [45] |
| tsunami | 181 | 316∼919 | GB/T 39419-2020 [46] |
| storm | 317 | 1048∼3556 | GB/T 19721.1-2017 [47] |
| weather | 4254 | 741∼11,929 | GB/T 21984-2017 [48] |
| navigation | 2797 | 765∼1610 | GB/T 17577-2020 [49] |
| File | LZ4 1 | gzip 1 | xz 1 | zstd 1 | Brotli 1 | x3 1 | XH |
|---|---|---|---|---|---|---|---|
| dickens | 2.2948 | 2.6461 | 3.6000 | 3.5765 | 3.6044 | 3.7168 | 3.7431 |
| mozilla | 2.3176 | 2.6966 | 3.8292 | 3.3769 | 3.6922 | 2.7432 | 2.8013 |
| mr | 2.3472 | 2.7138 | 3.6231 | 3.2132 | 3.5317 | 4.0364 | 4.2131 |
| nci | 9.1071 | 11.2311 | 23.1519 | 20.7925 | 22.0780 | 19.1103 | 19.2232 |
| ooffice | 1.7349 | 1.9907 | 2.5346 | 2.3587 | 2.4818 | 2.0668 | 2.1745 |
| osdb | 2.5290 | 2.7138 | 3.5456 | 3.2855 | 3.5812 | 3.6151 | 3.6842 |
| reyment | 3.1345 | 3.6386 | 5.0374 | 4.9060 | 4.9747 | 5.1010 | 5.2237 |
| samba | 3.5122 | 3.9950 | 5.7778 | 5.5267 | 5.7367 | 4.1871 | 4.2516 |
| sao | 1.2639 | 1.3613 | 1.6386 | 1.4479 | 1.5812 | 1.5042 | 1.5874 |
| webster | 2.9554 | 3.4372 | 4.9540 | 4.8970 | 4.9188 | 4.9685 | 5.0328 |
| xml | 6.9277 | 8.0709 | 12.2910 | 11.8004 | 12.4145 | 9.2249 | 9.3719 |
| X-ray | 1.1798 | 1.4035 | 1.8868 | 1.6457 | 1.8096 | 1.9649 | 2.0013 |
| XH | x3 | LSTM | AAC | |||||||||
|---|---|---|---|---|---|---|---|---|---|---|---|---|
| w/o MBE | mCR | mCR | mCR | mCR | ||||||||
| wave | 1.7185 | 0.0031 | 0.0011 | 1.7023 | 0.0067 | 0.0012 | 1.5303 | 0.1151 | 0.1151 | 1.4921 | 0.0010 | 0.0010 |
| sea ice | 2.0804 | 0.0064 | 0.0021 | 2.0796 | 0.0136 | 0.0028 | 1.6444 | 0.2711 | 0.2700 | 1.6112 | 0.0020 | 0.0020 |
| tsunami | 1.3879 | 0.0024 | 0.0006 | 1.3579 | 0.0051 | 0.0008 | 1.3731 | 0.0641 | 0.0647 | 1.4198 | 0.0010 | 0.0010 |
| storm | 1.7540 | 0.0044 | 0.0013 | 1.7410 | 0.0091 | 0.0017 | 1.5303 | 0.1319 | 0.1319 | 1.5083 | 0.0010 | 0.0010 |
| weather | 3.4197 | 0.1286 | 0.0146 | 3.3932 | 0.1579 | 0.0191 | 1.5861 | 0.2500 | 0.2500 | 1.5724 | 0.0014 | 0.0020 |
| navigation | 1.7305 | 0.0040 | 0.0017 | 1.7186 | 0.0056 | 0.0017 | 1.3937 | 0.0803 | 0.0803 | 1.3563 | 0.0010 | 0.0010 |
| XH | x3 | LSTM | AAC | |||||||||
|---|---|---|---|---|---|---|---|---|---|---|---|---|
| mCR | s | sx | mCR | s | sx | mCR | s | sx | mCR | s | sx | |
| wave | 1.7185 | 0.2097 | 0.0032 | 1.7023 | 0.2052 | 0.0031 | 1.5303 | 0.0649 | 0.0010 | 1.4921 | 0.0532 | 0.0008 |
| sea ice | 2.0804 | 0.0406 | 0.0006 | 2.0796 | 0.0405 | 0.0006 | 1.6444 | 0.0065 | 0.0001 | 1.6112 | 0.0013 | 0.0001 |
| tsunami | 1.3879 | 0.1049 | 0.0016 | 1.3579 | 0.0387 | 0.0006 | 1.3731 | 0.0703 | 0.0011 | 1.4198 | 0.0417 | 0.0006 |
| storm | 1.7540 | 0.1563 | 0.0024 | 1.7410 | 0.1811 | 0.0028 | 1.5303 | 0.0920 | 0.0014 | 1.5083 | 0.0674 | 0.0010 |
| weather | 3.4197 | 0.2236 | 0.0034 | 3.3932 | 0.2220 | 0.0034 | 1.5861 | 0.0578 | 0.0009 | 1.5724 | 0.0623 | 0.0009 |
| navigation | 1.7305 | 0.1902 | 0.0029 | 1.7186 | 0.1901 | 0.0029 | 1.3937 | 0.0513 | 0.0009 | 1.3563 | 0.0557 | 0.0008 |
| XH | x3 | LSTM | AAC | |||||||||
|---|---|---|---|---|---|---|---|---|---|---|---|---|
| with MBE | mCR | mCR | mCR | mCR | ||||||||
| wave | 1.9165 | 0.0063 | 0.0021 | 1.9116 | 0.0072 | 0.0028 | 1.7892 | 0.1032 | 0.1032 | 1.5321 | 0.0010 | 0.0010 |
| sea ice | 2.2241 | 0.0098 | 0.0063 | 2.2188 | 0.0121 | 0.0026 | 1.8089 | 0.2311 | 0.2311 | 1.6846 | 0.0020 | 0.0020 |
| tsunami | 1.6333 | 0.0067 | 0.0033 | 1.5746 | 0.0053 | 0.0092 | 1.5889 | 0.0627 | 0.0625 | 1.5132 | 0.0012 | 0.0012 |
| storm | 1.9460 | 0.0071 | 0.0016 | 1.9308 | 0.0083 | 0.0039 | 1.7252 | 0.1134 | 0.1132 | 1.8286 | 0.0020 | 0.0020 |
| weather | 3.5612 | 0.1191 | 0.0155 | 3.5581 | 0.1412 | 0.0183 | 1.7782 | 0.2118 | 0.2118 | 1.7520 | 0.0018 | 0.0018 |
| navigation | 2.4929 | 0.0045 | 0.0013 | 2.4755 | 0.0047 | 0.0012 | 1.8632 | 0.0832 | 0.0832 | 1.3563 | 0.0010 | 0.0010 |
| Window Size | Matches | Compression Ratio |
|---|---|---|
| 1 | 7 | 3.3748 |
| 2 | 14 | 3.4723 |
| 3 | 15 | 3.5028 |
| 8 | 29 | 3.6350 |
| 16 | 40 | 3.6963 |
| 32 | 75 | 3.7804 |
| 64 | 77 | 3.7955 |
Disclaimer/Publisher’s Note: The statements, opinions and data contained in all publications are solely those of the individual author(s) and contributor(s) and not of MDPI and/or the editor(s). MDPI and/or the editor(s) disclaim responsibility for any injury to people or property resulting from any ideas, methods, instructions or products referred to in the content. |
© 2023 by the authors. Licensee MDPI, Basel, Switzerland. This article is an open access article distributed under the terms and conditions of the Creative Commons Attribution (CC BY) license (https://creativecommons.org/licenses/by/4.0/).
Share and Cite
Hu, J.; Hong, Y.; Jin, Q.; Zhao, G.; Lu, H. An Efficient Dual-Stage Compression Model for Maritime Safety Information Based on BeiDou Short-Message Communication. J. Mar. Sci. Eng. 2023, 11, 1521. https://doi.org/10.3390/jmse11081521
Hu J, Hong Y, Jin Q, Zhao G, Lu H. An Efficient Dual-Stage Compression Model for Maritime Safety Information Based on BeiDou Short-Message Communication. Journal of Marine Science and Engineering. 2023; 11(8):1521. https://doi.org/10.3390/jmse11081521
Chicago/Turabian StyleHu, Jiwei, Yue Hong, Qiwen Jin, Guangpeng Zhao, and Hongyang Lu. 2023. "An Efficient Dual-Stage Compression Model for Maritime Safety Information Based on BeiDou Short-Message Communication" Journal of Marine Science and Engineering 11, no. 8: 1521. https://doi.org/10.3390/jmse11081521
APA StyleHu, J., Hong, Y., Jin, Q., Zhao, G., & Lu, H. (2023). An Efficient Dual-Stage Compression Model for Maritime Safety Information Based on BeiDou Short-Message Communication. Journal of Marine Science and Engineering, 11(8), 1521. https://doi.org/10.3390/jmse11081521

