Next Article in Journal
The Effects of Non-Indigenous Macrophytes on Native Biodiversity: Case Studies from Sicily
Previous Article in Journal
LFLD-CLbased NET: A Curriculum-Learning-Based Deep Learning Network with Leap-Forward-Learning-Decay for Ship Detection
 
 
Font Type:
Arial Georgia Verdana
Font Size:
Aa Aa Aa
Line Spacing:
Column Width:
Background:
Article

Effects of Codend Mesh-Shape and Size on the Size Selectivity of Demersal Trawl Targeting Banded Scad (Alepes djedaba) in the Beibu Gulf, South China Sea

1
Key Laboratory of Open-Sea Fishery Development, Ministry of Agriculture and Rural Affairs, South China Sea Fisheries Research Institute, Chinese Academy of Fishery Sciences, Guangzhou 510300, China
2
College of Marine Science, Shanghai Ocean University, Shanghai 201306, China
3
SINTEF Ocean, Fishing Gear Technology, Willemoesvej 2, 9850 Hirtshals, Denmark
4
The Norwegian College of Fishery Science, UiT The Arctic University of Norway, N-9037 Tromsø, Norway
5
DTU Aqua, Technical University of Denmark, 9850 Hirtshals, Denmark
*
Author to whom correspondence should be addressed.
J. Mar. Sci. Eng. 2023, 11(7), 1390; https://doi.org/10.3390/jmse11071390
Submission received: 16 June 2023 / Revised: 3 July 2023 / Accepted: 8 July 2023 / Published: 9 July 2023
(This article belongs to the Section Marine Aquaculture)

Abstract

In order to optimize the size selectivity of demersal trawl targeting Banded Scad, Alepes djedaba, in the South China Sea (SCS), we tested and compared the selective properties of four experimental codends. These codends included two diamond-mesh codends (T0 codends) with different mesh openings (30 and 35 mm), and two T90 codends (the netting was turned by 90 degrees) with the relatively same mesh opening. The results demonstrated that the T0_30 codend (diamond-mesh codend with 30-mm mesh opening) presented the best size selectivity and is a potential choice to harvest Banded Scad in the studied area among the codends tested. Although applying the T0_35 or T90_30 codend might obtain a little improvement in size selectivity, the loss of marketable-size individuals could be a compromise. Considering the results in our study and those of previous studies, we recommend that the T0_30 codend should be mandated in the fisheries management regulation of trawl fisheries targeting Banded Scad in the SCS.

1. Introduction

Banded Scad, Alepes djedaba, is a small-sized fish species distributed in the Indo-Western Pacific Ocean [1,2]. It is also one of the most social-economically relevant species, which is often targeted by demersal trawl fisheries in the South China Sea (SCS) [3,4,5]. Additionally, Banded Scad has always played a key role in the ecosystem of fishing grounds as it is one of the dominant feeding species for some large top-predator fish species in the SCS [6,7].
Despite its relevance, the by-catch issue of undersized Banded Scad and the poor exploitation pattern in its fishery are of concern. The main fishing gears to target Banded Scad are beam trawls [5] and otter-board trawls [3,4]. The codends in these demersal trawls are all constructed using diamond-mesh nettings, and they need to have a minimal mesh size of at least 25 mm, according to the current management legislation in China. The size selectivity of the legislated codend with a mesh size of 25 mm (hereafter D25), however, was determined to be poor for demersal trawl fisheries targeting Banded Scad in the SCS. For instance, the results of a study by Yang et al. [8] showed that the D25 codend was so unselective that nearly no escape of Banded Scad was observed. More recently, another selectivity experiment was conducted by Yang et al. [9] to test the legal D25 codend in an otter-board trawl fishery. Their results were much better, obtaining two selective parameters: L50 (the length with 50% probability of retention) and SR (selection range) at 6.99 and 1.94 cm, respectively, however, their confidence intervals (CIs) were relatively wide at (0.10–9.22) and (0.10–6.41) cm, respectively [9]. Moreover, their results showed that the exploitation pattern of the D25 codend was undesirable, as more than 20% of undersized Banded Scad was retained in the SCS.
In order to mitigate the by-catch of undersized individuals in trawl fishery, one simple modification would be to increase the mesh sizes of the codends. This modification has been proven to have positive effects on improving the selective properties of demersal trawls targeting Banded Scad in some previous studies in the SCS [8,9]. For example, the selective properties were better if the codend mesh-size increased from 25 to 30 mm. When the mesh size further increased to 40 mm, however, negative effects were demonstrated by Yang et al. [9], as CIs in the selectivity parameters and selectivity curves became wider and the loss of marketable individuals of Banded Scad became of concern. Thus, other alternative modifications need to be considered to optimize the selective properties of trawl codends for this species. Another simple and potential consideration would be to apply T90 codends by turning the diamond mesh by 90 degrees. In other words, T90 codends represent the codends in which the direction of diamond-mesh netting is turned by 90 degrees. It has previously been tested and demonstrated through computer simulation [10], flume tank experiments [11,12] and sea trials [13,14,15,16] that T90 codends would present a more stable mesh opening, and consequentially have better size selectivity than the traditional diamond-mesh codends (also termed as T0). Although T90 codends have been tested and proven to be effective to improve the selective properties for many fish species worldwide, they have never been experimentally tested and documented for demersal trawl fishery targeting Banded Scad in the SCS.
In this study, to mitigate the by-catch problems of undersized Banded Scad and further improve the size selectivity and exploitation pattern, four experimental codends with two different mesh-shapes and mesh-sizes were tested and compared.

2. Materials and Methods

2.1. Fishing Vessel, Areas, and Experimental Setup

Experimental fishing trials were carried out onboard a traditional trawler ‘Gui-beiyu 96899′ (overall length of 38 m and engine power of 280 kW) from 17 to 19 November 2020. The trials took place in the Beibu Gulf in the northern SCS (Figure 1). This fishing area was selected according to the information of the previous experiment by Yang et al. [9] to ensure sufficient catch data for the species investigated. To mimic a commercial fishing condition, the fishing practice was kept identical to that of commercial-fishing trawlers.
The selected trawler operated a double-rigged, also called out-rigged, trawling system, in which two trawl-nets were hauled in parallel through two out-rigged derricks applying two pairs of trawl doors (Figure 2). These trawl-nets were constructed using PE twine with 860 meshes around the fishing circumference. The mesh size was 45 mm from the wing-end to the fishing circle, and then decreased to 25 mm in the codend. The length of the headline and footrope was 28 and 36 m, respectively. Detailed information of the fishing gears has been presented by Yang et al. [9].
To test the size selectivity, we utilized the trawl-nets from the fishing vessel and only replaced the codend with the experimental ones. Four codends were designed and manufactured. These were termed as T0_30, T0_35, T90_30, and T90_35 according to their mesh shapes and mesh sizes. In these abbreviations, T0 and T90 represent the mesh shapes, while 30 and 35 are the mesh size. The two T0 codends had an identical stretched length in both the circumferential and longitudinal direction, and only differed terms of the mesh opening. The mesh opening of the T90 codends was the same as those of the T0 codends with the same mesh size of 29.79 ± 0.65 mm for the T0_30 and T90_30 codends, and 35.66 ± 1.06 mm for the T0_35 and T90_35 codends, respectively. In our study, the T90 codends were designed to be 33% smaller in the circumferential and 30% longer in the longitudinal direction when compared with the T0 codends with relatively the same mesh-size [14,17]. Detailed information of the experimental codends is shown in Figure 2.

2.2. Data Collection

Data collection was conducted by applying the covered codend method [18]. Compared with the experimental codends, the cover-nets were about 1.5 times longer and larger, with a smaller mesh opening of about 12 mm. For the purpose of removing the potential covered-effects, twelve flexible kites were applied [9,19,20]. To determine how these kites worked, we used underwater video recordings constructed by GoPro HERO 4. Additionally, for easy access to the catches in the codends, which were surrounded by the cover-nets, zippers were attached to the sides of the cover-nets.
We took advantage of the out-rigged trawling system from the fishing vessel by arranging two pairwised tests: the first test was T0_30 versus T90_30, while the second test was T0_35 versus T90_35 (Figure 2). One test replicated several hauls, then moved on to the other. In every valid haul, catches from the experimental codends were first handled through the zippers. Catches of the target species were sorted and sub-sampling took place if the catch number was large. Catches were kept in marked cases, frozen, and the length measured when we got back to the laboratory on land. The counted number and length values of the Banded Scad from cover and the codend at haul level constituted the majority of data to be analyzed.

2.3. Estimation of Size Selectivity and Model Fit

For each codend, data of the Banded Scad were analyzed to estimate the size selectivity separately. In a given experimental codend, an individual of Banded Scad with specific length (l) in a specific haul (j) was either captured by the codend or not (escaping to the cover). The catch efficiency (or retention probability) is often expressed as rj(l), which has been proven to vary among different hauls for the same tested codend due to uncertainties from within- or/and between-haul variations [21]. In the present study, we were interested in the average retention probability over all fishing hauls for each codend, as this would inform the consequences by using the tested codends in a specific fishery [22,23]. This average retention probability could be expressed as rcodend (l, vcodend), where vcodend is the vector of the selectivity parameters to be estimated using the maximum likelihood method by minimizing the following expression:
j = 1 m l   n R l j q R j × ln r c o d e n d l , v c o d e n d + n E l j q E j × ln 1 r c o d e n d l , v c o d e n d
where nRlj and nElj represent the counted number of Banded Scad in length class l from the tested codend and cover in haul j, whereas qRj and nEj are the sub-sampled ratio of the length-measurement from the tested codend and cover, respectively.
Four commonly used models—Logit, Probit, Gompertz, and Richards—were considered as candidates to represent the catch data for the tested codends. For the Logit, Probit, and Gompertz models, L50 and SR can be used to fully describe them. For the Richards model, one additional parameter, D, is needed [18]. The estimation of size selectivity and model fit for each codend tested was carried out following two steps. In the first step, four candidate models were fitted by applying Equation (1) to obtain their Akaike’s information criterion (AIC) values, and the best fit model was selected, the one with the lowest AIC value [24]. In the second step, using the best model, we applied a double-bootstrapping technique to estimate the Efron 95% [25] confidence intervals (CIs) for the selectivity parameters and selectivity curves [9,22,23,26].
To determine how the chosen models fit the catch data of the target species, we checked their p-values and compared them with 0.05. Generally, if the models fit sufficiently well to the catch data, their p-values would be larger than 0.05. In some cases, when their p-values were less than 0.05, we needed to check their individual residuals to see whether this was due to overdispersion in the data or structural problems in the model selected [18].

2.4. Estimation of Delta Selectivity

To estimate the potential differences of codends with different configurations in the size selectivity, we applied delta selectivity (Δr(l)) using the following expression:
Δr(l) = rx (l) − ry (l)
where rx (l) represents the size selectivity of codend x, and ry (l) is the size selectivity of codend y. The Efron 95% CIs of delta selectivity were obtained by applying the double-bootstrapping technique. To determine whether the difference between the codends tested was statistically significant or not, we checked whether their CIs in delta selectivity would contain 0.0.

2.5. Estimation of Exploitation Pattern Indicators

In order to supplement the results of size selectivity and delta selectivity, exploitation pattern indicators could provide direction information about how the experimental codends would affect the exploitation patterns of the target species in some specific fishing population scenarios [9,15]. In this study, we estimated three different exploitation pattern indicators, nP−, nP+, and dnRatio, using the following expression:
n P = 100 × l < M C R S r c o d e n d l , v c o d e n d × n P o p l } l < M C R S n P o p l } n P + = 100 × l M C R S r M C R S l , v c o d e n d × n P o p l } l M C R S n P o p l } d n R a t i o = 100 × l < M C R S r c o d e n d l , v c o d e n d × n P o p l } l r c o d e n d l , v c o d e n d × n P o p l }  
where Popl is the fishing population size structure of Banded Scad encountered by the tested codends, while MCRS represents the minimum conservation reference size (6.4 cm) of the target species. Two different fishing population scenarios of Banded Scad were generated by pooling all of the catch data. One was from the data in the present study, while the other was from the previous fishing trials conducted by Yang et al. [9]. The Efron 95% CIs of the exploitation pattern indicators can be obtained using the same bootstrapped technique.
All of the data analyses including size selectivity, delta selectivity, and exploitation pattern indicators were carried out using the SELNET software [9,23,26,27]. Statistical tool R (version 4.1.2) [28] and the ggplot2 package [29] were applied to produce plots in the population scenarios, size selectivity, and delta selectivity.

3. Results

3.1. Overview of the Experimental Data

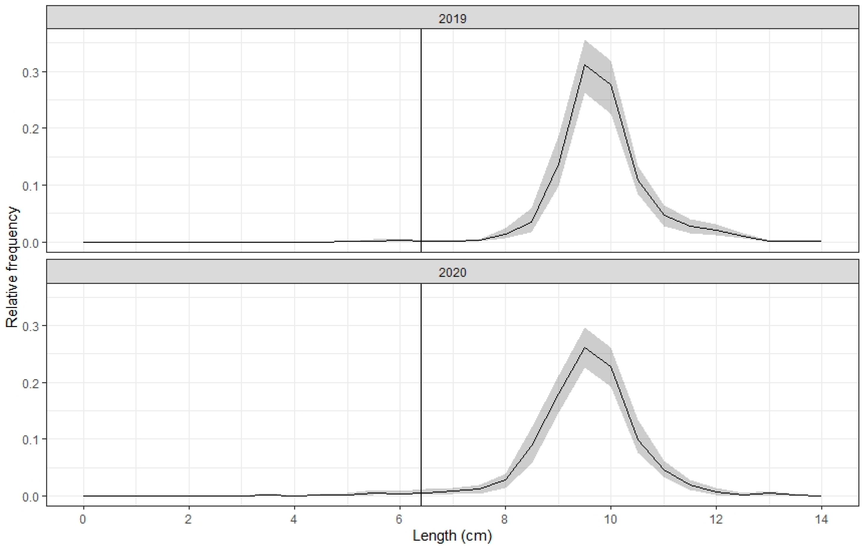
In the fishing trials, a total of 32 valid hauls were conducted: nine for the T0_30 codend, eight for the T0_35 and T90_35 codends, and seven for the T90_30 codend, respectively. Hauling duration of the fishing vessel was about 131 min, ranging from 115 to 158 min, while the water depth was about 24 m. Banded Scad was one of the most dominant species in catch number. A total of 1270 individuals of Banded Scad were length measured and included in the selectivity analysis. Based on the length data and that of the previous study [9], two average fishing population scenarios of Banded Scad were generated (Figure 3). In 2019, the length range of Banded Scad was 5.0 to 14.0 cm with the dominant catch at 9.5 to 10.0 cm, while the length ranged from 3.5 to 13.5 cm and dominated at 9.5 cm in the population scenario of 2020.

3.2. Size Selectivity and Model Fit

According to the rule of the lowest AIC values from the candidate models (Table 1), the Gompertz was selected as the most adequate model for the T0_30 and T90_30 codends, while the Richards was chosen for the T0_35 and T90_35 codends, respectively. These selected models were sufficiently able to represent the catch data for the codends tested, as their p-values were all larger than 0.05 (Table 2). The selectivity parameters showed that the T0_35 codend resulted in the highest L50 value, which was statistically and significantly larger than those of the T0_30 and T90_30 codends, but not significant compared with that of the T90_35 codend. In contrast, the T90_35 codend had the highest SR values. The differences, however, in the SR values between the different codends tested were not significant.
Compared with the selectivity parameters from Yang et al. [9], the T0_30 codend had a lower L50 than the D30 codend, while the T0_35 codend had a larger L50 than the D35 codend, but the difference was not significant. The values of SR from the T0_30 and T0_35 codends were smaller than the codends in Yang et al. [9] with the same mesh sizes, but again not significant. It is noteworthy that the CIs of L50 and SR were relatively wider for the T90_35 codend. The situations were similar, with the selectivity parameters in the diamond mesh codend with a mesh size larger than 35 mm in the previous study by Yang et al. [9]. The retention probability of Banded Scad with a length of MCRS was 42.96% (CI: 0–83.04%) in the T0_30 codend, while it dropped to 23.23% (CI: 0–57.72%) for the T90_30 codend, and further decreased to 1.71% (CI: 0–5.18%) for the T0_35 codend, but increased to 51.71% (CI: 0–91.60%) in the T90_35 codend (Figure 4).

3.3. Delta Selectivity

The delta selectivity of the experimental codends demonstrated that the differences in the two comparisons were statistically significant and length-dependent (Figure 5). Compared with the T0_30 and T90_30 codends, the T0_35 codend had significantly lower retention probability in the length range of 7.1 to 8.4 cm. The differences between the T0_30 and T90_30 codends were not significant. Due to the wider CIs of size selectivity in the T90_35 codend, significant differences were not observed when compared with the other three codends.

3.4. Exploitation Pattern Indicators

The exploitation pattern indicators of the experimental codends showed that the T90_30 codend had the lowest retention probability for undersized Banded Scad (nP−) of less than 1%, and the highest retention probability for preferred size individuals (nP+) of larger than 99% (Table 3). The T0_30 codend had higher nP− values and the T0_35 codend had lower nP+ values compared with the T90_30 codend, while the T90_35 codend had the highest nP− values of larger than 40%. Relatively lower discarded ratios (dnRatio) were obtained for the experimental codends. These differences, however, were not statistically significant due to the overlapped CIs (Table 3).

4. Discussion

In the present study, we investigated the size selectivity and exploitation pattern of a demersal trawl fishery targeting Banded Scad through testing and comparing four experimental codends in the SCS. The results demonstrated that compared with the starting point (T0_30), increasing the mesh size from 30 to 35 mm would obtain higher L50 and lower retention probability of Banded Scad with a length of MCRS, while substituting with the T90_30 codend showed little improvement in L50, but sharpened size selectivity by decreasing the SR value. However, when it came to the T90_35 codend, negative effects were observed including lower L50 and higher SR values, and larger CIs in the selectivity parameters and curves. The results of the exploitation pattern indicators shared a similar trend. Applying the T0_35 or T90_30 codend would reduce the retention probability for undersized Banded Scad (nP−), while the T90_35 codend had the negative effect of increasing the value, though these differences were not significant.
The results of our study demonstrated that L50 improved when the mesh size of the experimental codends increased from 30 to 35 mm, which were partly in agreement with some previous studies. For example, a study by Yang et al. [9] showed that the L50 of the diamond-mesh codends for Banded Scad would increase from 6.99 to 8.32 cm if the mesh size is increased from 25 to 35 mm (Table 2), despite which, the differences were not significant. A similar trend was also observed by another previous study [8] conducted on a shrimp beam trawl fishery targeting Banded Scad in the SCS. Although some studies have documented that applying T90 codends would obtain better selective properties [10,13,15,16,30,31], the results of our study for Banded Scad were in contrast to them. As our results demonstrated that the T90_30 codend showed a little improvement in the size selectivity than the T0_30 codend, whereas the T90_35 codend presented more negative selective properties than the T0_35 codend. One possible explanation for these results might be that the mesh shape of the T0 codends fit more to the morphology of Banded Scad, which is ship-like, than that of the T90 codend. Additionally, Banded Scad is a fish species with a small body size, so more mesh openings might not result in better size selectivity for this species. For example, generally, the T90_35 codend presents more mesh openings than the T0_35 codend. However, wider CIs were observed for the T90_35 codend in the selectivity parameters and curves. Wider CIs indicated that there were great uncertainties in the size selectivity. This trend has also been observed by a previous study [9] where wide confidence intervals, especially in the selectivity parameters, were present when the mesh sizes of the T0 codends were larger than 35 mm.
Irrespective of the contrasting results of the T90 codends with those of previous studies, our study will have relevant implications to the fisheries management of demersal trawl targeting Banded Scad. Previously, the size selectivity of the legal D25 was tested to be poor for Banded Scad by the two previous studies [8,9]. Improving the size selectivity can be simply achieved by increasing the mesh size from 25 to 30 mm [9]. Our results further confirmed that the T0_30 codend would be the best potential choice for a demersal trawl fishery targeting Banded Scad in the study areas among the four experimental codends. Although further increasing the mesh size from 30 to 35 mm or applying the T90_30 codend might obtain a slight improvement in size selectivity, the loss of marketable-size individuals could be a compromise. Moreover, the fishermen might be reluctant to dramatically increase the mesh size in their codends or apply the relatively new T90 codends, which might be time-consuming to construct and operate. Considering the selectivity results in our study and those of previous studies, we recommend that the T0_30 codend should be mandated in fisheries management regulations to optimize the size selectivity of s demersal trawl fishery targeting Banded Scad in the SCS.
It should be noted that the results of our study not only depend on the characteristics of the codends, but also on the fishing population structure, swimming behavior, and morphology of the target species. Additionally, the results of the exploitation pattern indicators were affected by the value of the MCRS. Currently, there is no legal or formal minimum landing size (MLS) or MCRS for demersal trawl fisheries targeting Banded Scad in the SCS. A legal MLS (or MCRS) is highly relevant to supplement the recommendation of the T0_30 codend to ensure sustainable fishing in the studied area.
In our study, the results showed that the mesh size in the trawl codends was not the larger the better. However, why did huge uncertainties present themselves when the mesh sizes increased for the species investigated? This question needs further research. The FISHSELECT and simulation method, together with underwater observation, might be potential ways to explore it in future research works [32,33,34,35,36].

5. Conclusions

We investigated the size selectivity and exploitation pattern of a demersal trawl fishery targeting Banded Scad by testing and comparing four experimental codends in the SCS. Our results demonstrated that the T0_30 codend presented the best selective properties and is the best potential choice to target Banded Scad, and we recommend that it is mandated in fisheries management regulations in the studied area.

Author Contributions

Conceptualization, B.Y.; Methodology, B.Y. and B.H.; Software, B.H.; Validation, B.Y.; Formal analysis, B.Y.; Investigation, B.Y.; Resources, B.Y.; Data curation, B.Y.; Writing—original draft preparation, B.Y.; Writing—review and editing, B.Y. and B.H.; Visualization, B.Y.; Supervision, R.W.; Project administration, B.Y.; Funding acquisition, B.Y. All authors have read and agreed to the published version of the manuscript.

Funding

This research was funded by the National Key R&D Program of China (2020YFD0901205), the Central Public-Interest Scientific Institution Basal Research Fund, South China Sea Fisheries Research Institute, CAFS (No. 2020YJ01) as well as financial support from the Ministry of Agriculture and Rural Affair ‘Standard and management regime of fishing gears in the South China Sea’.

Institutional Review Board Statement

Not applicable.

Informed Consent Statement

Not applicable.

Data Availability Statement

The data presented in this study are available in the article.

Acknowledgments

We would like to thank the Captain and crew of the commercial vessel “Guibeiyu 96899” for their cooperation in the sea trials.

Conflicts of Interest

The authors declare no conflict of interest.

References

  1. Chen, W.; Jiang, G. A study of age and growth and the individual fecundity of Caranx (Atule) kalla in Daya Bay. J. Oceanogr. Taiwan Strait 1990, 9, 222–230. [Google Scholar]
  2. Chen, G.; Liang, P.; Guan, S.; Yu, J.; Li, N. Pictures of Marine Fishes in the South China Sea; Science Press: Beijing, China, 2016. [Google Scholar]
  3. Wang, X.; Feng, B.; Lu, H. Catch composition and species diversity of the bottom trawl fishery in the northern South China Sea in 2008. Fish. Mod. 2010, 37, 47–51. [Google Scholar]
  4. Wang, X.; Zeng, W.; Han, Z.; Chen, C.; Lin, X. Biotic integrity assessment of summer fish communities in Zhanjiang Bay waters. J. Shanghai Ocean Univ. 2016, 25, 900–907. [Google Scholar]
  5. Yang, B.; Yang, L.; Tan, Y.; Yan, L.; Zhang, P.; Li, J. Analysis of composition of two shrimp beam trawls in South China Sea. South China Fish. Sci. 2017, 13, 115–122. [Google Scholar]
  6. Yan, Y.; Chen, J.; Hou, G.; Lu, H.; Jin, X. Feeding habits of Trichiurus lepturus in Beibu Gulf of South China Sea. Chin. J. Appl. Ecol. 2010, 21, 749–755. [Google Scholar]
  7. Yan, Y.; Chen, J.; Hou, G.; Lu, H.; Jin, X. Feeding ecology of hairtail Trichiurus lepturus and largehead hairtail Trichiurus lepturus in Beibu Gulf, the South China Sea. Chin. J. Oceanol. Limn. 2011, 29, 174–183. [Google Scholar] [CrossRef]
  8. Yang, B.; Yang, L.; Tan, Y.; Yan, L.; Zhang, P.; Li, J. Size selectivity of combined square and diamond mesh codends of shrimp beam trawl for banded scad Caranx (Atule) kalla in the northern South China Sea. J. Oceanol. Limnol. 2018, 36, 1880–1890. [Google Scholar] [CrossRef]
  9. Yang, B.; Herrmann, B.; Yan, L.; Li, J.; Wang, T. Size selection and exploitation pattern of diamond mesh codends with different mesh sizes in demersal trawl fishery for banded scad (Caranx (Atule) kalla) in the South China Sea. Reg. Stud. Mar. Sci. 2021, 47, 101940. [Google Scholar] [CrossRef]
  10. Herrmann, B.; Priour, D.; Krag, L.A. Simulation-based study of the combined effect on cod-end size selection of turning meshes by 90° and reducing the number of meshes in the circumference for round fish. Fish. Res. 2007, 84, 222–232. [Google Scholar] [CrossRef]
  11. Madsen, N.; Hansen, K.; Madsen, N.A.H. Behavior of different trawl codend concepts. Ocean Eng. 2015, 108, 571–577. [Google Scholar] [CrossRef]
  12. Cheng, Z.; Winger, P.D.; Bayse, S.M.; Kelly, D. Hydrodynamic Performance of Full-Scale T0 and T90 Codends with and without a Codend Cover. J. Mar. Sci. Eng. 2022, 10, 440. [Google Scholar] [CrossRef]
  13. Madsen, N.; Herrmann, B.; Frandsen, R.P.; Krag, L.A. Comparing selectivity of a standard and turned mesh T90 codend during towing and haul-back. Aquat. Liv. Resour. 2012, 25, 231–240. [Google Scholar] [CrossRef]
  14. Bayse, S.M.; Herrmann, B.; Lenoir, H.; Depestele, J.; Polet, H.; Vanderperren, E.; Verschueren, B. Could a T90 mesh codend improve selectivity in the Belgian beam trawl fishery? Fish. Res. 2016, 174, 201–209. [Google Scholar] [CrossRef]
  15. Cheng, Z.; Winger, P.D.; Bayse, S.M.; Kebede, G.E.; DeLouche, H.; Einarsson, H.A.; Pol, M.V.; Kelly, D.; Walsh, S.J. Out with the old and in with the new: T90 codends improve size selectivity in the Canadian redfish (Sebastes mentella) trawl fishery. Can. J. Fish. Aquat. Sci. 2020, 77, 1711–1720. [Google Scholar] [CrossRef]
  16. Brinkhof, J.; Larsen, R.B.; Herrmann, B. Make it simpler and better: T90 codend improves size selectivity and catch efficiency compared with the grid-and-diamond mesh codend in the Northeast Atlantic bottom trawl fishery for gadoids. Ocean Coast. Manage. 2022, 217, 106002. [Google Scholar] [CrossRef]
  17. Robert, M.; Morandeau, F.; Scavinner, M.; Fiche, M.; Larnaud, P. Toward elimination of unwanted catches using a 100 mm T90 extension and codend in demersal mixed fisheries. PLoS ONE 2020, 15, e0235368. [Google Scholar] [CrossRef]
  18. Wileman, D.; Ferro, R.S.T.; Fonteyne, R.; Millar, R.B. Manual of Methods of Measuring the Selectivity of Towed Fishing Gear. In ICES Cooperative Research Reports; International Council for the Exploration of the Sea: Copenhagen K, Denmark, 1996; Volume 215, pp. 1–126. [Google Scholar]
  19. He, P. Selectivity of large mesh trawl codends in the Gulf of Maine: I. Comparison of square and diamond mesh. Fish. Res. 2007, 83, 44–59. [Google Scholar] [CrossRef]
  20. Grimaldo, E.; Larsen, R.B.; Sistiaga, M.; Madsen, N.; Breen, M. Selectivity and escape percentage during three phases of the towing process for codends fitted with different selection systems. Fish. Res. 2009, 95, 198–205. [Google Scholar] [CrossRef]
  21. Fryer, R.J. A model of between-haul variation in selectivity. ICES J. Mar. Sci. 1991, 48, 281–290. [Google Scholar] [CrossRef]
  22. Millar, R.B. Incorporation of between-haul variation using bootstrapping and nonparametric estimation of selection curves. Fish. Bull. 1993, 91, 564–572. [Google Scholar]
  23. Herrmann, B.; Sistiaga, M.; Nielsen, K.N.; Larsen, R.B. Understanding the Size Selectivity of Redfish (Sebastes spp.) in North Atlantic Trawl Codends. J. Northwest Atl. Fish. Sci. 2012, 44, 1–13. [Google Scholar] [CrossRef]
  24. Akaike, H. A new look at the statistical model identification. IEE Trans. Automat. Contr. 1974, 19, 716–723. [Google Scholar] [CrossRef]
  25. Efron, B. The jackknife, the bootstrap and other resampling plans. In SIAM Monograph No. 38, CBSM-NSF Regional Conference Series in Applied Mathematics; SIMA: Philadelphia, PA, USA, 1982. [Google Scholar]
  26. Herrmann, B.; Krag, L.A.; Krafft, B.A. Size selection of Antarctic krill (Euphausia superba) in a commercial codend and trawl body. Fish. Res. 2018, 207, 49–54. [Google Scholar] [CrossRef]
  27. Herrmann, B.; Sitiaga, M.; Larsen, R.B.; Brinkhof, J. Effect of three different codend designs on the size selectivity of juvenile cod in the Barents Sea shrimp trawl fishery. Fish. Res. 2019, 219, 105337. [Google Scholar] [CrossRef]
  28. R Core Team. R: A Language and Environmnet for Statistical Computing; R Foundation for Statistical Computing: Vienna, Austria, 2021; Available online: https://www.R-project.org/ (accessed on 1 January 2023).
  29. Wickham, H. ggplot2: Elegant Graphics for Data Analysis; Springer: New York, NY, USA, 2016. [Google Scholar]
  30. Tokaç, A.; Herrmann, B.; Aydin, C.; Özbilgin, H.; Kaykaç, H.; Ünlüler, A.; Gökçe, G. Predictive models and comparison of the selectivity of standard (T0) and turned mesh (T90) codends for three species in the Eastern Mediterranean. Fish. Res. 2014, 150, 76–88. [Google Scholar] [CrossRef]
  31. Petetta, A.; Herrmann, B.; Virgili, M.; De Marco, R.; Canduci, G.; Veli, D.L.; Bargione, G.; Vasapollo, C.; Lucchetti, A. Estimating selectivity of experimental diamond (T0) and turned mesh (T90) codends in multi-species Mediterranean bottom trawl. Mediterr. Mar. Sci. 2020, 21, 545–557. [Google Scholar] [CrossRef]
  32. Herrmann, B.; Krag, L.A.; Frandsen, R.P.; Madsen, N.; Lundgren, B.; Stæhr, K.J. Prediction of selectivity from morphological conditions: Methodology and a case study on cod (Gadus morhua). Fish. Res. 2009, 97, 59–71. [Google Scholar] [CrossRef]
  33. Santos, J.; Herrmann, B.; Stepputtis, D.; Kraak, S.B.M.; Gokce, G.; Mieske, B. Quantifying the performance of selective devices by combining analysis of catch data and fish behaviour observations: Methodology and case study on a flatfish exclude. ICES J. Mar. Sci. 2020, 77, 2840–2856. [Google Scholar] [CrossRef]
  34. Herrmann, B. Effect of catch size and shape on the selectivity of diamond mesh cod-ends I. Model development. Fish. Res. 2005, 71, 1–13. [Google Scholar] [CrossRef]
  35. Herrmann, B. Effect of catch size and shape on the selectivity of diamond mesh cod-ends II. Theoretical study of haddock selection. Fish. Res. 2005, 71, 15–26. [Google Scholar] [CrossRef]
  36. Cuende, E.; Arregi, L.; Herrmann, B.; Sistiaga, M.; Aboitiz, X. Prediction of square mesh panel and codend size selectivity of blue whiting based on fish morphology. ICES J. Mar. Sci. 2020, 77, 2857–2869. [Google Scholar] [CrossRef]
Figure 1. Map showing the studied area in which the experimental fishing trials were conducted (indicated by red crosses).
Figure 1. Map showing the studied area in which the experimental fishing trials were conducted (indicated by red crosses).
Jmse 11 01390 g001
Figure 2. Schematic view of the out-rigged trawling system and the experimental codends. T0 represents the diamond mesh codend, T90 represents the diamond mesh netting turned by 90 degrees, while 30 and 35 are the mesh sizes.
Figure 2. Schematic view of the out-rigged trawling system and the experimental codends. T0 represents the diamond mesh codend, T90 represents the diamond mesh netting turned by 90 degrees, while 30 and 35 are the mesh sizes.
Jmse 11 01390 g002
Figure 3. Average size structures of Banded Scad in fishing population scenarios 2019 and 2020. Shaded areas are the 95% CIs, and the vertical line represents the MCRS of Banded Scad.
Figure 3. Average size structures of Banded Scad in fishing population scenarios 2019 and 2020. Shaded areas are the 95% CIs, and the vertical line represents the MCRS of Banded Scad.
Jmse 11 01390 g003
Figure 4. Experimental catch retention and selectivity curves of the experimental codends. Circle marks indicate the experimental retention probability. Solid black curves represent selectivity curves and shaded areas describe the 95% CIs. Red solid curves represent the size distribution of Banded Scad caught by the codends, while the red dotted curves represent the ones caught by the covers. Vertical black lines represent the MCRS of Banded Scad.
Figure 4. Experimental catch retention and selectivity curves of the experimental codends. Circle marks indicate the experimental retention probability. Solid black curves represent selectivity curves and shaded areas describe the 95% CIs. Red solid curves represent the size distribution of Banded Scad caught by the codends, while the red dotted curves represent the ones caught by the covers. Vertical black lines represent the MCRS of Banded Scad.
Jmse 11 01390 g004
Figure 5. Delta selectivity of the comparison between the experimental codends. The black curves represent the delta selectivity between codends and the shaded areas are the 95% CIs. Vertical black lines represent the MCRS of Banded Scad.
Figure 5. Delta selectivity of the comparison between the experimental codends. The black curves represent the delta selectivity between codends and the shaded areas are the 95% CIs. Vertical black lines represent the MCRS of Banded Scad.
Jmse 11 01390 g005
Table 1. Akaike’s information criterion (AIC) values obtained from the candidate models for the tested codends. Selected models in bold.
Table 1. Akaike’s information criterion (AIC) values obtained from the candidate models for the tested codends. Selected models in bold.
Model
CodendLogitProbitGompertzRichards
T0_3052.6259.6250.6552.79
T0_35234.67232.32246.13226.47
T90_3040.9250.6738.0740.36
T90_35343.45341.30346.95339.14
Table 2. The selectivity parameters and fit statistics obtained for the tested codends. The selectivity parameters of the D25, D30, D35, D40, D45, and D54 codends were from the previous study by Yang et al. [9]. L50 represents the 50% retention length, SR represents the selection range, D is the additional parameter for the Richards model, while DOF represents the degree of freedom.
Table 2. The selectivity parameters and fit statistics obtained for the tested codends. The selectivity parameters of the D25, D30, D35, D40, D45, and D54 codends were from the previous study by Yang et al. [9]. L50 represents the 50% retention length, SR represents the selection range, D is the additional parameter for the Richards model, while DOF represents the degree of freedom.
Parameters
CodendsModelL50 (cm)SR (cm)Dp-ValueDevianceDOF
T0_30Gompertz6.50 (5.64–7.24)0.79 (0.10–1.31) 0.508215.2316
T0_35Richards8.70 (8.30–8.96)0.75 (0.03–1.06)0.10 (0.10–2.81)0.99694.2315
T90_30Gompertz6.74 (6.39–7.13)0.51 (0.10–0.85) 0.390414.8214
T90_35Richards6.24 (0.10–8.55)5.32 (0.75–14.39)0.13 (0.10–10.00)0.130417.5412
D25 6.99 (0.10–9.22)1.94 (0.10–6.41)
D30 7.65 (6.34–8.21)1.18 (0.10–2.49)
D35 8.32 (6.87–9.07)2.45 (1.24–5.19)
D40 9.72 (3.40–18.01)4.49 (1.15–100.00)
D45 11.31 (10.01–76.48)3.22 (1.42–100.00)
D54 14.91 (11.06–97.25)6.76 (1.92–100.00)
Table 3. Exploitation pattern indicators of the experimental codends in two different fishing population scenarios.
Table 3. Exploitation pattern indicators of the experimental codends in two different fishing population scenarios.
PopulationCodendnP− (%)nP+ (%)dnRatio (%)
2019T0_308.95 (0.00–57.07)99.63 (98.17–99.99)0.00 (0.00–0.00)
T0_350.72 (0.00–2.70)93.00 (86.84–97.90)0.00 (0.00–0.02)
T90_300.07 (0.00–12.61)99.78 (99.18–99.98)0.00 (0.00–0.08)
T90_3545.25 (0.00–89.67)91.92 (79.09–99.01)0.27 (0.00–0.63)
2020T0_304.36 (0.00–37.24)99.07(96.87–99.93)0.06 (0.00–0.56)
T0_350.46 (0.00–1.89)85.62 (77.03–94.04)0.01 (0.00–0.03)
T90_300.03 (0.00–7.03)99.02 (97.72–99.75)0.00 (0.00–0.10)
T90_3540.83 (0.00–87.69)89.64 (75.11–98.37)0.64 (0.00–1.44)
Disclaimer/Publisher’s Note: The statements, opinions and data contained in all publications are solely those of the individual author(s) and contributor(s) and not of MDPI and/or the editor(s). MDPI and/or the editor(s) disclaim responsibility for any injury to people or property resulting from any ideas, methods, instructions or products referred to in the content.

Share and Cite

MDPI and ACS Style

Yang, B.; Herrmann, B.; Wan, R. Effects of Codend Mesh-Shape and Size on the Size Selectivity of Demersal Trawl Targeting Banded Scad (Alepes djedaba) in the Beibu Gulf, South China Sea. J. Mar. Sci. Eng. 2023, 11, 1390. https://doi.org/10.3390/jmse11071390

AMA Style

Yang B, Herrmann B, Wan R. Effects of Codend Mesh-Shape and Size on the Size Selectivity of Demersal Trawl Targeting Banded Scad (Alepes djedaba) in the Beibu Gulf, South China Sea. Journal of Marine Science and Engineering. 2023; 11(7):1390. https://doi.org/10.3390/jmse11071390

Chicago/Turabian Style

Yang, Bingzhong, Bent Herrmann, and Rong Wan. 2023. "Effects of Codend Mesh-Shape and Size on the Size Selectivity of Demersal Trawl Targeting Banded Scad (Alepes djedaba) in the Beibu Gulf, South China Sea" Journal of Marine Science and Engineering 11, no. 7: 1390. https://doi.org/10.3390/jmse11071390

APA Style

Yang, B., Herrmann, B., & Wan, R. (2023). Effects of Codend Mesh-Shape and Size on the Size Selectivity of Demersal Trawl Targeting Banded Scad (Alepes djedaba) in the Beibu Gulf, South China Sea. Journal of Marine Science and Engineering, 11(7), 1390. https://doi.org/10.3390/jmse11071390

Note that from the first issue of 2016, this journal uses article numbers instead of page numbers. See further details here.

Article Metrics

Back to TopTop