Improved Bathymetry in the South China Sea from Multisource Gravity Field Elements Using Fully Connected Neural Network
Abstract
1. Introduction
2. Study Area and Data
2.1. Study Area
2.2. Datasets Used
3. Methodology
3.1. Gravity Field Processing
3.2. Bathymetry Inversion Process
3.3. Neural Network Structure
3.4. Training the Network and Prediction
4. Results and Evaluation
4.1. FC-DNN-Derived Bathymetry
4.2. Compared with Shipboard Depths
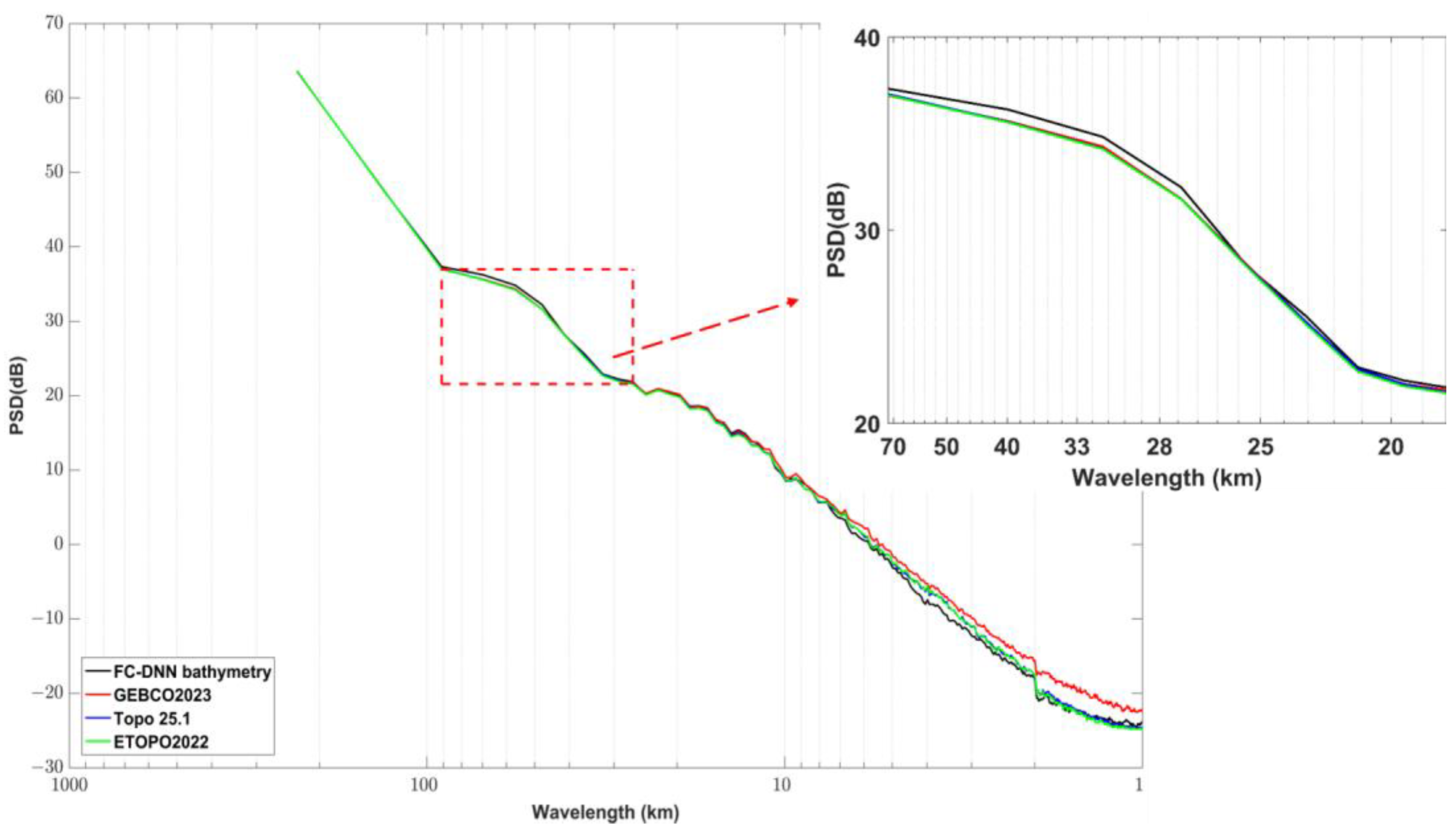
4.3. Compared with Promising Bathymetry Models
5. Conclusions
Author Contributions
Funding
Institutional Review Board Statement
Informed Consent Statement
Data Availability Statement
Acknowledgments
Conflicts of Interest
References
- Sun, H.; Li, Q.; Bao, L.; Wu, Z.; Wu, L. Progress and Development Trend of Global Refined Seafloor Topography Modeling. Geomat. Inf. Sci. Wuhan Univ. 2022, 47, 1555–1567. (In Chinese) [Google Scholar]
- Eppelbaum, L.V.; Katz, Y.I. A New Regard on the Tectonic Map of the Arabian-African Region Inferred from the Satellite Gravity Analysis. Acta Geophys. 2017, 65, 607–626. [Google Scholar] [CrossRef]
- Parker, R. The rapid calculation of potential anomalies. Geophys. J. Int. 1972, 31, 447–455. [Google Scholar] [CrossRef]
- Watts, A.B. An analysis of isostasy in the world’s oceans 1. Hawaiian-Emperor Seamount Chain. J. Geophys. Res. Solid Earth 1978, 83, 5989–6004. [Google Scholar] [CrossRef]
- Dixon, T.H.; Naraghi, M.; McNutt, M.K.; Smith, S.M. Bathymetric prediction from SEASAT altimeter data. J. Geophys. Res. Atmos. 1983, 88, 1563–1571. [Google Scholar] [CrossRef]
- Smith, W.H.F.; Sandwell, D.T. Bathymetric prediction from dense satellite altimetry and sparse shipboard bathymetry. J. Geophys. Res. Solid Earth 1994, 99, 21803–21824. [Google Scholar] [CrossRef]
- Smith, W.H.F.; Sandwell, D.T. Global Sea Floor Topography from Satellite Altimetry and Ship Depth Soundings. Science 1997, 277, 1956–1962. [Google Scholar] [CrossRef]
- Amante, C.; Eakins, B.W. ETOPO1 1 Arc-Minute Global Relief Model: Procedures, Data Sources and Analysis. Psychologist 2009, 16, 20–25. [Google Scholar]
- Becker, J.J.; Sandwell, D.T.; Smith, W.H.F.; Braud, J.; Binder, B.; Depner, J.; Fabre, D.; Factor, J.; Ingalls, S.; Kim, S.-H.; et al. Global Bathymetry and Elevation Data at 30 Arc Seconds Resolution: SRTM30_PLUS. Mar. Geod. 2009, 32, 355–371. [Google Scholar] [CrossRef]
- Li, Q.; Bao, L. Predicting Submarine Topography of the South China Sea from Altimetry Gravity Field with High Precision. Hydrogr. Surv. Charting 2016, 36, 1–5. (In Chinese) [Google Scholar]
- Mayer, L.; Jakobsson, M.; Allen, G.; Dorschel, B.; Falconer, R.; Ferrini, V. The Nippon Foundation—GEBCO Seabed 2030 Project: The Quest to See the World’s Oceans Completely Mapped by 2030. Geosciences 2018, 8, 63. [Google Scholar] [CrossRef]
- Tozer, B.; Sandwell, D.T.; Smith, W.H.F.; Olson, C.; Beale, J.R.; Wessel, P. Global Bathymetry and Topography at 15 Arc Sec: SRTM15+. Earth Space Sci. 2019, 6, 1847–1864. [Google Scholar] [CrossRef]
- Hu, M.; Jin, T.; Jiang, W.; Chu, Y.; Li, J. Bathymetry Model in the Northwestern Pacific Ocean Predicted from Satellite Altimetric Vertical Gravity Gradient Anomalies and Ship-Board Depths. Mar. Geod. 2021, 45, 24–46. [Google Scholar] [CrossRef]
- Hsiao, Y.-S.; Kim, J.W.; Kim, K.B.; Lee, B.Y.; Hwang, C. Bathymetry Estimation Using the Gravity-Geologic Method: An Investigation of Density Contrast Predicted by the Downward Continuation Method. Terr. Atmos. Ocean Sci. 2011, 22, 347. [Google Scholar] [CrossRef]
- Hsiao, Y.-S.; Hwang, C.; Cheng, Y.-S.; Chen, L.-C.; Hsu, H.-J.; Tsai, J.-H. High-resolution depth and coastline over major atolls of South China Sea from satellite altimetry and imagery. Remote Sens. Environ. 2016, 176, 69–83. [Google Scholar] [CrossRef]
- Kim, K.B.; Hsiao, Y.-S.; Kim, J.W.; Lee, B.Y.; Kwon, Y.K.; Kim, C.H. Bathymetry enhancement by altimetry-derived gravity anomalies in the East Sea (Sea of Japan). Mar. Geophys. Res. 2010, 31, 285–298. [Google Scholar] [CrossRef]
- Ouyang, M.; Sun, Z.; Zhai, Z. Predicting bathymetry in South China Sea using the gravity-geologic method. Chin. J. Geophys. 2014, 57, 2756–2765. (In Chinese) [Google Scholar]
- Wang, Y.M. Predicting Bathymetry from the Earth’s Gravity Gradient Anomalies. Mar. Geod. 2000, 23, 251–258. [Google Scholar] [CrossRef]
- Fan, D.; Li, S.; Li, X.; Yang, J.; Wan, X. Seafloor Topography Estimation from Gravity Anomaly and Vertical Gravity Gradient Using Nonlinear Iterative Least Square Method. Remote Sens. 2020, 13, 64. [Google Scholar] [CrossRef]
- Hu, M.; Li, J.; Li, H.; Shen, C.; Jin, T.; Xing, L. Predicting Global Seafloor Topography Using Multi-Source Data. Mar. Geod. 2014, 38, 176–189. [Google Scholar] [CrossRef]
- Hu, M.; Li, L.; Jin, T.; Jiang, W.; Wen, H.; Li, J. A New 1′ × 1′ Global Seafloor Topography Model Predicted from Satellite Altimetric Vertical Gravity Gradient Anomaly and Ship Soundings BAT_VGG2021. Remote Sens. 2021, 13, 3515. [Google Scholar] [CrossRef]
- Wan, X.; Liu, B.; Sui, X.; Annan, R.F.; Hao, R.; Min, Y. Bathymetry inversion using the deflection of the vertical: A case study in South China Sea. Geod. Geodyn. 2022, 13, 492–502. [Google Scholar] [CrossRef]
- Annan, R.F.; Wan, X. Recovering Bathymetry of the Gulf of Guinea Using Altimetry-Derived Gravity Field Products Combined via Convolutional Neural Network. Surv. Geophys. 2022, 43, 1541–1561. [Google Scholar] [CrossRef]
- Perol, T.; Gharbi, M.; Denolle, M. Convolutional Neural Network for Earthquake Detection and Location. Sci. Adv. 2018, 4, e1700578. [Google Scholar] [CrossRef] [PubMed]
- Wu, K.; Li, X.-M.; Huang, B. Retrieval of Ocean wave heights from spaceborne SAR in the Arctic Ocean with a neural network. J. Geophys. Res. Ocean 2021, 126, e2020JC016946. [Google Scholar] [CrossRef]
- Sun, H.; Feng, Y.; Fu, Y.; Sun, W.; Peng, C.; Zhou, X. Bathymetric Prediction Using Multisource Gravity Data Derived from a Parallel Linked BP Neural Network. J. Geophys. Res. Solid Earth 2022, 127, e2022JB024428. [Google Scholar] [CrossRef]
- Sandwell, D.T.; Muller, R.D.; Smith, W.H.; Garcia, E.; Francis, R. Marine geophysics. New global marine gravity model from CryoSat-2 and Jason-1 reveals buried tectonic structure. Science 2014, 346, 65–67. [Google Scholar] [CrossRef]
- Sandwell, D.; Harper, H.; Tozer, B.; Smith, W. Gravity Field Recovery from Geodetic Altimeter Missions. Adv. Space Res. 2019, 68, 1059–1072. [Google Scholar] [CrossRef]
- NOAA National Centers for Environmental Information. 2022: ETOPO 2022 15 Arc-Second Global Relief Model; NOAA National Centers for Environmental Information: Asheville, NC, USA, 2022. [Google Scholar] [CrossRef]
- Hwang, C. A Bathymetric Model for the South China Sea from Satellite Altimetry and Depth Data. Mar. Geod. 1999, 22, 37–51. [Google Scholar] [CrossRef]









| Max (m) | Min (m) | Mean (m) | STD (m) | Correlation Coeff. (%) | |
|---|---|---|---|---|---|
| FC-DNN model | 860.02 | −983.36 | 0.48 | 49.20 | 99.87 |
| GEBCO2023 | 1853.50 | −2316.18 | 8.36 | 90.59 | 99.54 |
| topo_25.1 | 712.84 | −605.16 | 2.33 | 83.10 | 99.61 |
| ETOPO2022 | 1171.14 | −1727.00 | −4.63 | 89.80 | 99.55 |
| Max (m) | Min (m) | Mean (m) | STD (m) | Correlation Coeff. (%) | |
|---|---|---|---|---|---|
| FC-DNN model VS GEBCO2023 | 1878.87 | −3561.00 | −33.18 | 184.33 | 99.01 |
| FC-DNN model VS topo_25.1 | 1826.79 | −2124.25 | −8.62 | 162.09 | 99.23 |
| FC-DNN model VS ETOPO2022 | 1801.71 | −2470.54 | −15.56 | 167.93 | 99.17 |
Disclaimer/Publisher’s Note: The statements, opinions and data contained in all publications are solely those of the individual author(s) and contributor(s) and not of MDPI and/or the editor(s). MDPI and/or the editor(s) disclaim responsibility for any injury to people or property resulting from any ideas, methods, instructions or products referred to in the content. |
© 2023 by the authors. Licensee MDPI, Basel, Switzerland. This article is an open access article distributed under the terms and conditions of the Creative Commons Attribution (CC BY) license (https://creativecommons.org/licenses/by/4.0/).
Share and Cite
Li, Q.; Zhai, Z.; Li, Q.; Wu, L.; Bao, L.; Sun, H. Improved Bathymetry in the South China Sea from Multisource Gravity Field Elements Using Fully Connected Neural Network. J. Mar. Sci. Eng. 2023, 11, 1345. https://doi.org/10.3390/jmse11071345
Li Q, Zhai Z, Li Q, Wu L, Bao L, Sun H. Improved Bathymetry in the South China Sea from Multisource Gravity Field Elements Using Fully Connected Neural Network. Journal of Marine Science and Engineering. 2023; 11(7):1345. https://doi.org/10.3390/jmse11071345
Chicago/Turabian StyleLi, Qianqian, Zhenhe Zhai, Qi Li, Lin Wu, Lifeng Bao, and Heping Sun. 2023. "Improved Bathymetry in the South China Sea from Multisource Gravity Field Elements Using Fully Connected Neural Network" Journal of Marine Science and Engineering 11, no. 7: 1345. https://doi.org/10.3390/jmse11071345
APA StyleLi, Q., Zhai, Z., Li, Q., Wu, L., Bao, L., & Sun, H. (2023). Improved Bathymetry in the South China Sea from Multisource Gravity Field Elements Using Fully Connected Neural Network. Journal of Marine Science and Engineering, 11(7), 1345. https://doi.org/10.3390/jmse11071345

