Long-Term Variations of Biogenic Elements and Nutritional Status in Daya Bay, Northern South China Sea
Abstract
1. Introduction
2. Materials and Methods
2.1. Study Areas
2.2. Data Sources and Collection Criteria
2.3. Sample Analysis and Research Methods
3. Results
3.1. Long-Term Variation in Nutrient Concentrations in Daya Bay
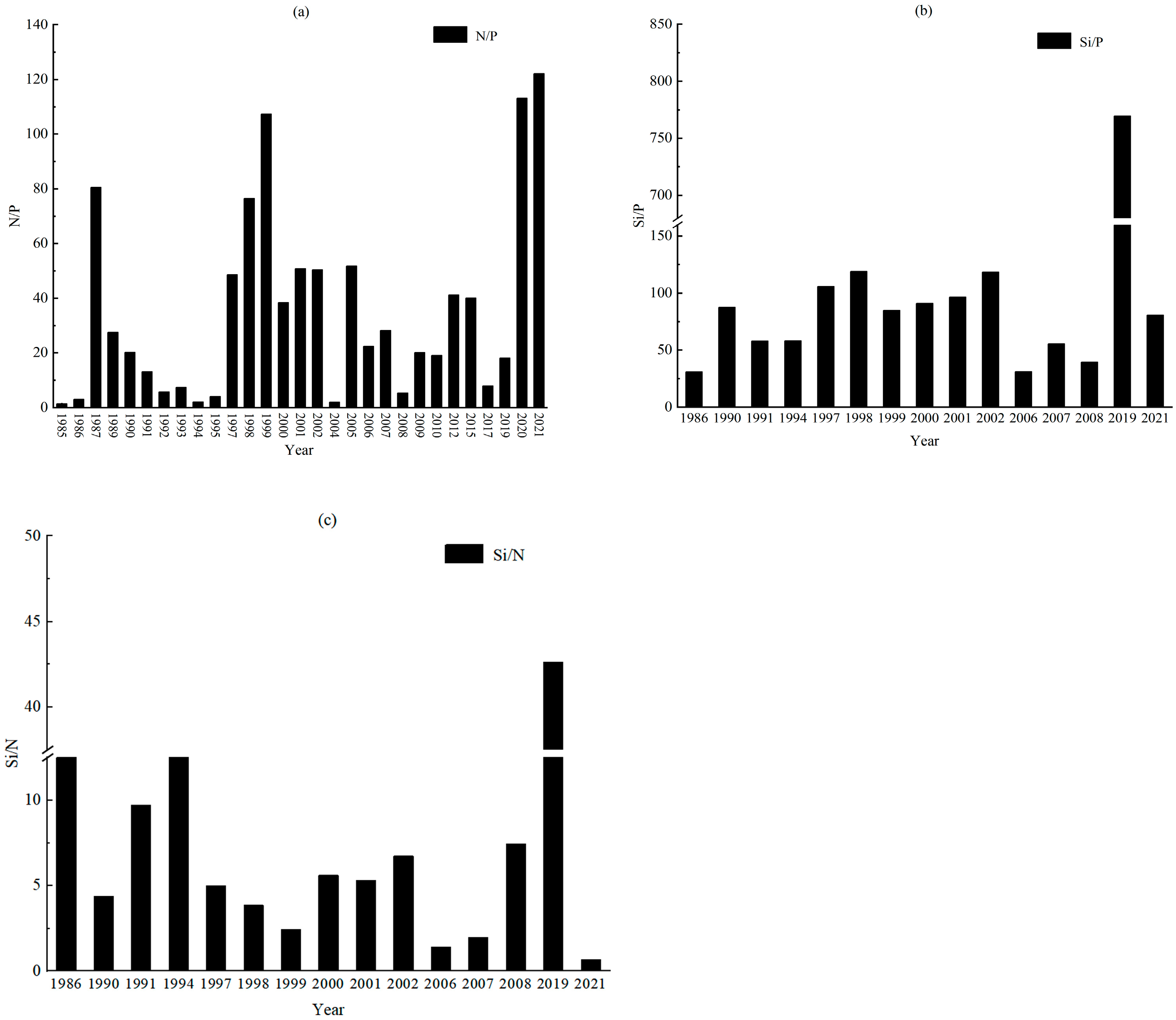
3.2. Long-Term Variations in the Trophic Structure of Daya Bay
3.3. Long-Term Variations in the Trophic Levels and Eutrophication Degree in Daya Bay
4. Discussion
4.1. Analysis of Long-Term Nutrient Levels in Daya Bay
4.2. Long-Term Nutrient Limitation of Long-Term Water Bodies in Daya Bay
4.3. Analysis of Eutrophication in Daya Bay over the Past 40 Years
5. Conclusions
Author Contributions
Funding
Institutional Review Board Statement
Informed Consent Statement
Data Availability Statement
Acknowledgments
Conflicts of Interest
References
- Gong, G.-C.; Hung, C.-C.; Chang, J. Reply to comment by Jinchun Yuan et al. on “Reduction of primary production and changing of nutrient ratio in the East China Sea: Effect of the Three Gorges Dam?”. Geophys. Res. Lett. 2007, 34, L14610. [Google Scholar] [CrossRef]
- Yang, B.; Cao, L.; Liu, S.M.; Zhang, G.S. Biogeochemistry of bulk organic matter and biogenic elements in surface sediments of the Yangtze River Estuary and the adjacent sea. Mar. Pollut. Bull. 2015, 96, 471–484. [Google Scholar] [CrossRef]
- Slomp, C.P. Phosphorus Cycling in the Estuarine and Coastal Zones. In Biogeochemistry. Treatise on Estuarine and Coastal Science; Elsevier: Amsterdam, The Netherlands, 2011; Volume 5, pp. 201–229. [Google Scholar] [CrossRef]
- Wu, Y.; Zhang, J.; Liu, S.; Jiang, Z.; Arbi, I.; Huang, X.; Macreadie, P.I. Nitrogen deposition in precipitation to a monsoon-affected eutrophic embayment: Fluxes, sources, and processes. Atmos. Environ. 2018, 182, 75–86. [Google Scholar] [CrossRef]
- Ye, Y.; Chen, K.; Huo, Y. Long-Term Change of Environment and Its Influence on Phytoplankton Community Structure in Daya Bay. J. Coast. Res. 2019, 97, 191. [Google Scholar] [CrossRef]
- Balkis, H.; Zenetos, A.; Kurun, A. Ecological quality status of coastal benthic ecosystems in the Sea of Marmara. Mar. Pollut. Bull. 2006, 52, 790–799. [Google Scholar] [CrossRef]
- Dai, J.; Song, J.; Li, X.; Yuan, H.; Li, N.; Zheng, G. Environmental changes reflected by sedimentary geochemistry in recent hundred years of Jiaozhou Bay, North China. Environ. Pollut. 2007, 145, 656–667. [Google Scholar] [CrossRef] [PubMed]
- Yu, J. Remote Sensing Assessment of Marine Primary Productivity and Fishery Resources in the Daya Bay, China. Pak. J. Zool. 2021, 53, 1201–1601. [Google Scholar] [CrossRef]
- Kong, N.; Liu, Z.; Yu, Z.; Fu, Q.; Li, H.; Zhang, Y.; Fang, X.; Zhang, F.; Liu, C.; Wang, L.; et al. Dynamics of phytoplankton community in scallop farming waters of the Bohai Sea and North Yellow Sea in China. BMC Ecol. Evol. 2022, 22, 48. [Google Scholar] [CrossRef] [PubMed]
- Daines, S.J.; Clark, J.R.; Lenton, T.M.; Grover, J. Multiple environmental controls on phytoplankton growth strategies determine adaptive responses of the N:P ratio. Ecol. Lett. 2014, 17, 414–425. [Google Scholar] [CrossRef]
- Maximilian, B.; Campbell, D.A. Restoration, conservation and phytoplankton hysteresis. Conserv. Physiol. 2021, 9, coab062. [Google Scholar] [CrossRef]
- Wang, Y.; Liu, Y.; Guo, H.; Zhang, H.; Li, D.; Yao, Z.; Wang, X.; Jia, C. Long-term nutrient variation trends and their potential impact on phytoplankton in the southern Yellow Sea, China. Acta Oceanol. Sin. 2022, 41, 54–67. [Google Scholar] [CrossRef]
- Redfield, A.C.; Ketchum, B.H.; Richards, F.A. The Influence of Organisms on the Composition of Seawater. Sea 1963, 2, 26–77. [Google Scholar]
- Ning, X.; Lin, C.; Hao, Q.; Liu, C.; Le, F.; Shi, J. Long-term changes in the ecosystem in the northern South China Sea during 1976–2004. Biogeosciences 2009, 6, 2227–2243. [Google Scholar] [CrossRef]
- Li, D.; Liu, J.; Zhang, R.; Chen, M.; Yang, W.; Li, J.; Fang, Z.; Wang, B.; Qiu, Y.; Zheng, M. N2 fixation impacted by carbon fixation via dissolved organic carbon in the changing Daya Bay, South China Sea. Sci. Total Environ. 2019, 674, 592–602. [Google Scholar] [CrossRef]
- Gu, Y.G.; Huang, H.H.; Lin, Q. Concentrations and human health implications of heavy metals in wild aquatic organisms captured from the core area of Daya Bay's Fishery Resource Reserve, South China Sea. Environ. Toxicol. Pharmacol. 2016, 45, 90–94. [Google Scholar] [CrossRef]
- Wu, M.L.; Wang, Y.S.; Dong, J.D.; Sun, C.C.; Wang, Y.T.; Sun, F.L.; Cheng, H. Investigation of Spatial and Temporal Trends in Water Quality in Daya Bay, South China Sea. Int. J. Environ. Res. Public Health 2011, 8, 2352–2365. [Google Scholar] [CrossRef] [PubMed]
- Chen, Z.; Xu, S.; Qiu, Y. Using a food-web model to assess the trophic structure and energy flows in Daya Bay, China. Cont. Shelf Res. 2015, 111, 316–326. [Google Scholar] [CrossRef]
- Qu, B.; Song, J.; Yuan, H.; Li, X.; Li, N.; Duan, L. Intensive anthropogenic activities had affected Daya Bay in the South China Sea since the 1980s: Evidence from heavy metal contaminations. Mar. Pollut. Bull. 2018, 135, 318–331. [Google Scholar] [CrossRef]
- Cheng, X.; Zeng, Y.; Guo, Z.; Zhu, L. Diffusion of Nitrogen and Phosphorus Across the Sediment-Water Interface and In Seawater at Aquaculture Areas of Daya Bay, China. Int. J. Environ. Res. Public Health 2014, 11, 1557–1572. [Google Scholar] [CrossRef]
- Yang, J.; Cao, L.; Wang, J.; Liu, C.; Huang, C.; Cai, W.; Fang, H.; Peng, X. Speciation of Metals and Assessment of Contamination in Surface Sediments from Daya Bay, South China Sea. Sustainability 2014, 6, 9096–9113. [Google Scholar] [CrossRef]
- Wu, H.; Huo, Y.; Hu, M.; Wei, Z.; He, P.-m. Eutrophication assessment and bioremediation strategy using seaweeds co-cultured with aquatic animals in an enclosed bay in China. Mar. Pollut. Bull. 2015, 95, 342–349. [Google Scholar] [CrossRef]
- Zhang, Y.M. Temporal and spatial changes of nutrient content and eutrophication condition in waters of the abandoned yellow river delta. Appl. Ecol. Environ. Res. 2019, 17, 14069–14085. [Google Scholar] [CrossRef]
- Wang, Y.S.; Lou, Z.P.; Sun, C.C.; Sun, S. Ecological Environment Changes in Daya Bay, China, from 1982 to 2004. Mar. Pollut. Bull. 2008, 56, 1871–1879. [Google Scholar] [CrossRef] [PubMed]
- Liu, Y.; Kuang, W.; Xu, J.; Chen, J.; Sun, X.; Lin, C.; Lin, H. Distribution, source and risk assessment of heavy metals in the seawater, sediments, and organisms of the Daya Bay, China. Mar. Pollut. Bull. 2022, 174, 113297. [Google Scholar] [CrossRef] [PubMed]
- Li, D.; Chen, J.; Qiu, M. Research on Population Development Trend in Huizhou of China Forecast Based on Optimal Weighted Combination Method and Fractional Grey Model. J. Math. 2021, 2021, 3320910. [Google Scholar] [CrossRef]
- Rao, Y.; Cai, L.; Chen, X.-W.; Zhou, X.; Fu, S.; Huang, H. Responses of Functional Traits of Macrobenthic Communities to Human Activities in Daya Bay (A Subtropical Semi-Enclosed Bay), China. Front. Environ. Sci. 2021, 9, 766580. [Google Scholar] [CrossRef]
- Sundarambal, P.; Balasubramanian, R.; Tkalich, P.; He, J. Impact of biomass burning on ocean water quality in Southeast Asia through atmospheric deposition: Eutrophication modeling. Atmos. Chem. Phys. 2010, 10, 11337–11357. [Google Scholar] [CrossRef]
- Liu, L.; Zhang, X.; Wang, S.; Lu, X.; Ouyang, X.; Hong, Y. A Review of Spatial Variation of Inorganic Nitrogen (N) Wet Deposition in China. PLoS ONE 2016, 11, e0146051. [Google Scholar] [CrossRef]
- Wang, Y.S. Environment changes and trends in daya bay in recent 20 years. J. Trop. Oceanogr. 2004, 23, 85–95. [Google Scholar]
- Wang, F.; Yang, S. Regional characteristics of long-term changes in total and extreme precipitations over China and their links to atmospheric-oceanic features. Int. J. Climatol. 2016, 37, 751–769. [Google Scholar] [CrossRef]
- Wei, Z.; Li, X.; Liu, Y.; Wang, H. Comparative Analysis of the Characteristics of Annual and Seasonal Extreme Precipitation in South China during 1961–2018. Plateau Meteorol. 2021, 40, 1513–1530. [Google Scholar]
- Reinfelder, J.; Kraepiel, A.; Morel, F. Unicellular C4 photosynthesis in a marine diatom. Nature 2000, 407, 996–999. [Google Scholar] [CrossRef] [PubMed]
- Zhang, X.; Huang, X.; Huang, L. Phytoplankton community structure shaped by key environmental factors in fish and shellfish farms in Daya Bay, South China. Aquat. Ecosyst. Health Manag. 2013, 16, 300–310. [Google Scholar] [CrossRef]
- Cheng, X.; Guo, Z.; Liu, G.; Bin, L.I. Study on flux of nitrogen and phosphorus across the interface of sediment-water and their diffusion areas in seawater at the aquaculture region of Daya Bay. J. Trop. Oceanogr. 2014, 33, 77–84. [Google Scholar] [CrossRef]
- Price, C.; Black, K.; Hargrave, B.; Morris, J. Marine cage culture and the environment: Effects on water quality and primary production. Aquac. Environ. Interact. 2015, 6, 151–174. [Google Scholar] [CrossRef]
- Baek, S.H.; Shimode, S.; Han, M.-S.; Kikuchi, T. Growth of dinoflagellates, Ceratium furca and Ceratium fusus in Sagami Bay, Japan: The role of nutrients. Harmful Algae 2008, 7, 729–739. [Google Scholar] [CrossRef]
- Longmuir, A.; Shurin, J.; Clasen, J. Independent gradients of producer, consumer, and microbial diversity in Lake Plankton. Ecology 2007, 88, 1663–1674. [Google Scholar] [CrossRef]
- Fujiki, T.; Toda, T.; Kikuchi, T.; Aono, H.; Taguchi, S. Phosphorus limitation of primary productivity during the spring-summer blooms in Sagami Bay, Japan. Mar. Ecol. Prog. Ser. 2004, 283, 29–38. [Google Scholar] [CrossRef]
- Wan, Z.; Jonasson, L.; Bi, H. N/P ratio of nutrient uptake in the Baltic Sea. Ocean Sci. 2011, 7, 693–704. [Google Scholar] [CrossRef]
- Jee, M. China’s ‘Scientific concept of development’ and its Implications. J. Asia-Pac. Stud. 2008, 15, 73–89. [Google Scholar] [CrossRef]
- Meng, S.L.; Qiu, L.P.; Hu, G.D.; Qu, J.H.; Fan, L.M.; Song, C.; Chen, J.C.; Xu, P. Effect of Nitrogen and Phosphorus Ratios on Growth and Competition of Two Blue-green Algae. J. Agro-Environ. Sci. 2012, 31, 1438–1444. [Google Scholar]
- Solovchenko, A.; Gorelova, O.; Karpova, O.; Selyakh, I.; Semenova, L.; Chivkunova, O.; Baulina, O.; Vinogradova, E.; Pugacheva, T.; Scherbakov, P.; et al. Phosphorus Feast and Famine in Cyanobacteria: Is Luxury Uptake of the Nutrient Just a Consequence of Acclimation to Its Shortage? Cells 2020, 9, 1933. [Google Scholar] [CrossRef] [PubMed]
- Xi, Y.; Li, K.; Tan, Y.; Lv, Y. Long-term changes of phytoplankton community structure with relation to environmental factors in the Daya Bay in summer. Haiyang Xuebao 2022, 44, 110–122. [Google Scholar] [CrossRef]
- Wang, X.F.; Li, C.H.; Jia, X.P.; Zhao, H.Q. Evaluation of the impact of offshore construction on the water quality of Daya Bay. J. Zhanjiang Ocean Univ. (Nat. Sci.) 2006, 26, 80–83. [Google Scholar]
- Jia, X.P.; Lin, Q.; Cai, W.G. Evaluation for the impact of large explosion at Mabianzhou Island on the neighbouring aquatic environment and marine organisms in Daya Bay. J. Fish. China 2002, 26, 313–320. [Google Scholar]
- Zhou, P.; Li, D.M.; Zhao, L.; Li, H.; Ni, Z.; Zhao, F.; Yu, H.; Li, X. A 120-year sedimentary record and its environmental implications, in a dated marine sediment core from Daya Bay in the northeastern South China Sea. Mar. Pollut. Bull. 2019, 145, 248–253. [Google Scholar] [CrossRef]
- Fang, S.-M.; Bao, L.-J.; Zeng, E.Y. Source apportionment of DDTs in mariculture fish: A modeling study in South China. Environ. Sci. Pollut. Res. Int. 2015, 23, 7162–7168. [Google Scholar] [CrossRef]
- Su, J.; Zhang, J.; Ren, J.; Lin, F. Organic Carbon in the Surface Sediments from the Intensive Mariculture Zone of Sanggou Bay: Distribution, Seasonal Variations, and Sources. J. Ocean Univ. China 2019, 18, 985–996. [Google Scholar] [CrossRef]
- Ma, X.; Wang, Z.; Yin, Z.; Koenig, A. Nitrogen Flow Analysis in Huizhou, South China. Environ. Manag. 2008, 41, 378–388. [Google Scholar] [CrossRef]






| Seawater Quality Standards | DO (mg·L−1) | DIN (µg·L−1) | PO43− (µg·L−1) | COD (mg·L−1) |
|---|---|---|---|---|
| First class | >6 | ≤200 | ≤15 | ≤2 |
| Second class | 5–6 | 200–300 | 15–30 | 2–3 |
| Third class | 4–5 | 300–400 | 15–30 | 2–3 |
| Fourth class | 3–4 | 400–500 | 30–45 | 4–5 |
| Factor | DIN | PO43− | SiO32− |
|---|---|---|---|
| Population | 0.393 | −0.024 | 0.118 |
| Gross domestic product | 0.471 | −0.033 | 0.762 |
| Chemical fertilizer usage | 0.219 | −0.014 | 0.001 |
| Mean amount of precipitation | −0.031 | 0.140 | −0.119 |
| Mean sunshine hours | −0.055 | −0.051 | - |
| Domestic sewage discharge | −0.093 | −0.079 | - |
| Industrial wastewater discharge | −0.079 | −0.098 | −0.189 |
| Industrial exhaust emission | 0.578 | −0.076 | - |
| Industrial soot emission | −0.057 | −0.109 | - |
Disclaimer/Publisher’s Note: The statements, opinions and data contained in all publications are solely those of the individual author(s) and contributor(s) and not of MDPI and/or the editor(s). MDPI and/or the editor(s) disclaim responsibility for any injury to people or property resulting from any ideas, methods, instructions or products referred to in the content. |
© 2023 by the authors. Licensee MDPI, Basel, Switzerland. This article is an open access article distributed under the terms and conditions of the Creative Commons Attribution (CC BY) license (https://creativecommons.org/licenses/by/4.0/).
Share and Cite
Guo, Z.; Xiao, Y.; Liu, Y.; Wu, P.; Li, C. Long-Term Variations of Biogenic Elements and Nutritional Status in Daya Bay, Northern South China Sea. J. Mar. Sci. Eng. 2023, 11, 904. https://doi.org/10.3390/jmse11050904
Guo Z, Xiao Y, Liu Y, Wu P, Li C. Long-Term Variations of Biogenic Elements and Nutritional Status in Daya Bay, Northern South China Sea. Journal of Marine Science and Engineering. 2023; 11(5):904. https://doi.org/10.3390/jmse11050904
Chicago/Turabian StyleGuo, Zhicheng, Yayuan Xiao, Yong Liu, Peng Wu, and Chunhou Li. 2023. "Long-Term Variations of Biogenic Elements and Nutritional Status in Daya Bay, Northern South China Sea" Journal of Marine Science and Engineering 11, no. 5: 904. https://doi.org/10.3390/jmse11050904
APA StyleGuo, Z., Xiao, Y., Liu, Y., Wu, P., & Li, C. (2023). Long-Term Variations of Biogenic Elements and Nutritional Status in Daya Bay, Northern South China Sea. Journal of Marine Science and Engineering, 11(5), 904. https://doi.org/10.3390/jmse11050904

