Study on the Low-Frequency and Broadband Sound Absorption Performance of an Underwater Anechoic Layer with Novel Design
Abstract
:1. Introduction
2. Methods
2.1. Geometric Model and Material
2.2. Theoretical α of SSC
2.3. Verification of Finite Element Analysis
3. Acoustic Absorption Mechanism
3.1. The Sound Absorption Appearance of Each UAL
3.2. The Relationship between the Curves and the Nephograms
4. The Influence of Different Parameters on the α
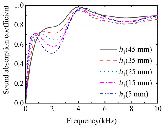
4.1. Influence of the Honeycomb Size on α
4.2. Influence of the Cylinder Size on α
4.3. The Effect of the Joint Action of the Honeycomb and the Cylinder on the α
4.4. Comparison with Typical UALs
5. Conclusions
Author Contributions
Funding
Institutional Review Board Statement
Informed Consent Statement
Data Availability Statement
Conflicts of Interest
References
- Ke, Y.; Zhang, L.; Zhao, X.; Tao, M. An equivalent method for predicting acoustic scattering of coated shell using identified viscoelastic parameters of anechoic coating. Appl. Acoust. 2021, 179, 108071. [Google Scholar] [CrossRef]
- Zhang, Z.; Huang, Y.; Huang, Q. Low-frequency broadband absorption of underwater composite anechoic coating with periodic subwavelength arrays of shunted piezoelectric patches. Compos. Struct. 2019, 216, 449–463. [Google Scholar] [CrossRef]
- Meng, H.; Wen, J.; Zhao, H.; Wen, X. Optimization of locally resonant acoustic metamaterials on underwater sound absorption characteristics. J. Sound Vib. 2012, 331, 4406–4416. [Google Scholar] [CrossRef]
- Zhang, Z.; Li, Z.; Li, T.; Huang, Q. A novel semi-analytical approach for predicting the sound absorptions of a new underwater composite coating with transversely arranged SWCNTs. Compos. Struct. 2021, 274, 114335. [Google Scholar] [CrossRef]
- Ross, C.T.F. A conceptual design of an underwater vehicle. Ocean Eng. 2006, 33, 2087–2104. [Google Scholar] [CrossRef]
- Zhang, Y.; Cheng, L. Ultra-thin and broadband low-frequency underwater acoustic meta-absorber. Int. J. Mech. Sci. 2021, 210, 106732. [Google Scholar] [CrossRef]
- Sharma, G.S.; Skvortsov, A.; MacGillivray, I.; Kessissoglou, N. Sound absorption by rubber coatings with periodic voids and hard inclusions. Appl. Acoust. 2019, 143, 200–210. [Google Scholar] [CrossRef]
- Yu, T.; Jiang, F.; Wang, J.; Wang, Z.; Chang, Y.; Guo, C. Acoustic insulation and absorption mechanism of metallic hollow spheres composites with different polymer matrix. Compos. Struct. 2020, 248, 112566. [Google Scholar] [CrossRef]
- Ye, C.; Liu, X.; Xin, F.; Lu, T.J. Underwater Acoustic Absorption of Composite Anechoic Layers With Inner Holes. J. Vib. Acoust. 2019, 141, 041006. [Google Scholar] [CrossRef]
- Yang, H.; Xiao, Y.; Zhao, H.; Zhong, J.; Wen, J. On wave propagation and attenuation properties of underwater acoustic screens consisting of periodically perforated rubber layers with metal plates. J. Sound Vib. 2019, 444, 21–34. [Google Scholar] [CrossRef]
- Fu, X.; Jin, Z.; Yin, Y.; Liu, B. Sound absorption of a rib-stiffened plate covered by anechoic coatings. J. Acoust. Soc. Am. 2015, 137, 1551–1556. [Google Scholar] [CrossRef] [PubMed]
- Calvo, D.C.; Thangawng, A.L.; Layman, C.N., Jr.; Casalini, R.; Othman, S.F. Underwater sound transmission through arrays of disk cavities in a soft elastic medium. J. Acoust. Soc. Am. 2015, 138, 2537–2547. [Google Scholar] [CrossRef] [PubMed]
- Wen, J.; Zhao, H.; Lv, L.; Yuan, B.; Wang, G.; Wen, X. Effects of locally resonant modes on underwater sound absorption in viscoelastic materials. J. Acoust. Soc. Am. 2011, 130, 1201–1208. [Google Scholar] [CrossRef] [PubMed]
- Jayakumari, V.G.; Shamsudeen, R.K.; Ramesh, R.; Mukundan, T. Modeling and validation of polyurethane based passive underwater acoustic absorber. J. Acoust. Soc. Am. 2011, 130, 724–730. [Google Scholar] [CrossRef]
- Shaid Sujon, M.A.; Islam, A.; Nadimpalli, V.K. Damping and sound absorption properties of polymer matrix composites: A review. Polym. Test. 2021, 104, 107388. [Google Scholar] [CrossRef]
- Zhang, X.; Qu, Z.; Wang, H. Engineering Acoustic Metamaterials for Sound Absorption: From Uniform to Gradient Structures. iScience 2020, 23, 101110. [Google Scholar] [CrossRef]
- Sharma, G.S.; Skvortsov, A.; MacGillivray, I.; Kessissoglou, N. Acoustic performance of periodic steel cylinders embedded in a viscoelastic medium. J. Sound Vib. 2019, 443, 652–665. [Google Scholar] [CrossRef]
- Lee, T.; Iizuka, H. Heavily overdamped resonance structurally engineered in a grating metasurface for ultra-broadband acoustic absorption. Appl. Phys. Lett. 2018, 113, 101903. [Google Scholar] [CrossRef]
- Wang, T.; Wang, G.-B.; Zhang, R.-J.; Ke, M.-Z. Low-frequency underwater sound absorption metamaterial. Phys. Scr. 2022, 97, 125706. [Google Scholar] [CrossRef]
- Arjunan, A.; Baroutaji, A.; Robinson, J. Advances in Acoustic Metamaterials. In Encyclopedia of Smart Materials; Elsevier: Amsterdam, The Netherlands, 2022; pp. 1–10. [Google Scholar]
- Ivansson, S.M. Markov-chain Monte Carlo identification of favorable design choices with application to anechoic coatings. J. Acoust. Soc. Am. 2014, 135, 3338–3351. [Google Scholar] [CrossRef]
- Ye, C.; Liu, X.; Xin, F.; Lu, T.J. Influence of hole shape on sound absorption of underwater anechoic layers. J. Sound Vib. 2018, 426, 54–74. [Google Scholar] [CrossRef]
- Lane, R. Absorption mechanisms for waterborne sound in Alberich anechoic layers. Ultrasonics. 1981, 19, 28–30. [Google Scholar] [CrossRef]
- Zhao, D.; Zhao, H.; Yang, H.; Wen, J. Optimization and mechanism of acoustic absorption of Alberich coatings on a steel plate in water. Appl. Acoust. 2018, 140, 183–187. [Google Scholar] [CrossRef]
- Gao, N.; Lu, K. An underwater metamaterial for broadband acoustic absorption at low frequency. Appl. Acoust. 2020, 169, 107500. [Google Scholar] [CrossRef]
- Jin, G.; Shi, K.; Ye, T.; Zhou, J.; Yin, Y. Sound absorption behaviors of metamaterials with periodic multi-resonator and voids in water. Appl. Acoust. 2020, 166, 107351. [Google Scholar] [CrossRef]
- Wang, Z.; Huang, Y.; Zhang, X.; Li, L.; Chen, M.; Fang, D. Broadband underwater sound absorbing structure with gradient cavity shaped polyurethane composite array supported by carbon fiber honeycomb. J. Sound Vib. 2020, 479, 115375. [Google Scholar] [CrossRef]
- Zhong, J.; Zhao, H.; Yang, H.; Yin, J.; Wen, J. Effect of Poisson’s loss factor of rubbery material on underwater sound absorption of anechoic coatings. J. Sound Vib. 2018, 424, 293–301. [Google Scholar] [CrossRef]
- Shi, K.; Jin, G.; Liu, R.; Ye, T.; Xue, Y. Underwater sound absorption performance of acoustic metamaterials with multilayered locally resonant scatterers. Results Phys. 2019, 12, 132–142. [Google Scholar] [CrossRef]
- Shi, K.; Jin, G.; Ye, T.; Zhang, Y.; Chen, M.; Xue, Y. Underwater sound absorption characteristics of metamaterials with steel plate backing. Appl. Acoust. 2019, 153, 147–156. [Google Scholar] [CrossRef]
- Zhong, J.; Zhao, H.; Yang, H.; Yin, J.; Wen, J. On the accuracy and optimization application of an axisymmetric simplified model for underwater sound absorption of anechoic coatings. Appl. Acoust. 2019, 145, 104–111. [Google Scholar] [CrossRef]
- Meng, T. Simplified model for predicting acoustic performance of an underwater sound absorption coating. J. Vib. Control. 2021, 20, 339–354. [Google Scholar] [CrossRef]
- Yu, C.; Duan, M.; He, W.; Xin, F.; Lu, T.J. Underwater anechoic layer with parallel metallic plate insertions: Theoretical modelling. J. Micromech. Microeng. 2021, 31, 074002. [Google Scholar] [CrossRef]
- Wang, T.; Liu, J.; Chen, M. Underwater sound absorption of a meta-absorption layer with double negativity. Appl. Acoust. 2021, 181, 108182. [Google Scholar] [CrossRef]















| t | ||||||||
|---|---|---|---|---|---|---|---|---|
| 49 | 1 | 10 | 15 | 2 | 0.5 | 45 | 5 | 10 |
| Solid Medium | Density (kg/m3) | Elastic Modulus (GPa) | Poisson’s Ratio | Loss Factor |
|---|---|---|---|---|
| Epoxy | 1100 | 0.027 | 0.49 | 0.6 |
| Steel | 7980 | 210 | 0.28 | / |
Disclaimer/Publisher’s Note: The statements, opinions and data contained in all publications are solely those of the individual author(s) and contributor(s) and not of MDPI and/or the editor(s). MDPI and/or the editor(s) disclaim responsibility for any injury to people or property resulting from any ideas, methods, instructions or products referred to in the content. |
© 2023 by the authors. Licensee MDPI, Basel, Switzerland. This article is an open access article distributed under the terms and conditions of the Creative Commons Attribution (CC BY) license (https://creativecommons.org/licenses/by/4.0/).
Share and Cite
Hu, J.; Lin, Y.; Zhou, Z.; Cao, X.; Chi, Q.; Wu, W. Study on the Low-Frequency and Broadband Sound Absorption Performance of an Underwater Anechoic Layer with Novel Design. J. Mar. Sci. Eng. 2023, 11, 409. https://doi.org/10.3390/jmse11020409
Hu J, Lin Y, Zhou Z, Cao X, Chi Q, Wu W. Study on the Low-Frequency and Broadband Sound Absorption Performance of an Underwater Anechoic Layer with Novel Design. Journal of Marine Science and Engineering. 2023; 11(2):409. https://doi.org/10.3390/jmse11020409
Chicago/Turabian StyleHu, Jinshun, Yongshui Lin, Zhiwei Zhou, Xiaofei Cao, Qingjia Chi, and Weiguo Wu. 2023. "Study on the Low-Frequency and Broadband Sound Absorption Performance of an Underwater Anechoic Layer with Novel Design" Journal of Marine Science and Engineering 11, no. 2: 409. https://doi.org/10.3390/jmse11020409
APA StyleHu, J., Lin, Y., Zhou, Z., Cao, X., Chi, Q., & Wu, W. (2023). Study on the Low-Frequency and Broadband Sound Absorption Performance of an Underwater Anechoic Layer with Novel Design. Journal of Marine Science and Engineering, 11(2), 409. https://doi.org/10.3390/jmse11020409

