Long-Distance Sea Wave Sparse Matching Algorithm for Sea Level Monitoring System
Abstract
1. Introduction
2. System Description
3. Method
3.1. Image Acquisition
3.2. Camera Calibration
3.3. Stereo Matching Algorithm
- Dissimilarity: the continuous nonrigid motion of sea water and long baseline length make the feature points in the right and left camera views not exactly alike.
- Indistinguishability: repetitive similar sea waves make it difficult to establish distinguishable descriptors.
- Computation load: to realize real-time monitoring of the sea level height, the computation load of the stereo matching must be decreased.
3.3.1. Appearance Features
3.3.2. Selection Criteria of Deterministic Features
- Entropy: a deterministic feature should significantly reduce the entropy of the training data set after matching by its split property;
- Stability: a deterministic feature should be stable in both correct and incorrect matching sets;
- Distinguishability: a deterministic feature must differ significantly in the correct and incorrect match sets.
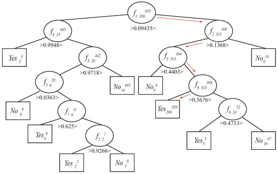
3.3.3. Searching Deterministic Features
3.4. Sea Level Height Measurement
4. Experiments and Results
4.1. Matching Results on Different Sea Surface Images
4.2. Computational Complexity
4.3. Sea Level Measurement Results
5. Discussion
6. Conclusions
Author Contributions
Funding
Institutional Review Board Statement
Informed Consent Statement
Data Availability Statement
Acknowledgments
Conflicts of Interest
References
- World Bank Group. Kenya—Coastal Development Project; Implementation Completion and Results Report; World Bank Group: Washington, DC, USA, 2018; Volume 1. [Google Scholar]
- The Concessionaire Representative of the Larnaca Port and Marina Development. Redevelopment of Larnaca Port & Marina—A Mammoth Project. Available online: https://www.financialmirror.com/2020/12/03/redevelopment-of-larnaca-port-marina-a-mammoth-project/ (accessed on 7 January 2023).
- AdriAdapt. Coastal Plan for the Šibenik-Knin County, a Path towards Resilience and Sustainability. Available online: https://adriadapt.eu/case-studies/coastal-plan-for-the-sibenik-knin-county-a-path-towards-resilience-and-sustainability/ (accessed on 7 January 2023).
- Nicholls, R.J.; Cazenave, A. Sea-level rise and its impact on coastal zones. Science 2010, 328, 1517–1520. [Google Scholar] [CrossRef]
- Pompe, J.J.; Rinehart, J.R. Mitigating damage costs from hurricane strikes along the southeastern U.S. Coast: A role for insurance markets. Ocean. Coast. Manag. 2008, 51, 782–788. [Google Scholar] [CrossRef]
- Villamayor, B.M.R.; Rollon, R.N.; Samson, M.S.; Albano, G.M.G.; Primavera, J.H. Impact of Haiyan on Philippine mangroves: Implications to the fate of the widespread monospecific Rhizophora plantations against strong typhoons. Ocean. Coast. Manag. 2016, 132, 1–14. [Google Scholar] [CrossRef]
- Griffin, C.; Ellis, D.; Beavis, S.; Zoleta-Nantes, D. Coastal resources, livelihoods and the 2004 Indian Ocean tsunami in Aceh, Indonesia. Ocean. Coast. Manag. 2013, 71, 176–186. [Google Scholar] [CrossRef]
- Pugh, D.; Woodworth, P. Sea-Level Science: Understanding Tides, Surges, Tsunamis and Mean Sea-Level Changes; Cambridge University Press: Cambridge, MA, USA, 2014. [Google Scholar]
- Pattullo, J.; Munk Walter, R.R.; Elizabeth, S. The seasonal oscillation in sea level. J. Mar. Res. 1955, 14, 88–155. [Google Scholar]
- Wilson, W.S.; Abdalati, W.; Alsdorf, D.; Benveniste, J.; Bonekamp, H.; Cogley, J.G.; Drinkwater, M.R.; Fu, L.L.; Gross, R.; Haines, B.J.; et al. Observing Systems Needed to Address Sea-Level Rise and Variability. 2010. Available online: https://doi.org/10.1002/9781444323276.ch12 (accessed on 19 January 2023).
- Intergovernmental Oceanographic Commission. Manual on Sea Level Measurement and Interpretation. Volume I-Basic Procedures; UNESCO: Paris, France, 1985. [Google Scholar]
- Miguez, B.M.; Testut, L.; Wöppelmann, G. The Van de Casteele test revisited: An efficient approach to tide gauge error characterization. J. Atmos. Ocean. Technol. 2008, 25, 1238–1244. [Google Scholar] [CrossRef]
- Bunt, T.G. XI. Description of a new tide-gauge, constructed by Mr. TG Bunt, and erected on the eastern bank of the river Avon, in front of the Hotwell House, Bristol, 1837. Philos. Trans. R. Soc. Lond. 1838, 128, 249–251. [Google Scholar]
- Spencer, R.; McGarry, C.; Harrison, A.; Vassie, J.; Baker, T.; Smithson, M.; Haranzogo, S.; Woodworth, P. The ACCLAIM programme in the South Atlantic and Southern oceans. Int. Hydrogr. Rev. 1993, LXX, 7–20. [Google Scholar]
- Intergovernmental Oceanographic Commission. Manual on Sea Level Measurement and Interpretation. Volume IV—An Update to 2006; UNESCO: Paris, France, 2006. [Google Scholar]
- Meinig, C.; Stalin, S.E.; Nakamura, A.I.; González, F.; Milburn, H.B. Technology developments in real-time tsunami measuring, monitoring and forecasting. In Proceedings of the OCEANS 2005 MTS/IEEE, Washington, DC, USA, 17–23 September 2005; pp. 1673–1679. [Google Scholar]
- Agency, J.M. Prediction of Tsunami. Available online: http://www.data.jma.go.jp/svd/eqev/data/tsunami/ryoteki.html/ (accessed on 11 September 2022).
- Jin, D.; Lin, J. Managing tsunamis through early warning systems: A multidisciplinary approach. Ocean. Coast. Manag. 2011, 54, 189–199. [Google Scholar] [CrossRef]
- Valentini, N.; Saponieri, A.; Damiani, L. A new video monitoring system in support of Coastal Zone Management at Apulia Region, Italy. Ocean. Coast. Manag. 2017, 142, 122–135. [Google Scholar] [CrossRef]
- Benetazzo, A. Measurements of short water waves using stereo matched image sequences. Coast. Eng. 2006, 53, 1013–1032. [Google Scholar] [CrossRef]
- Gallego, G.; Yezzi, A.; Fedele, F.; Benetazzo, A. A variational stereo method for the three-dimensional reconstruction of ocean waves. IEEE Trans. Geosci. Remote Sens. 2011, 49, 4445–4457. [Google Scholar] [CrossRef]
- Gallego, G.; Yezzi, A.; Fedele, F.; Benetazzo, A. Variational stereo imaging of oceanic waves with statistical constraints. IEEE Trans. Image Process. 2013, 22, 4211–4223. [Google Scholar] [CrossRef]
- Wanek, J.M.; Wu, C.H. Automated trinocular stereo imaging system for three-dimensional surface wave measurements. Ocean. Eng. 2006, 33, 723–747. [Google Scholar] [CrossRef]
- Brandt, A.; Mann, J.; Rennie, S.; Herzog, A.; Criss, T. Three-dimensional imaging of the high sea-state wave field encompassing ship slamming events. J. Atmos. Ocean. Technol. 2010, 27, 737–752. [Google Scholar] [CrossRef]
- Bergamasco, F.; Torsello, A.; Sclavo, M.; Barbariol, F.; Benetazzo, A. WASS: An open-source pipeline for 3D stereo reconstruction of ocean waves. Comput. Geosci. 2017, 107, 28–36. [Google Scholar] [CrossRef]
- Agency, J.M. Generation of Tsunami. Available online: https://www.data.jma.go.jp/eqev/data/tsunami/generation.html/ (accessed on 7 January 2023).
- Yang, Y.; Lu, C. Long-distance sea wave extraction method based on improved Otsu algorithm. Artif. Life Robot. 2019, 24, 304–311. [Google Scholar] [CrossRef]
- Yi, H.; Tsujino, K.; Lu, C. 3-D image measurement of the sea for disaster prevention. Artif. Life Robot. 2018, 23, 304–310. [Google Scholar] [CrossRef]
- Mikolajczyk, K.; Schmid, C. A performance evaluation of local descriptors. IEEE Trans. Pattern Anal. Mach. Intell. 2005, 27, 1615–1630. [Google Scholar] [CrossRef]
- Tola, E.; Lepetit, V.; Fua, P. Daisy: An efficient dense descriptor applied to wide-baseline stereo. IEEE Trans. Pattern Anal. Mach. Intell. 2009, 32, 815–830. [Google Scholar] [CrossRef]
- Chen, B.; Yang, Y.; Wen, H.; Ruan, H.; Zhou, Z.; Luo, K.; Zhong, F. High-resolution monitoring of beach topography and its change using unmanned aerial vehicle imagery. Ocean. Coast. Manag. 2018, 160, 103–116. [Google Scholar] [CrossRef]
- Gauci, A.; Deidun, A.; Montebello, J.; Abela, J.; Galgani, F. Automating the characterisation of beach microplastics through the application of image analyses. Ocean. Coast. Manag. 2019, 182, 104950. [Google Scholar] [CrossRef]
- Cour, T.; Srinivasan, P.; Shi, J. Balanced graph matching. In Proceedings of the Advances in Neural Information Processing Systems, Vancouver, BC, Canada, 4–7 December 2006; pp. 313–320. [Google Scholar]
- Zass, R.; Shashua, A. Probabilistic graph and hypergraph matching. In Proceedings of the 2008 IEEE Conference on Computer Vision and Pattern Recognition, Anchorage, AK, USA, 23–28 June 2008; pp. 1–8. [Google Scholar]
- Hu, Y.T.; Lin, Y.Y.; Chen, H.Y.; Hsu, K.J.; Chen, B.Y. Matching images with multiple descriptors: An unsupervised approach for locally adaptive descriptor selection. IEEE Trans. Image Process. 2015, 24, 5995–6010. [Google Scholar] [CrossRef] [PubMed]
- Ma, J.; Zhao, J.; Jiang, J.; Zhou, H.; Guo, X. Locality preserving matching. Int. J. Comput. Vis. 2019, 127, 512–531. [Google Scholar] [CrossRef]
- Cheng, X.; Wang, P.; Yang, R. Depth estimation via affinity learned with convolutional spatial propagation network. In Proceedings of the European Conference on Computer Vision (ECCV), Munich, Germany, 8–14 September 2018; pp. 103–119. [Google Scholar]
- Zhong, Y.; Dai, Y.; Li, H. Self-supervised learning for stereo matching with self-improving ability. arXiv 2017, arXiv:1709.00930. [Google Scholar]
- Zhang, C.; Tian, K.; Fan, B.; Meng, G.; Zhang, Z.; Pan, C. Continual Stereo Matching of Continuous Driving Scenes With Growing Architecture. In Proceedings of the IEEE/CVF Conference on Computer Vision and Pattern Recognition, New Orleans, LA, USA, 19–20 June 2022; pp. 18901–18910. [Google Scholar]
- Rao, Z.; Dai, Y.; Shen, Z.; He, R. Rethinking training strategy in stereo matching. IEEE Trans. Neural Netw. Learn. Syst. 2022. [Google Scholar] [CrossRef]
- Tuytelaars, T.; Van Gool, L.; D’haene, L.; Koch, R. Matching of affinely invariant regions for visual servoing. In Proceedings of the 1999 IEEE International Conference on Robotics and Automation (Cat. No. 99CH36288C), Detroit, MI, USA, 10–15 May 1999; Volume 2, pp. 1601–1606. [Google Scholar]
- Tuytelaars, T.; Van Gool, L. Matching widely separated views based on affine invariant regions. Int. J. Comput. Vis. 2004, 59, 61–85. [Google Scholar] [CrossRef]
- Matas, J.; Chum, O.; Urban, M.; Pajdla, T. Robust wide-baseline stereo from maximally stable extremal regions. Image Vis. Comput. 2004, 22, 761–767. [Google Scholar] [CrossRef]
- Kadir, T.; Zisserman, A.; Brady, M. An affine invariant salient region detector. In Proceedings of the European Conference on Computer Vision, Prague, Czech Republic, 11–14 May 2004; pp. 228–241. [Google Scholar]
- Mikolajczyk, K.; Tuytelaars, T.; Schmid, C.; Zisserman, A.; Matas, J.; Schaffalitzky, F.; Kadir, T.; Van Gool, L. A comparison of affine region detectors. Int. J. Comput. Vis. 2005, 65, 43–72. [Google Scholar] [CrossRef]
- Mayer, N.; Ilg, E.; Hausser, P.; Fischer, P.; Cremers, D.; Dosovitskiy, A.; Brox, T. A large dataset to train convolutional networks for disparity, optical flow, and scene flow estimation. In Proceedings of the IEEE Conference on Computer Vision and Pattern Recognition, Las Vegas, NV, USA, 27–30 June 2016; pp. 4040–4048. [Google Scholar]
- Chang, J.R.; Chen, Y.S. Pyramid stereo matching network. In Proceedings of the IEEE Conference on Computer Vision and Pattern Recognition, Salt Lake City, UT, USA, 18–22 June 2018; pp. 5410–5418. [Google Scholar]
- Xu, H.; Zhang, J. Aanet: Adaptive aggregation network for efficient stereo matching. In Proceedings of the IEEE/CVF Conference on Computer Vision and Pattern Recognition, Seattle, WA, USA, 14–19 June 2020; pp. 1959–1968. [Google Scholar]
- Xu, G.; Cheng, J.; Guo, P.; Yang, X. ACVNet: Attention concatenation volume for accurate and efficient stereo matching. arXiv 2022, arXiv:2203.02146. [Google Scholar]
- Garg, R.; Bg, V.K.; Carneiro, G.; Reid, I. Unsupervised cnn for single view depth estimation: Geometry to the rescue. In Proceedings of the European Conference on Computer Vision, Amsterdam, The Netherlands, 11–14 October 2016; pp. 740–756. [Google Scholar]
- Yin, Z.; Shi, J. Geonet: Unsupervised learning of dense depth, optical flow and camera pose. In Proceedings of the IEEE Conference on Computer Vision and Pattern Recognition, Salt Lake City, UT, USA, 18–22 June 2018; pp. 1983–1992. [Google Scholar]
- Chen, C.H.; Lu, C.W.; Ying, Y. Method of Sea Wave Extraction and Matching from Images Based on Convolutional Neural Network. In Proceedings of the 5th International Conference on Engineering, Applied Sciences and Technology, Luang Prabang, Laos, 2–5 July 2019; pp. 1–4. [Google Scholar]


















| No. | Match? | ||||||||
|---|---|---|---|---|---|---|---|---|---|
| (1) | 0.961 | 0.994 | 0.954 | 1.000 | 0.984 | 0.936 | 0.966 | 0.831 | 1 |
| (2) | 0.261 | 0.831 | 0.958 | 1.000 | 0.899 | 0.862 | 0.964 | 0.271 | 0 |
| (3) | 0.914 | 0.811 | 0.810 | 0.936 | 0.971 | 0.793 | 0.963 | 0.032 | 1 |
| (4) | 0.131 | 0.580 | 0.882 | 0.628 | 0.848 | 0.880 | 0.958 | 0.990 | 0 |
| (5) | 0.955 | 0.843 | 0.931 | 0.741 | 0.848 | 1.000 | 0.952 | 0.034 | 1 |
| (6) | 0.862 | 0.974 | 0.839 | 0.848 | 0.899 | 0.758 | 0.951 | 0.282 | 0 |
| (7) | 0.694 | 0.939 | 0.900 | 0.853 | 0.903 | 0.914 | 0.950 | 0.250 | 0 |
| (8) | 0.990 | 0.692 | 1.000 | 0.711 | 0.902 | 0.886 | 0.947 | 0.164 | 1 |
| (9) | 0.987 | 0.578 | 0.964 | 0.578 | 0.886 | 0.956 | 0.946 | 0.065 | 1 |
| (10) | 0.056 | 0.944 | 0.526 | 0.829 | 0.961 | 0.750 | 0.944 | 0.715 | 0 |
| (11) | 0.961 | 0.797 | 0.867 | 0.689 | 0.849 | 0.727 | 0.941 | 0.151 | 1 |
| (12) | 0.651 | 0.483 | 0.547 | 0.253 | 0.882 | 0.765 | 0.939 | 0.352 | 0 |
| Color | ||||||||
|---|---|---|---|---|---|---|---|---|
| Green | (293,462) | 1808 | 49 | 60 | 0.49 | 38 | 46 | 3.8 |
| Yellow | (455,463) | 1209 | 52 | 33 | 0.71 | 39 | 42 | 2.4 |
| Red | (837,672) | 864 | 41 | 27 | 0.70 | 32 | 34 | 1.6 |
| No. | RANSAC+SURF | Euclidean Method | Our Method | |||
|---|---|---|---|---|---|---|
| Precision | Recall | Precision | Recall | Precision | Recall | |
| (a) | 77.8 | 66.7 | 88.2 | 85.2 | 87.5 | 88.9 |
| (b) | 75.0 | 40.0 | 84.6 | 86.7 | 88.9 | 90.0 |
| (c) | 90.0 | 10.3 | 94.0 | 54.0 | 97.6 | 91.9 |
| (d) | 76.9 | 24.0 | 89.2 | 60.9 | 89.2 | 80.5 |
| (e) | 52.9 | 41.2 | 80.0 | 44.1 | 86.2 | 85.3 |
| (f) | 50.0 | 34.8 | 90.9 | 47.8 | 90.0 | 86.9 |
| Average | 70.4 | 36.2 | 87.8 | 63.1 | 89.9 | 87.3 |
Disclaimer/Publisher’s Note: The statements, opinions and data contained in all publications are solely those of the individual author(s) and contributor(s) and not of MDPI and/or the editor(s). MDPI and/or the editor(s) disclaim responsibility for any injury to people or property resulting from any ideas, methods, instructions or products referred to in the content. |
© 2023 by the authors. Licensee MDPI, Basel, Switzerland. This article is an open access article distributed under the terms and conditions of the Creative Commons Attribution (CC BY) license (https://creativecommons.org/licenses/by/4.0/).
Share and Cite
Yang, Y.; Lu, C.; Li, Z. Long-Distance Sea Wave Sparse Matching Algorithm for Sea Level Monitoring System. J. Mar. Sci. Eng. 2023, 11, 391. https://doi.org/10.3390/jmse11020391
Yang Y, Lu C, Li Z. Long-Distance Sea Wave Sparse Matching Algorithm for Sea Level Monitoring System. Journal of Marine Science and Engineering. 2023; 11(2):391. https://doi.org/10.3390/jmse11020391
Chicago/Turabian StyleYang, Ying, Cunwei Lu, and Zhenhua Li. 2023. "Long-Distance Sea Wave Sparse Matching Algorithm for Sea Level Monitoring System" Journal of Marine Science and Engineering 11, no. 2: 391. https://doi.org/10.3390/jmse11020391
APA StyleYang, Y., Lu, C., & Li, Z. (2023). Long-Distance Sea Wave Sparse Matching Algorithm for Sea Level Monitoring System. Journal of Marine Science and Engineering, 11(2), 391. https://doi.org/10.3390/jmse11020391

