Mechanisms of Advective and Tidal Oscillatory Salt Transport in the Hypertidal Estuary: Yeomha Channel in Gyeonggi Bay
Abstract
1. Introduction
2. Study Area
3. Methodology
3.1. Observation Data
3.2. Model Description
3.2.1. Grid System
3.2.2. Initial and Boundary Conditions
4. Model-Data Comparison
4.1. Tide Level
4.2. Current Velocity

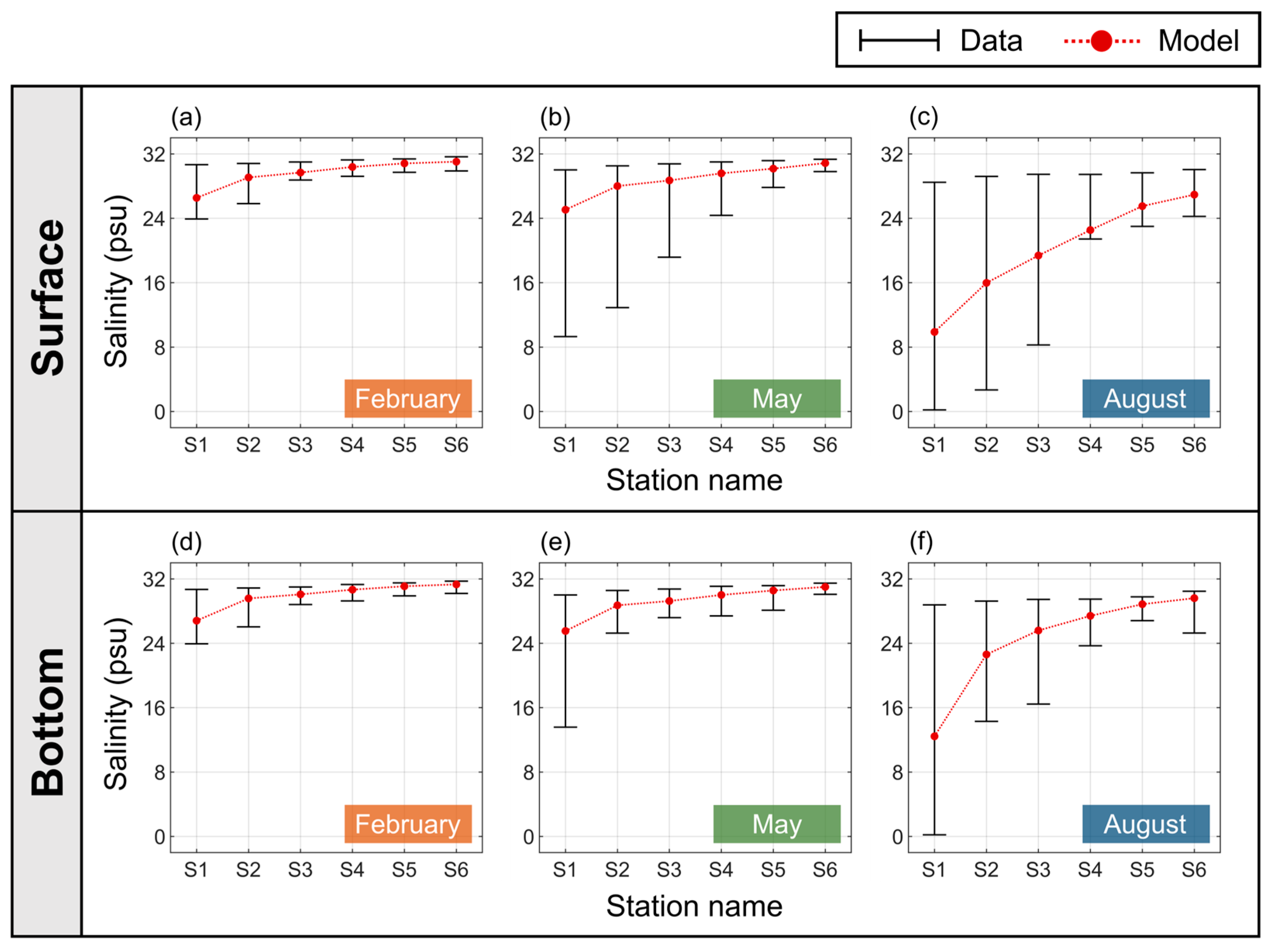
4.3. Salinity
5. Mechanisms of Salt Transport
5.1. Variation in FS
5.1.1. Variation in Qf and S0
5.1.2. Variation in uE and SE
5.1.3. Variation in uT and ST

5.2. Seasonal Variation in Salt Transport
5.3. Unique Characteristics of Hypertidal Estuary
6. Conclusions
Author Contributions
Funding
Institutional Review Board Statement
Informed Consent Statement
Data Availability Statement
Conflicts of Interest
References
- Neilson, B.J.; Cronin, L.E. Estuaries and Nutrients; Humana Press: Clifton, NJ, USA, 1981. [Google Scholar]
- John, S.; Muraleedharan, K.R.; Revichandran, C.; Azeez, S.A.; Seena, G.; Cazenave, P.W. What controls the flushing efficiency and particle transport pathways in a tropical estuary? Cochin estuary, southwest coast of India. Water 2020, 12, 908. [Google Scholar] [CrossRef]
- Narayanan, N.C.; Venot, J.P. Drivers of Change in Fragile Environments: Challenges to Governance in Indian Wetlands. Nat. Resour. Forum 2009, 33, 320–333. [Google Scholar] [CrossRef]
- Jeong, H.; Kang, S.; Jung, H.; Jeong, D.; Oh, J.; Choi, S.; An, Y.; Choo, H.; Choi, S.; Kim, S.; et al. The Current Status of Eutrophication and Suggestions of the Purification & Restoration on Surface Sediment in the Northwestern Gamak Bay, Korea, 2017. J. Korean Soc. Mar. Environ. Energy 2019, 22, 105–113. [Google Scholar] [CrossRef]
- Kim, C.K.; Park, K. A Modeling Study of Water and Salt Exchange for a Micro-Tidal, Stratified Northern Gulf of Mexico Estuary. J. Mar. Syst. 2012, 96–97, 103–115. [Google Scholar] [CrossRef]
- Devkota, J.; Fang, X. Quantification of Water and Salt Exchanges in a Tidal Estuary. Water 2015, 7, 1769–1791. [Google Scholar] [CrossRef]
- Gong, W.; Shen, J. The Response of Salt Intrusion to Changes in River Discharge and Tidal Mixing during the Dry Season in the Modaomen Estuary, China. Cont. Shelf Res. 2011, 31, 769–788. [Google Scholar] [CrossRef]
- Lerczak, J.A.; Geyer, W.R.; Chant, R.J. Mechanisms Driving the Time-Dependent Salt Flux in a Partially Stratified Estuary. J. Phys. Oceanogr. 2006, 36, 2296–2311. [Google Scholar] [CrossRef]
- Li, R.; Gao, L.; Pan, C.; Pang, Y. Detecting the Mechanisms of Longitudinal Salt Transport during Spring Tides in Qiantang Estuary. J. Integr. Environ. Sci. 2019, 16, 123–140. [Google Scholar] [CrossRef]
- Wang, T.; Geyer, W.R.; Engel, P.; Jiang, W.; Feng, S. Mechanisms of Tidal Oscillatory Salt Transport in a Partially Stratified Estuary. J. Phys. Oceanogr. 2015, 45, 2773–2789. [Google Scholar] [CrossRef]
- Monismith, S.G.; Kimmerer, W.; Burau, J.R.; Stacey, M.T. Structure and flow-induced variability of the subtidal salinity field in northern San Francisco Bay. J. Phys. Oceanogr. 2002, 32, 3003–3019. [Google Scholar] [CrossRef]
- Fischer, H.B.; List, J.E.; Koh, C.R.; Imberger, J.; Brooks, N.H. Mixing in Inland and Coastal Waters; Academic Press: San Diego, CA, USA, 1979. [Google Scholar]
- Garel, E.; Zhang, P.; Cai, H. Dynamics of Fortnightly Water Level Variations along a Tide-Dominated Estuary with Negligible River Discharge. Ocean Sci. 2021, 17, 1605–1621. [Google Scholar] [CrossRef]
- Suh, S.W.; Lee, H.Y.; Kim, H.J. Spatio-Temporal Variability of Tidal Asymmetry Due to Multiple Coastal Constructions along the West Coast of Korea. Estuar. Coast. Shelf Sci. 2014, 151, 336–346. [Google Scholar] [CrossRef]
- Woo, S.B.; Il Yoon, B. Numerical Simulation of Fortnightly Modulations of the Convergence Zone by Residual Volume Transport in a Macrotidal Estuary. J. Coast. Res. 2018, 85, 606–610. [Google Scholar] [CrossRef]
- Yoon, B.; Woo, S.-B. Tidal Asymmetry and Flood/Ebb Dominance around the Yeomha Channel in the Han River Estuary, South Korea. J. Coast. Res. 2013, 165, 1242–1246. [Google Scholar] [CrossRef]
- Yoon, B.I.; Woo, S.-B.; Kim, J.W.; Song, J. Il. The Regional Classification of Tidal Regime Using Characteristics of Astronomical Tides, Overtides and Compound Tides in the Han River Estuary, Gyeonggi Bay. J. Korean Soc. Coast. Ocean Eng. 2015, 27, 149–158. [Google Scholar] [CrossRef]
- Kang, C.H.; Oh, S.J.; Shin, Y.J.; Kim, Y.G.; Oh, E.G.; So, J.S. Impact of Inland Pollution Sources on the Bacteriological Water Quality of the Southern Ganghwado Bay Area, South Korea. Urban Water J. 2017, 14, 69–73. [Google Scholar] [CrossRef]
- Kim, D.Y.; Yoon, C.G.; Rhee, H.P.; Choi, J.H.; Hwang, H.S. Estimation of Pollution Contribution TMDL Unit Watershed in Han-River according to Hydrological Characteristic using Flow Duration Curve. J. Korean Soc. Water Environ. 2019, 35, 497–509. [Google Scholar] [CrossRef]
- Lim, D.I.; Rho, K.C.; Jang, P.G.; Kang, S.M.; Jung, H.S.; Jung, R.H.; Lee, W.C. Temporal-Spatial Variations of Water Quality in Gyeonggi Bay, West Coast of Korea, and Their Controlling Factor. Ocean Polar Res. 2007, 29, 135–153. [Google Scholar] [CrossRef]
- Lee, D.-H.; Yoon, B.-I.; Kim, J.-W.; Gu, B.-H.; Woo, S.-B. The Cross-Sectional Mass Flux Observation at Yeomha Channel, Gyeonggi Bay at Spring Tide During Dry and Flood Season. J. Korean Soc. Coast. Ocean Eng. 2012, 24, 16–25. [Google Scholar] [CrossRef]
- Lee, D.H.; Yoon, B.I.; Woo, S.-B. The Cross-Sectional Characteristic and Spring-Neap Variation of Residual Current and Net Volume Transport at the Yeomha Channel. J. Korean Soc. Coast. Ocean Eng. 2017, 29, 217–227. [Google Scholar] [CrossRef]
- Park, K.; Oh, J.H.; Kim, H.S.; Im, H.H. Case study: Mass Transport Mechanism in Kyunggi Bay around Han River Mouth, Korea. J. Hydraul. Eng. 2002, 128, 257–267. [Google Scholar] [CrossRef]
- Yoon, B.-I.; Woo, S.-B. Relation of Freshwater Discharge and Salinity Distribution on Tidal Variation around the Yeomha Channel, Han River Estuary. J. Korean Soc. Coast. Ocean Eng. 2012, 24, 269–276. [Google Scholar] [CrossRef]
- Lee, H.M.; Kim, J.W.; Choi, J.Y.; Yoon, B.I.; Woo, S.-B. Mechanisms of Salt Transport in the Han River Estuary, Gyeonggi Bay. J. Korean Soc. Coast. Ocean Eng. 2021, 33, 13–29. [Google Scholar] [CrossRef]
- Yang, E.J.; Choi, J.K.; Hyun, J.H. Seasonal Variation in the Community and Size Structure of Nano- and Microzooplankton in Gyeonggi Bay, Yellow Sea. Estuar. Coast. Shelf Sci. 2008, 77, 320–330. [Google Scholar] [CrossRef]
- Chen, C.; Liu, H.; Beardsley, R.C. An Unstructured Grid, Finite-Volume, Three-Dimensional, Primitive Equations Ocean Model: Application to Coastal Ocean and Estuaries. J. Atmos. Ocean. Technol. 2003, 20, 159–186. [Google Scholar] [CrossRef]
- Chen, C.; Qi, J.; Li, C.; Beardsley, R.C.; Lin, H.; Walker, R.; Gates, K. Complexity of the Flooding/Drying Process in an Estuarine Tidal-Creek Salt-Marsh System: An Application of FVCOM. J. Geophys. Res. Oceans 2008, 113, C07052. [Google Scholar] [CrossRef]
- Mellor, G.L.; Yamada, T. Development of a Turbulence Closure Model for Geophysical Fluid Problems. Rev. Geophys. 1982, 20, 851–875. [Google Scholar] [CrossRef]
- Smagorinsky, J. General Circulation Experiments with the Primitive Equations: I. The Basic Experiment. Mon. Weather Rev. 1963, 91, 99–164. [Google Scholar] [CrossRef]
- Chen, C.; Zhu, J.; Zheng, L.; Ralph, E.; Budd, J.W. A Non-Orthogonal Primitive Equation Coastal Ocean Circulation Model: Application to Lake Superior. J. Great Lakes Res. 2004, 30, 41–54. [Google Scholar] [CrossRef]
- Chen, C.; Beardsley, R.C.; Cowles, G. An Unstructured-Grid, Finite-Volume Coastal Ocean Model (FVCOM) System. Oceanography 2006, 19, 78–89. [Google Scholar] [CrossRef]
- Chen, C.; Huang, H.; Beardsley, R.C.; Liu, H.; Xu, Q.; Cowles, G. A Finite Volume Numerical Approach for Coastal Ocean Circulation Studies: Comparisons with Finite Difference Models. J. Geophys. Res. Oceans 2007, 112, C03018. [Google Scholar] [CrossRef]
- Cowles, G.W.; Lentz, S.J.; Chen, C.; Xu, Q.; Beardsley, R.C. Comparison of Observed and Model-Computed Low Frequency Circulation and Hydrography on the New England Shelf. J. Geophys. Res. Oceans 2008, 113, C09015. [Google Scholar] [CrossRef]
- Chen, C.; Beardsley, R.C.; Cowles, G.; Qi, J.; Lai, Z.; Gao, G.; Stuebe, D.; Liu, H.; Xue, P.; Ge, J.; et al. An Unstructured Grid, Finite-Volume Community Ocean Model FVCOM User Manual; SMAST/UMASSD Technical Report-13-0701; Massachusetts Institute of Technology: Cambridge, MA, USA, 2011. [Google Scholar]
- Egbert, G.D.; Erofeeva, S.Y. Efficient Inverse Modeling of Barotropic Ocean Tides. J. Atmos. Ocean. Technol. 2002, 19, 183–204. [Google Scholar] [CrossRef]
- Willmott, C.J. Some Comments on the Evaluation of Model Performance. Bull. Am. Meteorol. Soc. 1982, 63, 1309–1313. [Google Scholar] [CrossRef]
- Song, Y.-S.; Woo, S.-B. Periodic Characteristics of Long Period Tidal Current by Variation of the Tide Deformation around the Yeomha Waterway. J. Korean Soc. Coast. Ocean Eng. 2011, 23, 393–400. [Google Scholar] [CrossRef]
- Sylaios, G.; Boxall, S.R. Residual Currents and Flux Estimates in a Partially-Mixed Estuary. Estuar. Coast. Shelf Sci. 1998, 46, 671–682. [Google Scholar] [CrossRef]
- MacVean, L.J.; Stacey, M.T. Estuarine Dispersion from Tidal Trapping: A New Analytical Framework. Estuaries Coasts 2011, 34, 45–59. [Google Scholar] [CrossRef]
- Choi, N.-Y.; Yoon, B.-I.; Kim, J.-W.; Song, J.-I.; Lim, E.-P.; Woo, S.-B. The Relation of Cross-Sectional Residual Current and Stratification during Spring and Neap Tidal Cycle at Seokmo Channel, Han River Estuary Located at South Korea. J. Korean Soc. Coast. Ocean Eng. 2012, 24, 149–158. [Google Scholar] [CrossRef]
- Aristizábal, M.F.; Chant, R.J. An Observational Study of Salt Fluxes in Delaware Bay. J. Geophys. Res. Oceans 2015, 120, 2751–2768. [Google Scholar] [CrossRef]






| Instruments | Setup Values | Winter | Summer | |
|---|---|---|---|---|
| ADCP | Bin size (m) | 0.50 | 0.50 | |
| Ping interval (sec) | 0.50 | 0.50 | ||
| Burst interval (min) | 10 | 10 | ||
| Blanking depth (m) | 0.20 | 0.20 | ||
| Deployment depth (m) | 0.47 | 0.47 | ||
| CTD | Surface | Sampling interval (min) | 10 | 10 |
| Depth below surface (m) | 4 | 3.5 | ||
| Bottom | Sampling interval (min) | 10 | 10 | |
| Deployment depth (m) | 0.27 | 0.27 | ||
| Seasons | Variables | Station | Location | Observation Periods | ME | MAE | Skill | ||
|---|---|---|---|---|---|---|---|---|---|
| Winter | Tide–level (cm) | T1 | 37°43′55″ N 126°31′20″ E | 1/20~3/20 in 2020 | 1.34 | 23.52 | 0.99 | ||
| T2 | 37°32′44″ N 126°35′3″ E | 1.47 | 21.10 | 0.99 | |||||
| T3 | 37°27′7″ N 126°35′32″ E | 1.41 | 20.14 | 0.99 | |||||
| T4 | 37°20′17″ N 126°35′10″ E | 1.46 | 19.67 | 0.99 | |||||
| T5 | 37°11′3″ N 126°37′41″ E | 1.52 | 18.69 | 0.99 | |||||
| T6 | 37°0′27″ N 126°21′10″ E | 1.71 | 17.95 | 0.99 | |||||
| T7 | 37°14′19″ N 126°25′43″ E | 1.65 | 18.41 | 0.99 | |||||
| T8 | 37°11′43″ N 125°59′47″ E | 1.76 | 18.89 | 0.99 | |||||
| Along–channel velocity (cm/s) | Surface | M1 | 37°32′28″ N 126°34′58″ E | 2/04~3/17 in 2020 | −2.33 | 10.62 | 0.99 | ||
| Bottom | −3.90 | 9.27 | 0.99 | ||||||
| Salinity (psu) | Surface | 0.94 | 0.94 | 0.87 | |||||
| Bottom | 0.67 | 0.69 | 0.88 | ||||||
| Summer | Along–channel velocity (cm/s) | Surface | 8/22~9/21 in 2020 | −25.77 | 28.67 | 0.95 | |||
| Bottom | −10.99 | 18.25 | 0.97 | ||||||
| Salinity (psu) | Surface | 0.01 | 0.98 | 0.98 | |||||
| Bottom | 1.39 | 1.47 | 0.90 | ||||||
Disclaimer/Publisher’s Note: The statements, opinions and data contained in all publications are solely those of the individual author(s) and contributor(s) and not of MDPI and/or the editor(s). MDPI and/or the editor(s) disclaim responsibility for any injury to people or property resulting from any ideas, methods, instructions or products referred to in the content. |
© 2023 by the authors. Licensee MDPI, Basel, Switzerland. This article is an open access article distributed under the terms and conditions of the Creative Commons Attribution (CC BY) license (https://creativecommons.org/licenses/by/4.0/).
Share and Cite
Lee, H.M.; Kim, J.W.; Woo, S.-B. Mechanisms of Advective and Tidal Oscillatory Salt Transport in the Hypertidal Estuary: Yeomha Channel in Gyeonggi Bay. J. Mar. Sci. Eng. 2023, 11, 287. https://doi.org/10.3390/jmse11020287
Lee HM, Kim JW, Woo S-B. Mechanisms of Advective and Tidal Oscillatory Salt Transport in the Hypertidal Estuary: Yeomha Channel in Gyeonggi Bay. Journal of Marine Science and Engineering. 2023; 11(2):287. https://doi.org/10.3390/jmse11020287
Chicago/Turabian StyleLee, Hye Min, Jong Wook Kim, and Seung-Buhm Woo. 2023. "Mechanisms of Advective and Tidal Oscillatory Salt Transport in the Hypertidal Estuary: Yeomha Channel in Gyeonggi Bay" Journal of Marine Science and Engineering 11, no. 2: 287. https://doi.org/10.3390/jmse11020287
APA StyleLee, H. M., Kim, J. W., & Woo, S.-B. (2023). Mechanisms of Advective and Tidal Oscillatory Salt Transport in the Hypertidal Estuary: Yeomha Channel in Gyeonggi Bay. Journal of Marine Science and Engineering, 11(2), 287. https://doi.org/10.3390/jmse11020287

