Vibrational Responses of an Ultra-Large Cold-Water Pipe for Ocean Thermal Energy Conversion: A Numerical Approach
Abstract
1. Introduction
2. Theoretical Formulas
- (1)
- The dynamic behavior of the pipe is considered to be in a two-dimensional plane.
- (2)
- Given that as the ratio of the pipe length to the diameter is sufficiently large, the cold-water conduit system can be examined using the Euler–Bernoulli theory.
- (3)
- The internal flow is homogeneous and unidirectional.
- (4)
- The frictional force between the pipe and fluid is neglected.
- (5)
- The pipe’s cross-sectional area remains unchanged.
- (6)
- The effect of platform motion on the pipe is in the axial direction.
- (7)
- The weight of the pipe is uniformly distributed.

| Nomenclature | Description | 
|---|---|
| EI | Bending stiffness (N/m2) | 
| L | Pipe length (m) | 
| ma | Added mass (kg/m) | 
| mf | Mass of the internal flow per unit length (kg/m) | 
| mr | Mass of the pipe per unit length (kg/m) | 
| T(z) | Axial equivalent tension (N) | 
| U | Velocity of the internal flow (m/s) | 
| w(z,t) | Transverse displacement of the pipe (m) | 
| Ai | Internal cross-sectional area (m2) | 
| A0 | External cross-sectional area (m2) | 
| Density of the pipe (kg/m3) | |
| Density of the seawater (kg/m3) | |
| u | External flow velocity (m/s) | 
| t | Time of vibration (s) | 
| Ca | Added mass coefficient | 
| Cd | Adapted drag coefficient | 
| Circular frequency (rad/s) | |
| Structural damping coefficient | |
| g | Gravitational acceleration (m/s2) | 
| Twc | Weight of the clump (N) | 
| Td | Dry weight (N) | 
- (a)
- clamped-clamped boundary conditions (C-C)
- (b)
- clamped-clump weight boundary conditions (C-W)
- (c)
- clamped-free boundary conditions (C-F)
- (d)
- simply supported-simply supported boundary conditions (S-S)
- (e)
- simply supported-clump weight boundary conditions (S-W)
- (f)
- simply supported-free boundary conditions (S-F)

3. Proposed Vibration Model Using GITT Method
3.1. Eigenfunctions and Eigenvalues
- (a)
- C-C
- (b)
- C-W
- (c)
- C-F
- (d)
- S-S
- (e)
- S-W
- (f)
- S-F
3.2. Transformed Governing Equation
3.3. Variation in the Fundamental Frequency
4. Results and Discussion
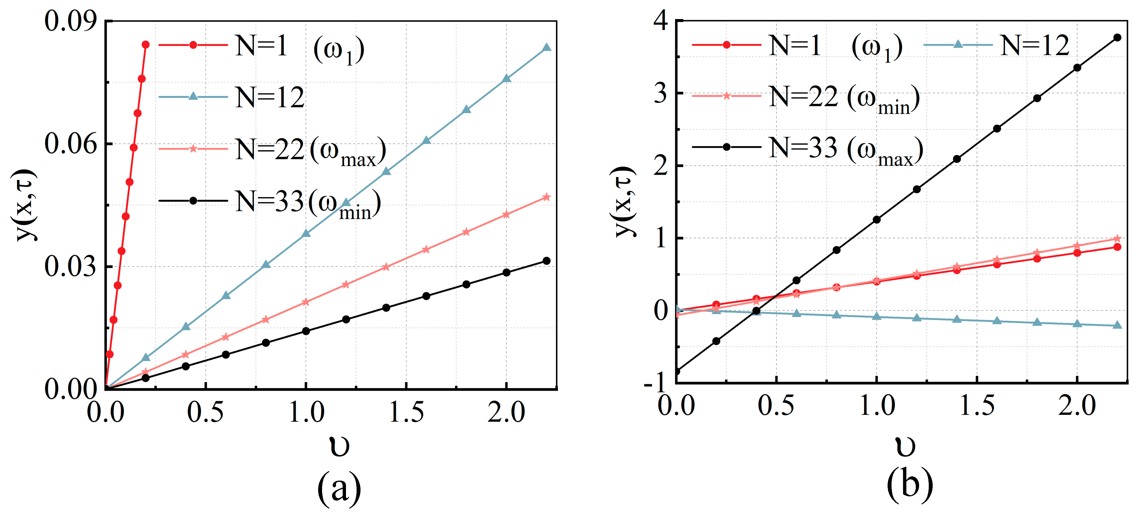
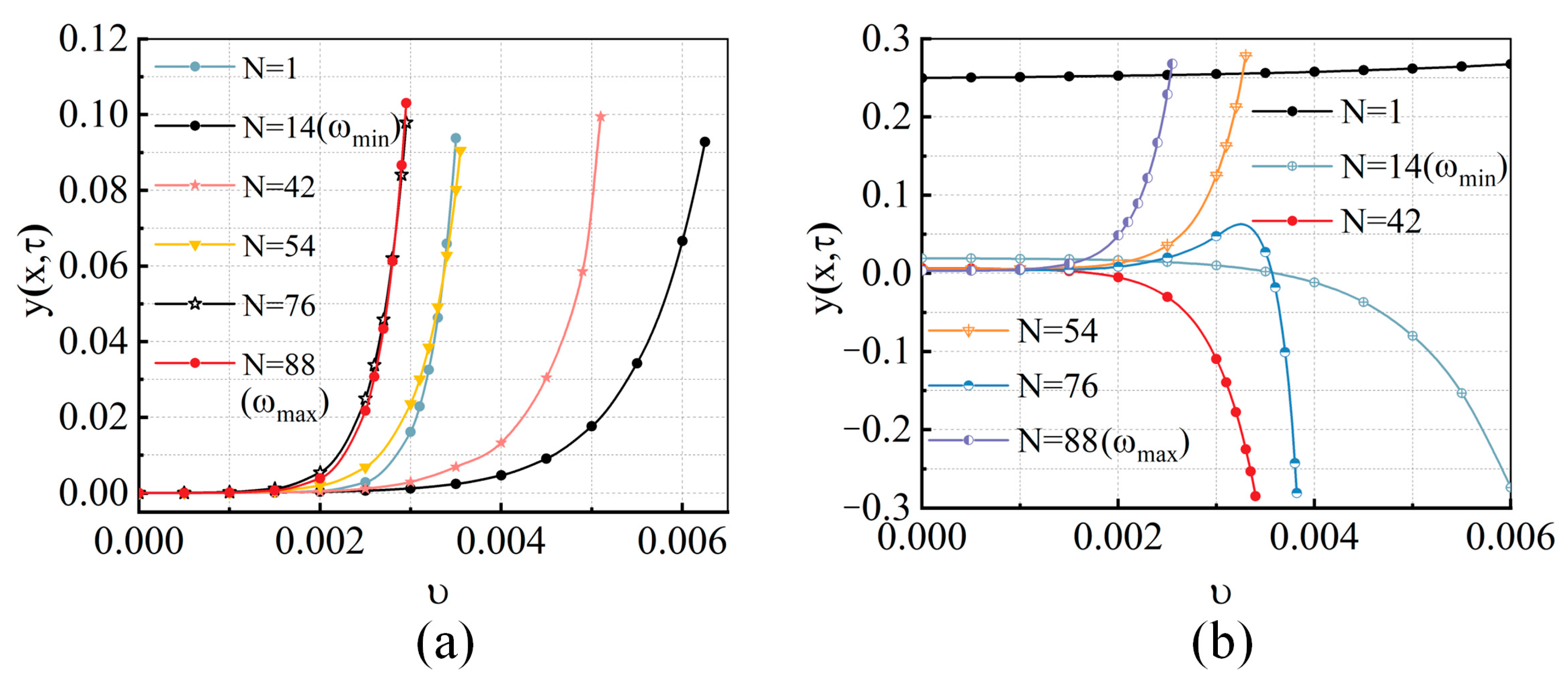
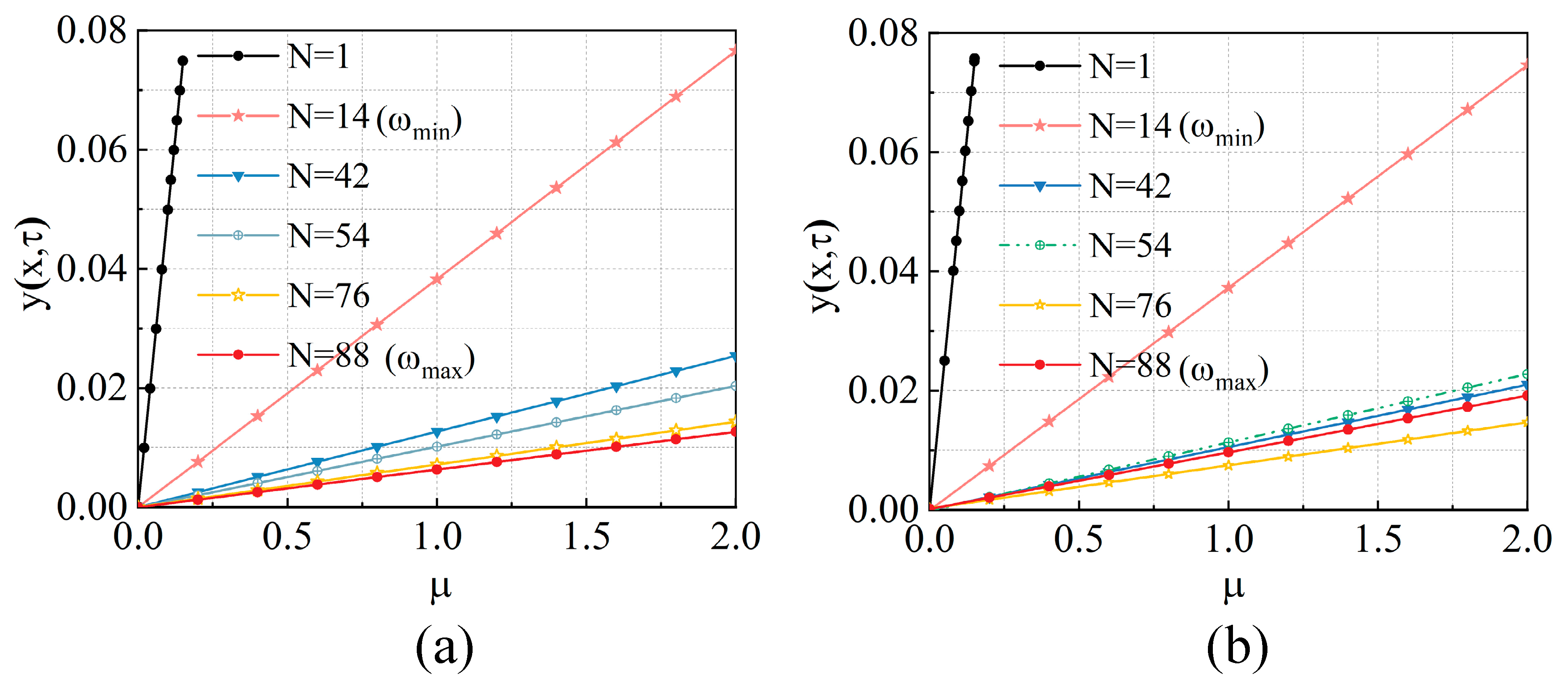
4.1. Convergence and Accuracy
4.2. Parametric Study
4.2.1. Effects of the Boundary Condition
4.2.2. Effects of Internal Flow
4.2.3. Effects of External Flow
4.2.4. Effects of the Clump Weight
5. Conclusions
- (1)
- The eigenfunctions and eigenvalues were calculated for the C-W and S-W boundary conditions using the GITT for the first time.
- (2)
- The boundary conditions had a significant effect on the convergence of the transverse displacement, in that different boundary conditions changed the eigenfunctions and eigenvalues of the displacement function.
- (3)
- The first-mode natural frequency of the pipe decreased as the internal flow velocity increased under the C-C, C-F, and S-S boundary conditions but remained constant under the C-W, S-W, and S-F boundary conditions. The first-mode natural frequency is important as it likely to be associated with the critical velocity during the operation of a CWP.
- (4)
- The increase in the transverse displacement with an increasing external flow velocity showed a proportional relationship, and peak displacement of the pipe under the C-W boundary condition was smaller compared with the other boundary conditions.
- (5)
- By setting the weight of the clump at the bottom, the transverse displacement and the first-mode natural frequency of the pipe were adjusted, and the effect was better with the S-W boundary condition. The results of this research can be an important reference for improving the stability and safety of an ultra-large CWP by adjusting the clump weight.
Author Contributions
Funding
Institutional Review Board Statement
Informed Consent Statement
Data Availability Statement
Acknowledgments
Conflicts of Interest
References
- Brecha, R.J.; Schoenenberger, K.; Ashtine, M.; Koon Koon, R. Ocean Thermal Energy Conversion—Flexible Enabling Technology for Variable Renewable Energy Integration in the Caribbean. Energies 2021, 14, 2192. [Google Scholar] [CrossRef]
- Ma, Q.; Zheng, Y.; Lu, H.; Li, J.; Wang, S.; Wang, C.; Wu, Z.; Shen, Y.; Liu, X. A Novel Ocean Thermal Energy Driven System for Sustainable Power and Fresh Water Supply. Membranes 2022, 12, 160. [Google Scholar] [CrossRef]
- De Souza, R.V.; LFernandes, E.L.; Azevedo, J.L.; Corrêa Martins, R.; dos Santos Passos, M. Brazilian Ocean Thermal Energy Park and its Sites: Definitions and Feasibility of Thermal Energy Conversion in the Blue Amazon. SSRN Electron. J. 2021. [Google Scholar] [CrossRef]
- Nihous, G.C.; Vega, L.A. Design of a 100 MW OTEC-hydrogen plantship. Mar. Struct. 1993, 6, 207–221. [Google Scholar] [CrossRef]
- Sheppard, D.; Powell, G.; Chou, I. Flow field near an ocean thermal energy conversion plant. Coast. Eng. Proc. 1976, 1, 3068–3081. [Google Scholar] [CrossRef]
- Adiputra, R.; Utsunomiya, T.; Koto, J.; Yasunaga, T.; Ikegami, Y. Preliminary design of a 100 MW-net ocean thermal energy conversion (OTEC) power plant study case: Mentawai island, Indonesia. J. Mar. Sci. Technol. 2019, 25, 48–68. [Google Scholar] [CrossRef]
- Adiputra, R.; Utsunomiya, T. Stability based approach to design cold-water pipe (CWP) for ocean thermal energy conversion (OTEC). Appl. Ocean. Res. 2019, 92, 101921. [Google Scholar] [CrossRef]
- Martel, L.; Smith, P.; Rizea, S. Ocean Thermal Energy Conversion Life Cycle Cost Assessment: Final Technical Report. 2012. Available online: https://www.osti.gov/biblio/1045340 (accessed on 10 March 2019).
- McGuinness, T.; Scotti, R.S. OTEC Cold Water Pipe Program Status. All Days. In Proceedings of the Offshore Technology Conference, Houston, TX, USA, 5–8 May 1980. [Google Scholar]
- Chou, D.Y.; Minner, W.F.; Ragusa, L.Y.; Ho, R.T. Dynamic Analysis of Coupled OTEC Platform-Cold Water Pipe System. In Proceedings of the Offshore Technology Conference, Houston, TX, USA, 7–10 May 1978. [Google Scholar]
- Barr, R.A.; Sheldon, L.R. Model Testing of OTEC Plant Platform and Cold Water. All Days. In Proceedings of the Offshore Technology Conference, Houston, TX, USA, 5–8 May 1980. [Google Scholar]
- Kwon, Y.J.; Kim, H.J.; Jung, D.H. A Study for Forced Oscillation Experiment for OTEC Riser under Current. In Proceedings of the Twenty-Fifth International Ocean and Polar Engineering Conference, Kona, HI, USA, 21–26 June 2015. [Google Scholar]
- Cao, P.; Xiang, S.; He, J.; Kibbee, S.; Bian, S. Advancing Cold Water Intake Riser Design through Model Test. All Days. In Proceedings of the Offshore Technology Conference, Houston, TX, USA, 4–7 May 2015. [Google Scholar]
- Halkyard, J.; Sheikh, R.; Marinho, T.; Shi, S.; Ascari, M. Current Developments in the Validation of Numerical Methods for Predicting the Responses of an Ocean Thermal Energy Conversion (OTEC) System Cold Water Pipe. In Volume 7: Ocean Space Utilization; Professor Emeritus J. Randolph Paulling Honoring Symposium on Ocean Technology, Proceedings of the ASME 2014 33rd International Conference on Ocean, Offshore and Arctic Engineering, San Francisco, CA, USA, 8–13 June 2014; American Society of Mechanical Engineers (ASME): New York, NY, USA, 2014. [Google Scholar]
- He, X.; He, W.; Liu, Y.; Wang, Y.; Li, G.; Wang, Y. Robust Adaptive Control of an Offshore Ocean Thermal Energy Conversion System. IEEE Trans. Syst. Man Cybern. Syst. 2020, 50, 5285–5295. [Google Scholar] [CrossRef]
- Adiputra, R.; Utsunomiya, T. Linear vs. non-linear analysis on self-induced vibration of OTEC cold water pipe due to internal flow. Appl. Ocean. Res. 2021, 110, 102610. [Google Scholar] [CrossRef]
- Bayrami Atashgah, M.; Iranmanesh, M.; Mojtahedi, A. Investigation of a combined Monte Carlo simulation and Galerkin approach for probabilistic characteristics modelling the dynamic behaviour of the fluid-conveying pipe. Ships Offshore Struct. 2022, 1–12. [Google Scholar] [CrossRef]
- Gu, J.; Dai, B.; Wang, Y.; Li, M.; Duan, M. Dynamic analysis of a fluid-conveying pipe under axial tension and thermal loads. Ships Offshore Struct. 2016, 12, 262–275. [Google Scholar] [CrossRef]
- Li, T.; An, C.; Liang, W.; Duan, M.; Estefen, S.F. Semi-analytical solution for soil-constrained vibration of subsea free-spanning pipelines. Ships Offshore Struct. 2018, 13, 666–676. [Google Scholar] [CrossRef]
- Heydari Nosrat Abadi, M.; Zamani Nouri, A. Numerical study for critical fluid velocity in temperature-dependent pipes conveying fluid mixed with nanoparticles using higher order shear deformation theory. Ships Offshore Struct. 2018, 14, 501–509. [Google Scholar] [CrossRef]
- Soon, F.K.; Hoon, T.P.; Latheef, M.; Yassin, A.Y. Mohd. Green’s function and finite element formulations for the dynamics of pipeline conveying fluid. Ships Offshore Struct. 2021, 17, 1005–1022. [Google Scholar] [CrossRef]
- Cotta, R.M. Integral Transforms in Computational Heat and Fluid Flow; CRC Press: Boca Raton, FL, USA, 1993. [Google Scholar]
- Cotta, R.M. The Integral Transform Method in Thermal and Fluids Science and Engineering; Begell House: New York, NY, USA, 1998. [Google Scholar]
- Cotta, R.M.; Mikhailov, M.D. Heat Conduction—Lumped Analysis, Integral Transforms, Symbolic Computation; John Wiley & Sons: Chichester, UK, 1997. [Google Scholar]
- An, C.; Su, J. Dynamic response of clamped axially moving beams: Integral transform solution. Appl. Math. Comput. 2011, 218, 249–259. [Google Scholar] [CrossRef]
- An, C.; Su, J. Dynamic response of axially moving Timoshenko beams: Integral transform solution. Appl. Math. Mech. 2014, 35, 1421–1436. [Google Scholar] [CrossRef]
- Matt, C.F.T. Combined classical and generalized integral transform approaches for the analysis of the dynamic behavior of a damaged structure. Appl. Math. Model. 2013, 37, 8431–8450. [Google Scholar] [CrossRef]
- An, C.; Su, J. Dynamic analysis of axially moving orthotropic plates: Integral transform solution. Appl. Math. Comput. 2014, 228, 489–507. [Google Scholar] [CrossRef]
- He, Y.; An, C.; Su, J. Bending of orthotropic rectangular thin plates with two opposite edges clamped. Proc. Inst. Mech. Eng. Part C J. Mech. Eng. Sci. 2019, 234, 1220–1230. [Google Scholar] [CrossRef]
- He, Y.; An, C.; Su, J. Generalized integral transform solution for free vibration of orthotropic rectangular plates with free edges. J. Braz. Soc. Mech. Sci. Eng. 2020, 42, 183. [Google Scholar] [CrossRef]
- He, Y.; Duan, M.; Su, J. Bending of rectangular orthotropic plates with rotationally restrained and free edges: Generalized integral transform solutions. Eng. Struct. 2021, 247, 113129. [Google Scholar] [CrossRef]
- Li, F.; An, C.; Duan, M.; Su, J. Combined damping model for dynamics and stability of a pipe conveying two-phase flow. Ocean. Eng. 2020, 195, 106683. [Google Scholar] [CrossRef]
- Zarastvand, M.R.; Ghassabi, M.; Talebitooti, R. A Review Approach for Sound Propagation Prediction of Plate Constructions. Arch. Comput. Methods Eng. 2020, 28, 2817–2843. [Google Scholar] [CrossRef]
- Ghafouri, M.; Ghassabi, M.; Zarastvand, M.R.; Talebitooti, R. Sound propagation of three-dimensional sandwich panels: Influence of three-dimensional re-entrant auxetic core. AIAA J. 2022, 60, 6374–6384. [Google Scholar] [CrossRef]
- Gonçalves, P.J.P.; Peplow, A.; Brennan, M.J. Exact expressions for numerical evaluation of high order modes of vibration in uniform Euler-Bernoulli beams. Appl. Acoust. 2018, 141, 371–373. [Google Scholar] [CrossRef]
- Gartner, J.R.; Olgac, N. Improved numerical computation of uniform beam characteristic values and characteristic functions. J. Sound Vib. 1982, 84, 481–489. [Google Scholar] [CrossRef]
- Gonçalves, P.J.P.; Brennan, M.J.; Peplow, A.; Tang, B. Calculation of the natural frequencies and mode shapes of a Euler–Bernoulli beam which has any combination of linear boundary conditions. J. Vib. Control. 2019, 25, 2473–2479. [Google Scholar] [CrossRef]
- Monette, C.; Pettigrew, M.J. Fluid-elastic instability of flexible tubes subjected to two-phase internal flow. J. Fluids Struct. 2004, 19, 943–956. [Google Scholar] [CrossRef]
- Kuiper, G.L.; Metrikine, A.V. Dynamic stability of a submerged, free-hanging riser conveying fluid. J. Sound Vib. 2005, 280, 1051–1065. [Google Scholar] [CrossRef]
- Chibueze, N.O.; Ossia, C.V.; Okoli, J.U. On the Fatigue of Steel Catenary Risers. Stroj. Vestn. J. Mech. Eng. 2016, 62, 751–756. [Google Scholar] [CrossRef]
- Liang, X.; Zha, X.; Jiang, X.; Wang, L.; Leng, J.; Cao, Z. Semi-analytical solution for dynamic behavior of a fluid-conveying pipe with different boundary conditions. Ocean. Eng. 2018, 163, 183–190. [Google Scholar] [CrossRef]
- Xu, M.-R.; Xu, S.-P.; Guo, H.-Y. Determination of natural frequencies of fluid-conveying pipes using homotopy perturbation method. Comput. Math. Appl. 2010, 60, 520–527. [Google Scholar] [CrossRef][Green Version]













| Property | Value | 
|---|---|
| Length (m) | 1000 | 
| Density of the pipe (kg/m3) | 1206 | 
| Density of the seawater (kg/m3) | 1025 | 
| Inner diameter (m) | 1.5 | 
| Outer diameter (m) | 1.6 | 
| Section area (m2) | 0.243 | 
| Dry weight (N/m) | |
| Wet weight (N/m) | |
| Young’s modulus (Pa) | |
| Circular frequency (rad/s) | 110 | 
| Hysteretic damping loss factor | 0.016 | 
| Additional mass coefficient | 1.0 | 
| Boundary Condition | Frequency (Hz) | Critical Velocity () | 
|---|---|---|
| C-C | 8.246 | 0.6830 | 
| C-W | 58.785 | - | 
| C-F | 8.160 | 0.6811 | 
| S-S | 9.246 | 0.5510 | 
| S-W | 27.336 | - | 
| S-F | 7.146 | - | 
| Disclaimer/Publisher’s Note: The statements, opinions and data contained in all publications are solely those of the individual author(s) and contributor(s) and not of MDPI and/or the editor(s). MDPI and/or the editor(s) disclaim responsibility for any injury to people or property resulting from any ideas, methods, instructions or products referred to in the content. | 
© 2023 by the authors. Licensee MDPI, Basel, Switzerland. This article is an open access article distributed under the terms and conditions of the Creative Commons Attribution (CC BY) license (https://creativecommons.org/licenses/by/4.0/).
Share and Cite
Tan, J.; Zhang, Y.; Zhang, L.; Duan, Q.; An, C.; Duan, M. Vibrational Responses of an Ultra-Large Cold-Water Pipe for Ocean Thermal Energy Conversion: A Numerical Approach. J. Mar. Sci. Eng. 2023, 11, 2093. https://doi.org/10.3390/jmse11112093
Tan J, Zhang Y, Zhang L, Duan Q, An C, Duan M. Vibrational Responses of an Ultra-Large Cold-Water Pipe for Ocean Thermal Energy Conversion: A Numerical Approach. Journal of Marine Science and Engineering. 2023; 11(11):2093. https://doi.org/10.3390/jmse11112093
Chicago/Turabian StyleTan, Jian, Yulong Zhang, Li Zhang, Qingfeng Duan, Chen An, and Menglan Duan. 2023. "Vibrational Responses of an Ultra-Large Cold-Water Pipe for Ocean Thermal Energy Conversion: A Numerical Approach" Journal of Marine Science and Engineering 11, no. 11: 2093. https://doi.org/10.3390/jmse11112093
APA StyleTan, J., Zhang, Y., Zhang, L., Duan, Q., An, C., & Duan, M. (2023). Vibrational Responses of an Ultra-Large Cold-Water Pipe for Ocean Thermal Energy Conversion: A Numerical Approach. Journal of Marine Science and Engineering, 11(11), 2093. https://doi.org/10.3390/jmse11112093
 
        



 
       