Abstract
In support of Canadian industrial and defence ship design and offshore helicopter operations, a series of Ship–Helicopter Operational Limits Analysis and Simulation (SHOLAS) projects are being conducted at the National Research Council Canada (NRC) in collaboration with Defence Research and Development Canada (DRDC). This study presents a brief overview of a Canadian in-house ship airwake simulation capability combining in-house high-fidelity wind-tunnel tests, full-scale sea trials, high-order computational fluid dynamics (CFD) tools, and realistic engineering-oriented flight simulators. This paper reports challenges and lessons learned during the course of the study, discusses the current capabilities and limitations of the CFD tools and the infrastructure required, and evaluates the gaps and barriers in industry adoption by focusing on how they could be overcome based on our current practice. After validating the CFD results of an updated version of a simplified frigate shape (SFS2) and the real-world Canadian Patrol Frigate (CPF), which are in reasonable agreement with the available in-house wind-tunnel and sea-trial data, the developed approach was recently applied to the design of an undisclosed Canadian ship. Among other applications, CFD airwake results were used with confidence as input to produce representative airwake features in industrial high-fidelity piloted flight simulators.
1. Introduction
Background: Shipboard helicopters play an important role for commerce and military interests. Because of the nature of bluff-body aerodynamics, ship–helicopter interactions are complex; see Shukla et al. [] who conducted a comprehensive review in ship–helicopter coupled airwake aerodynamics. The present study attempts to identify and bridge the gaps between the needs of the ship–helicopter industry, where the application and adoption of CFD techniques would provide the greatest benefits for the development of future ships, and the current capabilities of the CFD codes and the infrastructure required to use them. Table 1 lists some related and/or supportive studies.

Table 1.
Brief of previous studies in ship airwake aerodynamics.
Objective: This paper aims to demonstrate the current capability of applying high-fidelity CFD techniques to industry, defence, ship design, shipboard helicopter operations, and flight simulators. Shipboard operations are among the most challenging of any piloting task for fixed or rotary wing aircraft (Polsky [,]; Forrest et al. []). The launch and recovery of helicopters are often performed from the landing decks of ships, which are subject to motions in six degrees of freedom. The difficulty is increased given that the landing deck is often immersed in the unsteady ship airwake. Because of the nature of bluff bodies, the separated flow and shedding vortices interact and result in an unsteady airwake with highly turbulent structures which can significantly increase the difficulty associated with helicopter launch and recovery manoeuvres. This work has applications for aircraft flight in complex flow fields beyond the ship airwake and is pertinent to other sectors of the aviation industry.
Benefits: This technology developed herein is important for simulation of aircraft operations in complex flow fields created by bluff-body structures such as a ship superstructure or an urban landscape. Simulation provides a capability to test new ship and aircraft designs before building them and has the potential to support the estimation of the operational limits prior to full-scale trials (Polsky and Wilkinson []; Forrest and Owen []). In commercial-flight applications, a level D aircraft simulator does not need to include complex flow fields because commercial aviation currently focusses on smooth flows and clear air turbulence, but simulators for specialized military applications need this kind of information. A key area that affects simulation fidelity is the modelling of ship airwake flows, which is not a trivial computational task. At-sea and wind-tunnel measurements can be used to provide data from which airwake models can be generated. A major limitation with wind tunnels is that one cannot fully correlate flow fields continuously in three dimensions since measurement techniques are usually point-wise or plane-wise sampling. At-sea flight testing is both labour and equipment intensive, requiring a dedicated ship and potentially multiple aircraft for days or weeks (Hodge et al. []). As a result, CFD is increasingly used for modelling ship airwake because the simulations can provide many correlated cloud grid points within the flow field and a number of simulations for different conditions can be performed at the same time to reduce testing time and costs. As unmanned aerial vehicles (UAVs) become more advanced, technology developments surrounding their use in urban environments are increasingly in demand. With increasing movement toward urban air mobility and because an urban wind environment has a lot in common with ship flows, likely CFD development and application will be required.
Barriers: The major technical barriers to a wider adoption of CFD for industrial ship design and flight simulations, both for shipboard and urban air applications, are accuracy, reliability, speed, and affordability. The airflow past ships is normally at a low Mach number or nearly incompressible. A significant difficulty of incompressible flow calculations is that the continuity equation is not given in a time evolution form of density. Compressible flow solvers do not generally work well for flow simulation past ships because incompressible solutions converge quite slowly, especially when the grid is refined. As Ferziger and Perić [] pointed out, at high Mach numbers, the computing time increases almost linearly with the number of grid points as the grid size increases. The exponent is approximately 1.1, compared to approximately 1.8 in the case of incompressible flows, which results in costly and time-consuming simulations for low-Mach-number or incompressible flows.
Capabilities and limitations: The airwake flow over the flight deck or in a cityscape is massively separated and unsteady. The simulations must be time-accurate, which is time consuming and costly. Since military ships are large in size when compared to aircraft, the Reynolds number is of the order of 108. It is not feasible to resolve the flow past the ship using direct numerical simulations (DNS); however, it is unacceptable to perform the CFD simulations using an inviscid Euler solver for separated flows. Moreover, the superstructures of ships contain multiple bluff-body structures. The flows past and around the multi-bluff body structures interact and often cause numerical instabilities. Furthermore, ship motion increases the difficulties in handling the grid motion in time-accurate CFD simulations. Because the ship airwake flow separation is mainly inertia-driven and the separation points are fixed by the model sharp edges rather than caused by boundary layer separation, detached-eddy simulation (DES) is suitable for this kind of bluff-body aerodynamic flow. Although the urban landscape does not experience motions like ships caused by the water waves, the geometry is more complex than a navy ship and therefore the challenges in the application of CFD to urban air mobility are similar.
Dependable and affordable high-fidelity CFD: In this study, sufficient accuracy and reliability were obtained through a rigorous validation process by combining the results from in-house computational, wind-tunnel, and sea-trial tests. To speed up the computations, parallel computing was employed using as many CPU cores as possible. The open-source software OpenFOAM was applied in this study, meaning that there was no restriction or costs to adding CPU power to the problem, which is a significant cost barrier when using commercial CFD codes for larger industrial and defence problems where additional license costs escalate with the number of CPU cores used.
Approaches to improve the fidelity of flight simulation: For commercial and defence simulator applications, the physics-based approach calculates the forces on the simulated aircraft by consulting a look-up table of the flow information based on the CFD simulations. In parallel, we are developing engineering models to simplify the determination of the forces on the aircraft.
This paper documents the development of a CFD capability to calculate in a reliable and affordable manner ship airwake flows for industrial and defence shipboard helicopter operations. After a brief description of the CFD validation using the SFS2 (a simple frigate shape) data, investigations of a number of more realistic ship geometries are reported, including a number of challenges and subsequent lessons learned. At the end, in-flight simulator applications of ship CFD data are demonstrated. Further technology development will continue using the generic destroyer (DG), as proposed by Owen et al. [] and Wall et al. [].
2. CFD Method and Validation Using SFS2
The open-source CFD code, OpenFOAM, was applied to compute three-dimensional (3D) unsteady incompressible flows past ship models. The OpenFOAM pressure-based Navier–Stokes solver, pimpleFoam, was used in this study. OpenFOAM applies the integral form of the conservation laws of mass and momentum on a transparent (structured/unstructured) grid. A fully implicit second-order temporal differencing scheme was implemented in the discretization. The discretization of the convective and diffusive fluxes was carried out in a co-located variable arrangement using a finite-volume approach, which was second-order accurate in space. The coupling of the pressure and velocity was handled using modified SIMPLE algorithms in the computations. OpenFOAM’s pimpleFoam uses a hybrid PISO-SIMPLE (PIMPLE) algorithm, allowing for relatively large time steps. Because of the nature of the bluff-body aerodynamics, delayed detached eddy simulation (DDES) was employed to model the turbulence (Spalart et al. []).
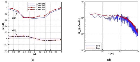
To validate the CFD results, OpenFOAM (2014) [] was applied to SFS2 flow simulations. SFS2 is an updated version of the simple frigate shape (SFS) with a more elongated superstructure and pointed bow compared to the original SFS. The SFS is a conceptual standard ship design originally proposed by a ship airwake modelling working group within The Technical Co-operation Program (TTCP) to provide an easily repeatable benchmark case for validating CFD codes for ship airwake applications (Wilkinson et al. []). At full scale, the SFS2 is 455 feet long (138.68 m) and 45 feet (13.72 m) wide; details of the geometry are described by Zan []. Detailed numerical simulation and validation against wind-tunnel data, including mean velocities, turbulence intensities, and power spectral density, were reported by Yuan et al. []. Selected results from Yuan et al. [] are replicated in Figure 1.


Figure 1.
Computed results for the SFS 2 model at headwind condition (Yuan et al. []). (a) Pressure distribution on ship surface. (b) Pressure distribution on the mid-plane. (c) Mean velocity. (d) Power spectra of the streamwise velocity.
Figure 1 demonstrates the mean pressure coefficient distributions on the SFS2 surfaces and on the mid-plane along the ship for the headwind condition. It also compares the computed results with the available in-house wind-tunnel data, including mean longitudinal and lateral velocities at the hangar height on a mid-cross-section in the ship airwake over the flight deck and the power spectral density plots of the longitudinal velocity at a representative wake location. All of the trends measured in the wind-tunnel data were generally replicated by CFD. The computational and experimental simulations showed a typical reduction in velocity within the wake behind the hangar and significant gradients in the velocity components, which are known to affect helicopter operations. The maximum discrepancy of the mean velocity between the CFD and the experimental results is approximately 5%, which represents excellent agreement for this application. Other analyses of both computational and experimental errors and uncertainties for cross-wind conditions were also analyzed in detail in Yuan et al. [].
3. Challenges and Lessons Learned
3.1. Complexity of Ship Geometry
The NRC has been supporting the Royal Canadian Air Force and Royal Canadian Navy in various aspects of helicopter operation in the airwake of the real-world Canadian Patrol Frigate (CPF) for many years. The first of the major challenges faced was the complexity of the ship geometry, which affected meshing and impacted the numerical stability. The computational setups were similar to those used in the SFS2 simulations. Because the smallest dimensions of some structures are 0.38 cm (0.15 in) for the real full-scale CPF, the simulations were performed at full scale to keep the original geometry without further modifications and solution values at a reasonable magnitude greater than machine zero. Owing to the complexity of the CPF superstructure features, unstructured grids were used near the ship (above water), except in the airwake where a structured grid block was employed, as demonstrated in Figure 2a. This form of hybrid grid eased the mesh generation, in particular when the masts were included. The grid spacing in the ship airwake was 25 cm (10 in) at full scale, which was 20% smaller than the one used for the aforementioned SFS2 simulations (Yuan et al. []) and thus comparable to the spacing of the fine mesh used by Forrest and Owen [] for the SFS2 geometry. As a result, the final grid consisted of 61.2 million cells for the complete above-water ship with inclusion of the masts. To evaluate the mast effects, another mesh with exclusion of the masts was generated.

Figure 2.
CPF models used in the present CFD study. (a) Surface meshes. (b) Masts. (c) With-masts model. (d) No-mast model.
It is well known that the superstructure affects the ship airwake aerodynamics. Forrest et al. [] evaluated ship superstructure aerodynamics for maritime helicopter operations through CFD and flight simulation. In this study, difficulties were experienced when meshing the masts that have over 13,000 CAD entities (Figure 2b). The local spacing around the masts was determined according to the dimensions of the small structures, to ensure that every small structure had at least one control cell on its surface. Polsky [] mentioned that small geometric features such as antennae and masts can influence the turbulent wake signature behind large naval vessels. Polsky and Ghee [] developed internal boundary conditions for antenna mast wake predictions. However, only the near wake immediately behind a single antenna model was investigated in their work; the effect on the complete ship airwake was inconclusive. In order to evaluate the effects of the CPF masts on the ship airwake flows, two CPF configurations were used for the present CFD study—one with the original masts and the other with the masts omitted, as shown in Figure 2c,d, respectively, where the instantaneous pressure distributions on the ship surfaces are depicted. As a result, the final grid consisted of 28.5 million cells for the no-mast case.
The freestream speed U∞ was set to 20 m/s in the computations, which is in the mid-range wind speed for helicopter operations. The freestream turbulence intensity was set to 10% for the CFD simulations, which is close to the 9% measured in wind-tunnel tests of the CPF model. In this study, computations were carried out for a headwind and a Red 20° wind condition (red winds are relative winds coming from the port side, green winds from the starboard side). Because of the multiple complex bluff-body structures, numerical instabilities were encountered in the computations when using the second-order central differencing scheme that was employed for the SFS2 geometry. Instead, a linear-upwind stabilized transport (LUST) scheme was used for the no-mast case and a linear-upwind scheme for the with-masts case. The computations were started from a uniform flow set as the freestream. A timestep of 1 × 10−3 s was used in the current CFD work, which resulted in a non-dimensional timestep CFLmax~4 (detected at the masts rather than in the ship airwake). The computations were performed for 60 s of physical time, resulting in nine units of flow-through time (ls/U∞), with the last 50 s used for sampling. The computed results were compared with the available wind-tunnel data of a 1:50-scale CPF model. In the experiment, three points in the airwake (located starboard, port, and at mid-deck in the CPF airwake, at a height and longitudinal location close to the rotor disc in high hover), were set up for velocity measurements using Cobra probes (Yuan et al. []).
Table 2 shows computed results for both the with-masts and no-mast configurations using the linear-upwind scheme. Three probes were positioned in the middle of the airwake at a height and longitudinal location close to the rotor disc in high hover. Pitch and yaw angles are introduced to describe the flow directions in the body-axis coordinate system defined in Figure 2c,d. The computations over-predicted the mean velocity at the starboard and mid-point locations. However, in general, the results of the with-masts configuration are closer to the experimental data. This comparison numerically confirms the evidence of the masts effect. On the other hand, omitting structures such as masts may improve the numerical stability and thus could allow the application of more accurate numerical schemes as a trade-off. The mean velocity obtained using the linear-upwind scheme for the no-mast configuration showed larger discrepancies from the experimental data when compared with the LUST scheme, as expected, indicating that the numerical scheme plays an important role in this study. Nevertheless, validation against at-sea and wind-tunnel tests is the only way to check the adequacy of omission, depending on the focus of interest. Combined computational and experimental simulations provide a reliable means for real-world ship airwake investigations.

Table 2.
Mean velocity magnitude (U/U∞), pitch θ [°], and yaw ψ [°] in CPF airwake with red 20° wind.
While quantitative differences in airwake results are the focus of this study, small differences not affecting helicopter operations can be practically neglected. Studies with and without masts using the technology described in McTavish et al. [] indicate that the CPF masts have a negligible effect on helicopter operations. As a concluding remark, the mesh without masts has been used for the majority of CPF airwake flow analyses supporting helicopter landings and take-offs from the frigate deck.
While deviations shown in Table 2 may indicate limitations of the current CFD capability for simulations with crosswinds or oblique wind angles, the discrepancies among the CFD results are within the expectations while they showed impacts of geometric changes and variation of numeric schemes. In pursuit of a balance between efficiency and accuracy, all three CFD simulations were performed on the meshes with the same grid resolution in the airwakes (focus region following Spalart []). The mesh resolution was decided based on Forrest and Owen’s [] grid refinement study with a scaling factor of for the SFS2, where three grids had spacings of 25 cm, 35 cm, and 50 cm in the ship airwake over the flight deck. Little difference was found between the results. The timestep dependency study was reported in Yuan et al. [].
It should also be noted that the Green 20° case is relatively complex for both computations and experiments. Technical issues from experimental aspects were discussed in a previous publication (Yuan et al. []). For the experimental measurements for the Red 20° wind condition, a significant portion of the instantaneous flow measurements in the airwake of the CPF occurred beyond the ±45° acceptance cone of the probe due to the highly turbulent nature of the airwake. Therefore, direct comparison of the measured orthogonal unsteady and mean values is not possible. In addition to the conversion of the computational data to U, θ, and ψ as was applied to Table 2, probability distributions of these quantities were introduced for comparison and analysis. The probability distributions showed equivalent agreement with the analysis based on Table 2, conforming to our confidence in the computed results. Detailed discussions can be found in Yuan et al. [].
3.2. Transient Time Period and Time Integration
The second challenge faced in CFD-aided ship design and helicopter operations was the long transient time period that needs to be removed for the final statistical analysis. Initial solutions can affect the flow field in the numerical simulations. Statistics are computed after the flow reaches a statistically stationary state. Conventionally, the flow-through time (c/U∞) is used to help decide how to truncate the transient process, where c is a chord length of a representative airfoil. In the DNS performed by Shan et al. [] for a 2D NACA 0012 airfoil at an angle of attack of four degrees, the amplitude of the velocity oscillations stayed at a certain level without significant change in time after the flow was established at t = 10c/U∞. In a large eddy simulation (LES) of flow around an airfoil near stall (Mary and Sagaut []), around six time units were necessary to get a well-established unsteady solution from the initial steady Reynolds-averaged Navier–Stokes (RANS) solution, while the application of LES using a coarser mesh as an initial solution limited the initial transient to 1.5 time units. For computing mean quantities, the averaging procedure was performed in the homogeneous spanwise direction and in time over a period of 2.4c/U∞ in the work of Mary and Sagaut [].
In the SFS2 airwake study, Forrest and Owen [] used 2.3 flow-through time units (ls/U∞) to remove transients before unsteady sampling began, and the flow statistics were then averaged over the next 9 units of flow-through time. Analysing the data published by Yuan et al. [], Figure 3a,b illustrate the time histories of the velocities at two locations in the SFS2 airwake, namely at a probe location at the middle over the flight deck and at a location that is 15 cm (at full scale) away from the coordinate origin located on the centreline of the flight deck at the intersection of the flight deck surface and the aft face of the hangar. As can be seen in the figures, flow in the ship airwake reached a statistically stationary state after two units of flow-through time at the probe location. However, near the coordinate origin, the statistically dead flow did not reach a statistically stationary state until 15 flow-through time units. As a result, the statistical analysis was conducted by removing 16 time units. An alternative to evaluate if the simulation reached the statistically steady state is to check the maximum CFL number outputted by OpenFOAM. Figure 3c illustrates the time history of the maximum CFL number of the CPF, which indicates that the CPF simulation reached a steady state after ~3 flow-through time units; however, this is configuration dependent. As shown in Figure 3d, the time history of the maximum CFL number of the CFD simulations conducted for an undisclosed Canadian ship (Canadian ship A in this study) reached a steady state after ~9 flow-through time units, which is a long time period resulting in high CPU cost for the complex geometry. Since truncation of the transient period is configuration dependent, one has to check it case by case. Parallel computing is a practical mechanism to overcome the challenge of speeding up the computational time.

Figure 3.
Time histories of velocity. (a) SFS2, longitudinal and lateral velocity components u and v at a middle location over flight deck at a headwind condition. (b) SFS2, longitudinal and lateral velocity components u and v near intersection of the flight deck and hangar aft face. (c) CPF, max. CFL number at Green 30°. (d) Canadian ship A, max. CFL at Green 30°.
All the static computations reported so far were carried out on 64 processors using the parallelized OpenFOAM pimpleFoam solver. As the capability development turned to investigate complex ship configurations in production mode, the parallelization performance of the pimpleFoam solver had to be evaluated to manage the CFD simulations efficiently. An evaluation was conducted for the CPF, without masts, at 25 m/s. The mesh had 28.5 million control cells.
Table 3 summarizes the results of the evaluation tests. The use of 96 processors reduced the clock time of the computations by about 30% when compared with the nominal case using 64 processors. Additional processors added extra overhead due to the data transfer between the processors, and therefore the computations using 128 and 256 processors did not achieve a gain in speed-up efficiency or clock time. In addition, the use of more processors means decomposition of the computational domain into more subdomains, thus generating more decomposed matrices. Decomposed matrices cannot mathematically retain the same characteristics as the original matrix, possibly causing numerical instability in the computations or slower convergence.

Table 3.
Efficiency of OpenFOAM parallelization for a test case of the CPF at headwind condition with 28.5 million cells.
The speed-up factor divided by the ideal speed-up (equal to the number of partitions) is the speed-up efficiency. The parallel computing performance is case and facility dependent, and for Canadian ship A, the parallel computing performance differed slightly (Table 4 and Table 5). The mesh for the ship consisted of about 43 million cells. The clock time for each simulation was compared against the 64-processor run data to estimate the total speed-up factor. The performance revealed nearly linear scalability up to 160 processors. After 160 processors, the performance showed an obvious drop in speed-up efficiency. Nevertheless, parallel computing using more than 160 processors still achieved gains in speed-up; 240 processors were used in a recent campaign supporting a new ship design referred to here as “Canadian ship A”.

Table 4.
Efficiency of OpenFOAM parallelization for a test case of the Canadian ship A at headwind with 43.4 million cells.

Table 5.
Efficiency of OpenFOAM parallelization for a test case of the Canadian ship A at R15° wind with 43.4 million cells.
It should be noted that a critical issue connected with parallel computations in production mode is the license availability if commercial CFD software is used. OpenFOAM was selected for its cost-effectiveness because it obviates the cost and restrictions that CFD users encounter with commercial CFD software licenses.
3.3. Ship Motion
Zan [] suspected that ship motion effects on the airwake could play an important role when large amplitude ship motions are present. The challenge for simulating flows past ships in motion is to handle the mesh deformation around the complex ship geometry. Yuan et al. [] used a solid-body mesh solver for the CPF in motion because a new capability using a radial basis function (RBF) added to OpenFOAM to compute motion-induced effects currently works only for oscillating airfoils. For illustration, the computed results are compared against representative wind-tunnel and available sea-trial flight test data.
Wall et al. [] conducted wind-tunnel and sea-trial tests to investigate the airwake flows behind the CPF in motion. Figure 4a shows the setup of the CPF model in the wind tunnel and its ship-motion system in the test section. Spires placed at the entrance of the test section created a simulation of the atmospheric boundary layer. The frigate model was a 1:50-scale above-water model of the CPF. Three Cobra probes—starboard, centre, and port—were placed inline at a distance of 14 m at full scale from the hangar face. An additional Cobra probe was placed directly downstream of the centre probe. Five elevation configurations were investigated to survey the airwake, representing full-scale heights from 5.5 m to 9.5 m above the flight deck. The wind-tunnel airwake measurements were acquired at a sampling rate of 5000 Hz, with a low-pass filter frequency of 1505 Hz. During a full-scale sea trial of the CPF, the flight deck was instrumented with four 10 m tall masts and each mast was equipped with five 3D ultrasonic anemometers as shown in Figure 4b. Other reference anemometers and various logging equipment for ship motion, speed, and course were also installed for the trial.

Figure 4.
Combined experimental and computational investigation of the CPF in motion. (a) Setup of the oscillating CPF model in the wind tunnel. (b) Corresponding anemometer support masts on flight deck at sea trial. (c) Mean velocity vector and standard deviation in the CPF flight deck wake for roll conditions; red—wind tunnel, blue—CFD, black—sea trial.
Sinusoidal ship-motion profiles were used to understand the basic effects of motion resulting from a parametric variation in the amplitude and frequency of the motion. Simple sinusoidal profiles consisted of motion for one degree of freedom (one-DOF) only (heave, roll, or pitch). The motion frequency was 0.08 Hz at full scale. The amplitudes were 1.5 m for the heave, 3.4° for the pitch, and 5° for the roll conditions, respectively. Multi-DOF motions were measured as well, using combined sinusoidal profiles, which consisted of motion for two- or three-DOF; realistic profiles were also developed by DRDC using typical seaway characteristics. Some of the preliminary results were published in Yuan et al. [].
The airwake of the CPF was investigated using combined in-house experimental and computational simulations as discussed above. Figure 4c illustrates the velocity vectors and their standard deviations in the CPF flight deck wake at the locations as indicated in Figure 4a,b when the ship was in roll motion. In general, the validation between the methods demonstrated consistent trends and reasonable accuracy in computed values, all of which indicate that the CFD (and wind tunnel) results represent this shipboard environment for the purposes as adopted in Canada.
Table 6 compares selected computed results against equivalent experimental wind-tunnel data, in terms of the mean values of the normalized flow velocity magnitude, pitch, and yaw, and their fluctuations. In general, the computed results compare well to the experimental data for both static and motion conditions, although the CFD results show less unsteadiness than the experimental results do. With the exception of flow unsteadiness, which must be higher to achieve the appropriate level of fidelity, the level of agreement shown in the table is consistent with the desired level.

Table 6.
Mean velocity and fluctuations of velocity in the airwake over the flight deck behind the CPF in motion, at location C5 in Figure 4b—the highest elevation (z = 9.5 m) of the centre probe (x = 14 m).
Table 6 reveals that the ship motion intensified the flow fluctuations over the flight deck, in both magnitude and direction (pitch and yaw), with the strongest influence due to the ship pitch motion. The relative discrepancy between the CFD and wind-tunnel data is not consistent, which means that the current CFD capability still has room for improvement by investigating the strengths and weaknesses of the different computational approaches. Table 6 also shows that oblique wind angles amplified the flow directional fluctuations in the airwake over the flight deck. Table 6 demonstrates the impacts of different motions and validates that the current CFD simulations can reproduce the qualitative trend across the motion cases tested.
Figure 5 shows the differences in the spectra of the centre probe at the height of the rotor plane in helicopter high hover for three simple sinusoidal cases: heave, roll, and pitch. The spectra of the flow speed magnitudes showed periodic responses at the motion frequency. Pitch motion had the most significant impact on the airwake, while heave had lesser and roll had minimal impact at headwind conditions. Although the computed magnitude of the oscillations was higher, the current CFD predicted similar trends between the ship motions, which are comparable to the experimental ones, with lower overall energy, consistent with the results in Table 6. The wind-tunnel test cases were all 2 min long for the 1:50 model, which was equivalent to 50 min at full scale. This time series allowed for many FFT windows one after another and then multiple averaging. However, the CFD simulations collected the probe data for only 62.5 s or 5 motion cycles for the full-scale frigate, which was believed not long enough for a quantitative spectra analysis. Yuan et al. [] used ~16 oscillation cycles and showed promising spectra results for an aeroelastic problem. It will be further investigated in the near future to check if 16 cycles would be good enough for ship motion analysis. It is believed that the spectra will be more accurate with longer time series, which has been true for spectra for stationary ships studied in other work.

Figure 5.
Effect of ship motion on airwakes—spectra of a probe in the airwake middle at the height of the rotor plane in helicopter high hover, adopted from Yuan et al. [].
4. Application of CFD Data to Piloted Flight Simulators
Ship airwake CFD results are used for a number of different types of analysis. However, one of the most powerful applications is using them for high-fidelity piloted flight simulation in shipboard environments, which is similar to Forrest et al. [], Hodge et al. [], and Oruc et al. []. For simulator applications, CFD results could be used in two ways. The physics-based approach would allow the CFD to calculate the forces on the simulated aircraft by consulting a look-up table of the flow information. Nevertheless, engineering models could also be used to simplify the determination of the forces on the aircraft, as detailed below.
4.1. Flight Simulator Look-Up Table
The unsteady CFD simulations produced large quantities of time-varying data for airwake velocities. It is challenging to save the unsteady flow quantities for the entire flight deck for all of the timesteps. Practically, solutions are stored as a look-up table in an “extraction box”, as demonstrated in Figure 6, which is a predetermined regular grid where a certain time series is stored for each grid point. Typically, airwake data are solved for a certain number of seconds, and then that data are played back in a loop with smoothing to keep the data set a manageable size. In order for look-up tables to work appropriately, the helicopter rotor modelling must be of sufficient fidelity to include changing wind measurements across the rotor at each simulation time step. In general, this means that the rotor models require multiple elements per blade where aerodynamic forces are calculated. Not all simulator-ready aircraft models include this capability.

Figure 6.
CPF extraction box for the flight simulator look-up tables.
For validation purposes, particle image velocimetry (PIV) was used to measure the plane-wise flow characteristics in the CPF airwake. Due to the low availability of laser light in the large wind-tunnel facility, the uncertainties in the lateral flow component and unsteady flow components were too high to present. Longitudinal (u) and vertical (w) flow components, over a small window in the ship’s airwake, were shown to be of satisfactory quality for CFD validation. Figure 7 illustrates the planes laid out over the CPF flight deck for the PIV measurements. All PIV data were acquired using the LaVision Stereoscopic (3D) PIV equipment and software package. PIV data were collected for 15 vertical-longitudinal planes (x-z planes in the ship coordinate system). For the sake of brevity, only five planes as shown in the figure are discussed in this paper. A total of 700 image pairs were acquired at each measurement plane for each incident wind angle and tunnel speed.

Figure 7.
Layout of the PIV measurement planes located in the CPF ship airwake.
Figure 8 compares the flowfield with a headwind for the selected portside planes in the ship airwake, which cross-checks the data within the extracted box. When compared with PIV results, the computed results capture the major features of the flow. For the headwind case, a reduction in longitudinal velocity can be seen near the centre, within the wake behind the hangar. Significant gradients exist in the time-averaged values of the velocity components, which would affect the trim of the helicopter. The CFD-predicted separation zone was slightly smaller than what is shown in the PIV results. The results from CFD configurations both with and without the masts are reasonably comparable. The flow field for Red 20° wind was reported in Yuan et al. []. This test case was much more challenging because the oblique wind intensifies the complexity of the separated flow. Nevertheless, the CFD results match the PIV results well in general. The velocity deficit and gradients were reasonably predicted. The prediction of the separation zone using the no-mast configuration was even better than that observed for the with-masts case. This was mainly attributed to the applied numerical scheme.

Figure 8.
CPF airwake data on x-z planes at constant y-coordinates, longitudinal mean flow, headwind, flow from right to left, and dimensions in meters, and the coordinate origin is located on the centreline of the flight deck at the intersection of the flight deck surface and the aft face of the hangar as shown in Figure 2c,d.
4.2. Airwake Load Modelling for Flight Simulation
Using CFD to expand the helicopter loading model relies on the idea that the unsteadiness in the flow field, averaged over some target area, is related to the helicopter unsteady loads. This concept was previously introduced by McTavish et al. [], where an experimental apparatus for measuring helicopter unsteady loads, particularly rotor loads, was introduced, and results comparing rotor loads and average flow turbulence were given.
In situations where the simulator model does not include the ability to calculate complex loading from time-accurate CFD solutions, the airwake properties could be converted to overall aircraft loading using engineering models relating loading and airwake properties. As such, the results of a complex airwake could be applied to an aircraft model as a resultant load requiring only one vehicle element in the simulator model. To preserve the unsteady nature of the loading, a method such as the advancing Fourier series method developed by Wall et al. [] could be used.
Using recent CFD results, this relationship was investigated by comparing unsteady rotor loads and the average turbulence as calculated from the CFD results in a rectangular volume approximately encompassing the rotor disc area. Figure 9 shows the relationship for a number of different wind directions (left plot) and helicopter positions (right plot). The figure shows the vertical unsteady force versus the unsteady flow quantity in groups corresponding to different wind speeds (each line) for different rotor positions (line type) and wind directions (line colour). This relationship was used to build a small-sized database when compared with the CFD data of the extraction box for the use of flight simulators.

Figure 9.
Relationship between unsteady loads and computed turbulence on rotor disc planes; each line represents a wind speed, line type for different rotor positions, and line colour for directions.
5. Conclusions
This study combined in-house computational and experimental simulations to provide a reliable but affordable means for real-world ship airwake investigations, in support of Canadian industrial ship design and navy flight simulator development and application. Cross comparison between computational and experimental results provides an efficient way to apply and improve CFD algorithms and code development. It also serves as an effective method to reach a balance between reliability and affordability when applying CFD to engineering applications for real-world configurations.
In particular, a high-fidelity CFD capability was developed and confirmed to aid the Canadian navy and air force to ensure safe offshore ship–helicopter operations. The barriers of wider adoption of CFD for ship design and helicopter operation and its capabilities and limitations were discussed in detail in the introduction. Based on the current study, the approaches to fill the technical gaps and to overcome the barriers in reliable but affordable CFD applications to ship design and helicopter operation are summarized as follows:
Accuracy: As discussed in the introduction, it is infeasible to resolve the flow past the ship using DNS; however, it is reasonable to perform CFD simulations using an inviscid Euler solver for separated flows. Because the ship airwake flow separation is mainly inertia-driven and the separation points are fixed around the model’s sharp edges rather than caused by boundary layer separation, DES is suitable for this kind of bluff-body aerodynamic flow. The grid spacing should prevail over the focus region (here airwake). Spalart [] advocated very similar grid spacing in the three directions or cubic grid cells since the flow field is filtered with a length scale proportional to the grid spacing in DES. Therefore, a structured block over the flight deck was used for all simulations in this study. A 30 cm (one-foot) grid spacing at full scale is recommended in the airwake region over the flight deck, which provides a good balance between accuracy and affordability. The accuracy was confirmed by the CFD practice used for the SFS2. This value of the grid spacing in the wake region is comparable to the 35 cm used in Forrest and Owen’s [] work after their grid refinement study. Considering that the superstructure geometry of real-world ships is more complex, a 25 cm spacing was used for all Canadian ships in this study.
Reliability: In this study, sufficient accuracy and reliability were obtained through a rigorous validation process by combining the Canadian in-house computational simulations, wind-tunnel measurements, and sea-trial tests. In particular, aggressive simplification of configuration or improper time truncation may affect the simulation reliability.
- (1)
- Geometry of the ship superstructure affects the airwake aerodynamics. However, the complexity of small structures, on the other hand, may influence the numerical instability of the computations. Exclusion of non-critical small structures may improve the numerical stability and thus allow the use of higher-order or more accurate numerical schemes, which would increase results accuracy and simulation reliability. However, omitting small geometric features is configuration dependent, and it should be verified by combined numerical and experimental investigations.
- (2)
- In terms of time truncation and integration, the current practice showed that three to nine units of flow-through time are required for removing transient periods before sampling begins. The values are higher than the 2.4 units used for the SFS2 by Forrest and Owen []. Appropriateness of the compromise between reliability and affordability can be cross-checked using the available experimental data.
Speed: To speed up the computations, parallel computing was employed using as many CPU cores as possible, thanks to the use of the open-source software OpenFOAM with no restriction caused by a software license. However, the speed-up efficiency is dependent on the computational facilities and ship configurations. Low speed-up efficiency may mean inefficient use of computational resources. According to our current practises, 240 processors are the best start for a good balance between computational speed and CPU cost.
Affordability: When using commercial CFD codes for larger industrial and defence problems, additional license costs escalate with the number of CPU cores used, which is a significant cost barrier. The successful application of open-source tools minimized the restrictions or costs when adding CPU power to the problem. The open-source software also provides an opportunity to improve numerical accuracy and expand the CFD capability by developing additional individual libraries when needed, which reduces costs in code development by focusing on the priority techniques.
Capabilities and limitations: With the current capabilities, it is possible to generate CFD results within a few days for airwake behind static ships. However, ship motions make CFD simulations more difficult from both accuracy and affordability points of view. In addition, the data collection within the extraction box to be used for flight simulators may possess another technical issue in real-world engineering applications. Current data were collected based on the ship body-axis coordinates. Some flight simulators may require the data allocated in the stationary global coordinate frame. This requires searching for new control cells and updating the new locations of the sampling points on the moving grid. This searching and interpolation process may result in huge CPU costs for large-sized extraction boxes. New techniques need to be developed either to accelerate the point-searching process in the CFD code or to convert the data from ship coordinates to the stationary global coordinate system.
Author Contributions
Conceptualization, W.Y., A.W. and R.L.; methodology, W.Y., A.W. and R.L.; software, W.Y. and C.S.; validation, W.Y., A.W., E.T. and R.L.; formal analysis, W.Y., A.W. and E.T.; investigation, W.Y., C.S. and M.M.; resources, A.W. and E.T.; data curation, W.Y. and A.W.; writing—original draft preparation, W.Y. and A.W.; writing—review and editing, W.Y., A.W., E.T. and M.M.; visualization, W.Y. and A.W.; supervision, W.Y. and A.W.; project administration, A.W.; funding acquisition, A.W. and E.T. All authors have read and agreed to the published version of the manuscript.
Funding
Government of Canada.
Institutional Review Board Statement
Not applicable.
Informed Consent Statement
Not applicable.
Data Availability Statement
Not applicable.
Conflicts of Interest
The authors declare no conflict of interest.
References
- Shukla, S.; Sinha, S.; Singh, S. Ship-helo Coupled Airwake Aerodynamics: A Comprehensive Review. Prog. Aerosp. Sci. 2019, 106, 71–107. [Google Scholar] [CrossRef]
- Wilkinson, C.H.; Zan, S.J.; Gilbert, N.E.; Funk, J.D. Modeling and Simulation of Ship Air Wakes for Helicopter Operations—A Collaborative Venture. In Proceedings of the Symposium on Fluid Dynamics Problems of Vehicles Operating near or in the Air-sea Interface, NATO RTO-MP-15, Amsterdam, The Netherlands, 5 October 1998; pp. 8–1; 8–12. [Google Scholar]
- Zan, S.; Syms, G.; Cheney, B. Analysis of Patrol Frigate Air Wakes. In Proceedings of the NATO RTO-AVT Symposium on Fluid Dynamics Problems of Vehicles Operating near or in the Air-sea Interface, NATO RTO-MP-15, Amsterdam, The Netherland, 5–8 October 1998. [Google Scholar]
- Zan, S. On Aerodynamic Modelling and Simulation of the Dynamic Interface. Proc. Inst. Mech. Eng. Part. G J. Aerospace Eng. 2005, 219, 393–410. [Google Scholar] [CrossRef]
- Polsky, S.; Ghee, T.A. Application and Verification of Internal Boundary Conditions for Antenna Mast Wake Predictions. J. Wind. Eng. Ind. Aerodyn. 2008, 96, 817–830. [Google Scholar] [CrossRef]
- Syms, G. Simulation of Simplified-frigate Airwakes using a Lattice–Boltzmann Method. J. Wind. Eng. Ind. Aerodyn. 2008, 96, 1197–1206. [Google Scholar] [CrossRef]
- Forrest, J.; Owen, I. An Investigation of Ship Airwakes using Detached-Eddy Simulation. Comput. Fluids 2010, 39, 656–673. [Google Scholar] [CrossRef]
- Zhang, F.; Su, J. Numerical Investigation of the Interaction of the Airwake of an SFS 2 Ship with the Downwash of a Bell 412 Helicopter. In Proceedings of the Canadian Aeronautics and Space Institute Aerodynamics Symposium, Montreal, QC, Canada, 26 April 2011. [Google Scholar]
- Forrest, J.; Owen, I.; Padfield, G.; Hodge, S. Ship–Helicopter Operating Limits Prediction Using Piloted Flight Simulation and Time-Accurate Airwakes. J. Aircr. 2012, 49, 1020–1031. [Google Scholar] [CrossRef]
- Hodge, S.; Forrest, J.; Padfield, G.; Owen, I. Simulating the Environment at the Helicopter-ship Dynamic Interface: Research, Development and Application. Aeronaut. J. 2012, 116, 1155–1184. [Google Scholar] [CrossRef]
- Rajmohan, N.; Zhao, J.; He, C.; Polsky, S. Development of a Reduced Order Model to Study Rotor/Ship Aerodynamic Interaction. In Proceedings of the AIAA Modeling and Simulation Technologies Conference, AIAA-2015-0907, Kissimmee, FL, USA, 2 January 2015. [Google Scholar]
- Forrest, J.; Kaaria, C.; Owen, I. Evaluating Ship Superstructure Aerodynamics for Maritime Helicopter Operations through CFD and Flight Simulation. Aeronaut. J. 2016, 120, 1578–1603. [Google Scholar] [CrossRef]
- Oruc, I.; Horn, J.; Shipman, J.; Polsky, S. Towards Real-time Pilot-in-the-loop CFD Simulations of Helicopter/Ship Dynamic Interface. Int. J. Modeling Simul. Sci. Comput. 2017, 8, 1743005. [Google Scholar] [CrossRef]
- Yuan, W.; Wall, A.; Lee, R. Combined Numerical and Experimental Simulations of Unsteady Ship Airwakes. Comput. Fluids 2018, 172, 29–53. [Google Scholar] [CrossRef]
- Yuan, W.; Wall, A.; Lee, R. Simulations of Unsteady Airwakes behind Ships in Motion. In Proceedings of the 31st Congress of the International Council of the Aeronautical Sciences, Belo Horizonte, Brazil, 9–14 September 2018. [Google Scholar]
- Owen, I.; Lee, R.; Wall, A.; Fernandez, N. The NATO Generic Destroyer—A Shared Geometry for Collaborative Research into Modelling and Simulation of Shipboard Launch and Recovery. Ocean Eng. 2020, 228, 108428. [Google Scholar] [CrossRef]
- Lu, Y.; Chang, X.; Chuang, Z.; Xing, J.; Zhou, Z.; Zhang, X. Numerical Investigation of the Unsteady Coupling Airflow Impact of a Full-scale Warship with a Helicopter during Shipboard Landing. Eng. Appl. Comput. Fluid Mech. 2020, 14, 954–979. [Google Scholar] [CrossRef]
- Watson, N.; Owen, I.; White, M. Piloted Flight Simulation of Helicopter Recovery to the Queen Elizabeth Class Aircraft Carrier. J. Aircraft 2020, 57, 742–759. [Google Scholar] [CrossRef]
- Nisham, A.; Terziev, M.; Tezdogan, T.; Beard, T.; Incecik, A. Prediction of the Aerodynamic Behaviour of a Full-scale Naval Ship in Head Waves using Detached Eddy Simulation. Ocean Eng. 2021, 222, 108583. [Google Scholar] [CrossRef]
- Linton, D.; Thornber, B. Quantifying Uncertainty in Turbulence Resolving Ship Airwake Simulations. Ocean Eng. 2021, 222, 108983. [Google Scholar] [CrossRef]
- Wall, A.; Thornhill, E.; Barber, H.; McTavish, S.; Lee, R. Experimental Investigations into the Effect of At-sea Conditions on Ship Airwake Characteristics. J. Wind. Eng. Ind. Aerodyn. 2022, 223, 104933. [Google Scholar] [CrossRef]
- Setiawan, H.; Kevin; Philip, J.; Monty, J.P. Turbulence Characteristics of the Ship Air-wake with Two Different Topside Arrangements and Inflow Conditions. Ocean Eng. 2022, 260, 111931. [Google Scholar] [CrossRef]
- Polsky, S. Progress towards Modeling Ship/Aircraft Dynamic Interface. In Proceedings of the HPCMP Users Group Conference, IEEE Computer Society, Denver, CO, USA, 26–29 June 2006. [Google Scholar]
- Polsky, S. NAVAIR Airwake Modeling & More; HPC User Group Forum: Stuttgart, Germany, 2008. [Google Scholar]
- Polsky, S.; Wilkinson, C. A Computational Study of Outwash for a Helicopter Operating near a Vertical Face with Comparison to Experimental Data. In Proceedings of the AIAA Modeling and Simulation Technologies Conference, AIAA 2009–5684, Chicago, IL, USA, 10–13 August 2009. [Google Scholar]
- Ferziger, J.H.; Perić, M. Computational Methods for Fluid Dynamics; Springer: Berlin/Heidelberg, Germany, 1996. [Google Scholar]
- Wall, A.; Lee, R.; Barber, H.; Thornhill, E. The NATO Generic Destroyer—A Shared Geometry for Collaborative Research into Modelling and Simulation of Shipboard Launch and Recovery: Source Data. Open Science Canada. 2020. Available online: https://open.canada.ca/data/en/dataset/2c30e366ef2b-400e-8363-0b13e4a7b6f4 (accessed on 1 July 2022).
- Spalart, P.R.; Deck, S.; Shur, M.L.; Squires, K.D.; Strelets, M.K.; Travin, A. A New Version of Detached-eddy Simulation, Resistant to Ambiguous Grid Densities. Theor. Comput. Fluid Dyn. 2006, 20, 181–195. [Google Scholar] [CrossRef]
- Open FOAM. The Open Source CFD Toolbox, User Guide; Version 2.3.0; 2014; Available online: https://www.openfoam.com/documentation/user-guide (accessed on 1 July 2016).
- Polsky, S. Application and Verification of Sub-Grid Scale Boundary Conditions for the Prediction of Antenna Wake Flowfields. In Proceedings of the 5th International Colloquium on Bluff Body Aerodynamics and applications, Ottawa, ON, Canada, 11–15 July 2004. [Google Scholar]
- McTavish, S.; Wall, A.; Lee, R. A Methodology to Correlate Simulated Airwake Data and Unsteady Helicopter Load Measurements to Shipboard Helicopter Fight Test Data. In Proceedings of the 14th International Conference on Wind Engineering, Porto Alegre, Brazil, 21–26 June 2015. [Google Scholar]
- Spalart, P.R. Young-Person’s Guide to Detached-Eddy Simulation Grids. In Technical Report; NASA/CR-2001-211032; NASA: Washington, DC, USA, 2001. [Google Scholar]
- Shan, H.; Jiang, L.; Liu, C. Direct Numerical Simulation of Flow Separation around a NACA 0012 Airfoil. Comput. Fluids 2005, 34, 1096–1114. [Google Scholar] [CrossRef]
- Mary, I.; Sagaut, P. Large Eddy Simulation of Flow around an Airfoil near Stall. AIAA J. 2002, 40, 1139–1145. [Google Scholar] [CrossRef]
- Yuan, W.; Poirel, D.; Wang, B. Simulations of Pitch-heave Limit-cycle Oscillations at a Transitional Reynolds Number. AIAA J. 2013, 51, 1716–1732. [Google Scholar] [CrossRef]
- Wall, A.; Zan, S.; Langlois, R.; Afagh, F. Correlated Turbulence Modelling: An Advancing Fourier Series Method. J. Wind. Eng. Ind. Aerodyn. 2013, 123, 155–162. [Google Scholar] [CrossRef]
Publisher’s Note: MDPI stays neutral with regard to jurisdictional claims in published maps and institutional affiliations. |
© 2022 by the authors. Licensee MDPI, Basel, Switzerland. This article is an open access article distributed under the terms and conditions of the Creative Commons Attribution (CC BY) license (https://creativecommons.org/licenses/by/4.0/).