Spectral Kinetic-Energy Fluxes in the North Pacific: Definition Comparison and Normal- and Shear-Strain Decomposition
Abstract
:1. Introduction
2. Diagnostic Methods and Model
2.1. Definition of Spectral Kinetic-Energy Flux
2.1.1. Definition I: ΠQ
2.1.2. Definition II: ΠF
2.1.3. Definition III: ΠA
2.2. Model Solution: ECCO2 State Estimate
2.3. Data Processing Method
3. Results
3.1. Relation among Three Definitions of Spectral Kinetic-Energy Flux
3.2. Diagnostic Results from Three Spectral Flux Definitions
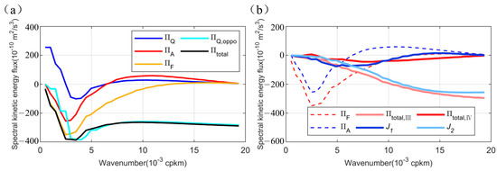
- For the ΠA case, the use of original velocity data generally leads to stable results. For spatial scale larger than Linj, ΠA is negative, meaning the energy transfers to larger scale. The opposite happens below Linj. The inverse cascade amplitude is generally larger in regions with a larger eddy kinetic energy. The value of Linj is larger in the Kuroshio Extension and Subtropical Countercurrent regions than that in the quiescent central regions (Figure 6). Also, the spectral kinetic-energy flux approaches zero as wavenumber approaches zero or infinity. Finally, data preprocessing has little effect on the overall cascade features.
- For the ΠF case, the use of the preprocessed data leads to significantly different results from that from the original velocity data. The original is generally non-zero at wavenumbers near zero, whereas the preprocessed approaches zero as wavenumbers approach zero. The energy injection scale inferred from ΠF differs significantly from those from ΠQ and ΠA, particularly in the Kuroshio Extension and central basin regions. Data preprocessing reduces the difference of Linj between the ΠA and ΠF definitions in the Kuroshio Extension regions, indicating that data preprocessing can weaken the influence of inhomogeneous flow on energy flux estimates.
- For the ΠQ case, the value of Linj is comparable to that from the ΠA definition. However, the spectral energy fluxes from the ΠQ definition are significantly different from ΠF and ΠA at small wavenumbers. This difference arises because ΠQ includes spatial energy transport. Data preprocessing reduces the difference in spectral energy fluxes between the ΠQ definition and the other two definitions (Figure 5 and Figure 7).
3.3. The Normal-Strain and Shear-Strain Decomposition of Spectral Kinetic-Energy Flux
4. Conclusions
Author Contributions
Funding
Institutional Review Board Statement
Informed Consent Statement
Data Availability Statement
Acknowledgments
Conflicts of Interest
References
- Qiu, B.; Scott, R.B.; Chen, S.M. Length scales of eddy generation and nonlinear evolution of the seasonally modulated South Pacific Subtropical Countercurrent. J. Phys. Oceanogr. 2008, 38, 1515–1528. [Google Scholar] [CrossRef]
- Zhang, Z.G.; Zhang, Y.; Wang, W.; Huang, R.X. Universal structure of mesoscale eddies in the ocean. Geophys. Res. Lett. 2013, 40, 3677–3681. [Google Scholar] [CrossRef]
- Gill, A.E. Atmosphere–Ocean Dynamics; Academic Press: New York, NY, USA, 1982; p. 662. [Google Scholar]
- Pedlosky, J. Geophysical Fluid Dynamics; Springer: New York, NY, USA, 1987; p. 710. [Google Scholar]
- Taylor, G. Observations and Speculations on the Nature of Turbulent Motion; Cambridge University Press: New York, NY, USA, 1917; p. 69. [Google Scholar]
- Charney, J.G. Geostrophic Turbulence. J. Atmos. Sci. 1971, 28, 1087–1095. [Google Scholar] [CrossRef]
- Salmon, R. Two-layer quasi-geostrophic turbulence in a simple special case. Geophys. Astrophys. Fluid Dyn. 1978, 10, 25–52. [Google Scholar] [CrossRef]
- Salmon, R. Baroclinic instability and geostrophic turbulence. Geophys. Astrophys. Fluid Dyn. 1980, 15, 167–211. [Google Scholar] [CrossRef]
- Salmon, R.L. Lecture on Geophysical Fluid Dynamics; Oxford University Press: New York, NY, USA, 1998; p. 378. [Google Scholar]
- Fu, L.L.; Flierl, G.R. Nonlinear energy and enstrophy transfers in a realistically stratified ocean. Dyn. Atmos. Oceans 1980, 4, 219–246. [Google Scholar] [CrossRef]
- Frisch, U. Turbulence: The Legacy of A. N. Kolmogorov; Cambridge University Press: New York, NY, USA, 1995; p. 296. [Google Scholar]
- Scott, R.B.; Wang, F.M. Direct evidence of an oceanic inverse kinetic energy cascade from satellite altimetry. J. Phys. Oceanogr. 2005, 35, 1650–1666. [Google Scholar] [CrossRef]
- Wunsch, C. The vertical partition of oceanic horizontal kinetic energy. J. Phys. Oceanogr. 1997, 27, 1770–1794. [Google Scholar] [CrossRef]
- Scott, R.B.; Arbic, B.K. Spectral energy fluxes in geostrophic turbulence: Implications for ocean energetics. J. Phys. Oceanogr. 2007, 37, 673–688. [Google Scholar] [CrossRef]
- Schlösser, F.; Eden, C. Diagnosing the energy cascade in a model of the North Atlantic. Geophys. Res. Lett. 2007, 34, L02604. [Google Scholar] [CrossRef]
- Tulloch, R.; Marshall, J.; Hill, C.; Smith, K.S. Scales, Growth Rates, and Spectral Fluxes of Baroclinic Instability in the Ocean. J. Phys. Oceanogr. 2011, 41, 1057–1076. [Google Scholar] [CrossRef]
- Arbic, B.K.; Polzin, K.L.; Scott, R.B.; Richman, J.G.; Shriver, J.F. On Eddy Viscosity, Energy Cascades, and the Horizontal Resolution of Gridded Satellite Altimeter Products. J. Phys. Oceanogr. 2013, 43, 283–300. [Google Scholar] [CrossRef]
- Wang, S.; Liu, Z.; Pang, C. Geographical distribution and anisotropy of the inverse kinetic energy cascade, and its role in the eddy equilibrium processes. J. Geophys. Res. Oceans 2015, 120, 4891–4906. [Google Scholar] [CrossRef]
- Li, H.J.; Xu, Y.S. Barotropic and Baroclinic Inverse Kinetic Energy Cascade in the Antarctic Circumpolar Current. J. Phys. Oceanogr. 2021, 51, 809–824. [Google Scholar] [CrossRef]
- Aluie, H.; Hecht, M.; Vallis, G.K. Mapping the Energy Cascade in the North Atlantic Ocean: The Coarse-Graining Approach. J. Phys. Oceanogr. 2018, 48, 225–244. [Google Scholar] [CrossRef]
- Ajayi, A.; Le Sommer, J.; Chassignet, E.P.; Molines, J.M.; Xu, X.B.A.; Albert, A.; Dewar, W. Diagnosing Cross-Scale Kinetic Energy Exchanges From Two Submesoscale Permitting Ocean Models. J. Adv. Model. Earth Syst. 2021, 13, e2019MS001923. [Google Scholar] [CrossRef]
- Capet, X.; McWilliams, J.C.; Molemaker, M.J.; Shchepetkin, A.F. Mesoscale to submesoscale transition in the California current system. Part III: Energy balance and flux. J. Phys. Oceanogr. 2008, 38, 2256–2269. [Google Scholar] [CrossRef]
- Molemaker, M.J.; McWilliams, J.C.; Capet, X. Balanced and unbalanced routes to dissipation in an equilibrated Eady flow. J. Fluid Mech. 2010, 654, 35–63. [Google Scholar] [CrossRef]
- Brüggemann, N.; Eden, C. Routes to Dissipation under Different Dynamical Conditions. J. Phys. Oceanogr. 2015, 45, 2149–2168. [Google Scholar] [CrossRef]
- Weisberg, R.H.; Weingartner, T.J. Instability waves in the Equatorial Atlantic Ocean. J. Phys. Oceanogr. 1988, 18, 1641–1657. [Google Scholar] [CrossRef]
- Luther, D.S.; Johnson, E.S. Eddy Energetics in the Upper Equatorial Pacific during the Hawaii-to-Tahiti Shuttle Experiment. J. Phys. Oceanogr. 1990, 20, 913–944. [Google Scholar] [CrossRef]
- Qiao, L.; Weisberg, R.H. Tropical instability wave energetics: Observations from the tropical instability wave experiment. J. Phys. Oceanogr. 1998, 28, 345–360. [Google Scholar] [CrossRef]
- Masina, S.; Philander, S.G.H.; Bush, A.B.G. An analysis of tropical instability waves in a numerical model of the Pacific Ocean: 2. Generation and energetics of the waves. J. Geophys. Res. Oceans 1999, 104, 29637–29661. [Google Scholar] [CrossRef]
- Holmes, R.M.; Thomas, L.N. Modulation of Tropical Instability Wave Intensity by Equatorial Kelvin Waves. J. Phys. Oceanogr. 2016, 46, 2623–2643. [Google Scholar] [CrossRef]
- Wang, S.; Jing, Z.; Liu, H.; Wu, L. Spatial and Seasonal Variations of Submesoscale Eddies in the Eastern Tropical Pacific Ocean. J. Phys. Oceanogr. 2018, 48, 101–116. [Google Scholar] [CrossRef]
- Wang, M.; Du, Y.; Qui, B.; Xie, S.-P.; Feng, M. Dynamics on Seasonal Variability of EKE Associated with TIWs in the Eastern Equatorial Pacific Ocean. J. Phys. Oceanogr. 2019, 49, 1503–1519. [Google Scholar] [CrossRef]
- Cao, H.J.; Fox-Kemper, B.; Jing, Z.Y. Submesoscale Eddies in the Upper Ocean of the Kuroshio Extension from High-Resolution Simulation: Energy Budget. J. Phys. Oceanogr. 2021, 51, 2181–2201. [Google Scholar] [CrossRef]
- Wunsch, C.; Heimbach, P.; Ponte, R.M.; Fukumori, I. The global general circulation of the ocean estimated by the ECCO-Consortium. Oceanography 2009, 22, 88–103. [Google Scholar] [CrossRef]
- Chen, R.; Flierl, G.R.; Wunsch, C. A Description of Local and Nonlocal Eddy-Mean Flow Interaction in a Global Eddy-Permitting State Estimate. J. Phys. Oceanogr. 2014, 44, 2336–2352. [Google Scholar] [CrossRef]
- Chen, R.; Thompson, A.F.; Flierl, G.R. Time-Dependent Eddy-Mean Energy Diagrams and Their Application to the Ocean. J. Phys. Oceanogr. 2016, 46, 2827–2850. [Google Scholar] [CrossRef]
- Qiu, B.; Chen, S.M.; Schneider, N. Dynamical Links between the Decadal Variability of the Oyashio and Kuroshio Extensions. J. Clim. 2017, 30, 9591–9605. [Google Scholar] [CrossRef]
- Yang, Q.; Zhao, W.; Liang, X.; Dong, J.; Tian, J. Elevated Mixing in the Periphery of Mesoscale Eddies in the South China Sea. J. Phys. Oceanogr. 2017, 47, 895–907. [Google Scholar] [CrossRef]
- Dong, J.; Fox-Kemper, B.; Zhang, H.; Dong, C. The Seasonality of Submesoscale Energy Production, Content, and Cascade. Geophys. Res. Lett. 2020, 47, e2020GL087388. [Google Scholar] [CrossRef]
- Domaradzki, J.A.; Rogallo, R.S. Local energy transfer and nonlocal interactions in homogeneous, isotropic turbulence. Phys. Fluids A 1990, 2, 413–426. [Google Scholar] [CrossRef]
- Maltrud, M.E.; Vallis, G.K. Energy and enstrophy transfer in numerical simulations of two-dimensional turbulence. Phys. Fluids A 1993, 5, 1760–1775. [Google Scholar] [CrossRef]
- Chen, R. Energy Pathways and Structures of Oceanic Eddies from the ECCO2 State Estimate and Simplified Models. Ph.D. Thesis, Massachusetts Institute of Technology, Cambridge, MA, USA, 2013. [Google Scholar]
- Marshall, J.; Adcroft, A.; Hill, C.; Perelman, L.; Heisey, C. A finite-volume, incompressible Navier Stokes model for studies of the ocean on parallel computers. J. Geophys. Res. Ocean. 1997, 102, 5753–5766. [Google Scholar] [CrossRef]
- Marshall, J.; Hill, C.; Perelman, L.; Ad Croft, A. Hydrostatic, quasi-hydrostatic, and nonhydrostatic ocean modeling. J. Geophys. Res. Ocean. 1997, 102, 5733–5752. [Google Scholar] [CrossRef]
- Large, W.G.; Mcwilliams, J.C.; Doney, S.C. Oceanic vertical mixing: A review and a model with a nonlocal boundary layer parameterization. Rev. Geophys. 1994, 32, 363–403. [Google Scholar] [CrossRef]
- Sasaki, H.; Klein, P. SSH wavenumber spectra in the North Pacific from a high-resolution realistic simulation. J. Phys. Oceanogr. 2012, 42, 1233–1241. [Google Scholar] [CrossRef]
- Chemke, R.; Dror, T.; Kaspi, Y. Barotropic kinetic energy and enstrophy transfers in the atmosphere. Geophys. Res. Lett. 2016, 43, 7725–7734. [Google Scholar] [CrossRef]
- Chemke, R.; Kaspi, Y. The latitudinal dependence of the oceanic barotropic eddy kinetic energy and macroturbulence energy transport. Geophys. Res. Lett. 2016, 43, 2723–2731. [Google Scholar] [CrossRef]
- Rhines, P.B. Waves and turbulence on a beta-plane. J. Fluid Mech. 1975, 69, 417–443. [Google Scholar] [CrossRef]
- Klein, P.; Hua, B.L.; Lapeyre, G.; Capet, X.; Le Gentil, S.; Sasaki, H. Upper ocean turbulence from high-resolution 3D simulations. J. Phys. Oceanogr. 2008, 38, 1748–1763. [Google Scholar] [CrossRef]
- Alexakis, A.; Biferale, L. Cascades and transitions in turbulent flows. Phys. Rep. 2018, 767, 1–101. [Google Scholar] [CrossRef]
- Ferrari, R.; Wunsch, C. Ocean Circulation Kinetic Energy: Reservoirs, Sources, and Sinks. Annu. Rev. Fluid Mech. 2009, 41, 253–282. [Google Scholar] [CrossRef]
- Cushman-Roisin, B.; Beckers, J. Introduction to Geophysical Fluid Dynamics; Academic Press: New York, NY, USA, 2009; p. 482. [Google Scholar]
- McWilliams, J.C. Oceanic Frontogenesis. Annu. Rev. Mar. Sci. 2021, 13, 227–253. [Google Scholar] [CrossRef] [PubMed]
- Alexakis, A. Helically decomposed turbulence. J. Fluid Mech. 2017, 812, 752–770. [Google Scholar] [CrossRef]
- Khatri, H.; Sukhatme, J.; Kumar, A.; Verma, M.K. Surface ocean enstrophy, kinetic energy fluxes, and spectra from satellite altimetry. J. Geophys. Res. Oceans 2018, 123, 3875–3892. [Google Scholar] [CrossRef]
- Arbic, B.K. Incorporating tides and internal gravity waves within global ocean general circulation models: A review. Prog. Oceanogr. 2022, 206, 102824. [Google Scholar] [CrossRef]
- Marino, R.; Pouquet, A.; Rosenberg, D. Resolving the Paradox of Oceanic Large-Scale Balance and Small-Scale Mixing. Phys. Rev. Lett. 2015, 114, 114504. [Google Scholar] [CrossRef]
- George, T.M.; Manucharyan, G.E.; Thompson, A.F. Deep learning to infer eddy heat fluxes from sea surface height patterns of mesoscale turbulence. Nat. Commun. 2021, 12, 800. [Google Scholar] [CrossRef] [PubMed]











Publisher’s Note: MDPI stays neutral with regard to jurisdictional claims in published maps and institutional affiliations. |
© 2022 by the authors. Licensee MDPI, Basel, Switzerland. This article is an open access article distributed under the terms and conditions of the Creative Commons Attribution (CC BY) license (https://creativecommons.org/licenses/by/4.0/).
Share and Cite
Yang, Y.; Chen, R. Spectral Kinetic-Energy Fluxes in the North Pacific: Definition Comparison and Normal- and Shear-Strain Decomposition. J. Mar. Sci. Eng. 2022, 10, 1148. https://doi.org/10.3390/jmse10081148
Yang Y, Chen R. Spectral Kinetic-Energy Fluxes in the North Pacific: Definition Comparison and Normal- and Shear-Strain Decomposition. Journal of Marine Science and Engineering. 2022; 10(8):1148. https://doi.org/10.3390/jmse10081148
Chicago/Turabian StyleYang, Yi, and Ru Chen. 2022. "Spectral Kinetic-Energy Fluxes in the North Pacific: Definition Comparison and Normal- and Shear-Strain Decomposition" Journal of Marine Science and Engineering 10, no. 8: 1148. https://doi.org/10.3390/jmse10081148
APA StyleYang, Y., & Chen, R. (2022). Spectral Kinetic-Energy Fluxes in the North Pacific: Definition Comparison and Normal- and Shear-Strain Decomposition. Journal of Marine Science and Engineering, 10(8), 1148. https://doi.org/10.3390/jmse10081148

