Next Article in Journal
Dynamic Characteristic Analysis of Centrifugal Pump Impeller Based on Fluid-Solid Coupling
Previous Article in Journal
Accurate Fish Detection under Marine Background Noise Based on the Retinex Enhancement Algorithm and CNN
Previous Article in Special Issue
A Model for Translation and Rotation Resistance Tensors for Superellipsoidal Particles in Stokes Flow
 
 
Font Type:
Arial Georgia Verdana
Font Size:
Aa Aa Aa
Line Spacing:
Column Width:
Background:
Article

On the Turbulent Drag Reduction Effect of the Dynamic Free-Slip Surface Method

Division of Engineering and Applied Science, California Institute of Technology, Pasadena, 1200 E California Blvd, Pasadena, CA 91125, USA
*
Authors to whom correspondence should be addressed.
J. Mar. Sci. Eng. 2022, 10(7), 879; https://doi.org/10.3390/jmse10070879
Submission received: 30 April 2022 / Revised: 20 June 2022 / Accepted: 21 June 2022 / Published: 27 June 2022

Abstract

:
The turbulent boundary layer (TBL) over the hull surface of a water vehicle significantly elevates the drag force on the water vehicle. In this regard, effectively controlling the TBL can lead to a drag reduction (DR) effect and therefore improve the energy efficiency of water transportation. Many DR methods have demonstrated promising DR effects but face challenges in implementation at the scale of engineering application. In this regard, the recently developed dynamic free-slip surface method can resolve some of the critical challenges. It employs an array of freely oscillating air–water interfaces to manipulate the TBL and can achieve a substantial DR effect under certain control conditions. However, the optimal setting of the control parameters that would maximize the DR effect remains unclear. To answer these questions, this study systematically investigates the effects of multiple control parameters for the first time, including the geometric size and curvature of the interface, the frequency of active oscillation, and the Reynolds number of TBL. Digital Particle Image Velocimetry was used to non-invasively measure the velocity and vorticity field of the TBL, and the Charted Clauser method was used to calculate the DR effect. The presented results suggest that the oscillating free-slip interfaces reduce the flow velocity near the wall boundary and lift the transverse vorticity (and the viscous shear stress) away from the wall. In addition, the shape factor of the TBL is elevated by the oscillating interfaces and slowly relaxes back in the downstream regions, which implies a partial relaminarization process induced in the TBL. Up to 36% DR effect was achieved within the current scope range of the control parameters. All of the results consistently suggest that a large DR effect is achieved when the free-slip interfaces oscillate with large Weber numbers. These discoveries shed light on the underlying DR mechanism and provide guidance for the future development of an effective drag control technique based on the dynamic free-slip surface method.

1. Introduction

The turbulent boundary layer (TBL) is a fundamental flow phenomenon that widely exists in many engineering applications, such as over the surface of commercial airplanes or ocean liners that are cruising in air and water. Turbulent flows significantly elevate the drag force exerted on the aerial and water vehicles, which is responsible for 50–80% of the total power consumption of transportation systems [1,2]. Because of the tremendous benefits of energy savings and environmental protection, the development of systems and devices that can achieve the drag reduction (DR) effect has been a long-time pursuit of engineers and scientists. Over the past several decades, many promising DR methods have been developed. These methods are generally categorized as active or passive, depending on whether energy input is required.
A promising active method is the elastic agent injection method, which involves injecting elastic additives such as long-chained polymer molecules [3] or air bubbles [4] into the TBLs. This method relies on the elastic agents dynamically interacting with the TBL and therefore modifying the distribution of shear stresses within the TBL. It is known that the DR effect is affected by the concentration and the compliance of the elastic agents [5]. The DR effect is large when the injected air bubbles are large and deformable within the turbulent flow [6]. Under optimal conditions, a DR effect of up to 80% has been achieved [4,7]. Although the elastic agent injection method can achieve large DR effect, its actual energy saving effect is compromised by its high power consumption during the injection process. In addition, concerns about the injected polymers potentially causing environmental pollution overweight the DR potential.
A promising passive DR method employs specially designed textured surfaces, such as a super-hydrophobic surface or a liquid-infused surface, to passively maintain a layer of low-viscosity fluid (i.e., air or oil) over the wall boundary; this is often referred to as the slip-flow induction method [8,9,10,11]. Unlike a flat solid wall surface that has a “no-slip” boundary condition, the low-viscosity fluids allow “slip-flows” at the fluid–fluid or air–fluid interface; this offsets the shear stress near the wall boundary and therefore reduces the friction drag. The slip-flow induction method can achieve a DR effect of 10–75% without any power input [9,12,13]. However, it is challenging to sustain the low-viscosity fluid layer in the highly unsteady turbulent flows. Even if the fluid layer is not depleted off the textured surfaces in the turbulent flows, it can still disappear through the slow diffusion process over the extended usage time [13,14]. If the low-viscosity fluid layer is lost and replenishment is not possible, the exposed textured surface will act similarly to a rough surface, which will increase rather than reduce drag [15]. Therefore, the sustainability issue must be addressed before the passive slip-flow induction method can be successfully employed.
Recently, a new DR method named the dynamic free-slip surface method was developed [16], and it can resolve the critical constraints of the active elastic agent injection method and the passive slip-flow induction method. The dynamic free-slip surface method employs an array of freely oscillating air–water interfaces that are attached to the wall boundary to manipulate the TBL. The creation of the wall-attached, freely oscillating air–water interface is schematically shown in Figure 1a. First, a square-shaped surface cavity at the millimeter scale is created as an air pocket; the inner surface of the cavity is coated with a super-hydrophobic material, whereas the flat outer surface is coated with a super-hydrophilic material. This design ensures that when the surface is immersed in water, an air–water interface forms over the surface cavity, with its contact line pinned at the cavity edge. The oscillation of the interface is actuated by a dynamic pressure source (e.g., a speaker) located within a sealed air chamber. This design allows for the control of the dynamic oscillation as well as the static configuration of the interface. The curvature of the interface can be maintained either flush to the flat wall surface or bulging out of the air pockets into the TBL; this can be achieved by adjusting the static pressure inside the air chamber. In addition to the active oscillation, the interface also oscillates passively due to its interaction with the TBL. The dynamic free-slip surface method has several merits. First, its power input is low—at the level of overcoming the surface tension effect of the millimeter-sized air–water interface. Second, quick air replenishment can be realized through the air-chamber design in the case of air loss for any number of reasons. Third, it can be easily scaled up to cover a large surface area due to its simple design. More details of the dynamic free-slip surface can be found in [17].
Wang and Gharib [16] investigated the effect of a 3 by 12 array of 8 mm square-shaped interfaces (on the x-z plane) on a fully developed TBL. The interfaces were actively oscillated at 50 Hz, and the TBL Reynolds number R e θ was 1200 ( R e θ = U θ ν , where U is the free stream velocity, θ is the momentum thickness, and ν is the kinetic viscosity). As demonstrated by Wang and Gharib [16], the oscillating interfaces lifted the transverse vorticity away from the wall boundary, which took a long downstream distance to relax back to the wall. The DR effect in the perturbed TBL varied spatially. First, in regions away from the oscillating interfaces, the DR effect only existed in the downstream regions but not in the upstream regions. Up to 45% DR effect was detected in the downstream region, which slowly faded away further in the downstream regions. The decaying process of the DR effect matched well with the relaxation process of the lifted transverse vorticity. Second, in the region of oscillating interfaces, the DR effect was very strong such that the drag force was completely reversed, thus becoming a propulsion force, as shown by a control volume analysis of the streamwise momentum in the TBL. As such, an overall DR effect was created by the dynamic free-slip surface method.
Although the dynamic free-slip surface method can achieve the DR effect under certain control conditions, its DR mechanism remains unclear. In addition, as to what the optimal setting is for the control parameters to maximize the DR effect remains to be uncovered. To answer these questions, the current study systematically investigates the effects of a series of control parameters for the first time, including the geometric size and the curvature of the interface, the frequency of active oscillation, and the Reynolds number of the TBL. These fundamental understandings are of critical value for the future development of an effective DR technique. The rest of this paper will be organized as follows. Section 2 gives the details of the experiments. Section 3 presents and analyzes the measurement results under different control conditions. Section 4 discusses the potential improvements on the dynamic free-slip surface method, and Section 5 presents the conclusion.

2. Experimental Setup

The experiments were conducted in the free-surface water channel at the California Institute of Technology. The TBL was developed over a 2 m long, 0.5 m wide flat plate with a smooth surface (shown in Figure 1c). The flat plate was submerged 0.1 m beneath the free surface and was 0.3 m away from the bottom surface. A flap was attached to the trailing edge of the flat plate, with its angle carefully adjusted to eliminate the pressure gradient within the TBL. The acceleration factor K = U x ν U 2 , as an indicator of the magnitude of the pressure gradient, had a value of 1.0 × 10 7 . As pointed out by Degraaff and Eaton [18], TBLs with such a small K have a zero-pressure gradient. The interface array was located at 0.7 m downstream from the leading edge of the flat plate. The air-pocket array was replaced by a smooth flat surface in order to recover the canonical flat plate TBL, which was used as the baseline reference case. The Reynolds number of the TBL R e θ was set at 1200 and 1800, which ensured fully developed TBLs [17]. The profiles of the baseline TBLs, such as free stream velocity ( U ), boundary layer thickness ( δ ), fiction velocity ( u τ 0 ), and Reynolds number ( R e θ ), are given in Table 1. For the purpose of convenience, the two TBLs will be referred to as TBL1 and TBL2 in the rest of this paper.
The effect of the oscillating interface on the TBL can be quantified by the non-dimensional Weber number W e , which depicts the relative significance of the inertia force versus the surface tension effect. The expression of the Weber number is W e = ρ U 0 2 l γ , where ρ is the density of water, l is the characteristic length, U 0 is the characteristic velocity, and γ is the surface tension effect. Many factors affect the value of W e . For example, W e is large when the interfaces have a large geometric size and a bulged-out configuration; this is because the surface tension effect is weaker, whereas the inertia force of the TBL is stronger. In addition, the presence of active oscillation enhances the effective size of the interface and therefore increases W e .
In the current literature, the side length (w) of the square surface air pockets was 4 mm and 8 mm, with a spacing gap of 1 mm and 2 mm, respectively (shown in Figure 1b). As such, the two interface designs had the same free-slip surface area and the same free-slip surface ratio (64% of the total surface area). The static curvature of the interface was set to be either flat or bulging out of the surface air pockets. The bulged-out interfaces had the same static shape, e.g., the ratio of interface height over the side length h / w was kept a constant 0.16. The active oscillation was only applied to the bulged-out interfaces. The frequency of the oscillation was 20 Hz, which was close to the intrinsic frequency of the two TBLs ( f = U / δ ). As such, the TBLs were expected to be responsive to the active oscillation. The modulation power of the active oscillation was adjusted based on R e θ . The modulation power for interfaces in TBL1 was kept the same as that in [16] (0.013 W), whereas the modulation power for interfaces in TBL2 was four times higher (0.052 W). The details of the test cases are summarized in Table 2, where the status of the interface is denoted as passive flat, passive bulged-out, and active bulged-out; the modulation power setting is denoted as low and high. The Weber number W e is also calculated, with the characteristic length l selected to be the effective size of the interface l = w 2 h 3 , and the characteristic velocity selected to be the baseline frictional velocity u τ 0 . As schematically shown in Figure 2, the oscillating interfaces were set to face downward so that the upward buoyancy force would stabilize them. In all cases, the interfaces stably attached to the wall surface, and no disintegration of interface was observed.
The velocity and vorticity fields of the TBL in the streamwise and wall-normal plane (x-y plane) were quantitatively mapped using the non-invasive Digital Particle Image Velocimetry (DPIV). The measurement plane was along the central axis of the interface array, as marked by the green dashed line in Figure 1c. The TBL was seeded with neutrally buoyant particles with a 13 μm diameter (Potters Industries LLC). A continuous green laser (Coherent, V6 model) was used to provide the illumination, and a high-speed camera (IDT, Y7 model) was used to record 20,000 images at a frame rate of 1000 frames per second. The cross-correlation was carried out using a commercial DPIV software (PIVview, PIVTECH GmbH). The DPIV measurements were conducted at different streamwise locations in both the upstream and downstream regions of the interface array (marked as L 1 L 5 in Figure 2). The spatial evolution of the perturbed TBL can thus be analyzed.
The shear stress on the wall boundary was estimated using the Charted Clauser method [19], which calculates the frictional velocity u τ based on the logarithmic layer of the time-averaged velocity profile U ¯ . The wall shear stress τ can be further calculated based on the expression τ = ρ u τ 2 . The DR effect can be calculated using the expression in Equation (1), where u τ 0 is the baseline frictional velocity.
D R = u τ 0 2 u τ 2 u τ 0 2 × 100 %
The Charted Clauser method is valid as long as a logarithmic layer exists in the U ¯ profile, even in some non-canonical cases. For example, in a relaxing TBL downstream of the flow separation, the Charted Clauser method gave good estimations within an acceptable error range [20]. Wang and Gharib [16] found that in regions very close to the oscillating interfaces, the logarithmic layer could be destroyed and therefore the Charted Clauser method might fail. As such, in the current study, the Charted Clauser method was only applied to regions that were sufficiently far away from the oscillating interfaces (both upstream and downstream) in order to calculate the DR effect there.

3. Results

The results are grouped and presented in two sections based on the tested R e θ . Section 3.1 presents the results of the 8 mm interface in TBL1, whereas Section 3.2 presents the results of the 4 mm and 8 mm interfaces in TBL2. In both sections, the streamwise velocity, transverse vorticity, the DR effect, and the integral parameters of TBL at different streamwise locations are presented. The effect of the individual control parameters is demonstrated by a cross-comparison of the presented results.

3.1. TBL1—8 mm Interface

3.1.1. TBL Profiles

The effect of the oscillating free-slip interfaces on the TBL can be qualitatively depicted by a snapshot of the flow pathlines near a passive bulged-out interface (case 2 in Table 2), as shown in Figure 3a. The flow pathlines are the trajectories of particles within the period of 0.01 s. The particles in the neighboring region of the oscillating interfaces exhibit strong wall-normal motions. Such motions do not exist in canonical TBLs, where the particles travel parallel to the wall boundary. Figure 3a demonstrates that the effect of the oscillating interfaces extends beyond what the interfaces can reach, thus penetrating much deeper into the TBL. The detailed dynamic interaction process between the oscillating interface and the TBL is shown in SI—Video S1.
Figure 3b presents the time-averaged U ¯ profile in the presence of the passive flat, passive bulged-out, and 20 Hz oscillated bulged-out interfaces. The U ¯ profiles are measured over the oscillating interfaces (at location L 2 in Figure 2) and are normalized by the boundary layer thickness ( δ ) and the free stream velocity ( U ). The U ¯ profile of the baseline case and a benchmark literature result at a similar R e θ 0 (equal to 1430) [18] are shown as references. The logarithmic layer is highlighted by the gray dashed line. With oscillating interfaces, U ¯ is reduced in the near-wall region. The largest reduction happens in the presence of active bulged-out interfaces, whereas the weakest reduction happens with passive flat interfaces. The slope of the log layer increases, which implies a fundamental structural change in the perturbed TBL [21]. Interestingly, a similar slope increase for the logarithmic layer was also observed in the active elastic agent injection method, which also resulted in a substantial DR effect [3]. Considering that both the air–water interface and the polymers are elastic agents, the two methods may have the same DR mechanism.
In TBLs, the time-averaged transverse vorticity ω z ¯ V ¯ x U ¯ y is dominated by the shear strain rate U ¯ y , which directly sets the shear stress on the wall boundary, e.g., τ = μ U ¯ y | y = 0 ( μ is the dynamic viscosity of water) [21]. As such, the distribution of ω z ¯ reflects the magnitude of τ . Figure 3c presents ω z ¯ at the location L 2 , which reaches its maximum at the wall boundary in the baseline case. Figure 3c suggests that extra ω z ¯ is induced in the regions above the wall boundary by the oscillating interfaces. In the most prominent case, e.g., with the active bulged-out interfaces, ω z ¯ peaks at y u τ 0 ν = 100 , and the near-wall ω z ¯ is substantially reduced when compared to the baseline case. The lifted ω z ¯ implies a reduction in the wall shear stress. With the passive flat or bulged-out interfaces, the lift-up of ω z ¯ is less prominent.
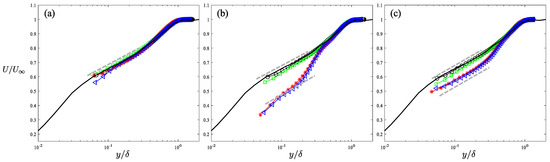
The U ¯ profiles in both the upstream and downstream regions of the interfaces are shown in Figure 4a–c. At the upstream location L 1 , the U ¯ profiles are almost identical, with and without the oscillating interfaces. However, at the downstream location L 3 , U ¯ is substantially reduced in the presence of passive or active bulged-out interfaces. The reduction in U ¯ decays away at the location L 5 in the further downstream. Interestingly, unlike that in Figure 3, the logarithmic layer re-develops in Figure 4b,c. With passive flat interfaces, the U ¯ profiles are almost the same as the reference case.

3.1.2. DR Effect

The logarithmic layer in Figure 4 allows us to estimate the DR effects at locations L 1 , L 3 , and L 5 , which are summarized in Table 3. As pointed out by Le et al. [20], the error of the Charted Clauser method in a relaxing TBL after separation can be more than 10%. The U ¯ profiles in Figure 4 are similar as those in a relaxing TBL. As such, DR effects that are less than 5% are likely to fall within the range of error. At the upstream location L 1 , the DR effect of all the cases is less than 5%. At the downstream location L 3 , the DR effect on the active and passive bulged-out interfaces is 28% and 19%, respectively. Further downstream at location L 5 , the DR effects of the two cases both drop to 16% and 15%. With the passive flat interfaces, a trivial DR effect exists in the upstream and the downstream regions.
Although the DR effect in the regime of oscillating interfaces cannot be directly calculated, the lifted ω z ¯ shown in Figure 3c implies the existence of a strong DR effect there. Luton et al. [22] pointed out that introducing transverse vorticity in regions above the wall boundary effectively “redistributes the vorticity of the boundary layer” and therefore reduces the wall shear stress, which seems to be what is happening in Figure 3. In addition, Wang and Gharib [23] reported a local relaminarization effect due to the lifted ω z ¯ . It is known that the laminar boundary layers generate much smaller wall shear stresses than the TBLs. As such, a substantial DR effect is expected in the oscillating interface region.
The results in Table 2 and Table 3 suggest that the DR effect is strong when the oscillating interfaces are bulged-out and actively oscillated, which correspond to oscillations with a large Weber number. Interestingly, this observation is consistent with the performance effect of the active bubble injection method, which has a strong DR effect when the bubbles are large and easily deformable [4,6]. In addition, the DR effect of the current 20 Hz oscillation is less than the 50 Hz oscillation reported in [16], which resulted in a DR effect of 40% and 25% at locations L 3 and L 5 , respectively. The frequency dependence of the DR effect could be related to the different oscillation modes excited at the free-slip interface and the different steady streaming motions induced in the bulk regime. As demonstrated in [24], a single free-slip interface oscillating at 20 Hz induced a low-speed vortex, whereas a 50 Hz oscillation induced a high-speed streaming jet. The difference in the streaming pattern and strength could have resulted in a different DR effect. This hypothesis is supported by many literature results, which indicate that a strong DR effect can be created when certain steady streaming motions are generated [25]. In some cases, the actual drag coefficient is even lower than that of a laminar boundary layer [26]. The true mechanism of the DR effect warrants future in-depth investigations.

3.2. TBL2—4 mm and 8 mm Interfaces

3.2.1. TBL Profiles

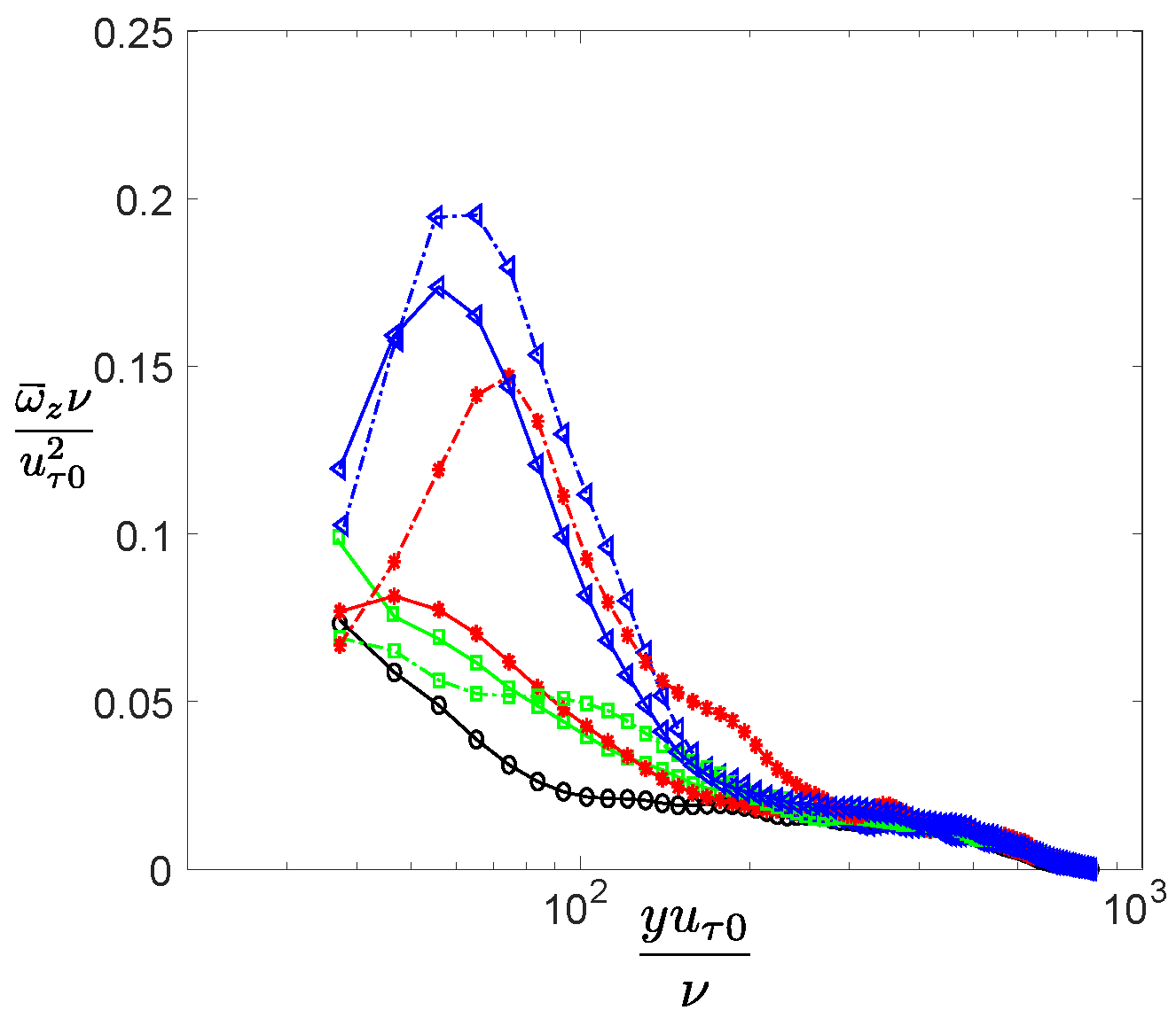
This section presents the results of deploying 4 mm and 8 mm interfaces in the higher Reynolds number TBL2 (cases 4–9 in Table 2). Due to the stronger turbulent fluctuations, the 8 mm interfaces naturally oscillated with a larger amplitude and therefore a larger effective Weber number than in TBL1. The 4 mm interfaces had a stronger surface tension effect and therefore had smaller Weber numbers. Figure 5 compares the U ¯ profiles at L 1 , L 2 , L 3 , and L 4 in the presence of the 4 mm interface (panels (a–d)) and the 8 mm interface (panels (e–h)). The U ¯ profiles exhibit the same reduction and relaxation trend, as shown in Section 3.1. However, the modification effect is much stronger with the 8 mm interfaces, while every other condition is kept the same. Figure 6 presents the profiles of ω z ¯ at location L 2 , which exhibit the emergence of new peaks in regions away from the wall. The magnitude of ω z ¯ away from the wall is stronger with the 8 mm interfaces. As such, Figure 5 and Figure 6 demonstrate that the larger sized interfaces have a stronger manipulation effect on the TBL.
A cross-comparison of the U ¯ and ω z ¯ profiles for TBL1 and TBL2 could shed light on the effect of R e θ . At location L 2 , the reduction in U ¯ is stronger in TBL1 than in TBL2 (shown in Figure 3a and Figure 5e). However, in comparing Figure 4b and Figure 5g, we find that the relaxation process at the downstream location L 3 is slower in TBL2. This difference could be related to the dynamic interaction between the oscillating interface and the TBL. When R e θ is high, the interfaces are more skew-deformed by the transverse flow, which produces a stronger effect in the downstream regions. As will be presented in Section 3.2.2, this difference affects the distribution of the DR effect.

3.2.2. DR Effect

Based on the U ¯ profiles shown in Figure 5, the DR effect in the upstream and downstream regions of the 4 mm and 8 mm interfaces is calculated and summarized in Table 4. The spatial distribution of the DR effect follows the trend shown in Table 3: the DR effect only exists downstream of the interfaces and gradually disappears. Among all the test cases, the DR effect is the strongest when the 8 mm interfaces are oscillated at 20 Hz. The presence of active oscillation elevates the DR effects of the 4 mm and 8 mm bulged-out interfaces from 15% and 31% to 16% and 36%, respectively.
The results in Table 3 and Table 4 suggest that the DR effect is stronger in TBL2, whether the interfaces are passive flat, passive bulged-out, or active bulged-out. The stronger DR effect could have been due to the higher momentum inertia of TBL2 and the higher modulation power of the active oscillation. Both factors increase the effective W e . In addition, the static curvature of the interface (flat or bulged-out) affects the DR performance. Table 4 suggests that the curvature effect is more prominent when the size of the interface is larger. With 8 mm interfaces, the DR effect of the passive bulged-out interface (31%) almost doubles that of the passive flat interface (18%). In contrast, with 4 mm interfaces, the curvature effect is less significant (15% and 11% for the two cases). The curvature effect can be regarded as a W e effect as well. As shown in Table 2, the W e difference between the passive flat and the passive bulged-out interfaces is more prominent with 8 mm interfaces.

3.2.3. Integral Parameters

In this section, the spatial evolution of the integral parameters of TBL2 is presented, which reflects some of the most basic characters, such as the mass and momentum transport processes. The integral parameters include the boundary layer thickness ( δ ), displacement thickness ( δ * ), momentum thickness ( θ ), and shape factor (H). The boundary layer thickness δ marks the wall-normal distance where the velocity reaches 99% of U [21]. δ * and θ are two virtual length scales that account for the losses in the mass and momentum transport processes due to the existence of the viscous effect. The shape factor (H) is the ratio of δ * to θ , which is frequently used to distinguish boundary layers. Typically, a laminar boundary layer has an H value of 2.59, whereas a TBL has an H value within the range of 1.3–1.4 [27]. The mathematical expression of the integral parameters are given in Equation (2).
δ = y | U ¯ ( y ) = 0.99 U δ * = 0 1 U ¯ ( y ) U d y θ = 0 U ( y ) U 1 U ¯ ( y ) U ¯ d y H = δ * θ
The integral parameters at locations L 1 , L 2 , L 3 , and L 4 are shown in Figure 7a–d, with the region of the interface highlighted by the gray stripe in each panel. In panel (a), the boundary layer thickness δ slightly increases due to the presence of interfaces. However, it is difficult to distinguish δ based on the control conditions of the interfaces. In contrast, the displacement thickness δ * and momentum thickness θ shown in panel (b) and (c) are sensitive to the control conditions. Both δ * and θ are elevated by the oscillating interfaces, and the elevation is the most prominent when the interfaces have a large size, a bulged-out configuration, and are actively oscillated. However, the spatial evolution trends of δ * and θ are different. While δ * increases in the interface region and decreases in the downstream region, θ monotonically increases along the x direction. The spatial evolution of δ * and θ reflects the different effects of the oscillating interfaces on both the mass transport process and the momentum transport process.
The shape factor H shown in panel (d) increases over the oscillating interfaces and gradually relaxes back in the downstream regions. The elevation of H is strong (to the level of 1.7–1.9) when W e has large values. The elevated H implies a partially re-laminarized TBL, which is in line with the local re-laminarization mechanism discovered in [23]. It is known that a laminar boundary layer generates a much smaller wall shear stress than a turbulent boundary layer [21]. As such, the elevated shape factor supports the DR effect in the interface region and the downstream regions. The slow relaxation of the elevated H corresponds to the gradual disappearance of the DR effect in the downstream regions.

4. Discussion

The presented results demonstrate the effects of multiple control parameters on the performance of the dynamic free-slip surface method in TBL manipulation and DR. The results suggest that the dynamic free-slip surface method is effective when the interfaces have a large geometric size, a bulged-out configuration, and are actively oscillated at a proper frequency. These factors effectively increase the Weber number of the oscillating free-slip interface, which seems to be one critical factor for achieving the DR effect. However, the oscillating interfaces frequently penetrate deep into the TBL, which raises the concern on whether the protruded interfaces will generate form drag, similar as that caused by a rough surface. If form drag is created over the protruded interfaces, no actual DR effect can be achieved [15]. In this regard, [16] demonstrated that the oscillating interfaces generated a local propulsion force (in the direction opposite to the drag force) even when the interfaces were passive bulged-out. As such, DR effect can be created passively. In contrast, an array of solid bumps with the same geometric dimensions only generated a much larger drag force when compared to the baseline case. This study proves the DR effect of the dynamic free-slip surface method. In addition to the W e effect that is investigated in this study, the performance capability of the dynamic free-slip surface method may be affected by other non-dimensional parameters such as the Bond number (the ratio of the buoyancy force over the surface tension effect). This hypothesis warrants future investigations.
The dynamic free-slip surface method can be easily scaled up with a low manufacturing cost, which would allow it to be easily deployed over the large surface area of real water vehicles. However, the Reynolds number of a typical ocean transportation can be several orders of magnitude higher than the current investigation, which may pose challenges to this method. In particular, the bulged-out curvature and the active oscillation both render the oscillating interfaces fragile to the turbulent flows although they can enhance the DR effect. If the free-slip interfaces disintegrate and detach from the air pockets, the dynamic free-slip surface method loses its DR capability [15]. In this regard, the geometric size of the interface and the frequency regime of the active oscillation will likely need to be adjusted when deployed in TBLs with high R e θ so that the free-slip interfaces would remain stable. Along this line, it might be practical to integrate the dynamic free-slip surface method with the conventional air bubble injection method [4]. Air bubbles can be continuously supplied to the air pockets at a slow volumetric rate through the sealed air chamber while the air–water interfaces are actively oscillated at the same time. The extra air will periodically detach from the air pockets to form air bubbles. Interestingly, it was found that periodically injecting air bubbles at certain frequencies can double the DR effect of continuous injection [28]. The energy expenditure for pumping air is minimized due to the slow volumetric injection rate, and the power consumption of active oscillation is expected to be low because it only needs to overcome the surface tension effect of the air–water interface. The achievable DR effect of this hybrid method will be investigated in future studies.

5. Conclusions

In this work and for the first time, we systematically investigated the effect of multiple control parameters on the use of the dynamic free-slip surface method to achieve DR. The investigated parameters include the geometric size and static curvature of the interface, active oscillation, and the Reynolds number. The results show that the oscillating interfaces reduced the near-wall velocity and lifted the high transverse vorticity (and viscous shear stress) away from the wall boundary. Based on the estimation of the Charted Clauser method, within the scope range of the currently investigated parameters, a DR effect of up to 36% was achieved in the downstream regions of the interface. The shape factor of the perturbed TBLs was elevated, which also implies the existence of the DR effect even in regions where the Chartered Clauser method is invalid. The TBL manipulation and the DR effect were strong when the interfaces had a large size, a bulged-out curvature, and were under active oscillation. The presented results consistently point to the conclusion that the method is effective when the Weber number is large. The measurement that could potentially enhance the applicability of this method in TBLs with much higher Reynolds numbers was also discussed. The discoveries support the conclusions of [16,23], and the acquired knowledge and insights will provide guidance for the future development of an effective drag control technique based on the dynamic free-slip surface method.

Supplementary Materials

Author Contributions

Conceptualization, C.W.; investigation, C.W.; writing—review and editing, C.W.; supervision, M.G.; funding acquisition, M.G. All authors have read and agreed to the published version of the manuscript.

Funding

This research was funded by the United States Office of Naval Research under Grant No. N00014-15-1-2479.

Institutional Review Board Statement

Not applicable.

Informed Consent Statement

Not applicable.

Data Availability Statement

Not applicable.

Acknowledgments

The support from the United States Office of Naval Research is gratefully acknowledged. Cong Wang would like to thank the Stanback fellowship support from the Graduate Aerospace Laboratory at the California Institute of Technology (GALCIT).

Conflicts of Interest

The authors declare no conflict of interest.

Abbreviations

The following abbreviations and nomenclatures are used in this manuscript:
DRdrag reduction
TBLturbulent boundary layer
U free stream velocity
u τ 0 friction velocity of the baseline flat plate TBL
Kacceleration factor
δ boundary layer thickness based on 99% U
δ * boundary layer displacement thickness
θ boundary layer momentum thickness
Hboundary layer shape factor
R e θ Reynolds number based on the momentum thickness
W e Weber number
wlength of the square shaped interface
hheight of the square shaped interface
TBL1turbulent boundary layer with R e θ = 1200
TBL2turbulent boundary layer with R e θ = 1800
L 1 L 5 experiment measurement locations

References

  1. Marusic, I.; Mathis, R.; Hutchins, N. Predictive model for wall-bounded turbulent flow. Science 2010, 329, 193–196. [Google Scholar] [PubMed]
  2. Fukuda, K.; Tokunaga, J.; Nobunaga, T.; Nakatani, T.; Iwasaki, T.; Kunitake, Y. Frictional drag reduction with air lubricant over a super-water-repellent surface. J. Mar. Sci. Technol. 2000, 5, 123–130. [Google Scholar] [CrossRef]
  3. White, C.M.; Mungal, M.G. Mechanics and prediction of turbulent drag reduction with polymer additives. Annu. Rev. Fluid Mech. 2008, 40, 235–256. [Google Scholar] [CrossRef]
  4. Ceccio, S. Friction drag reduction of external flows with bubble and gas injection. Annu. Rev. Fluid Mech. 2010, 42, 183–203. [Google Scholar] [CrossRef] [Green Version]
  5. Xi, L. Turbulent drag reduction by polymer additives: Fundamentals and recent advances. Phys. Fluids 2019, 31, 121302. [Google Scholar]
  6. Verschoof, R.A.; Van Der Veen, R.C.; Sun, C.; Lohse, D. Bubble drag reduction requires large bubbles. Phys. Rev. Lett. 2016, 117, 104502. [Google Scholar] [CrossRef] [Green Version]
  7. Virk, P.S. Drag reduction fundamentals. AIChE J. 1975, 21, 625–656. [Google Scholar] [CrossRef]
  8. Rothstein, J.P. Slip on superhydrophobic surfaces. Annu. Rev. Fluid Mech. 2010, 42, 89–109. [Google Scholar] [CrossRef]
  9. Rosenberg, B.J.; Van Buren, T.; Fu, M.K.; Smits, A.J. Turbulent drag reduction over air-and liquid-impregnated surfaces. Phys. Fluids 2016, 28, 015103. [Google Scholar] [CrossRef]
  10. Gose, J.W.; Golovin, K.; Boban, M.; Mabry, J.M.; Tuteja, A.; Perlin, M.; Ceccio, S.L. Characterization of superhydrophobic surfaces for drag reduction in turbulent flow. J. Fluid Mech. 2018, 845, 560–580. [Google Scholar] [CrossRef] [Green Version]
  11. Chang, J.; Jung, T.; Choi, H.; Kim, J. Predictions of the effective slip length and drag reduction with a lubricated micro-groove surface in a turbulent channel flow. J. Fluid Mech. 2019, 874, 797–820. [Google Scholar] [CrossRef]
  12. Park, H.; Sun, G. Superhydrophobic turbulent drag reduction as a function of surface grating parameters. J. Fluid Mech. 2014, 747, 722–734. [Google Scholar] [CrossRef] [Green Version]
  13. Choi, C.H.; Kim, C.J. Large slip of aqueous liquid flow over a nanoengineered superhydrophobic surface. Phys. Rev. Lett. 2006, 96, 066001. [Google Scholar] [CrossRef] [Green Version]
  14. Li, H.; Ji, S.; Tan, X.; Li, Z.; Xiang, Y.; Lv, P.; Duan, H. Effect of Reynolds number on drag reduction in turbulent boundary layer flow over liquid–gas interface. Phys. Fluids 2020, 32, 122111. [Google Scholar] [CrossRef]
  15. Bidkar, R.A.; Leblanc, L.; Kulkarni, A.J.; Bahadur, V.; Ceccio, S.L.; Perlin, M. Skin-friction drag reduction in the turbulent regime using random-textured hydrophobic surfaces. Phys. Fluids 2014, 26, 085108. [Google Scholar] [CrossRef]
  16. Wang, C.; Gharib, M. Effect of the dynamic slip boundary condition on the near-wall turbulent boundary layer. J. Fluid Mech. 2020, 901. [Google Scholar] [CrossRef]
  17. Wang, C. On the Manipulation of a Turbulent Boundary Layer by Unsteady Boundary Conditions. Doctoral Dissertation, California Institute of Technology, Pasadena, CA, USA, 2019. [Google Scholar]
  18. De Graaff, D.B.; Eaton, J.K. Reynolds-number scaling of the flat-plate turbulent boundary layer. J. Fluid Mech. 2000, 422, 319–346. [Google Scholar] [CrossRef]
  19. Clauser, H.F. Turbulent boundary layers in adverse pressure gradients. J. Aeronaut. Sci. 1954, 21, 91–108. [Google Scholar] [CrossRef]
  20. Le, H.; Moin, P.; Kim, J. Direct numerical simulation of turbulent flow over a backward-facing step. J. Fluid Mech. 1997, 330, 349–374. [Google Scholar] [CrossRef] [Green Version]
  21. Tennekes, H.; Lumley, J.L. A First Course in Turbulence; MIT Press: Cambridge, MA, USA, 1972. [Google Scholar]
  22. Luton, A.; Ragab, S.; Telionis, D. Interaction of spanwise vortices with a boundary layer. Phys. Fluids 1995, 7, 2757–2765. [Google Scholar] [CrossRef]
  23. Wang, C.; Gharib, M. Local relaminarization mechanism induced by a dynamic free-slip boundary. Phys. Rev. Fluids 2021, 6, 084604. [Google Scholar] [CrossRef]
  24. Wang, C.; Gharib, M. Physics of a strongly oscillating axisymmetric air-water interface with a fixed boundary condition. Phys. Rev. Fluids 2022, 7, 044003. [Google Scholar]
  25. Hoepffner, J.; Fukagata, K. Pumping or drag reduction? J. Fluid Mech. 2006, 635, 171–187. [Google Scholar] [CrossRef]
  26. Min, T.; Kang, S.M.; Speyer, J.L.; Kim, J. Sustained sub-laminar drag in a fully developed channel flow. J. Fluid Mech. 2006, 558, 309–318. [Google Scholar] [CrossRef]
  27. Schetz, J.A.; Bowersox, R.D. Boundary Layer Analysis; American Institute of Aeronautics and Astronautics: Reston, VA, USA, 2011. [Google Scholar]
  28. Tanaka, T.; Oishi, Y.; Park, H.J.; Tasaka, Y.; Murai, Y.; Kawakita, C. Repetitive bubble injection promoting frictional drag reduction in high-speed horizontal turbulent channel flows. Ocean Eng. 2021, 239, 109909. [Google Scholar] [CrossRef]
Figure 1. (a) Schematic drawing of a single, dynamic free-slip surface. (b) Two air-pocket arrays that consist of 4 mm and 8 mm squares separated by 1 mm and 2 mm gaps. The two arrays support free-slip surfaces that have the same surface area and the same free-slip surface ratio (64%). (c) Schematic drawing of the experimental setup. A smooth-wall flat plate is used to generate the TBLs. The air-pocket array is flush-mounted onto the flat plate. The green dashed lines in panel (c) mark the location of the experimental measurements.
Figure 1. (a) Schematic drawing of a single, dynamic free-slip surface. (b) Two air-pocket arrays that consist of 4 mm and 8 mm squares separated by 1 mm and 2 mm gaps. The two arrays support free-slip surfaces that have the same surface area and the same free-slip surface ratio (64%). (c) Schematic drawing of the experimental setup. A smooth-wall flat plate is used to generate the TBLs. The air-pocket array is flush-mounted onto the flat plate. The green dashed lines in panel (c) mark the location of the experimental measurements.
Jmse 10 00879 g001
Figure 2. Experimental measurement locations (marked as L 1 L 5 ) in both the upstream and downstream regions of the interface array. The spacing distance was in the unit of the boundary layer thickness ( δ ) of the baseline TBL.
Figure 2. Experimental measurement locations (marked as L 1 L 5 ) in both the upstream and downstream regions of the interface array. The spacing distance was in the unit of the boundary layer thickness ( δ ) of the baseline TBL.
Jmse 10 00879 g002
Figure 3. (a) Flow pathlines near an 8 mm passively oscillating bulged-out interface in TBL1. Panel (b,c) shows the profiles of U ¯ and ω z ¯ measured at location L 2 in Figure 3. Symbols: Square, passive flat interface; Star, passive bulged-out interface; Triangle, 20 Hz oscillated bulged-out interface; Circle, baseline smooth wall TBL; Solid line, literature result U ¯ at R e θ = 1430 from Degraaff and Eaton (2000) [18]. The gray dashed line shows the slope of the linear log layer.
Figure 3. (a) Flow pathlines near an 8 mm passively oscillating bulged-out interface in TBL1. Panel (b,c) shows the profiles of U ¯ and ω z ¯ measured at location L 2 in Figure 3. Symbols: Square, passive flat interface; Star, passive bulged-out interface; Triangle, 20 Hz oscillated bulged-out interface; Circle, baseline smooth wall TBL; Solid line, literature result U ¯ at R e θ = 1430 from Degraaff and Eaton (2000) [18]. The gray dashed line shows the slope of the linear log layer.
Jmse 10 00879 g003
Figure 4. The U ¯ profiles measured at locations (a) L 1 , (b) L 3 , and (c) L 5 in TBL1. Symbols: Square, passive flat interface; Star, passive bulged-out interface; Triangle, 20 Hz oscillated bulged-out interface; Circle, baseline smooth wall TBL.
Figure 4. The U ¯ profiles measured at locations (a) L 1 , (b) L 3 , and (c) L 5 in TBL1. Symbols: Square, passive flat interface; Star, passive bulged-out interface; Triangle, 20 Hz oscillated bulged-out interface; Circle, baseline smooth wall TBL.
Jmse 10 00879 g004
Figure 5. U ¯ profiles measured at locations L 1 , L 2 , L 3 , and L 4 in the presence of the 4 mm interface (panels (ad)) and the 8 mm interface (panels (eh)). Symbols: Square, passive flat interface; Star, passive bulged-out interface; Triangle, 20 Hz oscillated bulged-out interface; Circle, baseline smooth wall TBL.
Figure 5. U ¯ profiles measured at locations L 1 , L 2 , L 3 , and L 4 in the presence of the 4 mm interface (panels (ad)) and the 8 mm interface (panels (eh)). Symbols: Square, passive flat interface; Star, passive bulged-out interface; Triangle, 20 Hz oscillated bulged-out interface; Circle, baseline smooth wall TBL.
Jmse 10 00879 g005
Figure 6. Profiles of ω z ¯ measured at location L 2 . Solid line: 4 mm interface; Dashed line: 8 mm interface. Symbols: Square, passive flat interface; Star, passive bulged-out interface; Triangle, 20 Hz oscillated bulged-out interface; Circle, baseline smooth wall TBL.
Figure 6. Profiles of ω z ¯ measured at location L 2 . Solid line: 4 mm interface; Dashed line: 8 mm interface. Symbols: Square, passive flat interface; Star, passive bulged-out interface; Triangle, 20 Hz oscillated bulged-out interface; Circle, baseline smooth wall TBL.
Jmse 10 00879 g006
Figure 7. The integral parameters: (a) boundary layer thickness ( δ ), (b) displacement thickness ( δ * ), (c) momentum thickness ( θ ), and (d) shape factor (H), in the presence of oscillating interfaces. The gray band in each panel highlights the range of the interface array. Symbols: Square, passive flat interface; Star, passive bulged-out interface; Triangle, 20 Hz oscillated bulged-out interface; Circle, baseline smooth wall TBL.
Figure 7. The integral parameters: (a) boundary layer thickness ( δ ), (b) displacement thickness ( δ * ), (c) momentum thickness ( θ ), and (d) shape factor (H), in the presence of oscillating interfaces. The gray band in each panel highlights the range of the interface array. Symbols: Square, passive flat interface; Star, passive bulged-out interface; Triangle, 20 Hz oscillated bulged-out interface; Circle, baseline smooth wall TBL.
Jmse 10 00879 g007
Table 1. The TBL profiles.
Table 1. The TBL profiles.
TBL U (m/s) δ (m) u τ 0 (m/s) Re θ
TBL10.40230.0181200
TBL20.59260.0251800
Table 2. The control condition and profile of the dynamic free-slip surface.
Table 2. The control condition and profile of the dynamic free-slip surface.
CaseInterface Statusw (mm)h (mm) h u τ 0 ν Modulation Power (W) Re θ We ( ρ u τ 0 2 l γ )
1Passive flat80.712012005.2
2Passive bulged-out81.426012007.3
3Active bulged-out82.540Low12009.8
4Passive flat40.618018007.4
5Passive bulged-out40.922018009.0
6Active bulged-out41.848High180012.8
7Passive flat81.2280180014.8
8Passive bulged-out82.6650180021.7
9Active bulged-out83.279High180024.1
Table 3. DR effect in TBL1.
Table 3. DR effect in TBL1.
LocationInterface StatusDR (%)
L 1 Passive flat−0.2
Passive bulged-out4.6
Active bulged-out1.8
L 3 Passive flat2
Passive bulged-out19
Active bulged-out28
L 5 Passive flat0.5
Passive bulged-out15
Active bulged-out16
Table 4. DR effect in TBL2.
Table 4. DR effect in TBL2.
LocationInterface StatusDR (%)
L 1 4 mm passive flat−1.5
4 mm passive bulged-out0.7
4 mm active bulged-out1.2
8 mm passive flat1.6
8 mm passive bulged-out3.3
8 mm active bulged-out4.9
L 3 4 mm passive flat11
4 mm passive bulged-out15
4 mm active bulged-out16
8 mm passive flat18
8 mm passive bulged-out31
8 mm active bulged-out36
L 4 4 mm passive flat9
4 mm passive bulged-out11
4 mm active bulged-out16
8 mm passive flat13
8 mm passive bulged-out21
8 mm active bulged-out22
Publisher’s Note: MDPI stays neutral with regard to jurisdictional claims in published maps and institutional affiliations.

Share and Cite

MDPI and ACS Style

Wang, C.; Gharib, M. On the Turbulent Drag Reduction Effect of the Dynamic Free-Slip Surface Method. J. Mar. Sci. Eng. 2022, 10, 879. https://doi.org/10.3390/jmse10070879

AMA Style

Wang C, Gharib M. On the Turbulent Drag Reduction Effect of the Dynamic Free-Slip Surface Method. Journal of Marine Science and Engineering. 2022; 10(7):879. https://doi.org/10.3390/jmse10070879

Chicago/Turabian Style

Wang, Cong, and Morteza Gharib. 2022. "On the Turbulent Drag Reduction Effect of the Dynamic Free-Slip Surface Method" Journal of Marine Science and Engineering 10, no. 7: 879. https://doi.org/10.3390/jmse10070879

APA Style

Wang, C., & Gharib, M. (2022). On the Turbulent Drag Reduction Effect of the Dynamic Free-Slip Surface Method. Journal of Marine Science and Engineering, 10(7), 879. https://doi.org/10.3390/jmse10070879

Note that from the first issue of 2016, this journal uses article numbers instead of page numbers. See further details here.

Article Metrics

Back to TopTop