A Novel Decision Support Methodology for Autonomous Collision Avoidance Based on Deduction of Manoeuvring Process
Abstract
:1. Introduction
1.1. Background
1.2. Related Studies
1.3. Contributions and Outlines
- (1)
 - A ship manoeuvring process deduction-based dynamic adaptive autonomous collision avoidance decision support methodology is established.
 - (2)
 - The COLREGs rules, good seamanship and ship manoeuvrability are comprehensively considered in the decision support methodology for autonomous collision avoidance.
 - (3)
 - A new collision risk evaluation model is constructed on the basis of the fuzzy set method to synthesize the SCRI and TCRI. This model considers the ship’s movement process and calculates the collision risk among ships in a dynamic way.
 - (4)
 - The impact of the TS’s action uncertainty on the collision avoidance decision is considered by the ship collision avoidance decision systems constructed in this paper.
 - (5)
 - The method constructed in this research is suitable for two-ship and multi-ship encounter situations, which is indispensable for collision avoidance systems for MASS.
 
2. Proposed Framework
3. Decision Support Methodology
3.1. The Dynamic Calculation Model of Collision Avoidance Parameters
3.2. Collision Risk Method
- (a)
 - Head-on situation
 
- (b)
 - Overtaking situation
 
- (c)
 - Crossing situation
 
3.3. Autonomous Collision Avoidance Method
| Algorithm 1. Algorithm for calculating dynamic feasible manoeuvring range. | 
| Input: the position , ; the speed , ; the course , | 
| Output: dynamic feasible manoeuvring range | 
| 1: Initialize the i = 1, | 
| 2: Initialize the = −90 | 
| 3: for do | 
| 4: for do | 
| 5: Calculate the target course | 
| 6: Put target course into course control system | 
| 7: Update: , , , , | 
| 8: for each TS do | 
| 9: Calculate whether the TS enters OS’s ship domain | 
| 10: If TS enter OS’s ship domain then | 
| 11: | 
| 12: i = i + | 
| 13: else | 
| 14: break | 
| 15: end for | 
| 16: end for | 
| 17: end for | 
| 18: return: feasible manoeuvring range | 
3.4. Resume-Sailing Model
3.5. Design of Adaptive Autonomous Collision Avoidance Algorithm
4. Case Study
4.1. Experimental Settings
4.2. Simulation Scenario 1
4.3. Simulation Scenario 2
4.4. Simulation Scenario 3
4.5. Simulation Scenario 4
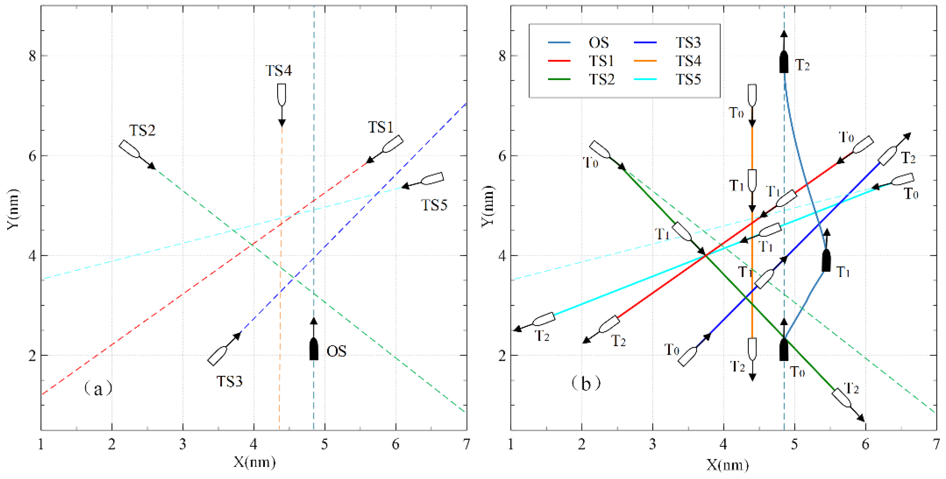
4.6. Simulation Scenario 5
5. Discussions and Analysis
5.1. Results and Discussion
5.2. Comparison Analysis
6. Conclusions
Author Contributions
Funding
Institutional Review Board Statement
Informed Consent Statement
Data Availability Statement
Conflicts of Interest
Nomenclature
| Symbols | Definitions | 
| speed of OS | |
| speed of TS | |
| relative speed of the OS and TS | |
| relative distance between the OS and TS | |
| relative course | |
| true relative bearing | |
| relative speed of the OS and TS on the X-axes | |
| relative speed of the OS and TS on the Y-axes | |
| relative bearing angle between OS and TS | |
| relative displacement from TS to OS on the X-axis | |
| membership function of the fuzzy set SCRI | |
| position coordinates of the other ship at time t | |
| relative displacement from TS to OS on the Y-axis | |
| L | ship length | 
| sets of location point elements at time t in the OS’s domain | |
| membership function of the fuzzy set TCRI | |
| TCS | time from the current moment to the first time point of a close-quarter situation | 
| safe distance between OS and TS | |
| all the possible positions when a collision happens | |
| geographic distance between two vessels | |
| trajectories considering ship manoeuvrability | |
| trajectories without regard to ship manoeuvrability | |
| feasible manoeuvring range | |
| altering angle | |
| the optimization steering angle | |
| LOS angle | |
| radius of the circle | 
Appendix A
| Parameter | Value | Parameter | Value | 
|---|---|---|---|
| LOA | 225 (m) | Acreage of rudder | 56.88 (m2) | 
| Draft | 14.5 (m) | Displacement | 90,000 × 103 (kg) | 
| 0.8715 | Density of sea water | 1000 (kg/m3) | |
| 0.8739 | RPM | 90 (r/min) | |
| Breadth | 32.5 (m) | Propeller pitch | 4.738 (m) | 


References
- Sawada, R.; Sato, K.; Majima, T. Automatic ship collision avoidance using deep reinforcement learning with LSTM in continuous action spaces. J. Mar. Sci. Technol. 2021, 26, 509–524. [Google Scholar] [CrossRef]
 - EMSA. Preliminary Annual Overview of Marine Casualties and Incidents 2014–2019; EMSA: Lisbon, Portugal, 2020. [Google Scholar]
 - Lyu, H.; Yin, Y. Fast path planning for autonomous ships in restricted waters. Appl. Sci. 2018, 8, 2592. [Google Scholar] [CrossRef] [Green Version]
 - Lyu, H.; Yin, Y. COLREGS-constrained real-time path planning for autonomous ships using modified artificial potential fields. J. Navig. 2019, 72, 588–608. [Google Scholar] [CrossRef]
 - Ahmed, G.; Sheltami, T.; Mahmoud, A.; Yasar, A. IoD swarms collision avoidance via improved particle swarm optimization. Transp. Res. Part A Policy Pract. 2020, 142, 260–278. [Google Scholar] [CrossRef]
 - Zaccone, R.; Martelli, M. A collision avoidance algorithm for ship guidance applications. J. Mar. Eng. Technol. 2020, 19, 62–75. [Google Scholar] [CrossRef]
 - Yuan, X.; Zhang, D.; Zhang, J.; Zhang, M.; Guedes Soares, C. A novel real-time collision risk awareness method based on velocity obstacle considering uncertainties in ship dynamics. Ocean Eng. 2021, 220, 108436. [Google Scholar] [CrossRef]
 - Ni, S.; Liu, Z.; Cai, Y. Ship manoeuvrability-based simulation for ship navigation in collision situations. J. Mar. Sci. Eng. 2019, 7, 90. [Google Scholar] [CrossRef] [Green Version]
 - Praczyk, T. Neural anti-collision system for Autonomous Surface Vehicle. Neurocomputing 2015, 149, 559–572. [Google Scholar] [CrossRef]
 - Woo, J.; Kim, N. Collision avoidance for an unmanned surface vehicle using deep reinforcement learning. Ocean Eng. 2020, 199, 107001. [Google Scholar] [CrossRef]
 - Li, J.; Wang, H.; Guan, Z.; Pan, C. Distributed Multi-Objective Algorithm for Preventing Multi-Ship Collisions at Sea. J. Navig. 2020, 73, 971–990. [Google Scholar] [CrossRef]
 - Li, M.; Mou, J.; Chen, L.; Huang, Y.; Chen, P. Comparison between the collision avoidance decision-making in theoretical research and navigation practices. Ocean Eng. 2021, 228, 108881. [Google Scholar] [CrossRef]
 - Huang, Y.; Chen, L.; Chen, P.; Negenborn, R.R.; van Gelder, P.H.A.J.M. Ship collision avoidance methods: State-of-the-art. Saf. Sci. 2020, 121, 451–473. [Google Scholar] [CrossRef]
 - Li, L.; Wu, D.; Huang, Y.; Yuan, Z.M. A path planning strategy unified with a COLREGS collision avoidance function based on deep reinforcement learning and artificial potential field. Appl. Ocean Res. 2021, 113, 102759. [Google Scholar] [CrossRef]
 - Lazarowska, A. A Discrete Artificial Potential Field for Ship Trajectory Planning. J. Navig. 2020, 73, 233–251. [Google Scholar] [CrossRef]
 - Zaccone, R. COLREG-compliant optimal path planning for real-time guidance and control of autonomous ships. J. Mar. Sci. Eng. 2021, 9, 405. [Google Scholar] [CrossRef]
 - Chiang, H.T.L.; Tapia, L. COLREG-RRT: An RRT-Based COLREGS-Compliant Motion Planner for Surface Vehicle Navigation. IEEE Robot. Autom. Lett. 2018, 3, 2024–2031. [Google Scholar] [CrossRef]
 - Huang, Y.; Van Gelder, P.H.A.J.M.; Wen, Y. Velocity obstacle algorithms for collision prevention at sea. Ocean Eng. 2018, 151, 308–321. [Google Scholar] [CrossRef]
 - Chen, P.; Huang, Y.; Papadimitriou, E.; Mou, J.; van Gelder, P.H.A.J.M. An improved time discretized non-linear velocity obstacle method for multi-ship encounter detection. Ocean Eng. 2020, 196, 106718. [Google Scholar] [CrossRef]
 - Xie, S.; Chu, X.; Zheng, M.; Liu, C. Ship predictive collision avoidance method based on an improved beetle antennae search algorithm. Ocean Eng. 2019, 192, 106542. [Google Scholar] [CrossRef]
 - Ahn, J.H.; Rhee, K.P.; You, Y.J. A study on the collision avoidance of a ship using neural networks and fuzzy logic. Appl. Ocean Res. 2012, 37, 162–173. [Google Scholar] [CrossRef]
 - Zhao, L.; Roh, M.I.; Lee, S.J. Control method for path following and collision avoidance of autonomous ship based on deep reinforcement learning. J. Mar. Sci. Technol. 2019, 27, 293–310. [Google Scholar] [CrossRef]
 - Zhao, L.; Roh, M. COLREGs-compliant multiship collision avoidance based on deep reinforcement learning. Ocean Eng. 2019, 191, 106436. [Google Scholar] [CrossRef]
 - Shen, H.; Hashimoto, H.; Terada, D.; Guo, C. Automatic collision avoidance of multiple ships based on deep Q-learning. Appl. Ocean Res. 2019, 86, 268–288. [Google Scholar] [CrossRef]
 - Wang, S.; Zhang, Y.; Li, L. A collision avoidance decision-making system for autonomous ship based on modified velocity obstacle method. Ocean Eng. 2020, 215, 107910. [Google Scholar] [CrossRef]
 - Zhang, X.; Wang, C.; Jiang, L.; An, L.; Yang, R. Collision-avoidance navigation systems for Maritime Autonomous Surface Ships: A state of the art survey. Ocean Eng. 2021, 235, 109380. [Google Scholar] [CrossRef]
 - Hu, Y.; Meng, X.; Zhang, Q.; Park, G.K. A Real-Time Collision Avoidance System for Autonomous Surface Vessel Using Fuzzy Logic. IEEE Access 2020, 8, 108835–108846. [Google Scholar] [CrossRef]
 - Zhang, J.; Zhang, D.; Yan, X.; Haugen, S.; Guedes Soares, C. A distributed anti-collision decision support formulation in multi-ship encounter situations under COLREGs. Ocean Eng. 2015, 105, 336–348. [Google Scholar] [CrossRef]
 - Mizythras, P.; Pollalis, C.; Boulougouris, E.; Theotokatos, G. A novel decision support methodology for oceangoing vessel collision avoidance. Ocean Eng. 2021, 230, 109004. [Google Scholar] [CrossRef]
 - Pietrzykowski, Z.; Wołejsza, P.; Borkowski, P. Decision Support in Collision Situations at Sea. J. Navig. 2017, 70, 447–464. [Google Scholar] [CrossRef]
 - Li, M.; Mou, J.; He, Y.; Zhang, X.; Xie, Q.; Chen, P. Dynamic trajectory planning for unmanned ship under multi-object environment. J. Mar. Sci. Technol. 2021, 27, 173–185. [Google Scholar] [CrossRef]
 - Wang, X.; Liu, Z.; Cai, Y. The ship maneuverability based collision avoidance dynamic support system in close-quarters situation. Ocean Eng. 2017, 146, 486–497. [Google Scholar] [CrossRef]
 - Fiskin, R.; Atik, O.; Kisi, H.; Nasibov, E.; Johansen, T.A. Fuzzy domain and meta-heuristic algorithm-based collision avoidance control for ships: Experimental validation in virtual and real environment. Ocean Eng. 2021, 220, 108502. [Google Scholar] [CrossRef]
 - Li, J.; Wang, H.; Zhao, W.; Xue, Y. Ship’s Trajectory Planning Based on Improved Multiobjective Algorithm for Collision Avoidance. J. Adv. Transp. 2019, 2019, 4068783. [Google Scholar] [CrossRef]
 - He, Y.; Jin, Y.; Huang, L.; Xiong, Y.; Chen, P.; Mou, J. Quantitative analysis of COLREG rules and seamanship for autonomous collision avoidance at open sea. Ocean Eng. 2017, 140, 281–291. [Google Scholar] [CrossRef]
 - Fiorini, P.; Shiller, Z. Motion planning in dynamic environments using velocity obstacles. Int. J. Rob. Res. 1998, 17, 760–772. [Google Scholar] [CrossRef]
 - Battisti, T.; Muradore, R. A velocity obstacles approach for autonomous landing and teleoperated robots. Auton. Robots 2020, 44, 217–232. [Google Scholar] [CrossRef]
 - Yasukawa, H.; Yoshimura, Y. Introduction of MMG standard method for ship maneuvering predictions. J. Mar. Sci. Technol. 2015, 20, 37–52. [Google Scholar] [CrossRef] [Green Version]
 - He, Y.; Li, Z.; Mou, J.; Hu, W.; Li, L.; Wang, B. Collision-avoidance path planning for multi-ship encounters considering ship manoeuvrability and COLREGs. Transp. Saf. Environ. 2021, 3, 103–113. [Google Scholar] [CrossRef]
 - Xu, X.; Lu, Y.; Liu, X.; Zhang, W. Intelligent collision avoidance algorithms for USVs via deep reinforcement learning under COLREGs. Ocean Eng. 2020, 217, 107704. [Google Scholar] [CrossRef]
 - Huang, Y.; Chen, L.; Negenborn, R.R.; Van Gelder, P.H.A.J.M. A ship collision avoidance system for human-machine cooperation during collision avoidance. Ocean Eng. 2020, 217, 107913. [Google Scholar] [CrossRef]
 













| Case | Ship List | Position | Course (°) | Velocity (kn) | Distance (nm) | Ship Length (m) | 
|---|---|---|---|---|---|---|
| Scenario 1 | OS | (123°46.519′ E, 29°24.877′ N) | 006.5 | 12 | 0 | 225 | 
| TS | (123°46.823′ E, 29°29.763′ N) | 186 | 10 | 4.8532 | 180 | |
| Scenario 2 | OS | (123°46.519′ E, 29°24.877′ N) | 040 | 14 | 0 | 225 | 
| TS | (123°48.636′ E, 29°27.213′ N) | 040 | 5 | 2.9507 | 180 | |
| Scenario 3 | OS | (123°46.897′ E, 29°25.019′ N) | 022 | 12 | 0 | 225 | 
| TS | (123°49.964′ E, 29°29.231′ N) | 235 | 11 | 4.9422 | 180 | 
| Case | Ship List | Position | Course (°) | Velocity (kn) | Distance (nm) | Ship Length (m)  | Course Altering Angle (°) | 
|---|---|---|---|---|---|---|---|
| Scenario 4 | OS | (123°46.521′ E, 29°24.222′ N) | 022 | 11 | 0 | 225 | +16 | 
| TS1 | (123°47.420′ E, 29°29.052′ N) | 185 | 10 | 4.8613 | 180 | +12 | |
| TS2 | (123°49.892′ E, 29°27.988′ N) | 250 | 8 | 4.7404 | 180 | −15 | |
| Scenario 5 | OS | (123°48.391′ E, 29°26.212′ N) | 000 | 12 | 0 | 225 | +23 | 
| TS1 | (123°49.532′ E, 29°30.150′ N) | 225 | 10 | 4.0571 | 180 | 0 | |
| TS2 | (123°45.525′ E, 29°30.042′ N) | 135 | 12 | 4.5814 | 180 | +12 | |
| TS3 | (123°46.854′ E, 29°26.046′ N) | 035 | 10 | 1.3675 | 180 | 0 | |
| TS4 | (123°47.925′ E, 29°31.042′ N) | 180 | 10 | 4.8558 | 180 | 0 | |
| TS5 | (123°50.315′ E, 29°29.547′ N) | 250 | 12 | 3.7158 | 180 | −10 | 
Publisher’s Note: MDPI stays neutral with regard to jurisdictional claims in published maps and institutional affiliations.  | 
© 2022 by the authors. Licensee MDPI, Basel, Switzerland. This article is an open access article distributed under the terms and conditions of the Creative Commons Attribution (CC BY) license (https://creativecommons.org/licenses/by/4.0/).
Share and Cite
Zhang, K.; Huang, L.; Liu, X.; Chen, J.; Zhao, X.; Huang, W.; He, Y. A Novel Decision Support Methodology for Autonomous Collision Avoidance Based on Deduction of Manoeuvring Process. J. Mar. Sci. Eng. 2022, 10, 765. https://doi.org/10.3390/jmse10060765
Zhang K, Huang L, Liu X, Chen J, Zhao X, Huang W, He Y. A Novel Decision Support Methodology for Autonomous Collision Avoidance Based on Deduction of Manoeuvring Process. Journal of Marine Science and Engineering. 2022; 10(6):765. https://doi.org/10.3390/jmse10060765
Chicago/Turabian StyleZhang, Ke, Liwen Huang, Xiao Liu, Jiahao Chen, Xingya Zhao, Weiguo Huang, and Yixiong He. 2022. "A Novel Decision Support Methodology for Autonomous Collision Avoidance Based on Deduction of Manoeuvring Process" Journal of Marine Science and Engineering 10, no. 6: 765. https://doi.org/10.3390/jmse10060765
APA StyleZhang, K., Huang, L., Liu, X., Chen, J., Zhao, X., Huang, W., & He, Y. (2022). A Novel Decision Support Methodology for Autonomous Collision Avoidance Based on Deduction of Manoeuvring Process. Journal of Marine Science and Engineering, 10(6), 765. https://doi.org/10.3390/jmse10060765
        
                                                
