Numerical Study of Local Scour around Tripod Foundation in Random Waves
Abstract
:1. Introduction
2. Numerical Model
2.1. Momentum Equations
2.2. Turbulence Model
2.3. Sediment Scour Model
2.3.1. Entrainment and Deposition
2.3.2. Bed Load Transportation
2.3.3. Suspended Load Transportation
3. Model Setup
3.1. Mesh Generation
3.2. Boundary Conditions
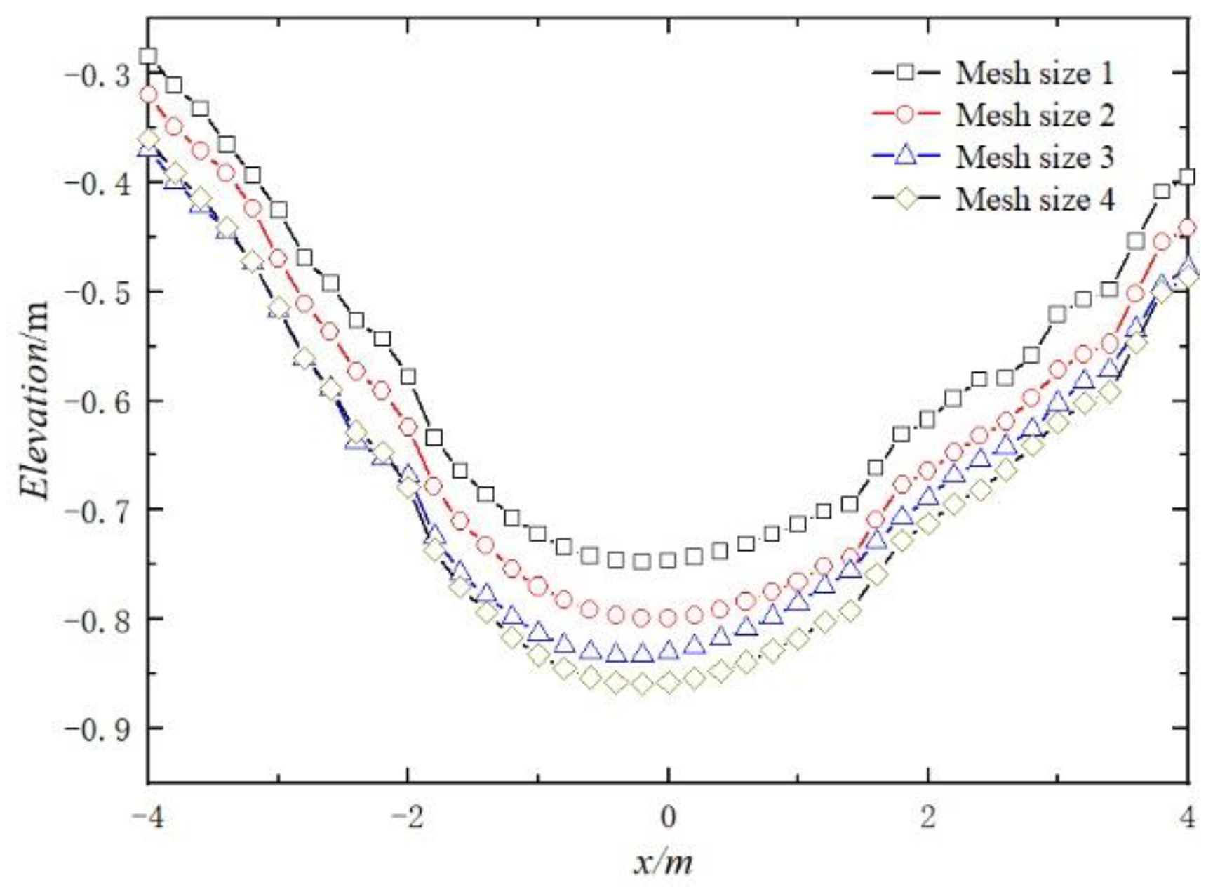
3.3. Mesh Sensitivity
3.4. Model Validation
4. Numerical Results
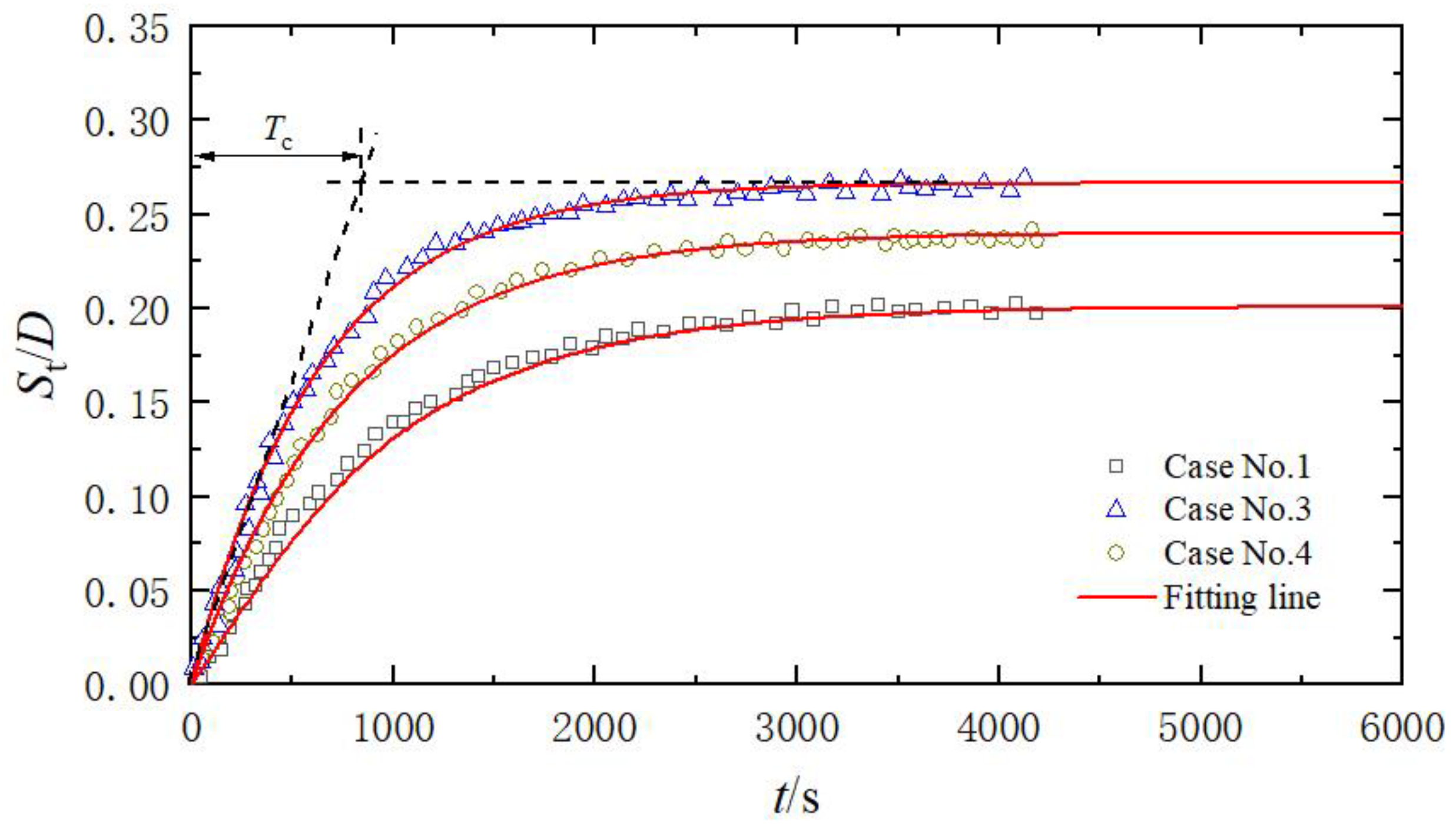
4.1. Scour Evolution
4.2. Scour Characteristics and Flow Velocity Distribution
4.3. Equilibrium Scour Depth Prediction
5. Conclusions
- (1)
- The present seabed-tripod-fluid numerical model is capable of depicting the scour process and of capturing the flow field around tripods with high accuracy, indicating that the present seabed-tripod-fluid numerical model is adaptable to simulations of the scour around tripods in random waves.
- (2)
- Due to the blockage effects of the main column and structural elements, there are enhanced flow accelerations underneath the main column and the lower diagonal braces, which increases the turbulence intensity and seabed shear stress, leading to more particles being mobilized and transported and thus resulting in more severe scour at the site.
- (3)
- The revised stochastic model shows that the best agreement with the numerical and experimental results occurs when n = 20, but additional experimental data and numerical results are needed to verify the adaptation of the revised stochastic model for larger KC conditions (KCrms,a > 4).
Author Contributions
Funding
Institutional Review Board Statement
Informed Consent Statement
Data Availability Statement
Conflicts of Interest
References
- Fazeres-Ferradosa, T.; Rosa-Santos, P.; Taveira-Pinto, F.; Vanem, E.; Carvalho, H.; Correia, J.A.F.D.O. Advanced research on offshore structures and foundation design: Part 1. In Proceedings of the Institution of Civil Engineers-Maritime Engineering, 19 December 2019; Thomas Telford Ltd.: London, UK, 2019. [Google Scholar] [CrossRef]
- Fazeres-Ferradosa, T.; Rosa-Santos, P.; Taveira-Pinto, F.; Pavlou, D.; Gao, F.P.; Carvalho, H.; Oliveira-Pinto, S. Advanced research on offshore structures and foundation design: Part 2. In Proceedings of the Institution of Civil Engineers-Maritime Engineering, 23 December 2020; Thomas Telford Ltd.: London, UK, 2020. [Google Scholar] [CrossRef]
- Stahlmann, A. Experimental and Numerical Modeling of Scour at Foundation Structures for Offshore Wind Turbines. Ph.D. Thesis, Franzius-Institute for Hydraulic, Estuarine and Coastal Engineering, Leibniz Universität Hannover, Hannover, Germany, 2013. [Google Scholar]
- Yuan, C.G.; Melville, B.W.; Adams, K.N. Scour at wind turbine tripod foundation under steady flow. Ocean Eng. 2017, 141, 277–282. [Google Scholar] [CrossRef]
- Yamini, O.A.; Mousavi, S.H.; Kavianpour, M.R.; Movahedi, A. Numerical modeling of sediment scouring phenomenon around the offshore wind turbine pile in marine environment. Environ. Earth Sci. 2018, 77, 776. [Google Scholar] [CrossRef]
- Hu, R.; Wang, X.; Liu, H.; Lu, Y. Experimental study of local scour around tripod foundation in combined collinear waves-current conditions. J. Mar. Sci. Eng. 2021, 9, 1373. [Google Scholar] [CrossRef]
- Sumer, B.M.; Fredsøe, J. Scour around Pile in Combined Waves and Current. J. Hydraul. Eng. 2001, 127, 403–411. [Google Scholar] [CrossRef]
- Petersen, T.U.; Sumer, B.M.; Fredsøe, J. Time scale of scour around a pile in combined waves and current. In Proceedings of the 6th International Conference on Scour and Erosion, Paris, France, 27–31 August 2012. [Google Scholar]
- Corvaro, S.; Marini, F.; Mancinelli, A.; Lorenzoni, C.; Brocchini, M. Hydro- and morpho-dynamics induced by a vertical slender pile under regular and random waves. J. Waterw. Port Coast. Ocean Eng. 2018, 144, 04018018. [Google Scholar] [CrossRef]
- Li, H.; Liu, H.; Liu, S. Dynamic analysis of umbrella suction anchor foundation embedded in seabed for offshore wind turbines. Geomech. Energy Environ. 2017, 10, 12–20. [Google Scholar] [CrossRef]
- Xu, X.B.; Xu, G.H.; Ren, Y.P.; Liu, Z.Q.; Chen, C.Y. Horizontal normal force on buried rigid pipelines in fluctuant liquefied silty soil. J. Ocean U. China 2019, 18, 1–8. [Google Scholar] [CrossRef]
- Wu, M.; De Vos, L.; Chavez, C.E.A.; Stratigaki, V.; Fazeres-Ferradosa, T.; Rosa-Santos, P.; Taveira-Pinto, F.; Troch, P. Large scale experimental study of the scour protection damage around a monopile foundation under combined wave and current conditions. J. Mar. Sci. Eng. 2020, 8, 417. [Google Scholar] [CrossRef]
- Ren, Y.P.; Zeng, Y.; Xu, X.B.; Xu, G.H. Sedimentary changes of a sand layer in liquefied silts. J. Ocean U. China 2021, 20, 1046–1054. [Google Scholar] [CrossRef]
- Sumer, B.M.; Fredsøe, J.; Christiansen, N. Scour around vertical pile in waves. J. Waterw. Port Coast. Ocean Eng. 1992, 118, 15–31. [Google Scholar] [CrossRef]
- Sumer, B.M.; Christiansen, N.; Fredsøe, J. The horseshoe vortex and vortex shedding around a vertical wall-mounted cylinder exposed to waves. J. Fluid Mech. 1997, 332, 41–70. [Google Scholar] [CrossRef]
- Larsen, B.E.; Fuhrman, D.R.; Baykal, C.; Sumer, B.M. Tsunami-induced scour around monopile foundations. Coast. Eng. 2017, 129, 36–49. [Google Scholar] [CrossRef] [Green Version]
- Umeda, S. Scour regime and scour depth around a pile in waves. J. Coastal Res. 2011, 64, 845–849. [Google Scholar]
- Umeda, S. Scour process around monopiles during various phases of sea storms. J. Coastal Res. 2013, 165, 1599–1604. [Google Scholar] [CrossRef]
- Yu, T.; Zhang, Y.; Zhang, S.; Shi, Z.; Chen, X.; Xu, Y.; Tang, Y. Experimental study on scour around a composite bucket foundation due to waves and current. Ocean Eng. 2019, 189, 106302. [Google Scholar] [CrossRef]
- Jalal H, K.; Hassan W, H. Effect of bridge pier shape on depth of scour. In Proceedings of the 3rd International Conference on Engineering Sciences, Gowa, Indonesia, 24–25 September 2019. [Google Scholar]
- Hassan W, H.; Jalal H, K. Prediction of the depth of local scouring at a bridge pier using a gene expression programming method. SN Appl. Sci. 2021, 3, 159. [Google Scholar] [CrossRef]
- Welzel, M.; Schendel, A.; Goseberg, N.; Hildebrandt, A.; Schlurmann, T. Influence of Structural Elements on the Spatial Sediment Displacement around a Jacket-Type Offshore Foundation. Water 2020, 12, 1651. [Google Scholar] [CrossRef]
- Welzel, M.; Schendel, A.; Hildebrandt, A.; Schlurmann, T. Scour development around a jacket structure in combined waves and current conditions compared to monopile foundations. Coast. Eng. 2019, 152, 103515. [Google Scholar] [CrossRef]
- Hassan W, H.; Hussein H, H.; Alshammari M, H. Evaluation of gene expression programming and artificial neural networks in PyTorch for the prediction of local scour depth around a bridge pier. Res. Eng. 2022, 13, 100353. [Google Scholar] [CrossRef]
- DNV. Design of Offshore Wind Turbine Structures. Offshore Standard DNV-OSJ101; Det Norske Veritas AS: Berum, Norway, 2013. [Google Scholar]
- Yakhot, V.; Orszag, S.A. Renormalization group analysis of turbulence. I. Basic theory. J. Comput. Sci. 1986, 1, 3–51. [Google Scholar] [CrossRef]
- Yakhot, V.; Smith, L.M. The renormalization group, the e-expansion and derivation of turbulence models. J. Comput. Sci. 1992, 7, 35–61. [Google Scholar] [CrossRef]
- Mastbergen, D.R.; Berg, J.V.D. Breaching in fine sands and the generation of sustained turbidity currents in submarine canyons. Sedimentology 2003, 50, 625–637. [Google Scholar] [CrossRef]
- Soulsby, R. Dynamics of Marine Sands; Thomas Telford Ltd.: London, UK, 1998. [Google Scholar]
- Van Rijn, L.C. Sediment transport, Part I: Bed load transport. J. Hydraul. Eng. 1984, 110, 1431–1456. [Google Scholar] [CrossRef] [Green Version]
- Yu, Y.X.; Liu, S.X. Random Wave and Its Applications to Engineering, 4th ed.; Dalian University of Technology Press: Dalian, China, 2011. [Google Scholar]
- Pang, A.L.J.; Skote, M.; Lim, S.Y.; Gullman-Strand, J.; Morgan, N. A numerical approach for determining equilibrium scour depth around a mono-pile due to steady currents. Appl. Ocean Res. 2016, 57, 114–124. [Google Scholar] [CrossRef]
- Schendel, A.; Welzel, M.; Schlurmann, T.; Hsu, T.W. Scour around a monopile induced by directionally spread irregular waves in combination with oblique currents. Coast. Eng. 2020, 161, 103751. [Google Scholar] [CrossRef]
- Melville, B.W.; Chiew, Y.M. Time scale for local scour in bridge piers. J. Hydraul Eng. 1999, 125, 59–65. [Google Scholar] [CrossRef]
- Yang, L.P.; Shi, B.; Guo, Y.K.; Wen, X.Y. Calculation and experiment on scour depth for submarine pipeline with a spoiler. Ocean Eng. 2012, 55, 191–198. [Google Scholar] [CrossRef]
- Yang, L.P.; Shi, B.; Guo, Y.K.; Zhang, L.X.; Zhang, J.S.; Han, Y. Scour protection of submarine pipelines using rubber plates underneath the pipes. Ocean Eng. 2014, 84, 176–182. [Google Scholar] [CrossRef] [Green Version]
- Fazeres-Ferradosa, T.; Chambel, J.; Taveira-Pinto, F.; Rosa-Santos, P.; Taveira-Pinto, F.V.C.; Giannini, G.; Haerens, P. Scour protections for offshore foundations of marine energy harvesting technologies: A review. J. Mar. Sci. Eng. 2021, 9, 297. [Google Scholar] [CrossRef]
- Myrhaug, D.; Rue, H. Scour below pipelines and around vertical piles in random waves. Coast. Eng. 2003, 48, 227–242. [Google Scholar] [CrossRef]











| No. | d (m) | H1/3 (m) | TP (s) | Uwm,rms (m/s) | KCrms,a | Seq/D |
|---|---|---|---|---|---|---|
| 1 | 8 | 2.5 | 9.53 | 0.769 | 2.211 | 0.201 |
| 2 | 8 | 3.0 | 10.37 | 0.961 | 3.006 | 0.245 |
| 3 | 8 | 3.5 | 10.76 | 1.141 | 3.702 | 0.266 |
| 4 | 9 | 3.0 | 10.37 | 0.883 | 2.762 | 0.225 |
| 5 | 9 | 3.5 | 10.76 | 1.050 | 3.407 | 0.250 |
| 6 | 10 | 3.0 | 10.37 | 0.814 | 2.545 | 0.201 |
| 7 | 10 | 3.5 | 10.76 | 0.971 | 3.151 | 0.248 |
| 8 | 11 | 3.0 | 10.37 | 0.854 | 2.671 | 0.192 |
| 9 | 11 | 3.5 | 10.76 | 0.902 | 2.927 | 0.238 |
| 10 | 12 | 3.0 | 10.37 | 0.700 | 2.189 | 0.183 |
| 11 | 12 | 3.5 | 10.76 | 0.839 | 2.722 | 0.211 |
Publisher’s Note: MDPI stays neutral with regard to jurisdictional claims in published maps and institutional affiliations. |
© 2022 by the authors. Licensee MDPI, Basel, Switzerland. This article is an open access article distributed under the terms and conditions of the Creative Commons Attribution (CC BY) license (https://creativecommons.org/licenses/by/4.0/).
Share and Cite
Hu, R.; Wang, X.; Liu, H.; Chen, D. Numerical Study of Local Scour around Tripod Foundation in Random Waves. J. Mar. Sci. Eng. 2022, 10, 475. https://doi.org/10.3390/jmse10040475
Hu R, Wang X, Liu H, Chen D. Numerical Study of Local Scour around Tripod Foundation in Random Waves. Journal of Marine Science and Engineering. 2022; 10(4):475. https://doi.org/10.3390/jmse10040475
Chicago/Turabian StyleHu, Ruigeng, Xiuhai Wang, Hongjun Liu, and Da Chen. 2022. "Numerical Study of Local Scour around Tripod Foundation in Random Waves" Journal of Marine Science and Engineering 10, no. 4: 475. https://doi.org/10.3390/jmse10040475
APA StyleHu, R., Wang, X., Liu, H., & Chen, D. (2022). Numerical Study of Local Scour around Tripod Foundation in Random Waves. Journal of Marine Science and Engineering, 10(4), 475. https://doi.org/10.3390/jmse10040475
