Scour Characteristics and Equilibrium Scour Depth Prediction around a Submarine Piggyback Pipeline
Abstract
:1. Introduction
2. Experiment Design
3. Experimental Results and Discussion
3.1. Scour Evolution and Scour Morphology
3.2. Equilibrium Scour Depth Prediction
3.3. Scour Timescale
3.4. Influence of the Inflow Reynolds Number Red on Seq
3.5. Influence of the Maximum Shields Number θcw on Seq
3.6. Remarks Regarding the Local Scour around the Piggyback Pipeline
4. Conclusions
- (1)
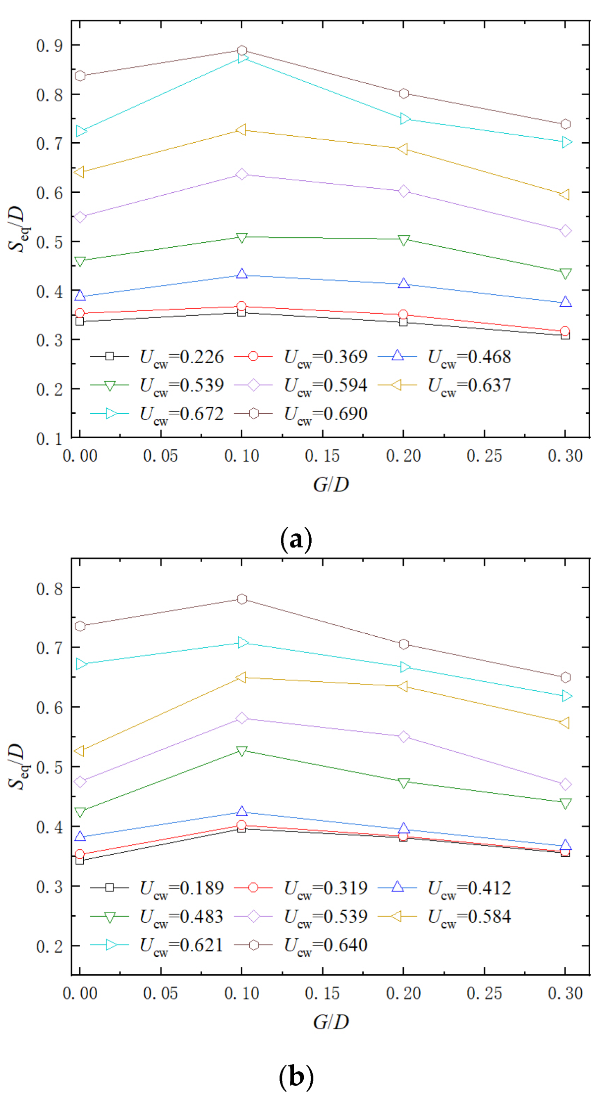
- The equilibrium scour depth Seq below piggyback pipelines increases when the gap ratio G/D increases from 0 to 0.1, and it gradually decreases when G/D > 0.1. For small G/D, the small pipeline acts like a rigid spoiler attached on the top of the larger pipeline, which significantly increases the block area and turbulent velocity around the pipeline, causing more soil particles to be mobilized and, consequently, leading to more serious scour.
- (2)
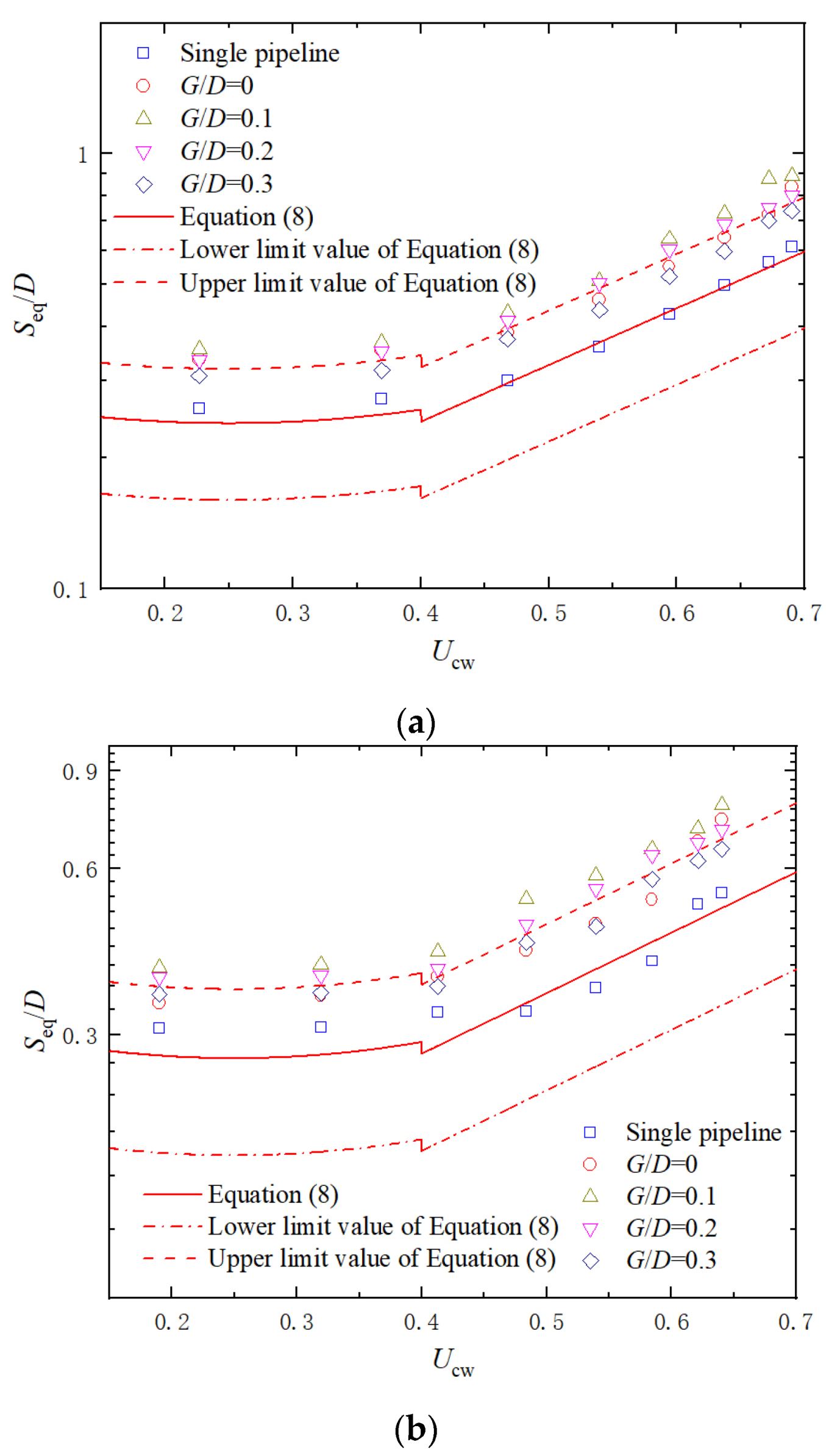
- For a given KC, the Seq below the piggyback pipeline increases with the increase of the ratio of velocities Ucw. In addition, when Ucw is fixed, a higher KC results in a greater Seq. The upper limit results from Sumer and Fredsøe [28] are capable of predicting the Seq with favorable effects for G/D = 0~0.3.
- (3)
- The dimensionless scour timescale T* is closely related to the maximum Shields parameter θcw and the gap ratio G/D. Based on that, a new analytical expression is proposed to calculate the T* for a piggyback pipeline in combined waves and current.
- (4)
- The higher Red and θcw both tend to result in the greater scour depth below the piggyback pipeline in combined waves and current.
Author Contributions
Funding
Institutional Review Board Statement
Informed Consent Statement
Data Availability Statement
Conflicts of Interest
Notation
| Hw | wave height |
| T | wave period |
| d | water depth |
| Gs | specific gravity of sediment particles |
| d50 | median diameter of sediment |
| ρs | density of sediment |
| ρw | density of fluid |
| g | gravity acceleration |
| D | diameter of the large pipeline |
| d′ | diameter of the small pipeline |
| G/D | gap ratio |
| St | instantaneous scour depth |
| Sc | equilibrium scour depth in current-only condition |
| Seq | equilibrium scour depth in combined waves and current |
| Tc | time scale in scour process |
| T* | dimensionless scour timescale |
| θcur | Shields parameter for the current-only case |
| θw | Shields parameter for the wave-only case |
| θm | mean Shields parameter |
| θcw | maximum Shield parameter |
| Uc | current velocity |
| Uwm | maximum undisturbed orbital velocity above the wave boundary layer |
| Ucw | ratio of velocities |
| Uf,w | maximum near-bed friction velocity for the wave-only case |
| Um | maximum value of the near-bed flow velocity in combined waves and current |
| Red | Reynolds number |
References
- Jakobsen, M.L.; Sayer, P. Hydrodynamic forces on piggyback pipelines. In Proceedings of the 5th International Offshore and Polar Engineering Conference, Hague, Netherlands, 11–15 June 1995. [Google Scholar]
- Zhao, M.; Cheng, L.; Teng, B.; Dong, G. Hydrodynamic forces on dual cylinders of different diameters in steady currents. J. Fluids Struct. 2006, 23, 59–83. [Google Scholar] [CrossRef]
- Zhao, M.; Cheng, L.; Teng, B. Numerical Modeling of Flow and Hydrodynamic Forces around a Piggyback Pipeline near the Seabed. J. Waterw. Port. Coast. Ocean. Eng. 2007, 133, 286–295. [Google Scholar] [CrossRef]
- Yang, H.; Ni, H. An applicable replacement bundled pipeline structure for offshore marginal oilfield development. Ship Build. China 2007, 48, 563–570. [Google Scholar]
- Fredsøe, J. Pipeline–seabed interaction. J. Waterw. Port Coast. Ocean Eng. 2016, 142, 03116002. [Google Scholar] [CrossRef] [Green Version]
- Liang, D.; Cheng, L. Numerical Model for Wave-Induced Scour below a Submarine Pipeline. J. Waterw. Port Coast. Ocean. Eng. 2005, 131, 193–202. [Google Scholar] [CrossRef]
- Seth, D.; Manna, B.; Shahu, J.T.; Fazeres-Ferradosa, T.; Pinto, F.T.; Rosa-Santos, P.J. Buckling Mechanism of Offshore Pipelines: A State of the Art. J. Mar. Sci. Eng. 2021, 9, 1074. [Google Scholar] [CrossRef]
- Fazeres-Ferradosa, T.; Rosa-Santos, P.; Taveira-Pinto, F.; Vanem, E.; Carvalho, H.; Correia, J.A.F.D.O. Advanced research on offshore structures and foundation design: Part 1. Proc. Inst. Civ. Eng. Marit. Eng. 2019, 4, 118–123. [Google Scholar] [CrossRef]
- Sumer, B.; Truelsen, C.; Sichmann, T.; Fredsøe, J. Onset of scour below pipelines and self-burial. Coast. Eng. 2001, 42, 313–335. [Google Scholar] [CrossRef]
- Yang, L.; Shi, B.; Guo, Y.; Wen, X. Calculation and experiment on scour depth for submarine pipeline with a spoiler. Ocean Eng. 2012, 55, 191–198. [Google Scholar] [CrossRef]
- Yang, L.; Shi, B.; Guo, Y.; Zhang, L.; Zhang, J.; Han, Y. Scour protection of submarine pipelines using rubber plates underneath the pipes. Ocean Eng. 2014, 84, 176–182. [Google Scholar] [CrossRef] [Green Version]
- Zang, Z.; Tang, G.; Chen, Y.; Cheng, L.; Zhang, J. Predictions of the equilibrium depth and time scale of local scour below a partially buried pipeline under oblique currents and waves. Coast. Eng. 2019, 150, 94–107. [Google Scholar] [CrossRef]
- Hu, R.; Wang, X.; Liu, H.; Leng, H. Scour Protection of Submarine Pipelines Using Ionic Soil Stabilizer Solidified Soil. J. Mar. Sci. Eng. 2022, 10, 76. [Google Scholar] [CrossRef]
- Gao, F.-P. Flow-pipe-soil coupling mechanisms and predictions for submarine pipeline instability. J. Hydrodyn. 2017, 29, 763–773. [Google Scholar] [CrossRef]
- Chiew, Y.M. Mechanics of Local Scour around Submarine Pipelines. J. Hydraul. Eng. 1990, 116, 515–529. [Google Scholar] [CrossRef]
- Lu, L.; Li, Y.; Chen, B. Mechanism of Local Scour around Submarine Pipelines Based on Numerical Simulation of Turbulence Model. In Proceedings of the 24th International Conference on Offshore Mechanics and Arctic Engineering, Halkidiki, Greece, 12–17 June 2005; pp. 677–683. [Google Scholar] [CrossRef]
- Fredsoe, J.; Sumer, B.M.; Arnskov, M.M. Time scale for wave/current scour below pipelines. In Proceedings of the 1st International Offshore and Polar Engineering Conference, Edinburgh, UK, 11–16 August 1991. [Google Scholar]
- Liu, M.-M.; Lu, L.; Teng, B.; Zhao, M.; Tang, G.-Q. Numerical modeling of local scour and forces for submarine pipeline under surface waves. Coast. Eng. 2016, 116, 275–288. [Google Scholar] [CrossRef]
- Fuhrman, D.R.; Baykal, C.; Sumer, B.M.; Jacobsen, N.G.; Fredsøe, J. Numerical simulation of wave-induced scour and back-filling processes beneath submarine pipelines. Coast. Eng. 2014, 94, 10–22. [Google Scholar] [CrossRef]
- Zhao, E.; Dong, Y.; Tang, Y.; Sun, J. Numerical investigation of hydrodynamic characteristics and local scour mechanism around submarine pipelines under joint effect of solitary waves and currents. Ocean Eng. 2021, 222, 108553. [Google Scholar] [CrossRef]
- Ahmad, N.; Bihs, H.; Myrhaug, D.; Kamath, A.; Arntsen, A. Numerical modelling of pipeline scour under the combined action of waves and current with free-surface capturing. Coast. Eng. 2019, 148, 19–35. [Google Scholar] [CrossRef]
- Zhao, M.; Cheng, L. Numerical Modeling of Local Scour below a Piggyback Pipeline in Currents. J. Hydraul. Eng. 2008, 134, 1452–1463. [Google Scholar] [CrossRef]
- Yang, S.; Shi, B.; Guo, Y. Investigation on scour scale of piggyback pipeline under wave conditions. Ocean Eng. 2019, 182, 196–202. [Google Scholar] [CrossRef]
- Zang, Z.P.; Gao, F.P. Steady current induced vibration of near-bed piggyback pipelines: Configuration effects on VIV sup-pression, Appl. Ocean Res. 2014, 46, 62–69. [Google Scholar] [CrossRef] [Green Version]
- Zhao, E.; Shi, B.; Qu, K.; Dong, W.; Zhang, J. Experimental and Numerical Investigation of Local Scour Around Submarine Piggyback Pipeline under Steady Current. J. Ocean Univ. China 2018, 17, 244–256. [Google Scholar] [CrossRef]
- Yang, S.; Shi, B.; Guo, Y.; Yang, L. Investigation on scour protection of submarine piggyback pipeline. Ocean Eng. 2019, 182, 442–450. [Google Scholar] [CrossRef]
- Yang, S.; Guo, Y.; Shi, B.; Yu, G.; Yang, L.; Zhang, M. Numerical investigation of the influence of the small pipeline on local scour morphology around the piggyback pipeline. Ocean Eng. 2021, 240, 109973. [Google Scholar] [CrossRef]
- Sumer, B.M.; Fredsøe, J. Scour around pipelines in combined waves and current. In Proceedings of the Offshore Mechanics and Arctic Engineering, New York, NY, USA, 16–20 June 1996. [Google Scholar]
- Sumer, B.M.; Fredsøe, J. Scour around Pile in Combined Waves and Current. J. Hydraul. Eng. 2001, 127, 403–411. [Google Scholar] [CrossRef]
- Soulsby, R. Dynamics of Marine Sands; Thomas Telford Ltd.: London, UK, 1998. [Google Scholar]
- Whitehouse, R. Scour at Marine Structures: A Manual for Practical Applications; Thomas Telford Ltd.: London, UK, 1998. [Google Scholar]
- Zhang, Q.; Draper, S.; Cheng, L.; An, H. Time Scale of Local Scour around Pipelines in Current, Waves, and Combined Waves and Current. J. Hydraul. Eng. 2017, 143, 04016093. [Google Scholar] [CrossRef]
- Asrari, S.; Hakimzadeh, H.; Kardan, N. Investigation on the local scour beneath piggyback pipelines under clear-water conditions. China Ocean Eng. 2021, 35, 422–431. [Google Scholar] [CrossRef]
- Larsen, B.E.; Fuhrman, D.R.; Sumer, B.M. Simulation of Wave-Plus-Current Scour beneath Submarine Pipelines. J. Waterw. Port, Coastal, Ocean Eng. 2016, 142, 04016003. [Google Scholar] [CrossRef] [Green Version]
- Xu, J.; Li, G.; Dong, P.; Shi, J. Bedform evolution around a submarine pipeline and its effects on wave-induced forces under regular waves. Ocean Eng. 2010, 37, 304–313. [Google Scholar] [CrossRef]
- Fredsøe, J.; Deigaard, R. Mechanics of Coastal Sediment Transport; World Scientific: Singapore, 1992. [Google Scholar]
- Qi, W.; Gao, F. Equilibrium scour depth at offshore monopile foundation in combined waves and current. Sci. China Technol. Sci. 2014, 57, 1030–1039. [Google Scholar] [CrossRef] [Green Version]
- Zang, Z.; Cheng, L.; Zhao, M.; Liang, D.; Teng, B. A numerical model for onset of scour below offshore pipelines. Coast. Eng. 2009, 56, 458–466. [Google Scholar] [CrossRef]












| Case | Hw(m) | Uc(m/s) | KC | Ucw | θw | θcur | θcw |
|---|---|---|---|---|---|---|---|
| 1 | 0.08 | 0.05 | 8.53 | 0.227 | 0.519 | 0.005 | 0.529 |
| 2 | 0.08 | 0.10 | 8.53 | 0.369 | 0.519 | 0.018 | 0.557 |
| 3 | 0.08 | 0.15 | 8.53 | 0.468 | 0.519 | 0.041 | 0.599 |
| 4 | 0.08 | 0.20 | 8.53 | 0.540 | 0.519 | 0.073 | 0.650 |
| 5 | 0.08 | 0.25 | 8.53 | 0.594 | 0.519 | 0.115 | 0.706 |
| 6 | 0.08 | 0.30 | 8.53 | 0.637 | 0.519 | 0.165 | 0.765 |
| 7 | 0.08 | 0.35 | 8.53 | 0.672 | 0.519 | 0.224 | 0.828 |
| 8 | 0.08 | 0.38 | 8.53 | 0.690 | 0.519 | 0.265 | 0.868 |
| 9 | 0.10 | 0.05 | 10.67 | 0.190 | 0.648 | 0.005 | 0.658 |
| 10 | 0.10 | 0.10 | 10.67 | 0.319 | 0.648 | 0.018 | 0.687 |
| 11 | 0.10 | 0.15 | 10.67 | 0.413 | 0.648 | 0.041 | 0.730 |
| 12 | 0.10 | 0.20 | 10.67 | 0.484 | 0.648 | 0.073 | 0.784 |
| 13 | 0.10 | 0.25 | 10.67 | 0.540 | 0.648 | 0.115 | 0.844 |
| 14 | 0.10 | 0.30 | 10.67 | 0.584 | 0.648 | 0.165 | 0.909 |
| 15 | 0.10 | 0.35 | 10.67 | 0.621 | 0.648 | 0.224 | 0.977 |
| 16 | 0.10 | 0.38 | 10.67 | 0.640 | 0.648 | 0.265 | 1.019 |
Publisher’s Note: MDPI stays neutral with regard to jurisdictional claims in published maps and institutional affiliations. |
© 2022 by the authors. Licensee MDPI, Basel, Switzerland. This article is an open access article distributed under the terms and conditions of the Creative Commons Attribution (CC BY) license (https://creativecommons.org/licenses/by/4.0/).
Share and Cite
Hu, R.; Wang, X.; Liu, H.; Leng, H.; Lu, Y. Scour Characteristics and Equilibrium Scour Depth Prediction around a Submarine Piggyback Pipeline. J. Mar. Sci. Eng. 2022, 10, 350. https://doi.org/10.3390/jmse10030350
Hu R, Wang X, Liu H, Leng H, Lu Y. Scour Characteristics and Equilibrium Scour Depth Prediction around a Submarine Piggyback Pipeline. Journal of Marine Science and Engineering. 2022; 10(3):350. https://doi.org/10.3390/jmse10030350
Chicago/Turabian StyleHu, Ruigeng, Xiuhai Wang, Hongjun Liu, Hao Leng, and Yao Lu. 2022. "Scour Characteristics and Equilibrium Scour Depth Prediction around a Submarine Piggyback Pipeline" Journal of Marine Science and Engineering 10, no. 3: 350. https://doi.org/10.3390/jmse10030350
APA StyleHu, R., Wang, X., Liu, H., Leng, H., & Lu, Y. (2022). Scour Characteristics and Equilibrium Scour Depth Prediction around a Submarine Piggyback Pipeline. Journal of Marine Science and Engineering, 10(3), 350. https://doi.org/10.3390/jmse10030350
