Evolutionary Game Model of Strategic Maritime Transport Passages: A Case of the Strait of Hormuz
Abstract
1. Introduction
2. Literature Review
2.1. Geopolitical Analysis of Strategic Maritime Transport Passages
2.2. Evolutionary Game Theory
3. Analysis of US–Iran Geopolitics
3.1. The Historical Conflict between the United States and Iran
3.2. Impact of Relative Position and Geographical Location
3.3. The applicability of Evolutionary Game in the US–Iran Game
4. Evolutionary Game Model
4.1. Assumptions
4.2. Replicated Dynamic Equations for the Model
5. Evolutionary Stability Analyses
5.1. Evolutionary Game Analysis of US–Iran Mixed Strategy
5.2. Evolutionary Stability Strategies in Different Scenarios
6. Simulation and Discussion
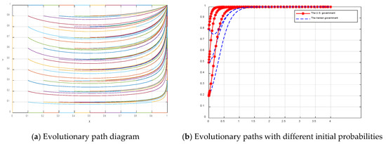
6.1. Numerical Simulation
6.2. Parameter Sensitivity Analysis
7. Conclusions
Author Contributions
Funding
Institutional Review Board Statement
Informed Consent Statement
Conflicts of Interest
Disclaimer
References
- Stanford, G. Strategic Passages; Mississippi: Naval Ocean Research and Development Activity; NSTL Station, MS: Visakhapatnam, India, 1987; pp. 1–38. [Google Scholar]
- Yin, C.Z.; Ke, Y.D.; Chen, J.H.; Liu, M. Interrelations between sea hub ports and inland hinterlands: Perspectives of multimodal freight transport organization and low carbon emissions. Ocean. Coast. Manag. 2021, 214, 105919. [Google Scholar] [CrossRef]
- Liang, F. The Theoretical Practice and Enlightenment of U.S. Control of Maritime Strategic Channel. J. Ocean. Univ. China (Soc. Sci.) 2019, 5, 39–46. [Google Scholar]
- Huang, D.Z.; Loughney, S.; Wang, J. Identification of China’s strategic transport passages in the context of the belt and road initiative. Marit. Policy Manag. 2021. [Google Scholar] [CrossRef]
- Beniamin, B.C. Geopolitics and Transportation United States and Panama Canal. Ann. Univ. Oradea Econ. Sci. 2009, 1, 82–87. [Google Scholar]
- Evers, H.; Gerke, S. The Strategic Importance of the Straits of Malacca. SSRN Electron. J. 2006, 53, 3712–3722. [Google Scholar] [CrossRef]
- Wang, L. Maritime Strategy Passage Impact on China’s Economic Security and Countermeasures. J. Econ. Shanghai Sch. 2015, 1, 146–156. [Google Scholar]
- Huang, D.Z.; Hu, H.; Li, Y.Z. Application of Fuzzy Logic to Safety Risk Assessment of China’s Maritime Passages. Transp. Res. Rec. J. Transp. Res. Board 2012, 2273, 112–120. [Google Scholar] [CrossRef]
- De Borger, B.; Dunkerley, F.; Proost, S. Strategic investment and pricing decisions in a congested transport corridor. J. Urban Econ. 2007, 62, 294–316. [Google Scholar] [CrossRef]
- Sigit; Meresin, A.T. China’s Geopolitical Strategy in the Strait of Hormuz. Chin. J. Int. Rev. 2021, 2, 2050009. [Google Scholar]
- Shepard, J.U.; Pratson, L.F. Maritime piracy in the Strait of Hormuz and implications of energy export security. Energy Policy 2020, 140, 111379. [Google Scholar] [CrossRef]
- Fraser, D.; Notteboom, T. A strategic appraisal of the attractiveness of seaport-based transport corridors: The Southern African case. J. Transp. Geogr. 2014, 36, 53–68. [Google Scholar] [CrossRef]
- Li, B. Research on International Strategic Passages. Ph.D. Thesis, Party School of the Central Committee of CPC, Beijing, China, 2005. [Google Scholar]
- Katzman, K.; Nerurkar, N.; O’Rourke, R.; Mason, R.C.; Ratner, M. Iran’s Threat to the Strait of Hormuz. Am. Foreign Policy Interests 2012, 32, 64–74. [Google Scholar]
- Germond, B. The geopolitical dimension of maritime security. Mar. Policy 2015, 54, 137–142. [Google Scholar] [CrossRef]
- Blanchard, J.M.F.; Flint, C. The Geopolitics of China’s Maritime Silk Road Initiative. Geopolitics 2017, 22, 223–245. [Google Scholar] [CrossRef]
- Zhang, J. The Security of Maritime Channels and the Construction of China’s Strategic Fulcrum-Also on the Security Considerations of the Construction of the Maritime Silk Road in the 21st Century. Int. Secur. Stud. 2015, 33, 100–118 + 159–160. [Google Scholar]
- Lee, P.T.; Hu, Z.-H.; Lee, S.-J.; Choi, K.-S.; Shin, S.-H. Research trends and agenda on the Belt and Road (B&R) initiative with a focus on maritime transport. Marit. Policy Manag. 2018, 45, 282–300. [Google Scholar]
- Yang, D.; Jiang, L.P.; Ng, A. One Belt One Road, but several routes: A case study of new emerging trade corridors connecting the Far East to Europe. Transp. Res. Part A Policy Pract. 2018, 117, 190–204. [Google Scholar] [CrossRef]
- Maynard-Smith, J.; Price, G.R. Logic of Animal Conflicts (Evolutionary Game Theory). Nature 1973, 246, 15–18. [Google Scholar] [CrossRef]
- Hammerstein, P.; Leimar, O. Evolutionary Game Theory in Biology. Handb. Game Theory Econ. Appl. 2015, 4, 575–617. [Google Scholar]
- Feng, P.; Bao, X.; Lin, W. Analysis on environmental regulation strategy of local government based on evolutionary game theory. Syst. Eng.-Theory Pract. 2015, 35, 1393–1404. [Google Scholar]
- Taylor, P.D.; Jonker, L.B. Evolutionarily Stable Strategies and Game Dynamics. Math. Biosci. 1978, 40, 145–156. [Google Scholar] [CrossRef]
- Rubin, H. The phenotypic gambit: Selective pressures and ESS methodology in evolutionary game theory. Biol. Philos. 2016, 31, 551–569. [Google Scholar] [CrossRef][Green Version]
- Weibull, J.W. Evolutionary Game Theory; The MIT Press: Cambridge, MA, USA, 2004. [Google Scholar]
- Sample, C.; Allen, B. The limits of weak selection and large population size in evolutionary game theory. J. Math. Biol. 2016, 75, 1285–1317. [Google Scholar] [CrossRef] [PubMed]
- Boccabella, A.; Natalini, R.; Pareschi, L. On a continuous mixed strategies model for evolutionary game theory. Kinet. Relat. Models 2017, 4, 187–213. [Google Scholar] [CrossRef]
- Ozkan-Canbolat, E.; Beraha, A.; Bas, A. Application of Evolutionary Game Theory to Strategic Innovation. Procedia-Soc. Behav. Sci. 2016, 235, 685–693. [Google Scholar] [CrossRef]
- Cao, J.; Chen, X.; Wu, S.; Kumar, S. Evolving remanufacturing strategies in China: An evolutionary game theory perspective. Environ. Dev. Sustain. 2021, 23, 14827–14853. [Google Scholar] [CrossRef]
- Xu, L.; Di, Z.J.; Chen, J.H.; Shi, J.; Chen, Y. Evolutionary game analysis on behavior strategies of multiple stakeholders in maritime shore power system. Ocean. Coast. Manag. 2021, 202, 105508. [Google Scholar] [CrossRef]
- Mahri, R.A. The Relation Between the Islamic Republic of Iran and the United States. 2020. Available online: https://www.researchgate.net/publication/343218342_The_Relation_Between_the_Islamic_Republic_of_Iran_and_the_United_States (accessed on 20 January 2022).
- Oral, N. Transit passage rights in the Strait of Hormuz and Iran’s threats to block the passage of oil tankers. Am. Soc. Int. Law 2012, 16, 1–6. [Google Scholar]
- Sayin, Y.; Kili, F. The Strait of Hormuz and Iran’s International Relations. J. Eurasian Res. 2020, 2, 29–59. [Google Scholar]
- Rydqvist, J.; Zetterlund, K. Consequences of Military Actions against Iran; Defence Analysis, FOI: Stockholm, Switzerland, 2008. [Google Scholar]
- Verma, S.K. Energy geopolitics and Iran–Pakistan–India gas pipeline. Energy Policy 2007, 35, 3280–3301. [Google Scholar] [CrossRef]
- Rocca, N.M. Iran’s geopolitics in Eurasia after the nuclear deal. Camb. J. Eurasian Stud. 2017, 1, 1–12. [Google Scholar] [CrossRef]
- Liu, X.S.; Pan, Q.H.; He, M.F.; Liu, A.Z. Promotion of cooperation in evolutionary game dynamics under asymmetric information. Phys. A Stat. Mech. Its Appl. 2019, 521, 258–266. [Google Scholar] [CrossRef]










| Parameters | Definitions |
|---|---|
| US government’s basic income through transportation in the Strait of Hormuz | |
| Iranian government’s basic income through transportation in the Strait of Hormuz | |
| Loss of equity for the US government when choosing abandon strategy | |
| Loss of equity for the Iranian government when choosing compromise strategy | |
| Conflict losses for the US government | |
| Conflict losses for the Iranian government | |
| The excess income of the US government | |
| The excess income of the Iranian government | |
| Additional losses when the Iranian government chooses interference strategy |
| Iranian Government | |||
|---|---|---|---|
| US government | Interference (y) | Compromise (1 − y) | |
| Deterrence (x) | |||
| Abandon (1 − x) | |||
| Scenario | Equilibrium | Det J | Tr J | Stability | Scenario | Equilibrium | Det J | Tr J | Stability |
|---|---|---|---|---|---|---|---|---|---|
| 1 | E1(0,0) | Saddle | 5 | E1(0,0) | Unstable | ||||
| E2(0,1) | Unstable | E2(0,1) | Saddle | ||||||
| E3(1,0) | Stable | E3(1,0) | Saddle | ||||||
| E4(1,1) | Saddle | E4(1,1) | Stable | ||||||
| 2 | E1(0,0) | Saddle | 6 | E1(0,0) | Saddle | ||||
| E2(0,1) | Saddle | E2(0,1) | Saddle | ||||||
| E3(1,0) | Saddle | E3(1,0) | Stable | ||||||
| E4(1,1) | Saddle | E4(1,1) | Unstable | ||||||
| 3 | E1(0,0) | Saddle | 7 | E1(0,0) | Unstable | ||||
| E2(0,1) | Unstable | E2(0,1) | Stable | ||||||
| E3(1,0) | Saddle | E3(1,0) | Stable | ||||||
| E4(1,1) | Stable | E4(1,1) | Unstable | ||||||
| 4 | E1(0,0) | Unstable | 8 | E1(0,0) | Unstable | ||||
| E2(0,1) | Saddle | E2(0,1) | Stable | ||||||
| E3(1,0) | Stable | E3(1,0) | Saddle | ||||||
| E4(1,1) | Saddle | E4(1,1) | Saddle |
Publisher’s Note: MDPI stays neutral with regard to jurisdictional claims in published maps and institutional affiliations. |
© 2022 by the authors. Licensee MDPI, Basel, Switzerland. This article is an open access article distributed under the terms and conditions of the Creative Commons Attribution (CC BY) license (https://creativecommons.org/licenses/by/4.0/).
Share and Cite
Huang, D.; Wang, S.; Loughney, S.; Wang, J. Evolutionary Game Model of Strategic Maritime Transport Passages: A Case of the Strait of Hormuz. J. Mar. Sci. Eng. 2022, 10, 346. https://doi.org/10.3390/jmse10030346
Huang D, Wang S, Loughney S, Wang J. Evolutionary Game Model of Strategic Maritime Transport Passages: A Case of the Strait of Hormuz. Journal of Marine Science and Engineering. 2022; 10(3):346. https://doi.org/10.3390/jmse10030346
Chicago/Turabian StyleHuang, Daozheng, Shun Wang, Sean Loughney, and Jin Wang. 2022. "Evolutionary Game Model of Strategic Maritime Transport Passages: A Case of the Strait of Hormuz" Journal of Marine Science and Engineering 10, no. 3: 346. https://doi.org/10.3390/jmse10030346
APA StyleHuang, D., Wang, S., Loughney, S., & Wang, J. (2022). Evolutionary Game Model of Strategic Maritime Transport Passages: A Case of the Strait of Hormuz. Journal of Marine Science and Engineering, 10(3), 346. https://doi.org/10.3390/jmse10030346

